Phase Angle as a Predictor of Mortality in Older Patients with Hip Fracture
Highlights
- The phase angle (PhA) obtained through bioelectrical impedance analysis (BIA) is as-sociated with mortality in older patients with hip fractures.
- Patients with a low PhA have a significantly higher mortality at 1, 3, 6, and 12 months after surgery, independent of age and comorbidities.
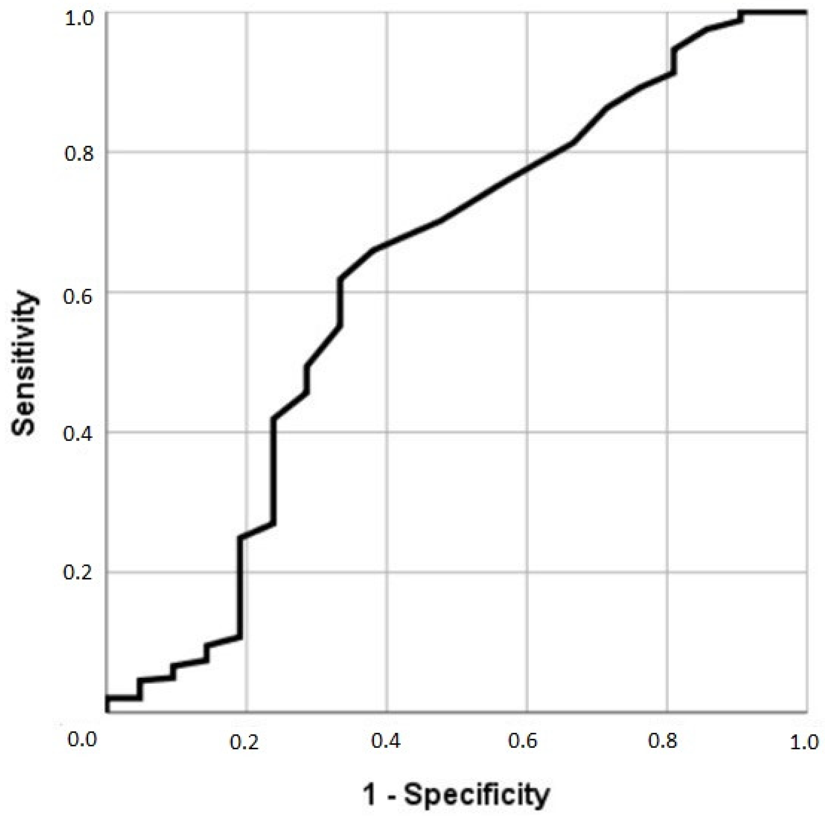
- A phase angle cut-off of 4.05º in women and 4.65º in men is a significant predictor of mortality at 12 months.
- The study has established PhA as a potential prognostic tool for mortality in elderly patients with hip fractures.
- A low PhA may serve as an indicator for early interventions, such as nutritional or physical therapy, to improve the outcomes in this population.
Abstract
1. Introduction
2. Materials and Methods
3. Results
4. Discussion
5. Conclusions
Author Contributions
Funding
Institutional Review Board Statement
Informed Consent Statement
Data Availability Statement
Acknowledgments
Conflicts of Interest
References
- Tebé, C.; del Río, L.M.; Casas, L.; Estrada, M.-D.; Kotzeva, A.; Di Gregorio, S.; Espallargues, M. Factores de riesgo de fracturas por fragilidad en una cohorte de mujeres españolas. Gac. Sanit. 2011, 25, 507–512. [Google Scholar] [CrossRef] [PubMed][Green Version]
- Rizzoli, R.; Biver, E.; Bonjour, J.-P.; Coxam, V.; Goltzman, D.; Kanis, J.A.; Lappe, J.; Rejnmark, L.; Sahni, S.; Weaver, C.; et al. Benefits and safety of dietary protein for bone health—An expert consensus paper endorsed by the European Society for Clinical and Economical Aspects of Osteopororosis, Osteoarthritis, and Musculoskeletal Diseases and by the International Osteoporosis Foundation. Osteoporos. Int. 2018, 29, 1933–1948. [Google Scholar] [CrossRef] [PubMed]
- Nikkel, L.E.; Fox, E.J.; Black, K.P.; Davis, C.; Andersen, L.; Hollenbeak, C.S. Impact of Comorbidities on Hospitalization Costs Following Hip Fracture. J. Bone Jt. Surg. 2012, 94, 9–17. [Google Scholar] [CrossRef] [PubMed]
- Cummings, S.R.; Melton, L.J. Epidemiology and outcomes of osteoporotic fractures. Lancet 2002, 359, 1761–1767. [Google Scholar] [CrossRef] [PubMed]
- Kanis, J.A.; Cooper, C.; Rizzoli, R.; Reginster, J.-Y. European guidance for the diagnosis and management of osteoporosis in postmenopausal women. Osteoporos. Int. 2018, 30, 3–44. [Google Scholar] [CrossRef]
- Chang, W.; Lv, H.; Feng, C.; Yuwen, P.; Wei, N.; Chen, W.; Zhang, Y. Preventable risk factors of mortality after hip fracture surgery: Systematic review and meta-analysis. Int. J. Surg. 2018, 52, 320–328. [Google Scholar] [CrossRef] [PubMed]
- Wang, K.C.; Xiao, R.; Cheung, Z.B.; Barbera, J.P.; Forsh, D.A. Early mortality after hip fracture surgery in COVID-19 patients: A systematic review and meta-analysis. J. Orthop. 2020, 22, 584–591. [Google Scholar] [CrossRef] [PubMed]
- Hou, M.; Zhang, Y.; Chen, A.C.; Liu, T.; Yang, H.; Zhu, X.; He, F. The effects of dementia on the prognosis and mortality of hip fracture surgery: A systematic review and meta-analysis. Aging Clin. Exp. Res. 2021, 33, 3161–3172. [Google Scholar] [CrossRef]
- Simunovic, N.; Devereaux, P.J.; Sprague, S.; Guyatt, G.H.; Schemitsch, E.; DeBeer, J.; Bhandari, M. Effect of early surgery after hip fracture on mortality and complications: Systematic review and meta-analysis. Can. Med. Assoc. J. 2010, 182, 1609–1616. [Google Scholar] [CrossRef]
- Li, J.; Li, D.; Wang, X.; Zhang, L. The impact of body mass index on mortality rates of hip fracture patients: A systematic review and meta-analysis. Osteoporos. Int. 2022, 33, 1859–1869. [Google Scholar] [CrossRef]
- Sánchez-Torralvo, F.J.; Pérez-Del-Río, V.; García-Olivares, M.; Porras, N.; Abuín-Fernández, J.; Bravo-Bardají, M.F.; García-De-Quevedo, D.; Olveira, G. Global Subjective Assessment and Mini Nutritional Assessment Short Form Better Predict Mortality Than GLIM Malnutrition Criteria in Elderly Patients with Hip Fracture. Nutrients 2023, 15, 1828. [Google Scholar] [CrossRef] [PubMed]
- Haleem, S.; Choudri, M.J.; Kainth, G.S.; Parker, M.J. Mortality following hip fracture: Trends and geographical variations over the last SIXTY years. Injury 2023, 54, 620–629. [Google Scholar] [CrossRef]
- Wu, C.-H.; Tu, S.-T.; Chang, Y.-F.; Chan, D.-C.; Chien, J.-T.; Lin, C.-H.; Singh, S.; Dasari, M.; Chen, J.-F.; Tsai, K.-S. Fracture liaison services improve outcomes of patients with osteoporosis-related fractures: A systematic literature review and meta-analysis. Bone 2018, 111, 92–100. [Google Scholar] [CrossRef] [PubMed]
- Eisman, J.A.; Bogoch, E.R.; Dell, R.; Harrington, J.T.; McKinney, R.E.; McLellan, A.; Mitchell, P.J.; Silverman, S.; Singleton, R.; Siris, E.; et al. Making the first fracture the last fracture: ASBMR task force report on secondary fracture prevention. J. Bone Miner. Res. 2012, 27, 2039–2046. [Google Scholar] [CrossRef] [PubMed]
- González-Quevedo, D.; Pérez-Del-Río, V.; Moriel-Garceso, D.; Fernández-Arroyabe, N.; García-Meléndez, G.; Montañez-Ruiz, M.; Bravo-Bardají, M.; García-De-Quevedo, D.; Tamimi, I. A 2-year follow-up of a novel Fracture Liaison Service: Can we reduce the mortality in elderly hip fracture patients? A prospective cohort study. Osteoporos. Int. 2022, 33, 1695–1702. [Google Scholar] [CrossRef] [PubMed]
- Miu, K.Y.D.; Lam, P.S. Effects of Nutritional Status on 6-Month Outcome of Hip Fractures in Elderly Patients. Ann. Rehabil. Med. 2017, 41, 1005–1012. [Google Scholar] [CrossRef] [PubMed]
- Inoue, T.; Maeda, K.; Nagano, A.; Shimizu, A.; Ueshima, J.; Murotani, K.; Sato, K.; Tsubaki, A. Undernutrition, Sarcopenia, and Frailty in Fragility Hip Fracture: Advanced Strategies for Improving Clinical Outcomes. Nutrients 2020, 12, 3743. [Google Scholar] [CrossRef] [PubMed]
- Malafarina, V.; Reginster, J.-Y.; Cabrerizo, S.; Bruyère, O.; Kanis, J.A.; Martinez, J.A.; Zulet, M.A. Nutritional Status and Nutritional Treatment Are Related to Outcomes and Mortality in Older Adults with Hip Fracture. Nutrients 2018, 10, 555. [Google Scholar] [CrossRef] [PubMed]
- Cederholm, T.; Jensen, G.; Correia, M.; Gonzalez, M.; Fukushima, R.; Higashiguchi, T.; Baptista, G.; Barazzoni, R.; Blaauw, R.; Coats, A.; et al. GLIM criteria for the diagnosis of malnutrition—A consensus report from the global clinical nutrition community. J. Cachex-Sarcopenia Muscle 2019, 10, 207–217. [Google Scholar] [CrossRef]
- García, C.G.; Almeida, J.M.G.; Aguilar, I.M.V.; Castañeda, V.B.; Guerrero, D.B. Morphofunctional assessment of patient´s nutritional status: A global approach. Nutr. Hosp. 2021, 38, 592–600. [Google Scholar] [CrossRef]
- Bellido, D.; García-García, C.; Talluri, A.; Lukaski, H.C.; García-Almeida, J.M. Future lines of research on phase angle: Strengths and limitations. Rev. Endocr. Metab. Disord. 2023, 24, 563–583. [Google Scholar] [CrossRef]
- Cornejo-Pareja, I.; Vegas-Aguilar, I.M.; García-Almeida, J.M.; Bellido-Guerrero, D.; Talluri, A.; Lukaski, H.; Tinahones, F.J. Phase angle and standardized phase angle from bioelectrical impedance measurements as a prognostic factor for mortality at 90 days in patients with COVID-19: A longitudinal cohort study. Clin. Nutr. 2022, 41, 3106–3114. [Google Scholar] [CrossRef]
- Garlini, L.M.; Alves, F.D.; Ceretta, L.B.; Perry, I.S.; Souza, G.C.; Clausell, N.O. Phase angle and mortality: A systematic review. Eur. J. Clin. Nutr. 2019, 73, 495–508. [Google Scholar] [CrossRef] [PubMed]
- Fernández-Jiménez, R.; Dalla-Rovere, L.; García-Olivares, M.; Abuín-Fernández, J.; Sánchez-Torralvo, F.J.; Doulatram-Gamgaram, V.K.; Hernández-Sanchez, A.M.; García-Almeida, J.M. Phase Angle and Handgrip Strength as a Predictor of Disease-Related Malnutrition in Admitted Patients: 12-Month Mortality. Nutrients 2022, 14, 1851. [Google Scholar] [CrossRef] [PubMed]
- García-García, C.; Vegas-Aguilar, I.M.; Rioja-Vázquez, R.; Cornejo-Pareja, I.; Tinahones, F.J.; García-Almeida, J.M. Rectus Femoris Muscle and Phase Angle as Prognostic Factor for 12-Month Mortality in a Longitudinal Cohort of Patients with Cancer (AnyVida Trial). Nutrients 2023, 15, 522. [Google Scholar] [CrossRef] [PubMed]
- Kim, H.S.; Park, J.; Lee, Y.; Yoo, J.; Choi, Y.; Yoon, B.; Ha, Y.; Koo, K. Prevalence of sarcopenia and mortality rate in older adults with hip fracture. J. Am. Geriatr. Soc. 2022, 70, 2379–2385. [Google Scholar] [CrossRef] [PubMed]
- Iida, H.; Seki, T.; Sakai, Y.; Watanabe, T.; Wakao, N.; Matsui, H.; Imagama, S. Low muscle mass affect hip fracture treatment outcomes in older individuals: A single-institution case-control study. BMC Musculoskelet. Disord. 2021, 22, 259. [Google Scholar] [CrossRef] [PubMed]
- Wang, L.; Yin, L.; Yang, M.; Cheng, X. Muscle composition and the imminent mortality risk after hip fracture. J. Cachex-Sarcopenia Muscle 2022, 13, 2752–2753. [Google Scholar] [CrossRef] [PubMed]
- Chen, J.; Lu, K.; Chen, H.; Hu, N.; Chen, J.; Liang, X.; Qin, J.; Huang, W. Trunk Skeletal Muscle Mass and Phase Angle Measured by Bioelectrical Impedance Analysis are Associated with the Chance of Femoral Neck Fracture in Very Elderly People. Clin. Interv. Aging 2020, 15, 889–895. [Google Scholar] [CrossRef]
- Lim, S.-K.; Lim, J.-Y. Phase angle as a predictor of functional outcomes in patients undergoing in-hospital rehabilitation after hip fracture surgery. Arch. Gerontol. Geriatr. 2020, 89, 104060. [Google Scholar] [CrossRef]
- Charlson, M.E.; Pompei, P.; Ales, K.L.; MacKenzie, C.R. A new method of classifying prognostic comorbidity in longitudinal studies: Development and validation. J. Chronic Dis. 1987, 40, 373–383. [Google Scholar] [CrossRef] [PubMed]
- Mahoney, F.I.; Barthel, D.W. Functional Evaluation: The Barthel Index. Md. State Med. J. 1965, 14, 61–65. [Google Scholar] [PubMed]
- Holden, M.K.; Gill, K.M.; Magliozzi, M.R.; Nathan, J.; Piehl-Baker, L. Clinical gait assessment in the neurologically impaired. Phys. Ther. 1984, 64, 35–40. [Google Scholar] [CrossRef] [PubMed]
- Cederholm, T.; Bosaeus, I.; Barazzoni, R.; Bauer, J.; Van Gossum, A.; Klek, S.; Muscaritoli, M.; Nyulasi, I.; Ockenga, J.; Schneider, S.; et al. Diagnostic criteria for malnutrition—An ESPEN Consensus Statement. Clin. Nutr. 2015, 34, 335–340. [Google Scholar] [CrossRef] [PubMed]
- Studenski, S.A.; Peters, K.W.; Alley, D.E.; Cawthon, P.M.; McLean, R.R.; Harris, T.B.; Ferrucci, L.; Guralnik, J.M.; Fragala, M.S.; Kenny, A.M.; et al. The FNIH sarcopenia project: Rationale, study description, conference recommendations, and final estimates. J. Gerontol. A Biol. Sci. Med. Sci. 2014, 69, 547–558. [Google Scholar] [CrossRef] [PubMed]
- Cruz-Jentoft, A.J.; Baeyens, J.P.; Bauer, J.M.; Boirie, Y.; Cederholm, T.; Landi, F.; Martin, F.C.; Michel, J.-P.; Rolland, Y.; Schneider, S.M.; et al. Sarcopenia: European consensus on definition and diagnosis. Age Ageing 2010, 39, 412–423. [Google Scholar] [CrossRef] [PubMed]
- de Bustamante, M.D.; Alarcón, T.; Menéndez-Colino, R.; Ramírez-Martín, R.; Otero, Á.; González-Montalvo, J.I. Prevalence of malnutrition in a cohort of 509 patients with acute hip fracture: The importance of a comprehensive assessment. Eur. J. Clin. Nutr. 2018, 72, 77–81. [Google Scholar] [CrossRef] [PubMed]
- Malafarina, V.; Malafarina, C.; Ugarte, A.B.; Martinez, J.A.; Goñi, I.A.; Zulet, M.A. Factors Associated with Sarcopenia and 7-Year Mortality in Very Old Patients with Hip Fracture Admitted to Rehabilitation Units: A Pragmatic Study. Nutrients 2019, 11, 2243. [Google Scholar] [CrossRef]
- Kobayashi, H.; Inoue, T.; Ogawa, M.; Abe, T.; Tanaka, T.; Kakiuchi, M. Malnutrition diagnosed by the Global Leadership Initiative on Malnutrition criteria as a predictor of gait ability in patients with hip fracture. Injury 2022, 53, 3394–3400. [Google Scholar] [CrossRef]
- Basile, C.; Della-Morte, D.; Cacciatore, F.; Gargiulo, G.; Galizia, G.; Roselli, M.; Curcio, F.; Bonaduce, D.; Abete, P. Phase angle as bioelectrical marker to identify elderly patients at risk of sarcopenia. Exp. Gerontol. 2014, 58, 43–46. [Google Scholar] [CrossRef]
- Nunes, J.P.; Ribeiro, A.S.; Silva, A.M.; Schoenfeld, B.J.; dos Santos, L.; Cunha, P.M.; Nascimento, M.A.; Tomeleri, C.M.; Nabuco, H.C.G.; Antunes, M.; et al. Improvements in Phase Angle Are Related with Muscle Quality Index after Resistance Training in Older Women. J. Aging Phys. Act. 2019, 27, 515–520. [Google Scholar] [CrossRef] [PubMed]
- Lukaski, H.C.; Garcia-Almeida, J.M. Phase angle in applications of bioimpedance in health and disease. Rev. Endocr. Metab. Disord. 2023, 24, 367–370. [Google Scholar] [CrossRef] [PubMed]
- Schiper, L.; Sadigursky, D.; Rosario, D.A.V.; Schiper, S.P.; Passos, L.C.; Faintuch, J. Hip fracture prognosis: Could bioimpedance be an alternative to conventional nutritional assessment? Nutr. Hosp. 2011, 26, 904–906. [Google Scholar] [CrossRef] [PubMed]
- Lukaski, H.C.; Kyle, U.G.; Kondrup, J. Assessment of adult malnutrition and prognosis with bioelectrical impedance analysis: Phase angle and impedance ratio. Curr. Opin. Clin. Nutr. Metab. Care 2017, 20, 330–339. [Google Scholar] [CrossRef] [PubMed]


| n = 262 | |
|---|---|
| Age (years) † | 82.9 ± 7.1 |
| Sex * | |
| Men | 55 (21) |
| Women | 207 (79) |
| Charlson Comorbidity Index † | 5.63 ± 1.9 |
| Barthel Index † | 74.69 ± 27.33 |
| Functional Ambulation Category Scale * | |
| 0 | 67 (25.8) |
| 1, 2, 3 | 182 (70) |
| 4, 5 | 11 (4.2) |
| Type of fracture * | |
| Pertrochanteric | 117 (44.7) |
| Subcapital | 114 (43.5) |
| Subtronchanteric | 15 (5.7) |
| Basicervical | 15 (5.7) |
| Transcervical | 1 (0.4) |
| Previous fracture * | 30 (11.5) |
| C-reactive protein (mg/L) † | 115.1 ± 56.7 |
| Albumin (g/dL) † | 2.5 ± 0.4 |
| Prealbumin (g/dL) † | 13.4 ± 5 |
| C-reactive protein/Albumin ratio† | 46.6 ± 25.3 |
| Length of stay † | 8.1 ± 5.6 |
| 1-month exitus * | 10 (3.8) |
| 3-month exitus * | 21 (8) |
| 6-month exitus * | 39 (14.9) |
| 12-month exitus * | 53 (20.2) |
| Parameters | Men (n = 55) | Women (n = 207) | p Value |
|---|---|---|---|
| Body mass index (kg/m2) | 26.3 ± 3.4 | 25.6 ± 5.3 | 0.038 |
| Phase angle (°) | 5.18 ± 1.13 | 4.5 ± 0.94 | <0.001 |
| Standardized phase angle (°) | −0.68 ± 0.71 | −0.66 ± 0.85 | 0.895 |
| Body cell mass (kg) | 28.6 ± 6.6 | 19.6 ± 4.2 | <0.001 |
| Fat mass (kg) | 18.9 ± 8.1 | 20.2 ± 9.9 | 0.326 |
| Fat-free mass (kg) | 57.6 ± 7.8 | 42.9 ± 5.4 | <0.001 |
| Fat-free mass index (kg/m2) | 20.9 ± 9.6 | 17.6 ± 2.1 | <0.001 |
| Appendicular skeletal muscle mass (kg) | 20.9 ± 3.6 | 15.1 ± 2.6 | <0.001 |
| Normal PhA (n = 168) | Low PhA (n = 94) | p Value | |
|---|---|---|---|
| Age (years) | 81.7 ± 7.2 | 84.9 ± 6.4 | <0.001 |
| Charlson Comorbidity Index | 5.3 ± 1.7 | 6.3 ± 2 | <0.001 |
| Barthel Index | 80.8 ± 24.5 | 63.8 ± 28.9 | <0.001 |
| Length of stay | 7.8 ± 4.4 | 8.5 ± 7.3 | 0.324 |
| Body mass index (kg/m2) | 26.1 ± 4.6 | 25.1 ± 4.6 | 0.128 |
| Body cell mass (kg) | 23.5 ± 6.1 | 17.9 ± 3.9 | <0.001 |
| Fat-free mass (kg) | 47.1 ± 8.9 | 43.8 ± 7.2 | 0.003 |
| Fat-free mass index (kg/m2) | 18.8 ± 5.6 | 17.2 ± 2 | 0.010 |
| Appendicular skeletal muscle mass (kg) | 16.9 ± 3.8 | 15.4 ± 3.3 | 0.001 |
| Albumin (g/dL) | 2.6 ± 0.4 | 2.5 ± 0.5 | 0.037 |
| Prealbumin (g/dL) | 13.9 ± 4.3 | 12.5 ± 6.1 | 0.046 |
| C-reactive protein (mg/L) | 106.4 ± 52.8 | 130.9 ± 60.3 | 0.002 |
| C-reactive protein/albumin ratio | 42.3 ± 23.6 | 54.3 ± 26.7 | 0.001 |
| n = 262 | Crude | Adjusted | |||||||
|---|---|---|---|---|---|---|---|---|---|
| Odds Ratio | 95% CI | p Value | Odds Ratio | 95% CI | p Value | ||||
| Lower | Upper | Lower | Upper | ||||||
| Low Phase Angle | |||||||||
| 1-month mortality | 7.72 | 1.6 | 37.16 | 0.011 | 5.11 | 1.02 | 25.78 | 0.048 | |
| 3-month mortality | 4.03 | 1.56 | 10.37 | 0.004 | 3.12 | 1.16 | 8.36 | 0.024 | |
| 6-month mortality | 3.49 | 1.73 | 7.07 | <0.001 | 2.85 | 1.37 | 5.95 | 0.005 | |
| 12-month mortality | 3.61 | 1.93 | 6.75 | <0.001 | 2.83 | 1.47 | 5.43 | 0.002 | |
Disclaimer/Publisher’s Note: The statements, opinions and data contained in all publications are solely those of the individual author(s) and contributor(s) and not of MDPI and/or the editor(s). MDPI and/or the editor(s) disclaim responsibility for any injury to people or property resulting from any ideas, methods, instructions or products referred to in the content. |
© 2024 by the authors. Licensee MDPI, Basel, Switzerland. This article is an open access article distributed under the terms and conditions of the Creative Commons Attribution (CC BY) license (https://creativecommons.org/licenses/by/4.0/).
Share and Cite
Sánchez-Torralvo, F.J.; Pérez-del-Río, V.; Navas Vela, L.I.; García-Olivares, M.; Porras, N.; Abuín Fernández, J.; Bravo Bardají, M.F.; García de Quevedo, D.; Olveira, G. Phase Angle as a Predictor of Mortality in Older Patients with Hip Fracture. Nutrients 2024, 16, 2221. https://doi.org/10.3390/nu16142221
Sánchez-Torralvo FJ, Pérez-del-Río V, Navas Vela LI, García-Olivares M, Porras N, Abuín Fernández J, Bravo Bardají MF, García de Quevedo D, Olveira G. Phase Angle as a Predictor of Mortality in Older Patients with Hip Fracture. Nutrients. 2024; 16(14):2221. https://doi.org/10.3390/nu16142221
Chicago/Turabian StyleSánchez-Torralvo, Francisco José, Verónica Pérez-del-Río, Luis Ignacio Navas Vela, María García-Olivares, Nuria Porras, Jose Abuín Fernández, Manuel Francisco Bravo Bardají, David García de Quevedo, and Gabriel Olveira. 2024. "Phase Angle as a Predictor of Mortality in Older Patients with Hip Fracture" Nutrients 16, no. 14: 2221. https://doi.org/10.3390/nu16142221
APA StyleSánchez-Torralvo, F. J., Pérez-del-Río, V., Navas Vela, L. I., García-Olivares, M., Porras, N., Abuín Fernández, J., Bravo Bardají, M. F., García de Quevedo, D., & Olveira, G. (2024). Phase Angle as a Predictor of Mortality in Older Patients with Hip Fracture. Nutrients, 16(14), 2221. https://doi.org/10.3390/nu16142221

