Role of Body Composition in Patients with Resectable Pancreatic Cancer
Abstract
1. Introduction
2. Materials and Methods
2.1. Statistical Analysis
2.2. Patients’ Characteristics
2.3. Body Composition Analysis
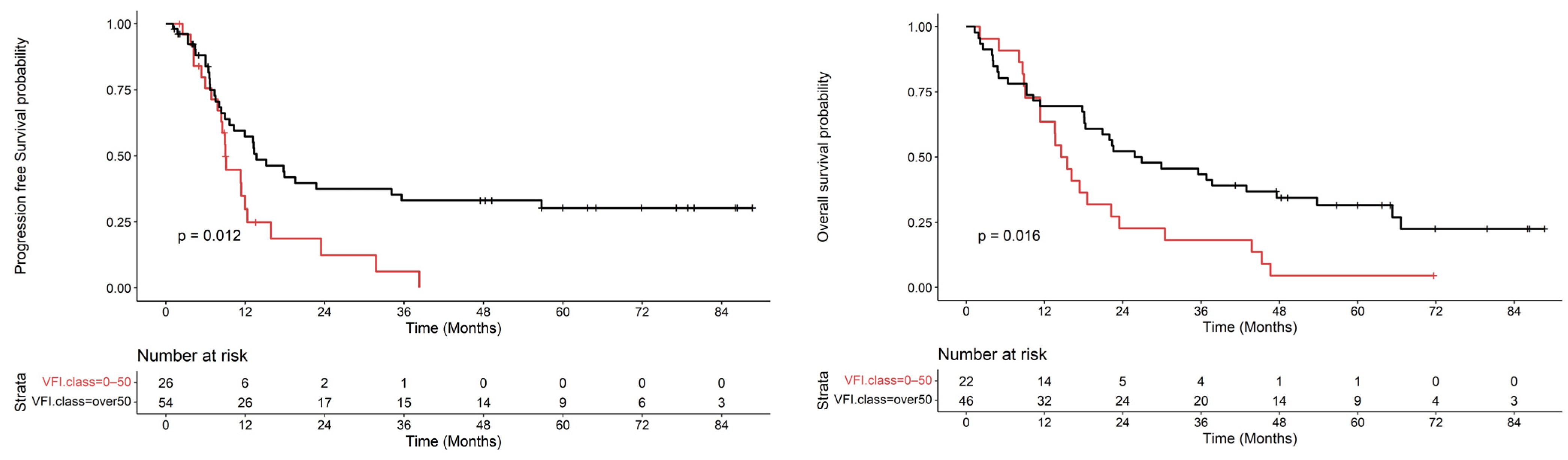
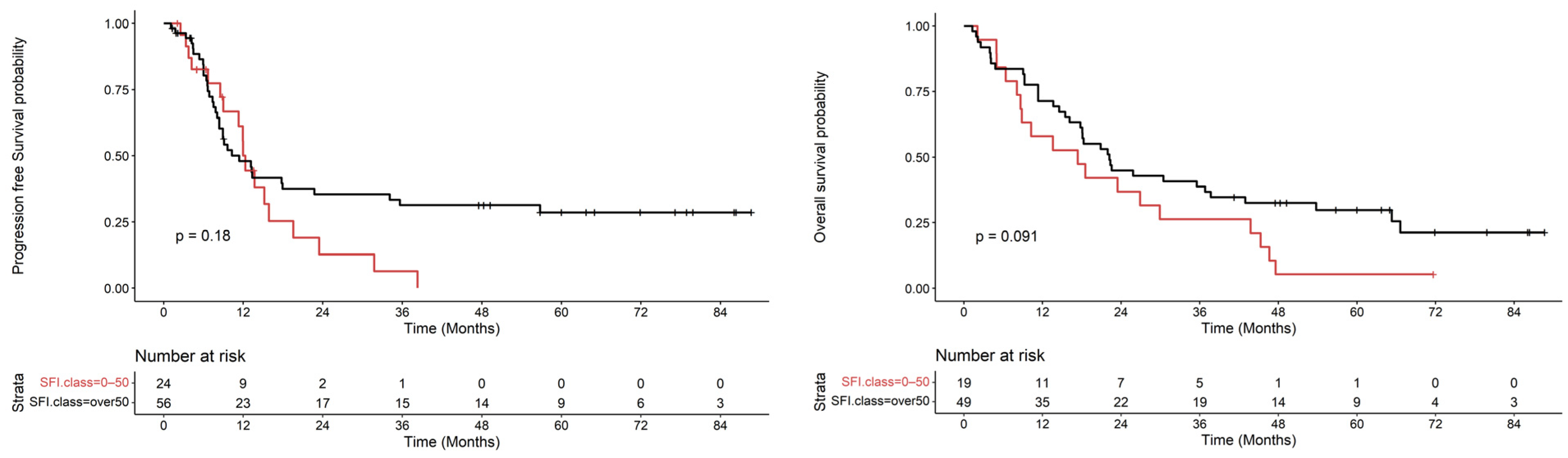
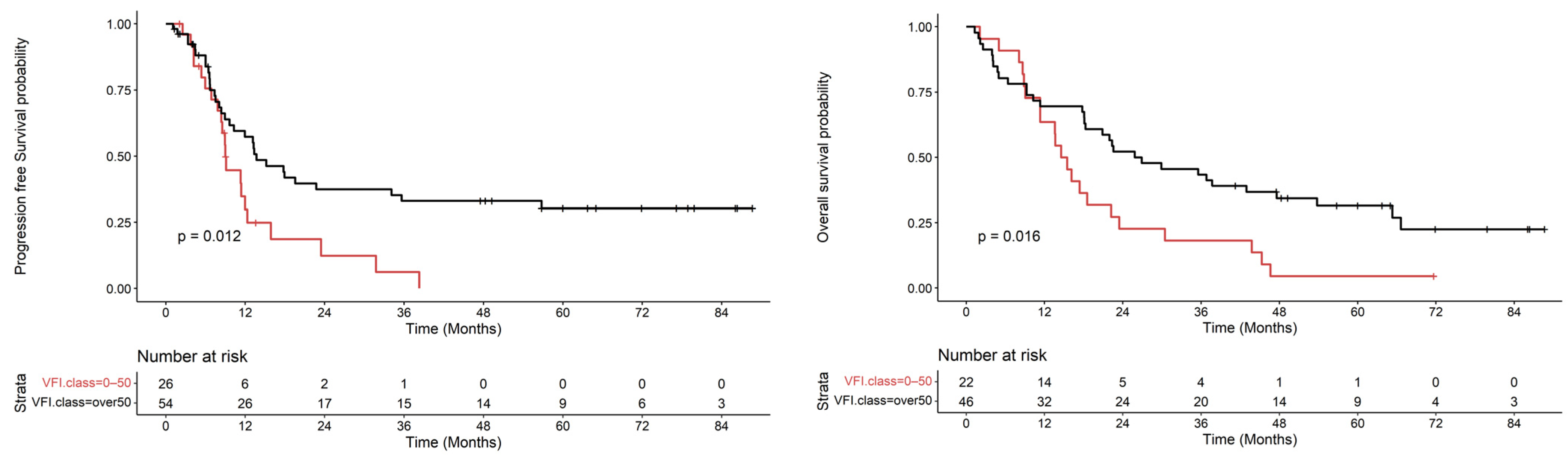
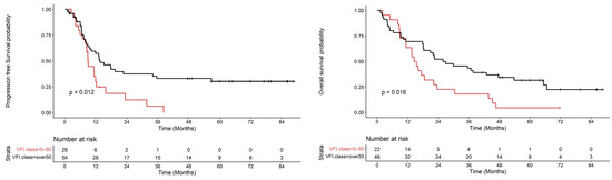
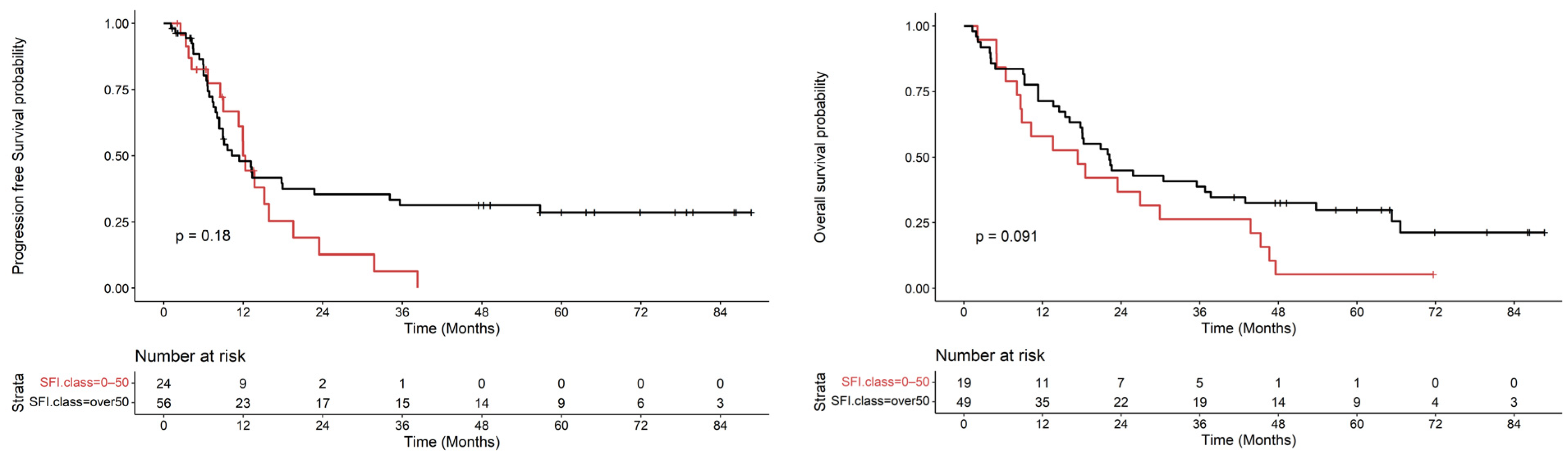
2.4. Impacts of Body Composition on Recurrence and Mortality in Patients with Pancreatic Cancer
3. Discussion
4. Conclusions
Author Contributions
Funding
Institutional Review Board Statement
Informed Consent Statement
Data Availability Statement
Conflicts of Interest
References
- Mizrahi, J.D.; Surana, R.; Valle, J.W.; Shroff, R.T. Pancreatic cancer. Lancet 2020, 395, 2008–2020. [Google Scholar] [CrossRef] [PubMed]
- Saif, M.W. Advancements in the management of pancreatic cancer: 2013. JOP J. Pancreas 2013, 14, 112–118. [Google Scholar] [CrossRef] [PubMed]
- Hu, J.X.; Zhao, C.F.; Chen, W.B.; Liu, Q.C.; Li, Q.W.; Lin, Y.Y.; Gao, F. Pancreatic cancer: A review of epidemiology, trend, and risk factors. World J. Gastroenterol. 2021, 27, 4298–4321. [Google Scholar] [CrossRef] [PubMed] [PubMed Central]
- Siegel, R.L.; Miller, K.D.; Jemal, A. Cancer statistics, 2019. CA Cancer J. Clin. 2019, 69, 7–34. [Google Scholar] [CrossRef] [PubMed]
- Ferlay, J.; Partensky, C.; Bray, F. More deaths from pancreatic cancer than breast cancer in the EU by 2017. Acta Oncol. 2016, 55, 1158–1160. [Google Scholar] [CrossRef] [PubMed]
- Liu, C.; An, L.; Zhang, S.; Deng, S.; Wang, N.; Tang, H. Association between preoperative sarcopenia and prognosis of pancreatic cancer after curative-intent surgery: A updated systematic review and meta-analysis. World J. Surg. Oncol. 2024, 22, 38. [Google Scholar] [CrossRef] [PubMed] [PubMed Central]
- Latenstein, A.E.J.; Dijksterhuis, W.P.M.; Mackay, T.M.; Beijer, S.; van Eijck, C.H.J.; de Hingh, I.H.J.T.; Molenaar, I.Q.; van Oijen, M.G.H.; van Santvoort, H.C.; de van der Schueren, M.A.E.; et al. Cachexia, dietetic consultation, and survival in patients with pancreatic and periampullary cancer: A multicenter cohort study. Cancer Med. 2020, 9, 9385–9395. [Google Scholar] [CrossRef] [PubMed] [PubMed Central]
- Cruz-Jentoft, A.J.; Baeyens, J.P.; Bauer, J.M.; Boirie, Y.; Cederholm, T.; Landi, F.; Martin, F.C.; Michel, J.P.; Rolland, Y.; Schneider, S.M.; et al. Sarcopenia: European consensus on definition and diagnosis: Report of the European Working Group on Sarcopenia in Older People. Age Ageing 2010, 39, 412–423. [Google Scholar] [CrossRef] [PubMed] [PubMed Central]
- Cruz-Jentoft, A.J.; Bahat, G.; Bauer, J.; Boirie, Y.; Bruyère, O.; Cederholm, T.; Cooper, C.; Landi, F.; Rolland, Y.; Sayer, A.A.; et al. Sarcopenia: Revised European consensus on definition and diagnosis. Age Ageing 2019, 48, 16–31, Erratum in: Age Ageing 2019, 48, 601. https://doi.org/10.1093/ageing/afz046. [Google Scholar] [CrossRef] [PubMed] [PubMed Central]
- Fielding, R.A.; Vellas, B.; Evans, W.J.; Bhasin, S.; Morley, J.E.; Newman, A.B.; van Kan, G.A.; Andrieu, S.; Bauer, J.; Breuille, D.; et al. Sarcopenia: An undiagnosed condition in older adults. Current consensus definition: Prevalence, etiology, and consequences. International working group on sarcopenia. J. Am. Med. Dir. Assoc. 2011, 12, 249–256. [Google Scholar] [CrossRef] [PubMed]
- Chen, L.-K.; Liu, L.-K.; Woo, J.; Assantachai, P.; Auyeung, T.-W.; Bahyah, K.S.; Chou, M.-Y.; Chen, L.-Y.; Hsu, P.-S.; Krairit, O.; et al. Sarcopenia in Asia: Consensus report of the Asian Working Group for Sarcopenia. J. Am. Med. Dir. Assoc. 2014, 15, 95–101. [Google Scholar] [CrossRef] [PubMed]
- Shah, O.J.; Singh, M. Developments in pancreatic cancer surgery. Updates Surg. 2023, 76, 17–22, Epub ahead of print. [Google Scholar] [CrossRef] [PubMed]
- Greenblatt, D.Y.; Kelly, K.J.; Rajamanickam, V.; Wan, Y.; Hanson, T.; Rettammel, R.; Winslow, E.R.; Cho, C.S.; Weber, S.M. Preoperative factors predict perioperative morbidity and mortality after pancreaticoduodenectomy. Ann. Surg. Oncol. 2011, 18, 2126–2135. [Google Scholar] [CrossRef] [PubMed]
- Bian, X.; Dai, H.; Feng, J.; Ji, H.; Fang, Y.; Jiang, N.; Li, W. Prognostic values of abdominal body compositions on survival in advanced pancreatic cancer. Medicine 2018, 97, e10988. [Google Scholar] [CrossRef] [PubMed] [PubMed Central]
- Pierobon, E.S.; Moletta, L.; Zampieri, S.; Sartori, R.; Brazzale, A.R.; Zanchettin, G.; Serafini, S.; Capovilla, G.; Valmasoni, M.; Merigliano, S.; et al. The Prognostic Value of Low Muscle Mass in Pancreatic Cancer Patients: A Systematic Review and Meta-Analysis. J. Clin. Med. 2021, 10, 3033. [Google Scholar] [CrossRef] [PubMed]
- Bundred, J.; Kamarajah, S.K.; Roberts, K.J. Body composition assessment and sarcopenia in patients with pancreatic cancer: A systematic review and meta-analysis. HPB 2019, 21, 1603–1612. [Google Scholar] [CrossRef] [PubMed]
- Ninomiya, G.; Fujii, T.; Yamada, S.; Yabusaki, N.; Suzuki, K.; Iwata, N.; Kanda, M.; Hayashi, M.; Tanaka, C.; Nakayama, G.; et al. Clinical impact of sarcopenia on prognosis in pancreatic ductal adenocarcinoma: A retrospective cohort study. Int. J. Surg. 2017, 39, 45–51. [Google Scholar] [CrossRef] [PubMed]
- Okumura, S.; Kaido, T.; Hamaguchi, Y.; Kobayashi, A.; Shirai, H.; Yao, S.; Yagi, S.; Kamo, N.; Hatano, E.; Okajima, H.; et al. Visceral Adiposity and Sarcopenic Visceral Obesity are Associated with Poor Prognosis after Resection of Pancreatic Cancer. Ann. Surg. Oncol. 2017, 24, 3732–3740. [Google Scholar] [CrossRef] [PubMed]
- Ryu, Y.; Shin, S.H.; Kim, J.H.; Jeong, W.K.; Park, D.J.; Kim, N.; Heo, J.S.; Choi, D.W.; Han, I.W. The effects of sarcopenia and sarcopenic obesity after pancreaticoduodenectomy in patients with pancreatic head cancer. HPB 2020, 22, 1782–1792. [Google Scholar] [CrossRef] [PubMed]
- Prado, C.M.; Lieffers, J.R.; McCargar, L.J.; Reiman, T.; Sawyer, M.B.; Martin, L.; Baracos, V.E. Prevalence and clinical implications of sarcopenic obesity in patients with solid tumours of the respiratory and gastrointestinal tracts: A population-based study. Lancet Oncol. 2008, 9, 629–635. [Google Scholar] [CrossRef] [PubMed]
- Pecorelli, N.; Carrara, G.; De Cobelli, F.; Cristel, G.; Damascelli, A.; Balzano, G.; Beretta, L.; Braga, M. Effect of sarcopenia and visceral obesity on mortality and pancreatic fistula following pancreatic cancer surgery. Br. J. Surg. 2016, 103, 434–442. [Google Scholar] [CrossRef] [PubMed]
- Baldessari, C.; Guaitoli, G.; Valoriani, F.; Bonacini, R.; Marcheselli, R.; Reverberi, L.; Pecchi, A.; Menozzi, R.; Torricelli, P.; Bertolini, F.; et al. Impact of body composition, nutritional and inflammatory status on outcome of non-small cell lung cancer patients treated with immunotherapy. Clin. Nutr. ESPEN 2021, 43, 64–75. [Google Scholar] [CrossRef] [PubMed]
- Williams, T.K.; Rosato, E.L.; Kennedy, E.P.; Chojnacki, K.A.; Andrel, J.; Hyslop, T.; Doria, C.; Sauter, P.K.; Bloom, J.; Yeo, C.J.; et al. Impact of obesity on perioperative morbidity and mortality after pancreaticoduodenectomy. J. Am. Coll. Surg. 2009, 208, 210–217. [Google Scholar] [CrossRef] [PubMed]
- Yu, S.Y.; Luan, Y.; Dong, R.; Abazarikia, A.; Kim, S.Y. Adipose Tissue Wasting as a Determinant of Pancreatic Cancer-Related Cachexia. Cancers 2022, 14, 4754. [Google Scholar] [CrossRef] [PubMed] [PubMed Central]
- Sohal, D.P.; Boutin, R.D.; Lenchik, L.; Kim, J.; Beg, M.S.; Wang-Gillam, A.; Wade, J.L., 3rd; Guthrie, K.A.; Chiorean, E.G.; Ahmad, S.A.; et al. Body composition measurements and clinical outcomes in patients with resectable pancreatic adenocarcinoma—Analysis from SWOG S1505. J. Gastrointest. Surg. 2024, 28, 232–235. [Google Scholar] [CrossRef] [PubMed]
- Menozzi, R.; Valoriani, F.; Ballarin, R.; Alemanno, L.; Vinciguerra, M.; Barbieri, R.; Cuoghi Costantini, R.; D’Amico, R.; Torricelli, P.; Pecchi, A. Impact of Nutritional Status on Postoperative Outcomes in Cancer Patients following Elective Pancreatic Surgery. Nutrients 2023, 15, 1958. [Google Scholar] [CrossRef] [PubMed] [PubMed Central]
- Vogele, D.; Otto, S.; Sollmann, N.; Haggenmüller, B.; Wolf, D.; Beer, M.; Schmidt, S.A. Sarcopenia—Definition, Radiological Diagnosis, Clinical Significance. Rofo 2023, 195, 393–405. [Google Scholar] [CrossRef] [PubMed]
- Albano, D.; Messina, C.; Vitale, J.; Sconfienza, L.M. Imaging of sarcopenia: Old evidence and new insights. Eur. Radiol. 2020, 30, 2199–2208. [Google Scholar] [CrossRef] [PubMed]
- Prado, C.M.; Landi, F.; Chew, S.T.H.; Atherton, P.J.; Molinger, J.; Ruck, T.; Gonzalez, M.C. Advances in muscle health and nutrition: A toolkit for healthcare professionals. Clin. Nutr. 2022, 41, 2244–2263. [Google Scholar] [CrossRef] [PubMed]
- Mitsiopoulos, N.; Baumgartner, R.N.; Heymsfield, S.B.; Lyons, W.; Gallagher, D.; Ross, R. Cadaver validation of skeletal muscle measurement by magnetic resonance imaging and computerized tomography. J. Appl. Physiol. 1998, 85, 115–122. [Google Scholar] [CrossRef] [PubMed]
- Mourtzakis, M.; Prado, C.M.M.; Lieffers, J.R.; Reiman, T.; McCargar, L.J.; Baracos, V.E. A practical and precise approach to quantification of body composition in cancer patients using computed tomography images acquired during routine care. Appl. Physiol. Nutr. Metab. Physiol. Appl. Nutr. Metab. 2008, 33, 997–1006. [Google Scholar] [CrossRef]
- Damm, M.; Efremov, L.; Jalal, M.; Nadeem, N.; Dober, J.; Michl, P.; Wohlgemuth, W.A.; Wadsley, J.; Hopper, A.D.; Krug, S.; et al. Body composition parameters predict survival in pancreatic cancer-A retrospective multicenter analysis. United Eur. Gastroenterol. J. 2023, 11, 998–1009. [Google Scholar] [CrossRef] [PubMed] [PubMed Central]
- Chan, M.Y.; Chok, K.S.H. Sarcopenia in pancreatic cancer—Effects on surgical outcomes and chemotherapy. World J. Gastrointest. Oncol. 2019, 11, 527–537. [Google Scholar] [CrossRef] [PubMed]
- Kusama, N.; Mitobe, Y.; Hyodo, N.; Miyashita, T.; Baba, Y.; Hashimoto, T.; Inagaki, Y. Preoperative Risk Factors in Patients With Pancreatic Cancer. J. Clin. Med. Res. 2023, 15, 300–309. [Google Scholar] [CrossRef] [PubMed] [PubMed Central]
- Takaichi, S.; Tomimaru, Y.; Kobayashi, S.; Toya, K.; Sasaki, K.; Iwagami, Y.; Yamada, D.; Noda, T.; Takahashi, H.; Asaoka, T.; et al. Change Impact of Body Composition during Neoadjuvant Chemoradiotherapy in Patients with Resectable and Borderline Resectable Pancreatic Ductal Adenocarcinoma Undergoing Pancreatectomy. Ann. Surg. Oncol. 2023, 30, 2458–2468. [Google Scholar] [CrossRef] [PubMed]
- Paiella, S.; Azzolina, D.; Trestini, I.; Malleo, G.; Nappo, G.; Ricci, C.; Ingaldi, C.; Vacca, P.G.; De Pastena, M.; Secchettin, E.; et al. Body composition parameters, immunonutritional indexes, and surgical outcome of pancreatic cancer patients resected after neoadjuvant therapy: A retrospective, multicenter analysis. Front Nutr. 2023, 10, 1065294, Erratum in: Front. Nutr. 2023, 10, 1212436. https://doi.org/10.3389/fnut.2023.1065294. [Google Scholar] [CrossRef] [PubMed] [PubMed Central]
- Khristenko, E.; Sinitsyn, V.; Rieden, T.; Girod, P.; Kauczor, H.-U.; Mayer, P.; Klauss, M.; Lyadov, V. CT-based screening of sarcopenia and its role in cachexia syndrome in pancreatic cancer. PLoS ONE 2024, 19, e0291185. [Google Scholar] [CrossRef] [PubMed] [PubMed Central]
- Lee, M.W.; Jeon, S.K.; Paik, W.H.; Yoon, J.H.; Joo, I.; Lee, J.M.; Lee, S.H. Prognostic value of initial and longitudinal changes in body composition in metastatic pancreatic cancer. J. Cachexia Sarcopenia Muscle 2024, 15, 735–745. [Google Scholar] [CrossRef] [PubMed] [PubMed Central]
- Amundson, J.R.M.; Williams, J.K.; Benjamin, A.J.; Witmer, H.D.; Roggin, K.K. The impact of sarcopenia on patients undergoing treatment for pancreatic ductal adenocarcinoma. J. Pancreatol. 2020, 3, 59–71. [Google Scholar] [CrossRef]
- Cruz-Jentoft, A.J.; Gonzalez, M.C.; Prado, C.M. Sarcopenia ≠ lox muscle mass. Eur. Geriatr. Med. 2023, 14, 225–228. [Google Scholar] [CrossRef] [PubMed]
- Tagliafico, A.S.; Bignotti, B.; Torri, L.; Rossi, F. Sarcopenia: How to mesure, when and why. Radiol Med. 2022, 127, 228–237. [Google Scholar] [CrossRef] [PubMed] [PubMed Central]
- Tan, B.H.; Birdsell, L.A.; Martin, L.; Baracos, V.E.; Fearon, K.C. Sarcopenia in an overweight or obese patient is an adverse prognostic factor in pancreatic cancer. Clin. Cancer Res. 2009, 15, 6973–6979. [Google Scholar] [CrossRef] [PubMed]
- Dalal, S.; Hui, D.; Bidaut, L.; Lem, K.; Del Fabbro, E.; Crane, C.; Reyes-Gibby, C.C.; Bedi, D.; Bruera, E. Relationships among body mass index, longitudinal body composition alterations, and survival in patients with locally advanced pancreatic cancer receiving chemoradiation: A pilot study. J. Pain Symptom. Manag. 2012, 44, 181–191. [Google Scholar] [CrossRef] [PubMed] [PubMed Central]
- Nakano, O.; Kawai, H.; Kobayashi, T.; Kohisa, J.; Ikarashi, S.; Hayashi, K.; Yokoyama, J.; Terai, S. Rapid decline in visceral adipose tissue over 1 month is associated with poor prognosis in patients with unresectable pancreatic cancer. Cancer Med. 2021, 10, 4291–4301. [Google Scholar] [CrossRef] [PubMed] [PubMed Central]
- Carrara, G.; Pecorelli, N.; De Cobelli, F.; Cristel, G.; Damascelli, A.; Beretta, L.; Braga, M. Preoperative sarcopenia determinants in pancreatic cancer patients. Clin. Nutr. 2017, 36, 1649–1653. [Google Scholar] [CrossRef] [PubMed]
- Cai, Z.W.; Li, J.L.; Liu, M.; Wang, H.W.; Jiang, C.Y. Low preoperative skeletal muscle index increases the risk of mortality among resectable pancreatic cancer patients: A retrospective study. World J. Gastrointest. Surg. 2022, 14, 1350–1362. [Google Scholar] [CrossRef] [PubMed] [PubMed Central]
- Guarneri, G.; Pecorelli, N.; Bettinelli, A.; Campisi, A.; Palumbo, D.; Genova, L.; Gasparini, G.; Provinciali, L.; Della Corte, A.; Abati, M.; et al. Prognostic value of preoperative CT scan derived body composition measures in resected pancreatic cancer. Eur. J. Surg. Oncol. 2023, 50, 106848, Epub ahead of print. [Google Scholar] [CrossRef] [PubMed]
- Cooper, A.B.; Slack, R.; Fogelman, D.; Holmes, H.M.; Petzel, M.; Parker, N.; Balachandran, A.; Garg, N.; Ngo-Huang, A.; Varadhachary, G.; et al. Characterization of Anthropometric Changes that Occur during Neoadjuvant Therapy for Potentially Resectable Pancreatic Cancer. Ann. Surg. Oncol. 2015, 22, 2416–2423. [Google Scholar] [CrossRef] [PubMed]
- Di Sebastiano, K.M.; Yang, L.; Zbuk, K.; Wong, R.K.; Chow, T.; Koff, D.; Moran, G.R.; Mourtzakis, M. Accelerated muscle and adipose tissue loss may predict survival in pancreatic cancer patients: The relationship with diabetes and anaemia. Br. J. Nutr. 2013, 109, 302–312. [Google Scholar] [CrossRef] [PubMed]
- Sandini, M.; Patino, M.; Ferrone, C.R.; Alvarez-Pérez, C.A.; Honselmann, K.C.; Paiella, S.; Catania, M.; Riva, L.; Tedesco, G.; Casolino, R.; et al. Association between Changes in Body Composition and Neoadjuvant Treatment for Pancreatic Cancer. JAMA Surg. 2018, 153, 809–815. [Google Scholar] [CrossRef] [PubMed] [PubMed Central]



| Author | Year | Study Population | n | Method | Sarcopenia Cut-Off |
|---|---|---|---|---|---|
| Ninomiya | 2017 | Japan | 265 | Retrospective | M < 43.75 cm2/m2 F < 38.5 cm2/m2 |
| Okumura | 2017 | Japan | 302 | Retrospective | M < 47.1 cm2/m2 F < 36.6 cm2/m2 |
| Sui | 2018 | Japan | 335 | Retrospective | M < 40.5 cm2/m2 F < 33.5 cm2/m2 |
| Prado | 2008 | Canada | 250 | Retrospective | M < 52.4 cm2/m2 F < 38.5 cm2/m2 |
| Ryu | 2020 | South Korea | 548 | Retrospective | M < 50.18 cm2/m2 F < 38.63 cm2/m2 |
| Categorical Variable | Frequency | Percentage (%) | |
|---|---|---|---|
| Gender | |||
| Male | 45 | 51.14 | |
| Female | 43 | 48.86 | |
| Surgery | |||
| Pancreaticoduodenectomy | 48 | 54.55 | |
| Pancreatectomy | 31 | 35.23 | |
| Other | 9 | 10.23 | |
| Numeric Variable | N | Mean | Standard Deviation |
| Age | 88 | 74.60 | 10.26 |
| Height (m) | 88 | 1.65 | 0.10 |
| BMI pre- surgery | 38 | 24.78 | 3.37 |
| Frequency | Percentage (%) | Comparison with Pre-Surgery (p-Value) | |
|---|---|---|---|
| Sarcopenia Pre-Surgery | |||
| Ryu | 43 | 48.86 | - |
| Prado | 50 | 56.82 | - |
| Okumura | 31 | 35.23 | - |
| Ninomiya | 24 | 27.27 | - |
| Sui | 6 | 6.82 | - |
| Sarcopenia post-surgery | |||
| Ryu | 25 | 39.06 | 0.453 |
| Prado | 24 | 37.5 | 0.052 |
| Okumura | 17 | 26.56 | 0.146 |
| Ninomiya | 24 | 37.5 | 0.228 |
| Sui | 8 | 12.5 | 0.579 |
| Variable | N | Mean | Standard Deviation |
|---|---|---|---|
| Pre-Surgery | |||
| TAMA | 88 | 125.31 | 27.93 |
| SMI | 88 | 45.4 | 7.33 |
| IMAC | 79 | −0.27 | 0.19 |
| VFI | 88 | 63.26 | 30.5 |
| SFI | 88 | 68.68 | 35.72 |
| Post-surgery | |||
| TAMA | 64 | 114.24 | 26.5 |
| SMI | 64 | 42.19 | 8.08 |
| IMAC | 32 | −0.37 | 0.63 |
| VFI | 64 | 42.03 | 28.35 |
| SFI | 64 | 49.39 | 35.85 |
| Variable | MD | 95% CI | p-Value | Effect Size (f2) | Effect Size (Class) | Outcome |
|---|---|---|---|---|---|---|
| Pre-Surgery | ||||||
| TAMA | 0.417 | (0.203, 0.630) | <0.001 | 0.170 | Medium | VFI |
| SMI | 2.051 | (1.286, 2.816) | <0.001 | 0.321 | Medium | VFI |
| IMAC | 73.847 | (39.804, 107.891) | <0.001 | 0.235 | Medium | VFI |
| SFI | 0.385 | (0.224, 0.546) | <0.001 | 0.255 | Medium | VFI |
| TAMA | −0.028 | (−0.299, 0.242) | 0.838 | 0.000 | Small | SFI |
| SMI | 0.822 | (−0.193, 1.837) | 0.116 | 0.029 | Small | SFI |
| IMAC | 111.055 | (76.248, 145.863) | <0.001 | 0.508 | Large | SFI |
| VFI | 0.528 | (0.307, 0.749) | <0.001 | 0.255 | Medium | SFI |
| TAMA | −0.001 | (−0.002, 0.001) | 0.432 | 0.008 | Small | IMAC |
| SMI | 0.001 | (−0.005, 0.007) | 0.736 | 0.001 | Small | IMAC |
| VFI | 0.003 | (0.001, 0.004) | <0.001 | 0.235 | Medium | IMAC |
| SFI | 0.003 | (0.002, 0.004) | <0.001 | 0.508 | Large | IMAC |
| Post-surgery | ||||||
| TAMA Post | 0.361 | (0.110, 0.611) | 0.006 | 0.128 | Medium | VFI Post |
| SMI Post | 1.591 | (0.813, 2.369) | <0.001 | 0.259 | Medium | VFI Post |
| IMAC Post | 21.863 | (5.620, 38.106) | 0.013 | 0.232 | Medium | VFI Post |
| SFI Post | 0.594 | (0.464, 0.724) | <0.001 | 1.295 | Large | VFI Post |
| TAMA Post | 0.383 | (0.060, 0.706) | 0.023 | 0.087 | Small | SFI Post |
| SMI Post | 1.741 | (0.725, 2.756) | 0.001 | 0.182 | Medium | SFI Post |
| IMAC Post | 25.342 | (5.058, 45.626) | 0.020 | 0.200 | Medium | SFI Post |
| VFI Post | 0.950 | (0.742, 1.158) | <0.001 | 1.295 | Large | SFI Post |
| TAMA Post | 0.002 | (−0.006, 0.010) | 0.614 | 0.009 | Small | IMAC Post |
| SMI Post | 0.021 | (−0.006, 0.049) | 0.144 | 0.075 | Small | IMAC Post |
| IMAC Post | 0.009 | (0.002, 0.015) | 0.013 | 0.232 | Medium | IMAC Post |
| SFI Post | 0.007 | (0.001, 0.012) | 0.020 | 0.200 | Medium | IMAC Post |
Disclaimer/Publisher’s Note: The statements, opinions and data contained in all publications are solely those of the individual author(s) and contributor(s) and not of MDPI and/or the editor(s). MDPI and/or the editor(s) disclaim responsibility for any injury to people or property resulting from any ideas, methods, instructions or products referred to in the content. |
© 2024 by the authors. Licensee MDPI, Basel, Switzerland. This article is an open access article distributed under the terms and conditions of the Creative Commons Attribution (CC BY) license (https://creativecommons.org/licenses/by/4.0/).
Share and Cite
Pecchi, A.; Valoriani, F.; Cuoghi Costantini, R.; Squecco, D.; Spallanzani, A.; D’Amico, R.; Dominici, M.; Di Benedetto, F.; Torricelli, P.; Menozzi, R. Role of Body Composition in Patients with Resectable Pancreatic Cancer. Nutrients 2024, 16, 1834. https://doi.org/10.3390/nu16121834
Pecchi A, Valoriani F, Cuoghi Costantini R, Squecco D, Spallanzani A, D’Amico R, Dominici M, Di Benedetto F, Torricelli P, Menozzi R. Role of Body Composition in Patients with Resectable Pancreatic Cancer. Nutrients. 2024; 16(12):1834. https://doi.org/10.3390/nu16121834
Chicago/Turabian StylePecchi, Annarita, Filippo Valoriani, Riccardo Cuoghi Costantini, Denise Squecco, Andrea Spallanzani, Roberto D’Amico, Massimo Dominici, Fabrizio Di Benedetto, Pietro Torricelli, and Renata Menozzi. 2024. "Role of Body Composition in Patients with Resectable Pancreatic Cancer" Nutrients 16, no. 12: 1834. https://doi.org/10.3390/nu16121834
APA StylePecchi, A., Valoriani, F., Cuoghi Costantini, R., Squecco, D., Spallanzani, A., D’Amico, R., Dominici, M., Di Benedetto, F., Torricelli, P., & Menozzi, R. (2024). Role of Body Composition in Patients with Resectable Pancreatic Cancer. Nutrients, 16(12), 1834. https://doi.org/10.3390/nu16121834

