Dynamic Changes in Gut Microbiota-Derived Metabolite Trimethylamine-N-Oxide and Risk of Type 2 Diabetes Mellitus: Potential for Dietary Changes in Diabetes Prevention
Abstract
1. Introduction
2. Methods
2.1. Study Population
2.2. Detection of Serum TMAO and Its Precursors by High-Performance Liquid Chromatography-Tandem Mass Spectrometry
2.3. Definition of T2DM Cases
2.4. Assessment of Other Variables
2.5. Statistical Analysis
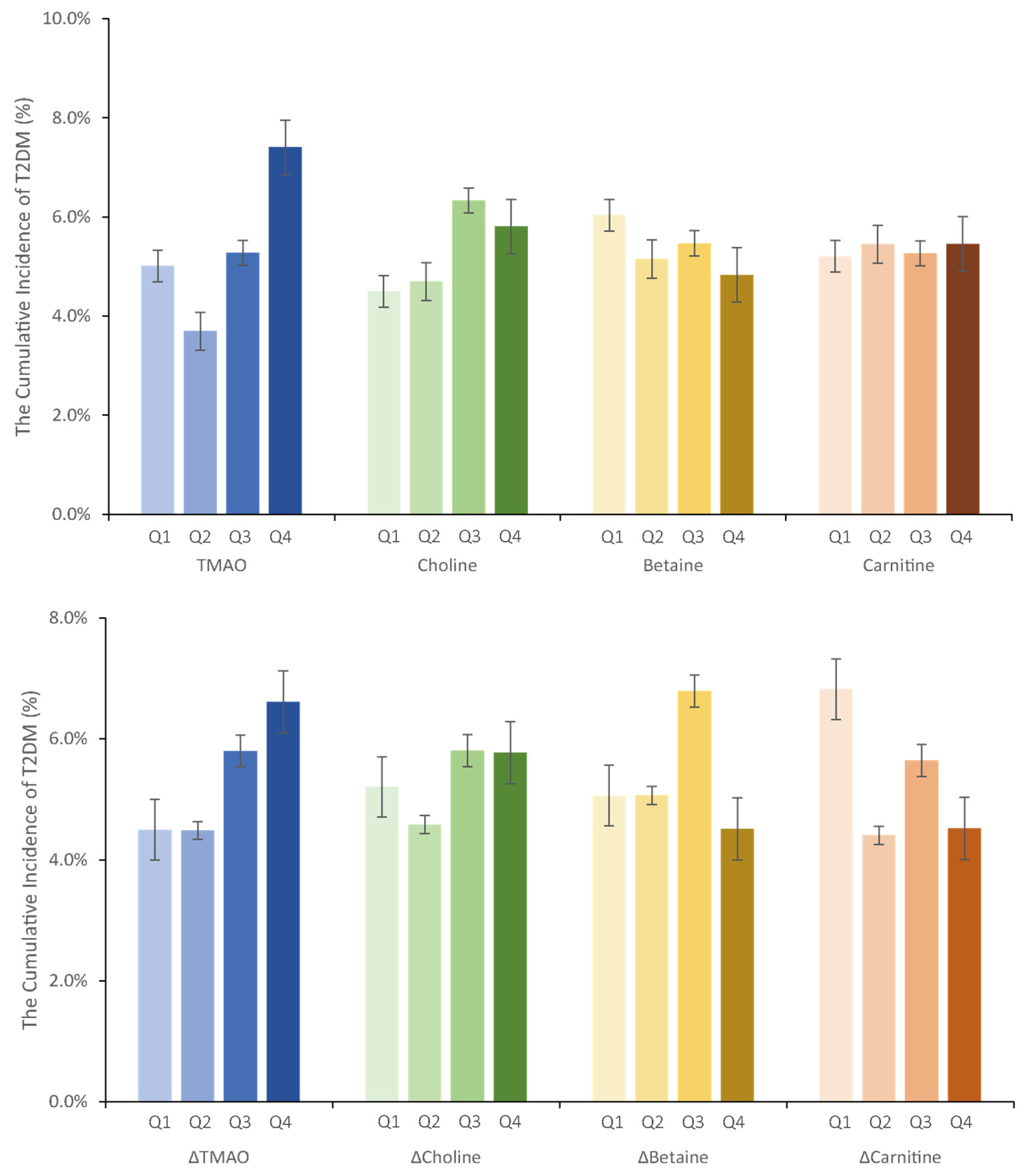
3. Results
4. Discussion
5. Conclusions
Author Contributions
Funding
Institutional Review Board Statement
Informed Consent Statement
Data Availability Statement
Conflicts of Interest
References
- Chatterjee, S.; Khunti, K.; Davies, M.J. Type 2 diabetes. Lancet 2017, 389, 2239–2251. [Google Scholar] [CrossRef]
- Sonnenburg, J.L.; Bäckhed, F. Diet–microbiota interactions as moderators of human metabolism. Nature 2016, 535, 56–64. [Google Scholar] [CrossRef]
- Wang, Z.; Klipfell, E.; Bennett, B.J.; Koeth, R.; Levison, B.S.; DuGar, B.; Feldstein, A.E.; Britt, E.B.; Fu, X.; Chung, Y.-M.; et al. Gut flora metabolism of phosphatidylcholine promotes cardiovascular disease. Nature 2011, 472, 57–63. [Google Scholar] [CrossRef]
- Koeth, R.A.; Wang, Z.; Levison, B.S.; Buffa, J.A.; Org, E.; Sheehy, B.T.; Britt, E.B.; Fu, X.; Wu, Y.; Li, L.; et al. Intestinal microbiota metabolism of L-carnitine, a nutrient in red meat, promotes atherosclerosis. Nat. Med. 2013, 19, 576–585. [Google Scholar] [CrossRef] [PubMed]
- Ufnal, M.; Zadlo, A.; Ostaszewski, R. TMAO: A small molecule of great expectations. Nutrition 2015, 31, 1317–1323. [Google Scholar] [CrossRef] [PubMed]
- Cho, C.E.; Caudill, M.A. Trimethylamine-N-Oxide: Friend, Foe, or Simply Caught in the Cross-Fire? Trends Endocrinol. Metab. 2017, 28, 121–130. [Google Scholar] [CrossRef] [PubMed]
- Luo, T.; Guo, Z.; Liu, D.; Guo, Z.; Wu, Q.; Li, Q.; Lin, R.; Chen, P.; Ou, C.; Chen, M. Deficiency of PSRC1 accelerates atherosclerosis by increasing TMAO production via manipulating gut microbiota and flavin monooxygenase 3. Gut Microbes 2022, 14, 2077602. [Google Scholar] [CrossRef]
- Zeisel, S.H.; Warrier, M. Trimethylamine N-Oxide, the Microbiome, and Heart and Kidney Disease. Annu. Rev. Nutr. 2017, 37, 157–181. [Google Scholar] [CrossRef] [PubMed]
- Subramaniam, S.; Fletcher, C. Trimethylamine N-oxide: Breathe new life. Br. J. Pharmacol. 2018, 175, 1344–1353. [Google Scholar] [CrossRef]
- Janeiro, M.H.; Ramírez, M.J.; Milagro, F.I.; Martínez, J.A.; Solas, M. Implication of Trimethylamine N-Oxide (TMAO) in Disease: Potential Biomarker or New Therapeutic Target. Nutrients 2018, 10, 1398. [Google Scholar] [CrossRef]
- Zheng, L.; Zheng, J.; Xie, Y.; Li, Z.; Guo, X.; Sun, G.; Sun, Z.; Xing, F.; Sun, Y. Serum gut microbe-dependent trimethylamine N-oxide improves the prediction of future cardiovascular disease in a community-based general population. Atherosclerosis 2019, 280, 126–131. [Google Scholar] [CrossRef] [PubMed]
- Govindarajulu, M.; Pinky, P.D.; Steinke, I.; Bloemer, J.; Ramesh, S.; Kariharan, T.; Rella, R.T.; Bhattacharya, S.; Dhanasekaran, M.; Suppiramaniam, V.; et al. Gut Metabolite TMAO Induces Synaptic Plasticity Deficits by Promoting Endoplasmic Reticulum Stress. Front. Mol. Neurosci. 2020, 13, 138. [Google Scholar] [CrossRef]
- Kong, L.; Zhao, Q.; Jiang, X.; Hu, J.; Jiang, Q.; Sheng, L.; Peng, X.; Wang, S.; Chen, Y.; Wan, Y.; et al. Trimethylamine N-oxide impairs beta-cell function and glucose tolerance. Nat. Commun. 2024, 15, 2526. [Google Scholar] [CrossRef] [PubMed]
- Zhuang, R.; Ge, X.; Han, L.; Yu, P.; Gong, X.; Meng, Q.; Zhang, Y.; Fan, H.; Zheng, L.; Liu, Z.; et al. Gut microbe-generated metabolite trimethylamine N-oxide and the risk of diabetes: A systematic review and dose-response meta-analysis. Obes. Rev. 2019, 20, 883–894. [Google Scholar] [CrossRef] [PubMed]
- Shan, Z.; Sun, T.; Huang, H.; Chen, S.; Chen, L.; Luo, C.; Yang, W.; Yang, X.; Yao, P.; Cheng, J.; et al. Association between microbiota-dependent metabolite trimethylamine-N-oxide and type 2 diabetes. Am. J. Clin. Nutr. 2017, 106, 888–894. [Google Scholar] [CrossRef]
- Kalagi, N.A.; Thota, R.N.; Stojanovski, E.; Alburikan, K.A.; Garg, M.L. Association between Plasma Trimethylamine N-Oxide Levels and Type 2 Diabetes: A Case Control Study. Nutrients 2022, 14, 2093. [Google Scholar] [CrossRef] [PubMed]
- Svingen, G.F.; Schartum-Hansen, H.; Pedersen, E.R.; Ueland, P.M.; Tell, G.S.; Mellgren, G.; Njølstad, P.R.; Seifert, R.; Strand, E.; Karlsson, T.; et al. Prospective Associations of Systemic and Urinary Choline Metabolites with Incident Type 2 Diabetes. Clin. Chem. 2016, 62, 755–765. [Google Scholar] [CrossRef] [PubMed]
- Lemaitre, R.N.; Jensen, P.N.; Wang, Z.; Fretts, A.M.; McKnight, B.; Nemet, I.; Biggs, M.L.; Sotoodehnia, N.; de Oliveira Otto, M.C.; Psaty, B.M.; et al. Association of Trimethylamine N-Oxide and Related Metabolites in Plasma and Incident Type 2 Diabetes: The Cardiovascular Health Study. JAMA Netw. Open 2021, 4, e2122844. [Google Scholar] [CrossRef]
- Papandreou, C.; Bulló, M.; Zheng, Y.; Ruiz-Canela, M.; Yu, E.; Guasch-Ferré, M.; Toledo, E.; Clish, C.; Corella, D.; Estruch, R.; et al. Plasma trimethylamine-N-oxide and related metabolites are associated with type 2 diabetes risk in the Prevención con Dieta Mediterránea (PREDIMED) trial. Am. J. Clin. Nutr. 2018, 108, 163–173. [Google Scholar] [CrossRef] [PubMed]
- Sotos-Prieto, M.; Bhupathiraju, S.N.; Mattei, J.; Fung, T.T.; Li, Y.; Pan, A.; Willett, W.C.; Rimm, E.B.; Hu, F.B. Association of Changes in Diet Quality with Total and Cause-Specific Mortality. N. Engl. J. Med. 2017, 377, 143–153. [Google Scholar] [CrossRef]
- Wang, L.; Li, X.; Wang, Z.; Bancks, M.P.; Carnethon, M.R.; Greenland, P.; Feng, Y.-Q.; Wang, H.; Zhong, V.W. Trends in Prevalence of Diabetes and Control of Risk Factors in Diabetes Among US Adults, 1999–2018. JAMA 2021, 326, 704–716. [Google Scholar] [CrossRef] [PubMed]
- Heianza, Y.; Ma, W.; DiDonato, J.A.; Sun, Q.; Rimm, E.B.; Hu, F.B.; Rexrode, K.M.; Manson, J.E.; Qi, L. Long-Term Changes in Gut Microbial Metabolite Trimethylamine N-Oxide and Coronary Heart Disease Risk. J. Am. Coll. Cardiol. 2020, 75, 763–772. [Google Scholar] [CrossRef] [PubMed]
- Qi, S.; Liu, L.; He, S.; Wang, L.; Li, J.; Sun, X. Trimethylamine N-Oxide and Related Metabolites in the Serum and Risk of Type 2 Diabetes in the Chinese Population: A Case-Control Study. Diabetes Metab. Syndr. Obesity 2023, 16, 547–555. [Google Scholar] [CrossRef] [PubMed]
- Gao, X.; Liu, X.; Xu, J.; Xue, C.; Xue, Y.; Wang, Y. Dietary trimethylamine N-oxide exacerbates impaired glucose tolerance in mice fed a high fat diet. J. Biosci. Bioeng. 2014, 118, 476–481. [Google Scholar] [CrossRef] [PubMed]
- Chen, S.; Henderson, A.; Petriello, M.C.; Romano, K.A.; Gearing, M.; Miao, J.; Schell, M.; Sandoval-Espinola, W.J.; Tao, J.; Sha, B.; et al. Trimethylamine N-Oxide Binds and Activates PERK to Promote Metabolic Dysfunction. Cell Metab. 2019, 30, 1141–1151.e5. [Google Scholar] [CrossRef] [PubMed]
- Ding, L.; Chang, M.; Guo, Y.; Zhang, L.; Xue, C.; Yanagita, T.; Zhang, T.; Wang, Y. Trimethylamine-N-oxide (TMAO)-induced atherosclerosis is associated with bile acid metabolism. Lipids Health Dis. 2018, 17, 286. [Google Scholar] [CrossRef] [PubMed]
- Yang, J.J.; Shu, X.-O.; Herrington, D.M.; Moore, S.C.; Meyer, K.A.; Ose, J.; Menni, C.; Palmer, N.D.; Eliassen, H.; Harada, S.; et al. Circulating trimethylamine N-oxide in association with diet and cardiometabolic biomarkers: An international pooled analysis. Am. J. Clin. Nutr. 2021, 113, 1145–1156. [Google Scholar] [CrossRef]
- Wang, Z.; Bergeron, N.; Levison, B.S.; Li, X.S.; Chiu, S.; Jia, X.; Koeth, R.A.; Li, L.; Wu, Y.; Tang, W.H.W.; et al. Impact of chronic dietary red meat, white meat, or non-meat protein on trimethylamine N-oxide metabolism and renal excretion in healthy men and women. Eur. Heart J. 2019, 40, 583–594. [Google Scholar] [CrossRef]
- Krishnan, S.; O’Connor, L.E.; Wang, Y.; Gertz, E.R.; Campbell, W.W.; Bennett, B.J. Adopting a Mediterranean-style eating pattern with low, but not moderate, unprocessed, lean red meat intake reduces fasting serum trimethylamine N-oxide (TMAO) in adults who are overweight or obese. Br. J. Nutr. 2021, 128, 1–21. [Google Scholar] [CrossRef]
- David, L.A.; Maurice, C.F.; Carmody, R.N.; Gootenberg, D.B.; Button, J.E.; Wolfe, B.E.; Ling, A.V.; Devlin, A.S.; Varma, Y.; Fischbach, M.A.; et al. Diet rapidly and reproducibly alters the human gut microbiome. Nature 2014, 505, 559–563. [Google Scholar] [CrossRef]
- Wang, Z.; Roberts, A.B.; Buffa, J.A.; Levison, B.S.; Zhu, W.; Org, E.; Gu, X.; Huang, Y.; Zamanian-Daryoush, M.; Culley, M.K.; et al. Non-lethal Inhibition of Gut Microbial Trimethylamine Production for the Treatment of Atherosclerosis. Cell 2015, 163, 1585–1595. [Google Scholar] [CrossRef] [PubMed]
- Falony, G.; Vieira-Silva, S.; Raes, J. Microbiology Meets Big Data: The Case of Gut Microbiota–Derived Trimethylamine. Annu. Rev. Microbiol. 2015, 69, 305–321. [Google Scholar] [CrossRef]
- Wang, S.; Xia, G.-H.; He, Y.; Liao, S.-X.; Yin, J.; Sheng, H.-F.; Zhou, H.-W. Distribution characteristics of trimethylamine N-oxide and its association with gut microbiota. J. South Med. Univ. 2016, 36, 455–460. [Google Scholar]
- Farahbod, K.; Slouha, E.; Gerts, A.; Rezazadah, A.; Clunes, L.A.; Kollias, T.F. The Effects of Diet Intervention on the Gut Microbiota in Type 2 Diabetes Mellitus: A Systematic Review. Cureus 2024, 16, e56737. [Google Scholar] [CrossRef] [PubMed]
- Chen, L.; Liu, B.; Ren, L.; Du, H.; Fei, C.; Qian, C.; Li, B.; Zhang, R.; Liu, H.; Li, Z.; et al. High-fiber diet ameliorates gut microbiota, serum metabolism and emotional mood in type 2 diabetes patients. Front. Cell. Infect. Microbiol. 2023, 13, 1069954. [Google Scholar] [CrossRef] [PubMed]
- Luo, W.; Zhou, J.; Yang, X.; Wu, R.; Liu, H.; Shao, H.; Huang, B.; Kang, X.; Yang, L.; Liu, D. A Chinese medical nutrition therapy diet accompanied by intermittent energy restriction alleviates type 2 diabetes by enhancing pancreatic islet function and regulating gut microbiota composition. Food Res. Int. 2022, 161, 111744. [Google Scholar] [CrossRef] [PubMed]
- Cho, E.; Zeisel, S.H.; Jacques, P.; Selhub, J.; Dougherty, L.; Colditz, G.A.; Willett, W.C. Dietary choline and betaine assessed by food-frequency questionnaire in relation to plasma total homocysteine concentration in the Framingham Offspring Study. Am. J. Clin. Nutr. 2006, 83, 905–911. [Google Scholar] [CrossRef] [PubMed]
- Rath, S.; Rox, K.; Bardenhorst, S.K.; Schminke, U.; Doerr, M.; Mayerle, J.; Frost, F.; Lerch, M.M.; Karch, A.; Broenstrup, M.; et al. Higher Trimethylamine-N-Oxide Plasma Levels with Increasing Age Are Mediated by Diet and Trimethylamine-Forming Bacteria. mSystems 2021, 6, e0094521. [Google Scholar] [CrossRef] [PubMed]
- Ufnal, M.; Jazwiec, R.; Dadlez, M.; Drapala, A.; Sikora, M.; Skrzypecki, J. Trimethylamine-N-oxide: A carnitine-derived metabolite that prolongs the hypertensive effect of angiotensin II in rats. Can. J. Cardiol. 2014, 30, 1700–1705. [Google Scholar] [CrossRef]
- Nie, J.; Xie, L.; Zhao, B.-X.; Li, Y.; Qiu, B.; Zhu, F.; Li, G.-F.; He, M.; Wang, Y.; Wang, B.; et al. Serum Trimethylamine N-Oxide Concentration Is Positively Associated with First Stroke in Hypertensive Patients. Stroke 2018, 49, 2021–2028. [Google Scholar] [CrossRef]
- Andraos, S.; Lange, K.; Clifford, S.A.; Jones, B.; Thorstensen, E.B.; Kerr, J.A.; Wake, M.; Saffery, R.; Burgner, D.P.; O’Sullivan, J.M. Plasma Trimethylamine N-Oxide and Its Precursors: Population Epidemiology, Parent-Child Concordance, and Associations with Reported Dietary Intake in 11- to 12-Year-Old Children and Their Parents. Curr. Dev. Nutr. 2020, 4, nzaa103. [Google Scholar] [CrossRef] [PubMed]

| Variables | Controls | Diabetes Cases | p * |
|---|---|---|---|
| Characteristics at the first blood collection | |||
| N | 1434 | 81 | |
| Sex, male, n(%) | 497 (34.7) | 25 (30.9) | 0.485 |
| Age, y | 59.09 ± 9.49 | 60.88 ± 8.31 | 0.097 |
| BMI, kg/m2 | 24.70 ± 3.62 | 25.87 ± 4.15 | 0.005 |
| Education, primary school or below, n(%) | 568 (40.3) | 39 (48.8) | 0.134 |
| Income, ≤10,000 Yuan/Year/Person, n(%) | 1007 (71.6) | 61 (76.3) | 0.370 |
| Family history of diabetes, n(%) | 54 (3.8) | 1 (1.2) | 0.236 |
| Daily average frequency of red meat | 0.52 (0.21, 1.02) | 0.52 (0.22, 1.02) | 0.709 |
| Daily average frequency of fish | 0.04 (0.04, 0.14) | 0.04 (0.04, 0.14) | 0.488 |
| Daily average frequency of dairy products | 0.04 (0.00, 0.23) | 0.02 (0.00, 0.23) | 0.329 |
| Daily average frequency of eggs | 0.79 (0.50, 1.00) | 1.00 (0.50, 1.00) | 0.940 |
| Physical activity, n(%) | 407 (28.4) | 15 (18.5) | 0.054 |
| Current smoker, n(%) | 370 (25.8) | 21 (25.9) | 0.980 |
| Current drinker, n(%) | 295 (20.6) | 11 (15.9) | 0.351 |
| Hypertension, n(%) | 390 (27.2) | 30 (37.0) | 0.054 |
| Hyperlipidemia, n(%) | 144 (10.0) | 13 (16.0) | 0.084 |
| Fasting plasma glucose, mmol/L | 5.38 (5.06, 5.75) | 6.18 (5.61, 6.65) | <0.001 |
| Triglycerides, mmol/L | 1.19 (0.86, 1.73) | 1.53 (1.07, 2.52) | <0.001 |
| Total cholesterol, mmol/L | 5.06 (4.52, 5.66) | 5.36 (4.63, 5.90) | 0.028 |
| HDL-cholesterol, mmol/L | 1.15 (1.01, 1.32) | 1.08 (0.94, 1.27) | 0.009 |
| LDL-cholesterol, mmol/L | 3.26 (2.74, 3.76) | 3.42 (2.86, 3.85) | 0.197 |
| TMAO, µmol/L | 4.09 (2.17, 7.53) | 5.08 (2.27, 8.91) | 0.187 |
| Choline, µmol/L | 185.71 (130.30, 251.26) | 192.67 (135.54, 258.73) | 0.447 |
| Betaine, µmol/L | 106.85 (78.11, 152.87) | 105.12 (74.24, 148.59) | 0.472 |
| Carnitine, µmol/L | 52.28 (40.51, 72.87) | 52.15 (40.75, 72.44) | 0.964 |
| Characteristics at the second blood collection | |||
| Physical activity, n(%) | 293 (20.4) | 16 (19.8) | 0.883 |
| Current smoker, n(%) | 336 (23.4) | 20 (24.7) | 0.795 |
| Current drinker, n(%) | 267 (18.6) | 12 (14.8) | 0.390 |
| Hypertension, n(%) | 408 (28.5) | 37 (45.7) | <0.001 |
| Hyperlipidemia, n(%) | 114 (7.9) | 12 (14.8) | 0.029 |
| Fasting plasma glucose, mmol/L | 5.30 (4.95, 5.70) | 7.75 (7.20, 8.61) | <0.001 |
| Triglycerides, mmol/L | 1.19 (0.86, 1.66) | 1.41 (1.06, 2.21) | <0.001 |
| Total cholesterol, mmol/L | 4.74 (4.17, 5.36) | 5.08 (4.4, 5.77) | 0.003 |
| HDL-cholesterol, mmol/L | 1.39 (1.17, 1.64) | 1.27 (1.09, 1.50) | 0.004 |
| LDL-cholesterol, mmol/L | 2.68 (2.18, 3.2) | 2.94 (2.47, 3.45) | 0.004 |
| TMAO, µmol/L | 3.18 (1.59, 5.91) | 4.51 (1.96, 7.02) | 0.005 |
| Choline, µmol/L | 93.28 (73.94, 113.74) | 93.85 (73.14, 127.66) | 0.334 |
| Betaine, µmol/L | 93.38 (73.5, 120.55) | 83.57 (66.88, 107.40) | 0.047 |
| Carnitine, µmol/L | 52.25 (43.06, 63.16) | 48.24 (40.88, 58.06) | 0.026 |
| Changes from the baseline to second blood collections | |||
| ΔFasting plasma glucose, mmol/L | −0.08 (−0.41, 0.26) | 1.56 (0.87, 2.75) | <0.001 |
| ΔTriglycerides, mmol/L | −0.01 (−0.34, 0.29) | 0.04 (−0.46, 0.46) | 0.779 |
| ΔTotal cholesterol, mmol/L | −0.33 (−0.74, 0.10) | −0.18 (−0.71, 0.15) | 0.328 |
| ΔHDL-cholesterol, mmol/L | 0.24 (0.10, 0.39) | 0.18 (0.06, 0.39) | 0.117 |
| ΔLDL-cholesterol, mmol/L | −0.57 (−0.95, −0.2) | −0.51 (−0.84, −0.03) | 0.070 |
| ΔTMAO, µmol/L | −0.90 (−3.96, 1.72) | −0.56 (−3.11, 2.68) | 0.202 |
| ΔCholine, µmol/L | −88.05 (−162.17, −28.13) | −79.2 (−165.82, −24.96) | 0.774 |
| ΔBetaine, µmol/L | −14.44 (−56.46, 20.07) | −9.05 (−54.24, 14.86) | 0.971 |
| ΔCarnitine, µmol/L | −1.35 (−20.47, 15.11) | −3.29 (−25.81, 11.98) | 0.177 |
| Crude Model | Model 1 | Model 2 | Model 3 | |
|---|---|---|---|---|
| OR (95% CI) | OR (95% CI) | OR (95% CI) | OR (95% CI) | |
| TMAO, µmol/L | ||||
| Q1 (≤2.19) | 1.00 (Reference) | 1.00 (Reference) | 1.00 (Reference) | 1.00 (Reference) |
| Q2 (2.19 to 4.16) | 0.73 (0.36, 1.47) | 0.71 (0.35, 1.44) | 0.70 (0.34, 1.42) | 0.82 (0.40, 1.70) |
| Q3 (4.16 to 7.64) | 1.06 (0.55, 2.01) | 0.99 (0.52, 1.89) | 0.96 (0.50, 1.86) | 1.44 (0.71, 2.93) |
| Q4 (≥7.64) | 1.52 (0.83, 2.76) | 1.39 (0.75, 2.55) | 1.35 (0.73, 2.50) | 3.35 (1.55, 7.26) |
| Per 1 SD increment | 1.01 (0.82, 1.25) | 1.01 (0.79, 1.29) | 1.01 (0.77, 1.32) | 1.10 (0.90, 1.34) |
| Choline, µmol/L | ||||
| Q1 (≤130.76) | 1.00 (Reference) | 1.00 (Reference) | 1.00 (Reference) | 1.00 (Reference) |
| Q2 (130.76 to 184.06) | 1.05 (0.53, 2.08) | 1.07 (0.54, 2.14) | 1.03 (0.51, 2.06) | 1.39 (0.62, 3.09) |
| Q3 (180.06 to 247.96) | 1.44 (0.76, 2.72) | 1.57 (0.82, 3.01) | 1.49 (0.78, 2.87) | 3.37 (1.41, 8.05) |
| Q4 (≥247.96) | 1.31 (0.69, 2.49) | 1.31 (0.69, 2.52) | 1.24 (0.64, 2.39) | 4.72 (1.47, 15.13) |
| Per 1 SD increment | 1.02 (0.82, 1.26) | 1.01 (0.81, 1.25) | 0.99 (0.79, 1.26) | 1.10 (0.84, 1.45) |
| Betaine, µmol/L | ||||
| Q1 (≤75.39) | 1.00 (Reference) | 1.00 (Reference) | 1.00 (Reference) | 1.00 (Reference) |
| Q2 (75.39 to 103.70) | 0.85 (0.45, 1.60) | 0.84 (0.44, 1.60) | 0.80 (0.42, 1.53) | 0.72 (0.36, 1.44) |
| Q3 (103.70 to 147.59) | 0.90 (0.48, 1.68) | 0.95 (0.51, 1.78) | 0.93 (0.49, 1.76) | 0.84 (0.40, 1.79) |
| Q4 (≥147.59) | 0.79 (0.42, 1.48) | 0.86 (0.46, 1.63) | 0.81 (0.43, 1.54) | 0.71 (0.28, 1.85) |
| Per 1 SD increment | 0.93 (0.73, 1.17) | 0.97 (0.76, 1.23) | 0.94 (0.74, 1.21) | 0.89 (0.61, 1.29) |
| Carnitine, µmol/L | ||||
| Q1 (≤40.09) | 1.00 (Reference) | 1.00 (Reference) | 1.00 (Reference) | 1.00 (Reference) |
| Q2 (40.09 to 51.18) | 1.05 (0.55, 2.00) | 1.06 (0.55, 2.03) | 1.14 (0.59, 2.19) | 1.03 (0.51, 2.08) |
| Q3 (51.18 to 70.90) | 1.01 (0.53, 1.93) | 1.01 (0.53, 1.93) | 1.06 (0.55, 2.04) | 0.82 (0.37, 1.82) |
| Q4 (≥70.90) | 1.05 (0.56, 1.98) | 1.03 (0.54, 1.96) | 1.06 (0.55, 2.01) | 0.49 (0.18, 1.34) |
| Per 1 SD increment | 1.02 (0.82, 1.27) | 1.02 (0.81, 1.27) | 1.01 (0.81, 1.27) | 0.77 (0.54, 1.11) |
| Crude Model | Model 1 | Model 2 | Model 3 | |
|---|---|---|---|---|
| OR (95% CI) | OR (95% CI) | OR (95% CI) | OR (95% CI) | |
| ΔTMAO, µmol/L | ||||
| Q1 (≤−3.95) | 1.00 (Reference) | 1.00 (Reference) | 1.00 (Reference) | 1.00 (Reference) |
| Q2 (−3.95 to −0.87) | 1.00 (0.50, 1.98) | 1.00 (0.50, 2.01) | 1.01 (0.50, 2.03) | 2.07 (0.93, 4.61) |
| Q3 (−0.87 to 1.76) | 1.31 (0.68, 2.50) | 1.38 (0.72, 2.66) | 1.40 (0.72, 2.71) | 3.59 (1.57, 8.22) |
| Q4 (≥1.76) | 1.50 (0.80, 2.83) | 1.54 (0.81, 2.93) | 1.53 (0.80, 2.92) | 3.69 (1.66, 8.17) |
| Per 1 SD increment | 1.21 (0.94, 1.54) | 1.21 (0.94, 1.56) | 1.20 (0.94, 1.55) | 1.34 (1.06, 1.71) |
| ΔCholine, µmol/L | ||||
| Q1 (≤−160.60) | 1.00 (Reference) | 1.00 (Reference) | 1.00 (Reference) | 1.00 (Reference) |
| Q2 (−160.60 to −87.52) | 0.87 (0.45, 1.70) | 0.97 (0.50, 1.90) | 0.99 (0.50, 1.94) | 1.46 (0.55, 3.89) |
| Q3 (−87.52 to −28.18) | 1.12 (0.60, 2.09) | 1.13 (0.60, 2.12) | 1.16 (0.62, 2.19) | 3.20 (1.11, 9.27) |
| Q4 (≥−28.18) | 1.12 (0.60, 2.08) | 1.12 (0.59, 2.10) | 1.21 (0.64, 2.28) | 4.56 (1.43, 14.55) |
| Per 1 SD increment | 1.08 (0.84, 1.38) | 1.08 (0.85, 1.38) | 1.11 (0.86, 1.43) | 1.80 (1.11, 2.90) |
| ΔBetaine, µmol/L | ||||
| Q1 (≤−53.66) | 1.00 (Reference) | 1.00 (Reference) | 1.00 (Reference) | 1.00 (Reference) |
| Q2 (−53.66 to −12.75) | 1.00 (0.53, 1.91) | 0.98 (0.51, 1.88) | 1.00 (0.52, 1.92) | 0.94 (0.43, 2.08) |
| Q3 (−12.75 to 19.94) | 1.37 (0.75, 2.51) | 1.32 (0.71, 2.42) | 1.31 (0.70, 2.42) | 1.15 (0.48, 2.75) |
| Q4 (≥19.94) | 0.89 (0.46, 1.72) | 0.80 (0.41, 1.56) | 0.85 (0.43, 1.67) | 0.70 (0.27, 1.83) |
| Per 1 SD increment | 0.99 (0.79, 1.23) | 0.95 (0.76, 1.20) | 0.97 (0.77, 1.23) | 0.86 (0.62, 1.20) |
| ΔCarnitine, µmol/L | ||||
| Q1 (≤−20.65) | 1.00 (Reference) | 1.00 (Reference) | 1.00 (Reference) | 1.00 (Reference) |
| Q2 (−20.65 to −1.03) | 0.63 (0.34, 1.18) | 0.63 (0.33, 1.18) | 0.62 (0.33, 1.18) | 0.42 (0.19, 0.94) |
| Q3 (−1.03 to 15.05) | 0.82 (0.45, 1.48) | 0.80 (0.44, 1.46) | 0.81 (0.44, 1.48) | 0.48 (0.20, 1.15) |
| Q4 (≥15.05) | 0.65 (0.35, 1.21) | 0.60 (0.32, 1.14) | 0.63 (0.33, 1.19) | 0.36 (0.14, 0.95) |
| Per 1 SD increment | 0.86 (0.69, 1.08) | 0.85 (0.68, 1.06) | 0.87 (0.69, 1.09) | 0.73 (0.51, 1.03) |
| Group | N | Crude, OR (95% CI) | p | Model 1, OR (95% CI) | p | Model 2, OR (95% CI) | p |
|---|---|---|---|---|---|---|---|
| (1) low TMAO and low ΔTMAO | 2/178 | 1.00 (Reference) | - | 1.00 (Reference) | - | 1.00 (Reference) | - |
| (2) low TMAO and high ΔTMAO | 31/547 | 5.04 (1.20, 21.29) | 0.028 | 4.97 (1.17, 21.06) | 0.029 | 4.89 (1.15, 20.77) | 0.031 |
| (3) high TMAO and low ΔTMAO | 32/545 | 5.23 (1.24, 22.02) | 0.024 | 4.82 (1.14, 20.38) | 0.033 | 4.70 (1.11, 19.91) | 0.036 |
| (4) high TMAO and high ΔTMAO | 16/164 | 8.68 (1.97, 38.34) | 0.004 | 8.23 (1.85, 36.60) | 0.006 | 7.89 (1.77, 35.23) | 0.007 |
Disclaimer/Publisher’s Note: The statements, opinions and data contained in all publications are solely those of the individual author(s) and contributor(s) and not of MDPI and/or the editor(s). MDPI and/or the editor(s) disclaim responsibility for any injury to people or property resulting from any ideas, methods, instructions or products referred to in the content. |
© 2024 by the authors. Licensee MDPI, Basel, Switzerland. This article is an open access article distributed under the terms and conditions of the Creative Commons Attribution (CC BY) license (https://creativecommons.org/licenses/by/4.0/).
Share and Cite
Huang, Y.; Wu, Y.; Zhang, Y.; Bai, H.; Peng, R.; Ruan, W.; Zhang, Q.; Cai, E.; Ma, M.; Zhao, Y.; et al. Dynamic Changes in Gut Microbiota-Derived Metabolite Trimethylamine-N-Oxide and Risk of Type 2 Diabetes Mellitus: Potential for Dietary Changes in Diabetes Prevention. Nutrients 2024, 16, 1711. https://doi.org/10.3390/nu16111711
Huang Y, Wu Y, Zhang Y, Bai H, Peng R, Ruan W, Zhang Q, Cai E, Ma M, Zhao Y, et al. Dynamic Changes in Gut Microbiota-Derived Metabolite Trimethylamine-N-Oxide and Risk of Type 2 Diabetes Mellitus: Potential for Dietary Changes in Diabetes Prevention. Nutrients. 2024; 16(11):1711. https://doi.org/10.3390/nu16111711
Chicago/Turabian StyleHuang, Yuliang, Yani Wu, Yao Zhang, He Bai, Ruiheng Peng, Wenli Ruan, Qianlong Zhang, Enmao Cai, Mingfeng Ma, Yueyang Zhao, and et al. 2024. "Dynamic Changes in Gut Microbiota-Derived Metabolite Trimethylamine-N-Oxide and Risk of Type 2 Diabetes Mellitus: Potential for Dietary Changes in Diabetes Prevention" Nutrients 16, no. 11: 1711. https://doi.org/10.3390/nu16111711
APA StyleHuang, Y., Wu, Y., Zhang, Y., Bai, H., Peng, R., Ruan, W., Zhang, Q., Cai, E., Ma, M., Zhao, Y., Lu, Y., & Zheng, L. (2024). Dynamic Changes in Gut Microbiota-Derived Metabolite Trimethylamine-N-Oxide and Risk of Type 2 Diabetes Mellitus: Potential for Dietary Changes in Diabetes Prevention. Nutrients, 16(11), 1711. https://doi.org/10.3390/nu16111711

