Abstract
Purpose: The current research aimed to investigate the connection between food insecurity and sleep issues among Spanish adolescents aged from 12 to 17 years from the Valle de Ricote (Region of Murcia, Spain). Methods: Data from the Eating Healthy and Daily Life Activities Study, which included a sample of 836 adolescents (55.3% girls), were analyzed. Food insecurity was evaluated using the Child Food Security Survey Module in Spanish (CFSSM-S), while sleep-related problems were evaluated using the Bedtime problems, Excessive daytime sleepiness, Awakenings during the night, Regularity and duration of sleep, and Sleep-disordered breathing (BEARS) sleep screening tool. Generalized linear models were employed to explore the association between food insecurity and sleep-related issues. Results: Compared with their counterparts with food security, adolescents with food insecurity had greater probabilities of bedtime problems (24.1%, 95% confidence interval (CI) 16.9% to 33.0%, p = 0.003), excessive daytime sleepiness (36.4%, 95% CI 27.5% to 46.3%, p < 0.001), awakenings during the night (16.7%, 95% CI 10.8% to 25.1%, p = 0.004), and any sleep-related problems (68.1%, 95% CI 57.5% to 77.1%, p < 0.001). Conclusions: This study suggests that food insecurity is related to greater sleep-related problems among adolescents. Implementing strategies to mitigate food insecurity may contribute to improved sleep health among adolescents, highlighting the importance of integrated public health interventions.
1. Introduction
Food insecurity is a complex issue that can arise from a scarcity of food, both in terms of quantity and quality. Insufficient food and inadequate food diversity are key factors that contribute to food insecurity [1]. In addition, there are several other reasons for food insecurity. For instance, food may be physically unavailable in a particular region or country, making it difficult for individuals to obtain it. Moreover, food may be unaffordable, even if it is accessible on the market. Finally, an unequal distribution of food within households can also contribute to food insecurity. It is important to address these underlying factors to effectively combat food insecurity [2]. The consequences of food insecurity are a worsening quality of life, hunger, and the emergence of diseases and other physical and mental health problems [3]. All of these factors can lead to anemia, malnutrition [4], overweight (due to the consumption of foods that are poor in nutrients and rich in fat and sugar) [5], and can impair the immune system (e.g., reduced exocrine secretion of protective substances, impaired intestinal barrier function, and low plasma complement levels [6]). Food insecurity is a global problem, and the rate is estimated to be 27% [7], which is even greater among adolescents than among individuals in other subpopulations (moderate 44.9% and severe 6.2%) [8].
On the other hand, sleep quality and patterns can be significantly impacted by food and nutrient intake [9]. Sleep not only serves a restorative function, but also plays a central role in regulating metabolism, influencing appetite control, and affecting immunological functions [9]. Consuming a high-protein meal or excessive amounts of fatty foods before bedtime or late-night snacking on sugary foods can lead to poor sleep quality [10]. On the other hand, a well-balanced diet that includes a variety of nutrients, such as those found in fruits and vegetables, can improve sleep quality and overall well-being [11]. Research on the relationship between food insecurity and sleep-related problems has increased in the literature [12]. For instance, in a study by Wang et al. [12] that included 223,561 adolescents from 68 countries, the prevalence of severe food insecurity and sleep disturbance was 6.4% and 8.0%, respectively. Severe food insecurity was significantly associated with a greater risk of sleep disturbance in 48 countries. However, the measurement of food insecurity was based on a single question asking about the frequency of hunger caused by a lack of food consumed at home. Thus, this classification of food insecurity used may not accurately reflect its relationship with sleep disturbance [12]. The relationship between food insecurity and sleep-related problems in adolescents may be a public health issue, as both are associated with adverse health outcomes. Therefore, further research is necessary.
The impact of food insecurity is worldwide, so it is necessary that research into sleep-related problems be conducted with samples from countries that have not yet been studied to clarify whether this relationship extends to other adolescent samples. In Spain, food insecurity has increased as a consequence of the economic crisis and precarious employment [13]. In this context, previous studies have highlighted a high prevalence of food insecurity (using the Child Food Security Survey Module in Spanish [CFSSM-S]), ranging from 18.3% [14] to 19.2% [15]. In addition, another study (using the Household Food Insecurity Access Scale [HFIAS]) indicated a prevalence of 7.7% in adolescents. Based on this worrisome prevalence, it has been recommended to revise and strengthen public policies in Spain to provide more effective protection for children and families experiencing severe poverty to prevent long-term harm [16].
Along with irregular and insufficient sleep, food insecurity can disrupt daily activity rhythms, increase fatigue, hinder physical activity engagement, and foster a sedentary lifestyle, which can lead to a greater risk of disease [5]. The relationship between food insecurity and sleep-related problems, including lifestyle factors such as physical activity level and sedentary behavior, may provide valuable contributions to scientific knowledge in this area [5]. Therefore, to address the potential impact of food insecurity on sleep and its potential health consequences, this study assessed the association between food insecurity and sleep-related problems in a sample of Spanish adolescents. By focusing on this population, this study aimed to provide insights that could inform targeted interventions and policies. Ultimately, understanding these relationships could help to mitigate the adverse effects of food insecurity on adolescent health and well-being, emphasizing the importance of comprehensive strategies that address both nutritional and sleep health in vulnerable populations.
2. Materials and Methods
2.1. Study Design and Population
This study performed a secondary analysis using data from the Eating Healthy and Daily Life Activities (EHDLA) study, which included adolescents from the Valle de Ricote (Region of Murcia, Spain). Data were gathered during the 2021–2022 academic year from all three secondary schools in that area. The methodology of the EHDLA study was previously published [17]. Of the initial 1378 adolescents (100.0%) from the EDHLA study, 460 (33.4%) were removed from the study due to missing information about food insecurity. Additionally, 36 participants (2.6%) were eliminated due to a lack of data regarding sleep-related problems. Furthermore, 46 participants (3.3%) were excluded because of missing information on any covariate (i.e., body mass index, sedentary behavior, or energy intake). Therefore, the current analysis included 836 adolescents, 55.3% of whom were girls.
2.2. Procedures
2.2.1. Food Insecurity
Household food insecurity was assessed using the CFSSM-S [18]. This survey measures participants’ perceptions of food insecurity, covering concerns such as running out of food, relying on inexpensive food, an inability to eat a balanced diet, reducing portion sizes, eating less, skipping meals, going hungry, and going without food for an entire day. The CFSSM-S consists of nine questions evaluated on a 3-point Likert scale. Negative responses (“never”) are scored as zero points, while affirmative responses indicating moderate or high food insecurity (“sometimes” or “a lot”) are scored as one point. Food security levels were classified based on criteria from original research [19] and the US Department of Agriculture [20]. Households were classified as “food secure” (0–1 point), “low food security” (2–5 points), or “very low food security” (6–9 points). For further analyses, we collapsed this variable into “food security” (“food secure”) and “food insecurity” (“very low food security” and “low food security”).
2.2.2. Sleep-Related Problems
The Bedtime problems, Excessive daytime sleepiness, Awakenings during the night, Regularity and duration of sleep, and Sleep-disordered breathing (BEARS) sleep screening tool [21] was employed to identify common sleep issues in preschoolers, children, and adolescents. Parents or legal guardians reported participants’ sleep-related problems. This screening tool aids in the early detection of sleep-related issues due to its ease of application and demonstrated adequate performance [22].
2.2.3. Covariates
The age and sex of the adolescents were self-reported. Socioeconomic status was assessed with the Family Affluence Scale (FAS-III) [23], which is computed from six items: family car ownership, adolescents’ own bedroom, number of household computers, number of bathrooms, dishwasher ownership, and number of holidays taken outside of Spain in the past year. The FAS-III score ranges from 0 to 13 points. Sedentary behavior and physical activity data were collected using the Spanish-Youth Activity Profile (YAP-S) [24], with scores calculated by summing the scores of each section. Energy intake was assessed through a self-reported dietary habits survey previously validated for the Spanish population [25]. Adolescents’ body weight and height were measured accurately using an electronic scale (Tanita BC-545, Tokyo, Japan) and a portable height rod (Leicester Tanita HR 001, Tokyo, Japan). Body mass index (BMI) was calculated by dividing body weight in kilograms by the square of height in meters.
2.3. Statistical Analysis
Visual techniques (i.e., density and quantile–quantile plots) and statistical procedures (i.e., Shapiro–Wilk test) were used to assess the normal distribution of variables. This study reported medians and interquartile ranges (IQRs) for quantitative variables and frequencies (n) and percentages (%) for qualitative variables. Generalized linear models (GLMs) were used to verify the association of food insecurity with sleep-related problems and were fitted using robust methods (i.e., the “Mqle” method) to handle heteroscedasticity and outliers. The predicted probabilities (%) and 95% confidence intervals (CIs) for each sleep-related problem, based on food security status, were calculated. In addition, further GLMs were constructed to test the association between each specific item of the CFSSM-S using backward stepwise regression (in addition to the previously mentioned robust methods). Covariates included sex, age, socioeconomic status, BMI, sedentary behavior, physical activity, and energy intake. Statistical analyses were performed using the R statistical software (version 4.3.2) and RStudio (version 2023.12.1+402), with significance set at p < 0.05.
3. Results
Table 1 shows the characteristics of the study participants based on their food security data in relation to sociodemographic, lifestyle, anthropometric, and sleep-related problems. Of the total sample of 836 individuals, 134 (16.0%) had food insecurity and 702 (84.0%) had food security. Participants with food insecurity experienced more sleep-related problems (bedtime problems: 37.3%; awakenings during the night: 26.1%; regularity and duration of sleep: 38.8%; snoring: 8.2%; and any sleep-related problems: 78.4%) than their counterparts with food security did.
Table 1.
Descriptive data of the study participants according to food insecurity status (N = 836).
Figure 1 indicates the predicted probabilities of having each sleep-related problem (i.e., bedtime problems, excessive daytime sleepiness, awakenings during the night, regularity and duration of sleep, snoring, or any sleep-related problem) per additional point in the CFSSM–S after adjusting for several covariates (i.e., sex, age, socioeconomic status, BMI, sedentary behavior, physical activity, and energy intake). Furthermore, the ORs and 95% CIs of the GLMs are shown in Table 2. For each additional point in the CFSSM–S, higher probabilities were observed for bedtime problems (2.9%, 95% CI 1.2% to 4.6%, p < 0.001), excessive daytime sleepiness (3.2%, 95% CI 1.2% to 5.2%, p = 0.001), awakenings during the night (2.6%, 95% CI 1.3% to 3.9%, p < 0.001), regularity and duration of sleep (2.1%, 95% CI 0.1% to 4.0%, p = 0.037), and any sleep-related problems (5.8%, 95% CI 3.0% to 8.7%, p < 0.001). Although a greater probability of snoring was also identified for each additional point in the CFSSM-S (0.5%, 95% CI −0.5% to 1.5%), this difference was not significant (p = 0.346).
Figure 1.
Predictive probabilities of having different sleep-related problems according to the Child Food Security Survey Module in Spanish (CFSSM-S) in adolescents. Adjusted for sex, age, socioeconomic status, body mass index, sedentary behavior, physical activity, and energy intake.
Table 2.
Association between Child Food Security Survey Module in Spanish and sleep-related problems in adolescents.
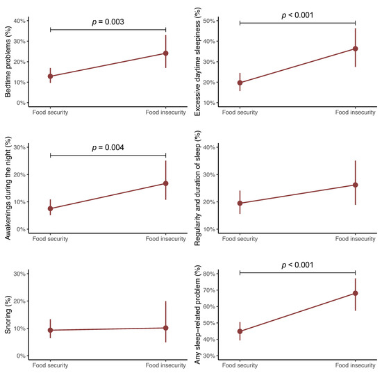
Figure 2 indicates the predicted probabilities of having each sleep-related problem (i.e., bedtime problems, excessive daytime sleepiness, awakenings during the night, regularity and duration of sleep, snoring, or any sleep-related problem) based on food insecurity status after adjusting for several covariates. In addition, the ORs and 95% CIs of the GLMs are displayed in Table 3. Compared with their counterparts with food security, adolescents with food insecurity had greater probabilities of bedtime problems (24.1%, 95% CI 16.9% to 33.0%), excessive daytime sleepiness (36.4%, 95% CI 27.5% to 46.3%), awakenings during the night (16.7%, 95% CI 10.8% to 25.1%), regularity and duration of sleep (26.2%, 95% CI 18.9% to 35.1%), snoring (10.1%, 95% CI 4.9% to 20.0%), and any sleep-related problems (68.1%, 95% CI 57.5% to 77.1%). However, only significant differences were identified for bedtime problems (p = 0.003), excessive daytime sleepiness (p < 0.001), awakenings during the night (p = 0.004), and any sleep-related problems (p < 0.001).
Figure 2.
Predictive probabilities of having different sleep-related problems according to food security status in adolescents. Adjusted for sex, age, socioeconomic status, body mass index, sedentary behavior, physical activity, and energy intake.
Table 3.
Association between food insecurity status and sleep-related problems in adolescents.
The GLMs (using backward stepwise regression) examining the association between each specific item of the CFSSM-S and having each sleep-related problem (adjusted for several covariates) are shown in Table 4. Feeling worried about running out of food and skipping meals were associated with sleep problems (p = 0.027 and p = 0.036, respectively). Feeling worried (about running out of food) and being hungry were related to excessive daytime sleepiness (p = 0.017 and p = 0.013, respectively). A lack of balanced meals was linked to awakenings during the night (p < 0.001). Eating smaller portions was related to regularity and duration of sleep (p = 0.031). Lastly, a lack of balanced meals and feeling hungry were associated with having any sleep-related problems.
Table 4.
Generalized linear models with binomial distributions were constructed using backward stepwise regression to test the associations between each specific item of the Child Food Security Survey Module in Spanish and sleep-related problems in adolescents.
4. Discussion
The results of this study generally suggest that adolescents who reported food insecurity experienced greater problems related to sleep, including problems at bedtime, awakening during the night, changes in regular sleep, sleep duration, snoring, and other sleep-related problems, than adolescents who reported food security. Furthermore, as food insecurity increased, the likelihood of sleep problems also increased. More specifically, feeling worried (about running out of food), being hungry, skipping meals, lacking balanced meals, and eating smaller portions were associated with sleep-related problems. The results of the present study are in accordance with the literature [26,27,28,29]. For instance, King [27] emphasized that eating patterns and sleep-related problems (problems sleeping, waking up at night, and daytime drowsiness) are related. Na et al. [28] revealed that food insecurity was associated with a compromised sleep quality; however, there was no association with sleep duration. On the other hand, De Jong et al. [29] investigated the determinants of a short sleep duration, warning that eating habits, regardless of age and sex, contribute to problems related to sleep duration. In contrast, in a longitudinal study by Lee et al. [26], female adolescents who lived with food insecurity were more likely to develop sleep-related problems than male adolescents were [26]. In a global study with 189,619 adolescents by Osei Bonsu et al. [30], the authors concluded that female adolescents were at a greater risk of moderate and severe sleep disorders in the context of food insecurity [30]. The absence of a consistent eating routine was associated with a shorter sleep duration in the study by Jong et al. [29]. According to the American Academy of Sleep Medicine (AAP), the daily sleep duration for teenagers ranges from 8 to 10 h [31].
The mechanisms by which food insecurity can cause sleep-related problems have been investigated in the literature [5,32]. Eating habits can significantly impact sleep quality, as they lead to hormonal changes related to sleep [32]. Consuming a diet high in processed and sugary foods can increase insulin and leptin levels, disrupting both behavioral and circadian rhythms and causing irregular sleep–wake patterns [33]. Additionally, consuming large amounts of carbohydrates can stimulate ghrelin, a hormone that can impair sleep quality and increase appetite [34]. The intake of certain nutrients can also have an impact on sleep quality by controlling the production of serotonin and melatonin [35]. Tryptophan is an essential amino acid that serves as a precursor for both serotonin and melatonin, which are connected to sleep and alertness [35]. As a result, consuming foods that limit tryptophan availability and interfere with the synthesis of serotonin and melatonin can negatively affect sleep regulation [35]. Moreover, the quality of macronutrients, in addition to their quantity, may contribute to the development of sleep disorders [36].
Other possible explanation for the findings of this study could be associated with the family environment. In homes experiencing food insecurity, adolescents’ health can be adversely impacted, which may subsequently impair their sleep [2]. For example, a low household income and unstable employment are significant predictors of food insecurity [37]. Food insecurity often results from socioeconomic challenges, such as financial instability or poverty, limiting access to food [38]. Additionally, mothers’ food-related behaviors and parenting play significant roles in adolescent food insecurity [39]. Parents dealing with food insecurity often face high levels of stress and anxiety, which can influence their parenting style and interactions with their children [40]. Also, it has been noted that adolescents from food-insecure households are less likely to experience “family assets”, including positive parenting, supportive parent interactions, and a safe home environment [41]. On the other hand, parents’ understanding of nutrition can impact the quality of food choices made within a food-insecure setting [42], and a higher diet quality may be associated with fewer sleep-related problems [43] (also noted in adolescents [44,45]).
Adolescents experiencing food insecurity often live in stressful environments [46,47], which could influence their mental health. This could be especially relevant for the adolescent population, as the association between household food insecurity and mental health is stronger for them than for younger children [48]. Worrying about where their next meal will come from or the overall financial situation of their family can lead to heightened stress and anxiety, which can disrupt sleep patterns [49]. Furthermore, the correlation between mental health problems and sleep quality among adolescents has been noted in the scientific literature [50]. In regard to this, a previous study revealed that food insecurity in adolescents was related to poorer mental health across 95 countries [46]. Supporting this idea, Paquin et al. [47] observed in their cohort study that a persistent high risk of food insecurity in childhood was associated with psychosocial problems later in adolescence after adjusting for confounders (e.g., low income). On the other hand, the cognitive and emotional impacts of food insecurity could also explain these findings. Food insecurity can impair cognitive functions [51,52,53,54] and emotional well-being [51,55], leading to difficulties in focusing, irritability, and mood swings. A systematic review by Royer et al. [54] revealed a correlation between greater food insecurity and poorer cognitive function across the life course. Similarly, a systematic review by Gallegos et al. [52] pointed out the strongest association between food insecurity and externalizing behaviors in the young population. Moreover, in Spain, Shankar-Krishnan et al. [14] found that adolescents with food insecurity exhibited a poorer psychological well-being, greater body dissatisfaction, and a greater drive for thinness. These cognitive and emotional disturbances could contribute to insomnia and other sleep-related issues.
This study has several limitations that need to be acknowledged. First, due to its cross-sectional design, it was not possible to establish causality; therefore, future longitudinal observational studies are necessary to determine whether food insecurity leads to sleep-related issues among adolescents. Second, the use of self-reported measures could lead to bias due to possible inaccuracies and overreporting by adolescents. Third, even though the analyses were adjusted for various covariates (such as sociodemographic, lifestyle, and anthropometric factors), residual confounding factors cannot be ruled out. However, the study also has several strengths, including the use of a large sample of Spanish adolescents, which is a relatively understudied group. However, the data pertain to a very specific region of Spain, so they are not generalizable to the rest of the Spanish population. Additionally, adjusting for multiple potential confounders enhances the robustness of the findings and provides a more accurate depiction of the association between food insecurity and sleep-related issues.
5. Conclusions
This study suggests that food insecurity is related to greater sleep-related problems among adolescents. Specifically, adolescents with greater food insecurity were more likely to have bedtime problems, excessive daytime sleepiness, awakenings during the night, or any sleep-related problems. The findings remained constant despite adjusting for anthropometric, lifestyle, or sociodemographic variables, which underscores the significant impact that food insecurity could have on sleep-related issues among adolescents. Implementing strategies to mitigate food insecurity may contribute to improved sleep health among adolescents, highlighting the importance of integrated public health interventions.
Author Contributions
J.F.L.-G. designed the study, contributed to the interpretation and analysis of the data, and wrote the initial draft. E.M.d.C. also wrote the initial draft. H.G.-E. contributed to the revision of the manuscript. All authors have read and agreed to the published version of the manuscript.
Funding
This research received no external funding.
Institutional Review Board Statement
This study was granted ethical approval by the Bioethics Committee of the University of Murcia (ID 2218/2018; approval date: 18 February 2019), as well as the Ethics Committee of the Albacete University Hospital Complex and the Albacete Integrated Care Management (ID 2021-85; approval date: 23 November 2021). It is important to note that the study adhered to the guidelines of the Helsinki Declaration.
Informed Consent Statement
All participants in the study, including minors, provided informed consent, which was obtained in writing and signed by their parents or legal guardians.
Data Availability Statement
The data used in this study are available upon request from the corresponding authors. However, given that the participants are minors, privacy and confidentiality must be respected.
Acknowledgments
The authors would like to express their gratitude to the Ayuntamiento de Archena, the participants, parents/legal guardians, physical education teachers, schools, and staff who provided information for this study.
Conflicts of Interest
The authors of this paper declare that they have no known financial interests or personal relationships that could have influenced the work reported in this study.
References
- Thomas, M.M.C.; Miller, D.P.; Morrissey, T.W. Food Insecurity and Child Health. Pediatrics 2019, 144, e20190397. [Google Scholar] [CrossRef] [PubMed]
- Sheikh, S.; Barolia, R.; Habib, A.; Azam, I.; Qureshi, R.; Iqbal, R. “If the Food Is Finished after My Brother Eats Then We (Girls) Sleep Hungry.” Food Insecurity and Dietary Diversity among Slum-Dwelling Adolescent Girls and Boys in Pakistan: A Mixed Methods Study. Appetite 2024, 195, 107212. [Google Scholar] [CrossRef] [PubMed]
- He, J.; Xiao, Y.; Zhang, Y.; Wang, H.; Ganson, K.T.; Nagata, J.M.; Chen, C. Food Insecurity Is Related to Eating Disorder Psychopathology beyond Psychological Distress in Rural Chinese Adolescents. Int. J. Eat. Disord. 2024, eat.24227. [Google Scholar] [CrossRef]
- Moradi, S.; Mirzababaei, A.; Mohammadi, H.; Moosavian, S.P.; Arab, A.; Jannat, B.; Mirzaei, K. Food Insecurity and the Risk of Undernutrition Complications among Children and Adolescents: A Systematic Review and Meta-Analysis. Nutrition 2019, 62, 52–60. [Google Scholar] [CrossRef] [PubMed]
- Calcaterra, V.; Rossi, V.; Tagi, V.M.; Baldassarre, P.; Grazi, R.; Taranto, S.; Zuccotti, G. Food Intake and Sleep Disorders in Children and Adolescents with Obesity. Nutrients 2023, 15, 4736. [Google Scholar] [CrossRef] [PubMed]
- Rytter, M.J.H.; Kolte, L.; Briend, A.; Friis, H.; Christensen, V.B. The Immune System in Children with Malnutrition—A Systematic Review. PLoS ONE 2014, 9, e105017. [Google Scholar] [CrossRef] [PubMed]
- Smith, M.D.; Rabbitt, M.P.; Coleman-Jensen, A. Who Are the World’s Food Insecure? New Evidence from the Food and Agriculture Organization’s Food Insecurity Experience Scale. World Dev. 2017, 93, 402–412. [Google Scholar] [CrossRef]
- Smith, L.; Ward, P.B.; Vancampfort, D.; López-Sánchez, G.F.; Yang, L.; Grabovac, I.; Jacob, L.; Pizzol, D.; Veronese, N.; Shin, J.I.; et al. Food Insecurity with Hunger and Sexual Behavior among Adolescents from 53 Countries. Int. J. Sex. Health 2021, 33, 88–98. [Google Scholar] [CrossRef]
- Sluggett, L.; Wagner, S.L.; Harris, R.L. Sleep Duration and Obesity in Children and Adolescents. Can. J. Diabetes 2019, 43, 146–152. [Google Scholar] [CrossRef]
- Abraham, S.; Breeze, P.; Sutton, A.; Lambie-Mumford, H. Household Food Insecurity and Child Health Outcomes: A Rapid Review of Mechanisms and Associations. Lancet 2023, 402, S16. [Google Scholar] [CrossRef]
- Zarpellon, R.S.; Vilela, R.M.; Louzada, F.M.; Radominski, R.B.; de Souza Crippa, A.C. Association of Food Intake with Sleep Disorders in Children and Adolescents with Obesity. Sleep Med. X 2022, 4, 100053. [Google Scholar] [CrossRef]
- Wang, Q. Food Insecurity and Sleep Disturbance among 223,561 Adolescents: A Multi-Country Analysis of Cross-Sectional Surveys. Front. Public Health 2021, 9, 693544. [Google Scholar] [CrossRef] [PubMed]
- Gracia-Arnaiz, M. The Precarisation of Daily Life in Spain: Austerity, Social Policy and Food Insecurity. Appetite 2022, 171, 105906. [Google Scholar] [CrossRef] [PubMed]
- Shankar-Krishnan, N.; Fornieles Deu, A.; Sánchez-Carracedo, D. Associations between Food Insecurity and Psychological Wellbeing, Body Image, Disordered Eating and Dietary Habits: Evidence from Spanish Adolescents. Child Indic. Res. 2021, 14, 163–183. [Google Scholar] [CrossRef]
- Barreiro-Álvarez, M.F.; Latorre-Millán, M.; Bach-Faig, A.; Fornieles-Deu, A.; Sánchez-Carracedo, D. Family Meals and Food Insecurity in Spanish Adolescents. Appetite 2024, 195, 107214. [Google Scholar] [CrossRef] [PubMed]
- Zamora-Sarabia, A.L.; Guterman, R.H.; Sanz-Barbero, B.; Rico Gómez, A.; Otero García, L. Child Health and the Possibilities for Childcare in a Context of Poverty and Food Insecurity: The Narratives of Parents Attending a Self-managed Foodbank in Spain. Health Soc. Care Community 2019, 27, 953–964. [Google Scholar] [CrossRef] [PubMed]
- López-Gil, J.F. The Eating Healthy and Daily Life Activities (EHDLA) Study. Children 2022, 9, 370. [Google Scholar] [CrossRef] [PubMed]
- Shankar-Krishnan, N.; Penelo, E.; Fornieles Deu, A.; Sánchez-Carracedo, D. Spanish Adaptation and Validation of the Child Food Security Survey Module (CFSSM-S). Public Health Nutr. 2018, 21, 2753–2761. [Google Scholar] [CrossRef] [PubMed]
- Connell, C.L.; Nord, M.; Lofton, K.L.; Yadrick, K. Food Security of Older Children Can Be Assessed Using a Standardized Survey Instrument. J. Nutr. 2004, 134, 2566–2572. [Google Scholar] [CrossRef] [PubMed]
- Coleman-Jensen, A.; Rabbit, M.P.; Gregory, C.A.; Singh, A. Household Food Security in the United States in 2020; USDA: Washington, DC, USA, 2020. [Google Scholar]
- Owens, J.A.; Dalzell, V. Use of the ‘BEARS’ Sleep Screening Tool in a Pediatric Residents’ Continuity Clinic: A Pilot Study. Sleep Med. 2005, 6, 63–69. [Google Scholar] [CrossRef]
- Bastida-Pozuelo, M.F.; Sánchez-Ortuño, M.M. Preliminary Analysis of the Concurrent Validity of the Spanish Translation of the BEARS Sleep Screening Tool for Children. J. Psychiatr. Ment. Health Nurs. 2016, 23, 513–520. [Google Scholar] [CrossRef]
- Currie, C.; Molcho, M.; Boyce, W.; Holstein, B.; Torsheim, T.; Richter, M. Researching Health Inequalities in Adolescents: The Development of the Health Behaviour in School-Aged Children (HBSC) Family Affluence Scale. Soc. Sci. Med. 2008, 66, 1429–1436. [Google Scholar] [CrossRef] [PubMed]
- Segura-Díaz, J.M.; Barranco-Ruiz, Y.; Saucedo-Araujo, R.G.; Aranda-Balboa, M.J.; Cadenas-Sanchez, C.; Migueles, J.H.; Saint-Maurice, P.F.; Ortega, F.B.; Welk, G.J.; Herrador-Colmenero, M.; et al. Feasibility and Reliability of the Spanish Version of the Youth Activity Profile Questionnaire (YAP-Spain) in Children and Adolescents. J. Sports Sci. 2021, 39, 801–807. [Google Scholar] [CrossRef] [PubMed]
- Rodríguez, I.T.; Ballart, J.F.; Pastor, G.C.; Jordà, E.B.; Val, V.A. Validation of a short questionnaire on frequency of dietary intake: Reproducibility and validity. Nutr. Hosp. 2008, 23, 242–252. [Google Scholar] [PubMed]
- Lee, T.-H.; Kuo, J.-H.; Liu, C.-Y.; Yu, Y.-F.; Strong, C.; Lin, C.-Y.; Lee, C.-T.; Tsai, M.-C. Trajectory of Food Insecurity and Its Association with Longitudinal Mental Health and Sleep Outcomes in Adolescents from Economically Disadvantaged Families. Nutrients 2021, 13, 1696. [Google Scholar] [CrossRef] [PubMed]
- King, C. Soft Drinks Consumption and Child Behaviour Problems: The Role of Food Insecurity and Sleep Patterns. Public Health Nutr. 2017, 20, 266–273. [Google Scholar] [CrossRef]
- Na, M.; Eagleton, S.G.; Jomaa, L.; Lawton, K.; Savage, J.S. Food Insecurity Is Associated with Suboptimal Sleep Quality, but Not Sleep Duration, among Low-Income Head Start Children of Pre-School Age. Public Health Nutr. 2020, 23, 701–710. [Google Scholar] [CrossRef] [PubMed]
- De Jong, E.; Stocks, T.; Visscher, T.L.S.; HiraSing, R.A.; Seidell, J.C.; Renders, C.M. Association between Sleep Duration and Overweight: The Importance of Parenting. Int. J. Obes. 2012, 36, 1278–1284. [Google Scholar] [CrossRef] [PubMed]
- Osei Bonsu, E.; Afetor, M.; Munkaila, L.; Okwei, R.; Nachibi, S.U.; Adjei, B.N.; Frimpong, E.; Arimiyaw, A.W.; Adu, C.; Peprah, P. Association of Food Insecurity and Sleep Difficulty among 189,619 School-Going Adolescents: A Study from the Global in-School Students Survey. Front. Public Health 2023, 11, 1212254. [Google Scholar] [CrossRef]
- Paruthi, S.; Brooks, L.J.; D’Ambrosio, C.; Hall, W.A.; Kotagal, S.; Lloyd, R.M.; Malow, B.A.; Maski, K.; Nichols, C.; Quan, S.F.; et al. Recommended Amount of Sleep for Pediatric Populations: A Consensus Statement of the American Academy of Sleep Medicine. J. Clin. Sleep Med. 2016, 12, 785–786. [Google Scholar] [CrossRef]
- Dashti, H.S.; Follis, J.L.; Smith, C.E.; Tanaka, T.; Cade, B.E.; Gottlieb, D.J.; Hruby, A.; Jacques, P.F.; Lamon-Fava, S.; Richardson, K.; et al. Habitual Sleep Duration Is Associated with BMI and Macronutrient Intake and May Be Modified by CLOCK Genetic Variants. Am. J. Clin. Nutr. 2015, 101, 135–143. [Google Scholar] [CrossRef]
- Scheer, F.A.J.L.; Hilton, M.F.; Mantzoros, C.S.; Shea, S.A. Adverse Metabolic and Cardiovascular Consequences of Circadian Misalignment. Proc. Natl. Acad. Sci. USA 2009, 106, 4453–4458. [Google Scholar] [CrossRef] [PubMed]
- Morin, V.; Hozer, F.; Costemale-Lacoste, J.-F. The Effects of Ghrelin on Sleep, Appetite, and Memory, and Its Possible Role in Depression: A Review of the Literature. L’Encéphale 2018, 44, 256–263. [Google Scholar] [CrossRef] [PubMed]
- Peuhkuri, K.; Sihvola, N.; Korpela, R. Diet Promotes Sleep Duration and Quality. Nutr. Res. 2012, 32, 309–319. [Google Scholar] [CrossRef] [PubMed]
- Hermes, F.N.; Nunes, E.E.M.; Melo, C.M.D. Sono, Estado Nutricional e Hábitos Alimentares Em Crianças: Um Estudo de Revisão. Rev. Paul. Pediatr. 2022, 40, e2020479. [Google Scholar] [CrossRef] [PubMed]
- Loopstra, R.; Tarasuk, V. Severity of Household Food Insecurity Is Sensitive to Change in Household Income and Employment Status among Low-Income Families1–3. J. Nutr. 2013, 143, 1316–1323. [Google Scholar] [CrossRef]
- Drewnowski, A. Food Insecurity Has Economic Root Causes. Nat. Food 2022, 3, 555–556. [Google Scholar] [CrossRef] [PubMed]
- Dush, J.L. Adolescent Food Insecurity: A Review of Contextual and Behavioral Factors. Public Health Nurs. 2020, 37, 327–338. [Google Scholar] [CrossRef]
- Berge, J.M.; Fertig, A.R.; Trofholz, A.; Neumark-Sztainer, D.; Rogers, E.; Loth, K. Associations between Parental Stress, Parent Feeding Practices, and Child Eating Behaviors within the Context of Food Insecurity. Prev. Med. Rep. 2020, 19, 101146. [Google Scholar] [CrossRef]
- Shtasel-Gottlieb, Z.; Palakshappa, D.; Yang, F.; Goodman, E. The Relationship Between Developmental Assets and Food Security in Adolescents From a Low-Income Community. J. Adolesc. Health 2015, 56, 215–222. [Google Scholar] [CrossRef]
- Ravikumar, D.; Spyreli, E.; Woodside, J.; McKinley, M.; Kelly, C. Parental Perceptions of the Food Environment and Their Influence on Food Decisions among Low-Income Families: A Rapid Review of Qualitative Evidence. BMC Public Health 2022, 22, 9. [Google Scholar] [CrossRef]
- Godos, J.; Grosso, G.; Castellano, S.; Galvano, F.; Caraci, F.; Ferri, R. Association between Diet and Sleep Quality: A Systematic Review. Sleep Med. Rev. 2021, 57, 101430. [Google Scholar] [CrossRef] [PubMed]
- López-Gil, J.F.; Smith, L.; Victoria-Montesinos, D.; Gutiérrez-Espinoza, H.; Tárraga-López, P.J.; Mesas, A.E. Mediterranean Dietary Patterns Related to Sleep Duration and Sleep-Related Problems among Adolescents: The EHDLA Study. Nutrients 2023, 15, 665. [Google Scholar] [CrossRef] [PubMed]
- López-Gil, J.F.; Reis Gaya, A.; Reuter, C.P.; Caetano, C.I.; Gomes Sentone, R.; Silva Caetano, H.B.; Brazo-Sayavera, J. Sleep-Related Problems and Eating Habits during COVID-19 Lockdown in a Southern Brazilian Youth Sample. Sleep Med. 2021, 85, 150–156. [Google Scholar] [CrossRef] [PubMed]
- Fram, M.S.; Nguyen, H.T.; Frongillo, E.A. Food Insecurity among Adolescent Students from 95 Countries Is Associated with Diet, Behavior, and Health, and Associations Differ by Student Age and Sex. Curr. Dev. Nutr. 2022, 6, nzac024. [Google Scholar] [CrossRef]
- Paquin, V.; Muckle, G.; Bolanis, D.; Courtemanche, Y.; Castellanos-Ryan, N.; Boivin, M.; Tremblay, R.; Côté, S.; Geoffroy, M.-C. Longitudinal Trajectories of Food Insecurity in Childhood and Their Associations with Mental Health and Functioning in Adolescence. JAMA Netw. Open 2021, 4, e2140085. [Google Scholar] [CrossRef] [PubMed]
- Burke, M.P.; Martini, L.H.; Çayır, E.; Hartline-Grafton, H.L.; Meade, R.L. Severity of Household Food Insecurity Is Positively Associated with Mental Disorders among Children and Adolescents in the United States. J. Nutr. 2016, 146, 2019–2026. [Google Scholar] [CrossRef] [PubMed]
- Hall, M.; Buysse, D.J.; Nofzinger, E.A.; Reynolds, C.F.; Thompson, W.; Mazumdar, S.; Monk, T.H. Financial Strain Is a Significant Correlate of Sleep Continuity Disturbances in Late-Life. Biol. Psychol. 2008, 77, 217–222. [Google Scholar] [CrossRef]
- Moeis, R.M.; Kuswiyanto, R.B.; Tarigan, R.; Pandia, V.; Dhamayanti, M. Correlation Between Adolescent Mental Health and Sleep Quality: A Study in Indonesian Rural Areas During the COVID-19 Pandemic. Int. J. Gen. Med. 2023, 16, 3203–3210. [Google Scholar] [CrossRef]
- Shankar, P.; Chung, R.; Frank, D.A. Association of Food Insecurity with Children’s Behavioral, Emotional, and Academic Outcomes: A Systematic Review. J. Dev. Behav. Pediatr. 2017, 38, 135–150. [Google Scholar] [CrossRef]
- Gallegos, D.; Eivers, A.; Sondergeld, P.; Pattinson, C. Food Insecurity and Child Development: A State-of-the-Art Review. Int. J. Environ. Res. Public Health 2021, 18, 8990. [Google Scholar] [CrossRef]
- De Camargo, E.M.; Chen, S.; Jiménez-López, E.; Victoria-Montesinos, D.; Smith, L.; López-Gil, J.F. Food Insecurity and Academic Performance in Spanish Adolescents: Results from the EHDLA Study. Heliyon 2024, 10, e29489. [Google Scholar] [CrossRef] [PubMed]
- Royer, M.F.; Guerithault, N.; Braden, B.B.; Laska, M.N.; Bruening, M. Food Insecurity Is Associated with Cognitive Function: A Systematic Review of Findings across the Life Course. Int. J. Transl. Med. 2021, 1, 205–222. [Google Scholar] [CrossRef]
- Kotchick, B.A.; Whitsett, D.; Sherman, M.F. Food Insecurity and Adolescent Psychosocial Adjustment: Indirect Pathways through Caregiver Adjustment and Caregiver–Adolescent Relationship Quality. J. Youth Adolesc. 2021, 50, 89–102. [Google Scholar] [CrossRef] [PubMed]
Disclaimer/Publisher’s Note: The statements, opinions and data contained in all publications are solely those of the individual author(s) and contributor(s) and not of MDPI and/or the editor(s). MDPI and/or the editor(s) disclaim responsibility for any injury to people or property resulting from any ideas, methods, instructions or products referred to in the content. |
© 2024 by the authors. Licensee MDPI, Basel, Switzerland. This article is an open access article distributed under the terms and conditions of the Creative Commons Attribution (CC BY) license (https://creativecommons.org/licenses/by/4.0/).

