Longitudinal Changes in Human Milk Minerals and Vitamins in the Chinese Population: A Scoping Review
Abstract
1. Introduction
2. Materials and Methods
2.1. Literature Search and Selection
2.2. Data Extraction and Statistical Analysis
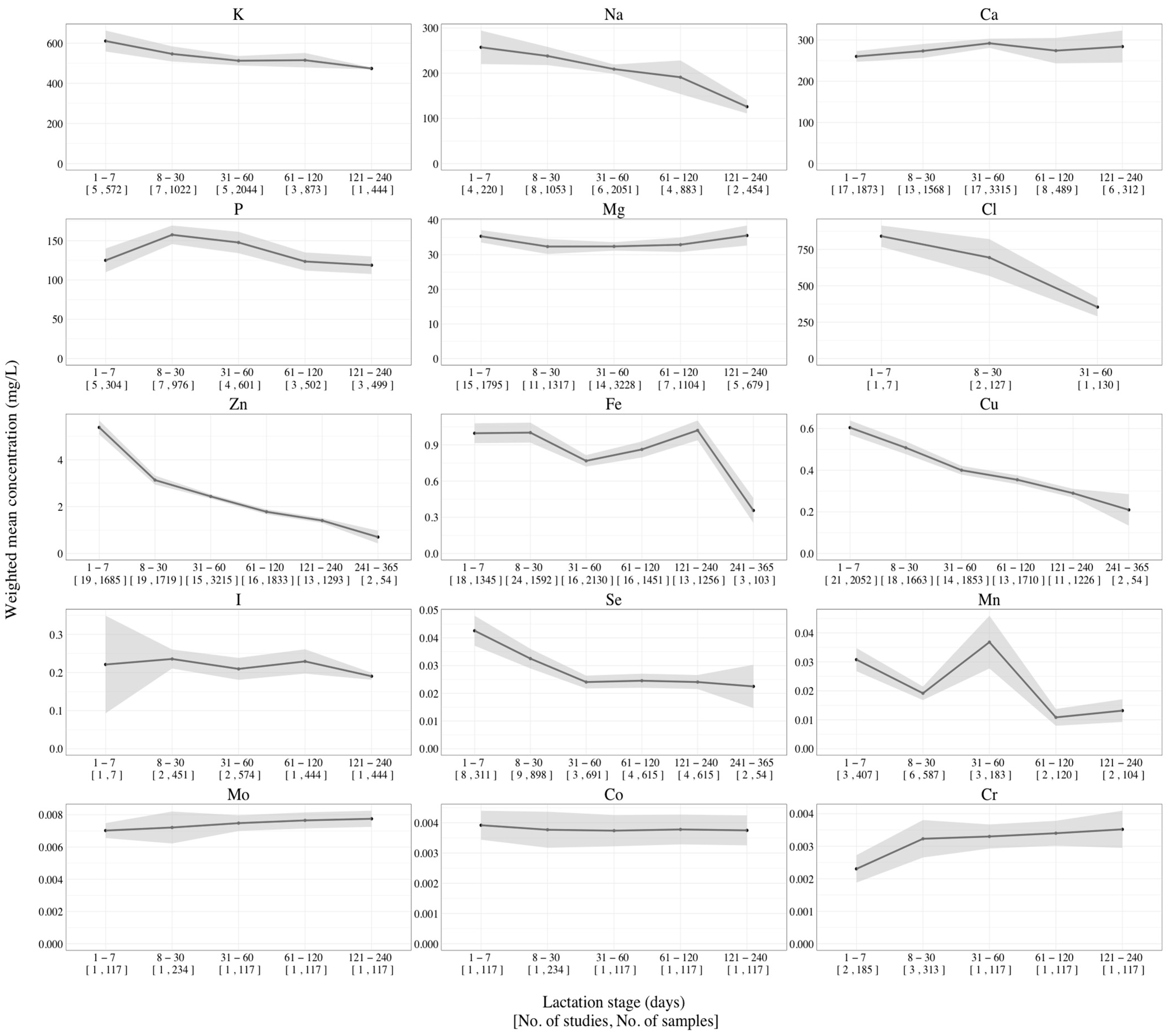
3. Results
4. Discussion
5. Conclusions
Supplementary Materials
Author Contributions
Funding
Data Availability Statement
Conflicts of Interest
References
- Duale, A.; Singh, P.; Al Khodor, S. Breast Milk: A Meal Worth Having. Front. Nutr. 2021, 8, 800927. [Google Scholar] [CrossRef] [PubMed]
- World Health Organization. Protecting, Promoting, and Supporting Breastfeeding in Facilities Providing Maternity and Newborn Services: The Revised Baby-Friendly Hospital Initiative; WHO: Geneva, Switzerland, 2018. [Google Scholar]
- Cerdó, T.; Diéguez, E.; Campoy, C. Infant Growth, Neurodevelopment and Gut Microbiota during Infancy: Which Nutrients Are Crucial? Curr. Opin. Clin. Nutr. Metab. Care 2019, 22, 434–441. [Google Scholar] [CrossRef] [PubMed]
- Zhang, Z.; Wang, Y.; Yang, X.; Cheng, Y.; Zhang, H.; Xu, X.; Zhou, J.; Chen, H.; Su, M.; Yang, Y.; et al. Human Milk Lipid Profiles around the World: A Systematic Review and Meta-Analysis. Adv. Nutr. 2022, 13, 2519–2536. [Google Scholar] [CrossRef] [PubMed]
- Zhou, Y.; Sun, H.; Li, K.; Zheng, C.; Ju, M.; Lyu, Y.; Zhao, R.; Wang, W.; Zhang, W.; Xu, Y.; et al. Dynamic Changes in Human Milk Oligosaccharides in Chinese Population: A Systematic Review and Meta-Analysis. Nutrients 2021, 13, 2912. [Google Scholar] [CrossRef] [PubMed]
- Ren, Q.; Sun, H.; Zhao, M.; Xu, Y.; Xie, Q.; Jiang, S.; Zhao, X.; Zhang, W. Longitudinal Changes in Crude Protein and Amino Acids in Human Milk in Chinese Population: A Systematic Review. J. Pediatr. Gastroenterol. Nutr. 2020, 70, 555–561. [Google Scholar] [CrossRef] [PubMed]
- Ren, Q.; Li, K.; Sun, H.; Zheng, C.; Zhou, Y.; Lyu, Y.; Ye, W.; Shi, H.; Zhang, W.; Xu, Y.; et al. The Association of Formula Protein Content and Growth in Early Infancy: A Systematic Review and Meta-Analysis. Nutrients 2022, 14, 2255. [Google Scholar] [CrossRef]
- Dror, D.K.; Allen, L.H. Overview of Nutrients in Human Milk. Adv. Nutr. 2018, 1, 278S–294S. [Google Scholar] [CrossRef]
- Batalha, M.A.; Ferreira, A.L.; Freitas-Costa, N.C.; Figueiredo, A.C.C.; Carrilho, T.R.B.; Shahab-Ferdows, S.; Hampel, D.; Allen, L.H.; Pérez-Escamilla, R.; Kac, G. Factors associated with longitudinal changes in B-vitamin and choline concentrations of human milk. Am. J. Clin. Nutr. 2021, 114, 1560–1573. [Google Scholar] [CrossRef]
- Ren, X.; Yang, Z.; Shao, B.; Yin, S.A.; Yang, X. B-Vitamin Levels in Human Milk among Different Lactation Stages and Areas in China. PLoS ONE 2015, 10, e0133285. [Google Scholar] [CrossRef]
- Sabatier, M.; Garcia-Rodenas, C.L.; Castro, C.A.; Kastenmayer, P.; Vigo, M.; Dubascoux, S.; Andrey, D.; Nicolas, M.; Payot, J.R.; Bordier, V.; et al. Longitudinal Changes of Mineral Concentrations in Preterm and Term Human Milk from Lactating Swiss Women. Nutrients 2019, 11, 1855. [Google Scholar] [CrossRef]
- Shi, Y.D.; Sun, G.Q.; Zhang, Z.G.; Deng, X.; Kang, X.H.; Liu, Z.D.; Ma, Y.; Sheng, Q.H. The chemical composition of human milk from Inner Mongolia of China. Food Chem. 2011, 127, 1193–1198. [Google Scholar] [CrossRef] [PubMed]
- Dror, D.K.; Allen, L.H. Iodine in Human Milk: A Systematic Review. Adv. Nutr. 2018, 9, 347S–357S. [Google Scholar] [CrossRef] [PubMed]
- Dror, D.K.; Allen, L.H. Vitamin B-12 in Human Milk: A Systematic Review. Adv. Nutr. 2018, 9, 358S–366S. [Google Scholar] [CrossRef] [PubMed]
- Zhang, H.; Ren, X.; Yang, Z.; Lai, J. Vitamin A Concentration in Human Milk: A Meta-Analysis. Nutrients 2022, 14, 4844. [Google Scholar] [CrossRef] [PubMed]
- Xi, Y.; Wang, X.; Liu, K.; Zhang, H.; Ren, X.; Zhao, A.; Yang, Y.; Lai, J.; Xiao, R. Vitamin E Concentration in Breast Milk in Different Periods of Lactation: Meta-Analysis. Front. Nutr. 2022, 9, 1050011. [Google Scholar] [CrossRef] [PubMed]
- Gidrewicz, D.A.; Fenton, T.R. A Systematic Review and Meta-Analysis of the Nutrient Content of Preterm and Term Breast Milk. BMC Pediatr. 2014, 14, 216. [Google Scholar] [CrossRef] [PubMed]
- Yang, T.; Zhang, L.; Bao, W.; Rong, S. Nutritional Composition of Breast Milk in Chinese Women: A Systematic Review. Asia Pac. J. Clin. Nutr. 2018, 27, 491–502. [Google Scholar] [CrossRef] [PubMed]
- Tricco, A.C.; Lillie, E.; Zarin, W.; O’Brien, K.K.; Colquhoun, H.; Levac, D.; Moher, D.; Peters, M.D.J.; Horsley, T.; Weeks, L.; et al. PRISMA Extension for Scoping Reviews (PRISMA-ScR): Checklist and Explanation. Ann. Intern. Med. 2018, 169, 467–473. [Google Scholar] [CrossRef] [PubMed]
- Luo, D.; Wan, X.; Liu, J.; Tong, T. Optimally Estimating the Sample Mean from the Sample Size, Median, Mid-Range, and/or Mid-Quartile Range. Stat. Methods Med. Res. 2018, 27, 1785–1805. [Google Scholar] [CrossRef]
- Neville, M.C.; Keller, R.; Seacat, J.; Lutes, V.; Neifert, M.; Casey, C.; Allen, J.; Archer, P. Studies in Human Lactation: Milk Volumes in Lactating Women during the Onset of Lactation and Full Lactation. Am. J. Clin. Nutr. 1988, 48, 1375–1386. [Google Scholar] [CrossRef]
- Chen, T.; Li, W.; Zhang, C.; Gao, Z. Clinical and Experimental Study of Yangxueshengru Oral Liquor in Promoting Puerperal Breast Milk Secretion. Chin. J. Integr. Tradit. West. Med. 1995, 15, 528–531. (In Chinese) [Google Scholar]
- Dai, D.; Tang, Z. Copper, Iron and Zinc Content of Preterm and Term Human Milk and Cow’s Milk. J. Sichuan Univ. (Med. Sci.) 1991, 22, 428–431. (In Chinese) [Google Scholar]
- Du, C.; Wamg, C.; Zhang, Y.; Fan, L.; Wang, W.; Chen, W.; Shen, J.; Zhang, W. The iodine status of lactating women and the influence on infants in Tianjin City. J. Hyg. Res. 2018, 47, 543–547. (In Chinese) [Google Scholar] [CrossRef]
- Gao, S.; Zhou, X.; Chen, D. Analysis of Vitamin B12 and Folic Acid in Serum and Breast Milk during Late Pregnancy. J. Pract. Med. 1994, 10, 316–317. (In Chinese) [Google Scholar]
- Li, F. The Research on the Influence of Dietnursing on the Concentrations of Calcium Iron and Zinc in Breast Milk of Lactating Women. Master’s Thesis, Guangxi Medical University, Nanning, China, 2013. (In Chinese). [Google Scholar]
- Li, F.; Mo, J. Influence of dietary intervention on the dietary nutrition status of lactating women and the concentrations of zinc, copper, and magnesium in breast milk. Chin. J. New Clin. Med. 2013, 6, 583–586. (In Chinese) [Google Scholar]
- Li, R.; Qi, C.; Jiang, J.; Zhang, H.; Li, S.; Lin, K.; Jiang, Y.; Zhou, J.; Lin, X.; Zhang, J. Evaluation of nutrient level and its factors of breast milk in Shenzhen City. J. Hyg. Res. 2014, 43, 550–555+561. (In Chinese) [Google Scholar] [CrossRef]
- Liu, J. A Survey and Study on the Dynamic Changes of Nutritional Components in Breast Milk and the Influence Factors of Infant Growth and Development in Shijiazhuang. Master’s Thesis, Hebei Medical University, Shijiazhuang, China, 2013. (In Chinese). [Google Scholar]
- Qian, J.; Wu, S.; Zhang, W.; Cao, L.; Yang, H.; Ao, L. An investigation of nutrients of human milk in Shanghai area. Shanghai Med. J. 2002, 25, 396–398. (In Chinese) [Google Scholar]
- Sun, H.; Mao, Y.; Yang, X.; Cai, X.; Zhao, Y.; Chen, M.; Zhang, L. Carotenoids contents in breast milk from six areas of China. Acta Nutr. Sin. 2019, 41, 534–538. (In Chinese) [Google Scholar] [CrossRef]
- Wang, X.; Liu, Y.; Li, L.; Zhao, Z. Analysis of Element Content in Milk of 483 Maternal Women in Tianjin. Chin. J. Pract. Gynecol. Obstet. 2000, 16, 119–120. (In Chinese) [Google Scholar]
- Wang, X.; Wang, C. Comparison of calcium, phosphorus, selenium content and GPX activity in normal breast milk. Chin. J. Public Health 2002, 18, 991. (In Chinese) [Google Scholar]
- Xu, F.; Ye, W. The content of trace elements in colostrum and mature milk of normal full-term postpartum women. Acad. J. Nav. Med. Univ. 1994, 15, 194–196. (In Chinese) [Google Scholar] [CrossRef]
- Zhang, L.; Bao, J.; Chen, H. Analysis of Vitamin A Determination Results in Breast Milk from Zhoushan Island. J. Hyg. Res. 2001, 30, 234–236. (In Chinese) [Google Scholar]
- Zhang, X.; Yu, H.; Leng, J.; Wang, S.; Wang, Y. A Study on the Dietary and Mineral Content of Breast Milk. J. Hyg. Res. 2007, 36, 393–394. (In Chinese) [Google Scholar]
- Zhang, Z.; Sun, Y.; Tian, Y.; Zhang, Z.; He, Q. Analysis of Nutritional Ingredients in Breast Milk on Tangshan County. Food Res. Dev. 2018, 39, 175–179. (In Chinese) [Google Scholar]
- Ai, Z.; Yibing, N.; Yumei, Z.; Xiaoguang, Y.; Junkuan, W.; Wenjun, L.; Peiyu, W. Mineral Compositions in Breast Milk of Healthy Chinese Lactating Women in Urban Areas and Its Associated Factors. Chin. Med. J. 2014, 127, 2643–2648. [Google Scholar]
- Canfield, L.M.; Clandinin, M.T.; Davies, D.P.; Fernandez, M.C.; Jackson, J.; Hawkes, J.; Goldman, W.J.; Pramuk, K.; Reyes, H.; Sablan, B.; et al. Multinational Study of Major Breast Milk Carotenoids of Healthy Mothers. Eur. J. Nutr. 2003, 42, 133–141. [Google Scholar] [CrossRef] [PubMed]
- Han, F.; Liu, L.; Lu, J.; Chai, Y.; Zhang, J.; Wang, S.; Sun, L.; Wang, Q.; Liu, Y.; He, M.; et al. Calculation of an Adequate Intake (AI) Value and Safe Range of Selenium (Se) for Chinese Infants 0–3 Months Old Based on Se Concentration in the Milk of Lactating Chinese Women with Optimal Se Intake. Biol. Trace Elem. Res. 2019, 188, 363–372. [Google Scholar] [CrossRef]
- Jiang, J.; Xiao, H.; Wu, K.; Yu, Z.; Ren, Y.; Zhao, Y.; Li, K.; Li, J.; Li, D. Retinol and α-Tocopherol in Human Milk and Their Relationship with Dietary Intake during Lactation. Food Funct. 2016, 7, 1985–1991. [Google Scholar] [CrossRef]
- Lin, T.-H.; Jong, Y.-J.; Chiang, C.-H.; Yang, M.-H. Longitudinal Changes in Ca, Mg, Fe, Cu, and Zn in Breast Milk of Women in Taiwan over a Lactation Period of One Year. Biol. Trace Elem. Res. 1998, 62, 31–41. [Google Scholar] [CrossRef]
- Qian, J.; Chen, T.; Lu, W.; Wu, S.; Zhu, J. Breast Milk Macro- and Micronutrient Composition in Lactating Mothers from Suburban and Urban Shanghai: Breast Milk Analysis in Shanghai Women. J. Paediatr. Child Health 2010, 46, 115–120. [Google Scholar] [CrossRef]
- Ren, X.N. Application of UPLC-MS/MS Method for Analyzing B-Vitamins in Human Milk. Biomed. Environ. Sci. 2015, 28, 738–750. [Google Scholar]
- Su, M.; Jia, H.; Chen, W.; Qi, X.; Liu, C.; Liu, Z. Macronutrient and Micronutrient Composition of Breast Milk from Women of Different Ages and Dietary Habits in Shanghai Area. Int. Dairy J. 2018, 85, 27–34. [Google Scholar] [CrossRef]
- Wang, H.-J.; Hua, C.-Z.; Ruan, L.-L.; Hong, L.-Q.; Sheng, S.-Q.; Shang, S.-Q. Sialic Acid and Iron Content in Breastmilk of Chinese Lactating Women. Indian Pediatr. 2017, 54, 1029–1031. [Google Scholar] [CrossRef]
- Wang, Y.; Zhang, Z.; Ge, P.; Sd, Y.W.; Wang, S. Iodine Status and Thyroid Function of Pregnant, Lactating Women and Infants (0–1 Yr) Residing in Areas with an Effective Universal Salt Iodization Program. Asia Pac. J. Clin. Nutr. 2009, 18, 34–40. [Google Scholar] [PubMed]
- Wei, M.; Deng, Z.; Liu, B.; Ye, W.; Fan, Y.; Liu, R.; Li, J. Investigation of Amino Acids and Minerals in Chinese Breast Milk. J. Sci. Food Agric. 2020, 100, 3920–3931. [Google Scholar] [CrossRef]
- Wei, W.; Yang, J.; Xia, Y.; Chang, C.; Sun, C.; Yu, R.; Zhou, Q.; Qi, C.; Jin, Q.; Wang, X. Tocopherols in Human Milk: Change during Lactation, Stability during Frozen Storage, and Impact of Maternal Diet. Int. Dairy J. 2018, 84, 1–5. [Google Scholar] [CrossRef]
- Wu, K.; Zhu, J.; Zhou, L.; Shen, L.; Mao, Y.; Zhao, Y.; Gao, R.; Lou, Z.; Cai, M.; Wang, B. Lactational Changes of Fatty Acids and Fat-Soluble Antioxidants in Human Milk from Healthy Chinese Mothers. Br. J. Nutr. 2020, 123, 841–848. [Google Scholar] [CrossRef] [PubMed]
- Xue, Y.; Campos-Giménez, E.; Redeuil, K.; Lévèques, A.; Actis-Goretta, L.; Vinyes-Pares, G.; Zhang, Y.; Wang, P.; Thakkar, S. Concentrations of Carotenoids and Tocopherols in Breast Milk from Urban Chinese Mothers and Their Associations with Maternal Characteristics: A Cross-Sectional Study. Nutrients 2017, 9, 1229. [Google Scholar] [CrossRef] [PubMed]
- Xue, Y.; Redeuil, K.M.; Giménez, E.C.; Vinyes-Pares, G.; Zhao, A.; He, T.; Yang, X.; Zheng, Y.; Zhang, Y.; Wang, P.; et al. Regional, Socioeconomic, and Dietary Factors Influencing B-Vitamins in Human Milk of Urban Chinese Lactating Women at Different Lactation Stages. BMC Nutr. 2017, 3, 22. [Google Scholar] [CrossRef]
- Zheng, M.C.; Zhou, L.S.; Zhang, G.F. Alpha-Tocopherol Content of Breast Milk in China. J. Nutr. Sci. Vitaminol. 1993, 39, 517–520. [Google Scholar] [CrossRef]
- Chen, H.; Jiang, H.; Yang, W.; Wang, X.; Huang, Y. Investigation and Analysis of Dietary and Nutrient Content in Milk of Dong and Han Breast Mothers in Sanjiang County, Guangxi and Nanning City. J. Guangxi Med. Univ. 2007, 24, 644–647. (In Chinese) [Google Scholar] [CrossRef]
- Cong, T.; Zhao, L.; Yuan, Y.; Han, W.; Li, Z.; Zhang, Y. The analysis of mineral and trace elements in 65 cases breast colostrum and its clinical nutritive significance. Chin. J. Clin. Nutr. 1999, 7, 12–14. (In Chinese) [Google Scholar]
- Ding, X.; He, Y.; Lin, W.; Lin, K.; Luo, J.; Huang, W.; Huang, Y.; Chen, Z.; Tang, Q.; Shi, W. Determination, Analysis and Clinical Application of 10 Elements in Breast Milk. Stud. Trace Elem. Health 1994, 11, 49–51. (In Chinese) [Google Scholar]
- Fang, F.; Li, T.; Li, Y.; Liu, B.; Ye, W. Ivestigation of the Contents of the Fat-Soluble Vitamins A, D and E in Human Milk from Hohhot. J. Dairy Sci. Technol. 2014, 37, 5–7. (In Chinese) [Google Scholar] [CrossRef]
- Fang, F.; Li, T.; Liu, B.; Ye, W.; Yun, Z. Investigation of water-soluble vitamins B1, B2, B3 content in human milk from Hohhot. China Dairy Ind. 2014, 42, 21–23. (In Chinese) [Google Scholar]
- Guan, H.; Dai, Q.; Wu, J.; Liao, D. Study on Anti infective Factors and Trace Elements in Breast Milk. Chin. J. Neonatol. 1986, 6, 250–252. (In Chinese) [Google Scholar]
- He, M. Study on the Content and Morphology of Selenium in Human Milk. Master’s Thesis, Chinese Center for Disease Control and Prevention, Beijing, China, 2017. (In Chinese). [Google Scholar]
- He, Z.; Sun, D.; Yang, H.; Zhao, X. Analysis of zinc, copper, iron, and calcium content in healthy lactating mothers’ colostrum (report of 103 cases). Prog. Obstet. Gynecol. 1995, 4, 36–37. (In Chinese) [Google Scholar]
- Hou, Y.; Yu, S.; Zheng, X.; Fu, J. Analysis of the composition of milk from 240 lactating mothers in Jinan City. Matern. Child Health Care China 2008, 23, 241–243. (In Chinese) [Google Scholar]
- Hu, Y.; Luo, Y.; Dai, L.; Zhou, Z.; Cao, M.; Chen, Y.; Wang, J. Analysis of iron, zinc, copper, calcium, magnesium content in breast milk during different lactation periods. Chin. J. Pract. Gynecol. Obstet. 1998, 14, 303–304. (In Chinese) [Google Scholar]
- Huo, J.; Yang, C.; Liu, S. Changes in copper, iron, and zinc content in breast milk during different lactation stages and their relationship with trace element content in maternal plasma. J. Hyg. Res. 1991, 20, 41–43. (In Chinese) [Google Scholar] [CrossRef]
- Jiang, H.; Chen, H.; Wang, Y.; Wang, X.; Huang, Y.; Yao, Q.; Meng, D. Analysis of Nutrient Content in Breast Milk of Nurses in Nanning City. J. Guangxi Med. Univ. 2005, 22, 690–692. (In Chinese) [Google Scholar] [CrossRef]
- Jiang, Y.; Lv, Z.; Fan, H.; Qiang, D.; Si, W.; Zhang, Y. Effects of Two Different Rooming-in On Componots of Breast Milk—A studies about Zinc. Iron, Calcium and Selenium in colostrum. Stud. Trace Elem. Health 1996, 13, 20–21. (In Chinese) [Google Scholar]
- Li, N.; He, Q.; Ren, C.; Lin, F.; Li, H.; Zhang, W. Study on change characters and correlations of iron, zinc and calcium in milk and blood of mother and infant at different stages. J. Hyg. Res. 2012, 41, 225–227. (In Chinese) [Google Scholar] [CrossRef]
- Li, W.; Mo, X. The Content of Cu, Zn, and Mg in Human Milk. J. Jilin Univ. (Med. Ed.) 1988, 14, 56–58. (In Chinese) [Google Scholar] [CrossRef]
- Li, X.; Niu, G.; Yu, Y.; Shen, H.; Wang, J. Determination of zinc and copper content in maternal serum and colostrum. J. New Med. 1998, 29, 82–83. (In Chinese) [Google Scholar]
- Liao, D.; Guan, H.; Wang, G.; Cai, R.; Li, J. Comparison of the contents of Copper, Iron, Zinc, Manganese and Chromium between Human Milk and Cow’s Milk. Acta Nutr. Sin. 1986, 8, 360–365. (In Chinese) [Google Scholar]
- Liu, A.; Zhang, G.; Zhao, C. Comparative analysis of several elements in colostrum and three months postpartum milk of lactating women in Lanzhou City. Gansu Sci. Technol. 2014, 30, 124–125. (In Chinese) [Google Scholar]
- Liu, C.; Bai, L.; Liang, B.; Chen, Y. Relations between Height and Weight of Infants and the Content of Ca, Fe, Zn in Maternal Milk. Guangdong Trace Elem. Sci. 2002, 9, 36–38. (In Chinese) [Google Scholar] [CrossRef]
- Liu, J. Study on the Mineral Contents of 113 Human Milks in Huhhot. Food Res. Dev. 2016, 37, 117–119. (In Chinese) [Google Scholar]
- Liu, J. Study on the Vitamin Contents of Human Milk in Huhhot. Food Res. Dev. 2016, 37, 20–22. (In Chinese) [Google Scholar]
- Liu, R.; Wang, M.; Shi, L.; Zheng, D. Paired analysis of trace elements in maternal hair, offspring hair, and breast milk. J. Guangdong Med. Univ. 1994, 12, 119–120. (In Chinese) [Google Scholar]
- Liu, W.; Bai, C.; Ni, J. Analysis and nutritional evaluation of five trace elements in colostrum, mature milk, and milk. Stud. Trace Elem. Health 1992, 4, 32–33. (In Chinese) [Google Scholar]
- Mo, J.; Huang, Y.; Zhou, R.; Wei, L.; Yuang, M. Influence of Individual Diet Instruction on Thelastria Diettary Pattern and Calcium Iron Zinc Contents in Breast Milk in Zhuang Population. Guangxi Med. J. 2014, 36, 776–779. (In Chinese) [Google Scholar]
- Ren, X. The Levels of B-Vitamins in Human Milk and the Effect Factors. Master’s Thesis, Chinese Center for Disease Control and Prevention, Beijing, China, 2015. (In Chinese). [Google Scholar]
- Sun, G.; Chen, X.; Yang, Y. A study in zinc, copper and iron contents in human milk. Acta Nutr. Sin. 1994, 16, 61–66. (In Chinese) [Google Scholar]
- Tian, Y.; Yang, L.; Gao, J.; Li, S.; Ma, L.; Tian, H.; Li, J. Dynamic Study of Trace Elements Contents in Human Milk and the Relationship between Trace Elements and Infants Growth. J. Xinxiang Med. Univ. 1992, 9, 291–294+354. (In Chinese) [Google Scholar]
- Tian, Y.; Yang, L.; Gao, J.; Tian, H.; Pu, X.; Li, S.; Li, J. The difference of the trace elerent contents of lactation breast milk and growth development of their breast-fed infants between city and rural area. J. Xinxiang Med. Univ. 1993, 10, 284–287. (In Chinese) [Google Scholar]
- Wang, A.; Ding, S.; Xu, X.; Li, Z.; Yang, Y. Study on Trace Elements in Human Milk. Stud. Trace Elem. Health 1994, 11, 38–39+35. (In Chinese) [Google Scholar]
- Wang, Y.; Li, W.; Wang, W.; Bai, S. The Content Change of Cu, Fe and Zn in Breast Milk and Comparison with the Cow Milk. J. Inn. Mong. Minzu Univ. (Nat. Sci.) 2001, 16, 249–251. (In Chinese) [Google Scholar] [CrossRef]
- Wu, J.; Su, J.; Zhu, Y. Comparison of trace elements in some human milk and milk samples. Environ. Pollut. Control 2000, 22, 40–41. (In Chinese) [Google Scholar] [CrossRef]
- Wu, K.; Sun, H.; Mao, Y.; Tian, F.; Cai, X.; Zhao, Y.; Cai, M. Natural RRR-alpha-tocopherol and synthetic alpha-tocopherol stereosiomers in human breast milk. Acta Nutr. Sin. 2019, 41, 539–543. (In Chinese) [Google Scholar] [CrossRef]
- Wu, L. Human Milk Composition Study and the Comparative Study on Key Components in Breast Milk and Infant Formula. Master’s Thesis, Chinese Center for Disease Control and Prevention, Beijing, China, 2015. (In Chinese). [Google Scholar]
- Xie, H.; Li, J.; Zhu, Z.; Si, C.; Wu, C. Study on the Changes of Fluorine in Human Milk with Breast-feeding Time. J. Nanjing Mil. Med. Coll. 1994, 16, 102–103. (In Chinese) [Google Scholar]
- Xu, X.; Yang, L.; Yang, D.; Wu, Q.; Wang, W.; Zhou, M. Energy supply nutrients and mineral composition analysis in breast milk in Lanzhou urban. Chin. J. Clin. Nutr. 2019, 27, 62–64. (In Chinese) [Google Scholar]
- Ye, W.; Zhang, C. Investigation of trace element content in breast milk. Lab. Med. 1992, 7, 249. (In Chinese) [Google Scholar]
- Yin, T.; Liu, D.; Li, L.; Wang, W.; Yan, H.; Jin, Y.; Xu, Q.; Fu, A.; Bai, J.; Dai, J.; et al. Studies of the relationship between the nutritional status of lactating mothers and milk composition as well as the milk intake and growth of their infants in Beijing V· Essential inorganic elements and vitamins in human milk. Acta Nutr. Sin. 1989, 11, 233–239. (In Chinese) [Google Scholar]
- Yu, L.; Ma, M. Determination and Analysis of Trace Element Content in Plasma and Breast Milk of Han, Miao, and Buyi Pregnant Women in the Suburbs of Guiyang City. Guizhou Med. J. 1998, 22, 230–232. (In Chinese) [Google Scholar]
- Yuan, K.; Yuan, H.; Fu, M.; Chen, L. Detection and analysis of trace element content in maternal milk and serum. Occup. Health 2002, 18, 123–124. (In Chinese) [Google Scholar]
- Zhang, D.; Chen, G.; XU, J.; Zou, X.; Yan, C. Correlation of trace elements between maternal milk and blood‚and inter-element correlations in human milk. Chin. J. Child Health Care 2010, 18, 199–201. (In Chinese) [Google Scholar]
- Zhang, J.; Li, Y.; Liu, X.; Liu, W.; Wang, C. Levels of mineral elements and heavy metal pollution in human breast milk in Baoding city. J. Hebei Med. Univ. 2010, 31, 1326–1328. (In Chinese) [Google Scholar]
- Zhang, M.; Chen, W.; Shen, J.; Zhao, Z.; Huo, J.; Lan, S.; Zhang, W. Iodine Concentrations in Breast Milk and Urine in Mothers and Infants During the Period of 16 Weeks Postpartum. Acta Nutr. Sin. 2014, 36, 548–552+627. [Google Scholar] [CrossRef]
- Zhang, X.; Wang, X.; Wang, A.; Sun, G.; Yang, Y.; Chen, X. Determination of Five Elements in Human Milk in Chaoyang City. Med. J. Liaoning 1996, 10, 55–56. (In Chinese) [Google Scholar]
- Zheng, M.; Quan, Y.; Cheng, Z.; Wang, Y.; Zhang, G. A Study on the Content and Correlation of Vitamin E in Maternal Blood, Umbilical Cord Blood, and Breast Milk. Chin. J. Contemp. Pediatr. 2001, 3, 305–306. (In Chinese) [Google Scholar]
- Motoyama, K.; Isojima, T.; Sato, Y.; Aihara, A.; Asakura, H.; Hiraike, H.; Hino, Y.; Mimaki, M.; Nomura, K.; Kodama, H. Trace Element Levels in Mature Breast Milk of Recently Lactating Japanese Women. Pediatr. Int. Off. J. Jpn. Pediatr. Soc. 2021, 63, 910–917. [Google Scholar] [CrossRef] [PubMed]
- Yamawaki, N.; Yamada, M.; Kan-no, T.; Kojima, T.; Kaneko, T.; Yonekubo, A. Macronutrient, Mineral and Trace Element Composition of Breast Milk from Japanese Women. J. Trace Elem. Med. Biol. Organ Soc. Miner. Trace Elem. GMS 2005, 19, 171–181. [Google Scholar] [CrossRef] [PubMed]
- Sakurai, T.; Furukawa, M.; Asoh, M.; Kanno, T.; Kojima, T.; Yonekubo, A. Fat-Soluble and Water-Soluble Vitamin Contents of Breast Milk from Japanese Women. J. Nutr. Sci. Vitaminol. 2005, 51, 239–247. [Google Scholar] [CrossRef] [PubMed]
- Campos, J.M.; Paixão, J.A.; Ferraz, C. Fat-Soluble Vitamins in Human Lactation. Int. J. Vitam. Nutr. Res. Int. Z. Vitam.-Ernahrungsforschung J. Int. Vitaminol. Nutr. 2007, 77, 303–310. [Google Scholar] [CrossRef] [PubMed]
- Ford, J.E.; Zechalko, A.; Murphy, J.; Brooke, O.G. Comparison of the B Vitamin Composition of Milk from Mothers of Preterm and Term Babies. Arch. Dis. Child. 1983, 58, 367–372. [Google Scholar] [CrossRef] [PubMed]
- Ahmed, L.; Islam, S.; Khan, N.; Nahid, S. Vitamin C Content in Human Milk (Colostrum, Transitional and Mature) and Serum of a Sample of Bangladeshi Mothers. Malays. J. Nutr. 2004, 10, 1–4. [Google Scholar] [PubMed]
- Jackson, D.; White, I.R. When should meta-analysis avoid making hidden normality assumptions? Biom J. 2018, 60, 1040–1058. [Google Scholar] [CrossRef]
- Liu, Z.; Al Amer, F.M.; Xiao, M.; Xu, C.; Furuya-Kanamori, L.; Hong, H.; Siegel, L.; Lin, L. The normality assumption on be-tween-study random effects was questionable in a considerable number of Cochrane meta-analyses. BMC Med. 2023, 21, 112. [Google Scholar] [CrossRef] [PubMed]
- National Academies of Sciences, Engineering, and Medicine; Health and Medicine Division; Food and Nutrition Board; Committee to Review the Dietary Reference Intakes for Sodium and Potassium. Dietary Reference Intakes for Sodium and Potassium; Oria, M., Harrison, M., Stallings, V.A., Eds.; The National Academies Collection: Reports Funded by National Institutes of Health; National Academies Press (US): Washington, DC, USA, 2019; ISBN 978-0-309-48834-1. [Google Scholar]
- Chinese Nutrition Society. Dietary Reference Intakes for China, 2023rd ed.; People’s Medical Publishing House: Beijing, China, 2023. [Google Scholar]
- Durá-Travé, T.; Gallinas-Victoriano, F. Pregnancy, Breastfeeding, and Vitamin D. Int. J. Mol. Sci. 2023, 24, 11881. [Google Scholar] [CrossRef]
- Cook, N.R.; He, F.J.; MacGregor, G.A.; Graudal, N. Sodium and health-concordance and controversy. BMJ 2020, 369, m2440. [Google Scholar] [CrossRef]
- Staruschenko, A. Beneficial Effects of High Potassium: Contribution of Renal Basolateral K+ Channels. Hypertension 2018, 71, 1015–1022. [Google Scholar] [CrossRef] [PubMed]
- Whelton, P.K.; He, J. Health effects of sodium and potassium in humans. Curr. Opin. Lipidol. 2014, 25, 75–79. [Google Scholar] [CrossRef] [PubMed]
- Kwon, Y.J.; Lee, H.S.; Park, G.; Lee, J.W. Association between dietary sodium, potassium, and the sodium-to-potassium ratio and mortality: A 10-year analysis. Front. Nutr. 2022, 11, 1053585. [Google Scholar] [CrossRef] [PubMed]
- Gonçalves, C.; Abreu, S. Sodium and Potassium Intake and Cardiovascular Disease in Older People: A Systematic Review. Nutrients 2020, 12, 3447. [Google Scholar] [CrossRef] [PubMed]
- Hisamatsu, T.; Lloyd-Jones, D.M.; Colangelo, L.A.; Liu, K. Urinary sodium and potassium excretions in young adulthood and blood pressure by middle age: The Coronary Artery Risk Development in Young Adults (CARDIA) Study. J. Hypertens. 2021, 39, 1586–1593. [Google Scholar] [CrossRef] [PubMed]
- Elin, R.J. Magnesium: The fifth but forgotten electrolyte. Am. J. Clin. Pathol. 1994, 102, 616–622. [Google Scholar] [CrossRef] [PubMed]
- Huang, C.L.; Kuo, E. Mechanism of hypokalemia in magnesium deficiency. J. Am. Soc. Nephrol. 2007, 18, 2649–2652. [Google Scholar] [CrossRef]
- Yang, L.; Frindt, G.; Palmer, L.G. Magnesium modulates ROMK channel-mediated potassium secretion. J. Am. Soc. Nephrol. 2010, 21, 2109–2116. [Google Scholar] [CrossRef]
- Ciosek, Ż.; Kot, K.; Kosik-Bogacka, D.; Łanocha-Arendarczyk, N.; Rotter, I. The Effects of Calcium, Magnesium, Phosphorus, Fluoride, and Lead on Bone Tissue. Biomolecules 2021, 11, 506. [Google Scholar] [CrossRef]
- Goncalves, A.; Roi, S.; Nowicki, M.; Dhaussy, A.; Huertas, A.; Amiot, M.J.; Reboul, E. Fat-soluble vitamin intestinal absorption: Absorption sites in the intestine and interactions for absorption. Food Chem. 2015, 172, 155–160. [Google Scholar] [CrossRef]
- Kantol, M.; Vartiainen, T. Changes in Selenium, Zinc, Copper and Cadmium Contents in Human Milk during the Time When Selenium Has Been Supplemented to Fertilizers in Finland. J. Trace Elem. Med. Biol. Organ Soc. Miner. Trace Elem. GMS 2001, 15, 11–17. [Google Scholar] [CrossRef] [PubMed]
- Jonas, A.J.; Dominguez, B. Low Breast Milk Phosphorus Concentration in Familial Hypophosphatemia. J. Pediatr. Gastroenterol. Nutr. 1989, 8, 541–543. [Google Scholar] [CrossRef] [PubMed]
- Hanukoglu, A.; Chalew, S.; Kowarski, A.A. Late-Onset Hypocalcemia, Rickets, and Hypoparathyroidism in an Infant of a Mother with Hyperparathyroidism. J. Pediatr. 1988, 112, 751–754. [Google Scholar] [CrossRef] [PubMed]
- El-Farrash, R.A.; Ismail, E.A.R.; Nada, A.S. Cord Blood Iron Profile and Breast Milk Micronutrients in Maternal Iron Deficiency Anemia. Pediatr. Blood Cancer 2012, 58, 233–238. [Google Scholar] [CrossRef]
- Vítolo, M.R.; Valente Soares, L.M.; Carvalho, E.B.; Cardoso, C.B. Calcium and Magnesium Concentrations in Mature Human Milk: Influence of Calcium Intake, Age and Socioeconomic Level. Arch. Latinoam. Nutr. 2004, 54, 118–122. [Google Scholar] [PubMed]
- de Azeredo, V.B.; Trugo, N.M.F. Retinol, Carotenoids, and Tocopherols in the Milk of Lactating Adolescents and Relationships with Plasma Concentrations. Nutrition 2008, 24, 133–139. [Google Scholar] [CrossRef]
- Nikniaz, L.; Mahdavi, R.; Gargari, B.P.; Gayem Magami, S.J.; Nikniaz, Z. Maternal Body Mass Index, Dietary Intake and Socioeconomic Status: Differential Effects on Breast Milk Zinc, Copper and Iron Content. Health Promot. Perspect. 2011, 1, 140–146. [Google Scholar] [CrossRef] [PubMed][Green Version]
- Dorea, J.G. Calcium and Phosphorus in Human Milk. Nutr. Res. 1999, 19, 709–739. [Google Scholar] [CrossRef]
- Panpanich, R.; Vitsupakorn, K.; Harper, G.; Brabin, B. Serum and Breast-Milk Vitamin A in Women during Lactation in Rural Chiang Mai, Thailand. Ann. Trop. Paediatr. 2002, 22, 321–324. [Google Scholar] [CrossRef]
- Silvestre, M.D.; Lagarda, M.J.; Farré, R.; Martínez-Costa, C.; Brines, J.; Molina, A.; Clemente, G. A Study of Factors That May Influence the Determination of Copper, Iron, and Zinc in Human Milk during Sampling and in Sample Individuals. Biol. Trace Elem. Res. 2000, 76, 217–227. [Google Scholar] [CrossRef]
- Orun, E.; Yalcin, S.S.; Aykut, O.; Orhan, G.; Morgil, G.K. Zinc and Copper Concentrations in Breastmilk at the Second Month of Lactation. Indian Pediatr. 2012, 49, 133–135. [Google Scholar] [CrossRef]
- Arnaud, J.; Favier, A. Copper, Iron, Manganese and Zinc Contents in Human Colostrum and Transitory Milk of French Women. Sci. Total Environ. 1995, 159, 9–15. [Google Scholar] [CrossRef]
- Dumrongwongsiri, O.; Chatvutinun, S.; Phoonlabdacha, P.; Sangcakul, A.; Chailurkit, L.-O.; Siripinyanond, A.; Suthutvoravut, U.; Chongviriyaphan, N. High Urinary Iodine Concentration Among Breastfed Infants and the Factors Associated with Iodine Content in Breast Milk. Biol. Trace Elem. Res. 2018, 186, 106–113. [Google Scholar] [CrossRef] [PubMed]
- Specker, B.L.; Tsang, R.C.; Hollis, B.W. Effect of Race and Diet on Human-Milk Vitamin D and 25-Hydroxyvitamin D. Am. J. Dis. Child. 1960 1985, 139, 1134–1137. [Google Scholar] [CrossRef]
- Yu, X.; Li, H. Origin of ethnic groups, linguistic families, and civilizations in China viewed from the Y chromosome. Mol. Genet. Genom. 2021, 296, 783–797. [Google Scholar] [CrossRef]
- Levander, O.A.; Moser, P.B.; Morris, V.C. Dietary Selenium Intake and Selenium Concentrations of Plasma, Erythrocytes, and Breast Milk in Pregnant and Postpartum Lactating and Nonlactating Women. Am. J. Clin. Nutr. 1987, 46, 694–698. [Google Scholar] [CrossRef] [PubMed]
- Higashi, A.; Tamari, H.; Kuroki, Y.; Matsuda, I. Longitudinal Changes in Selenium Content of Breast Milk. Acta Paediatr. Scand. 1983, 72, 433–436. [Google Scholar] [CrossRef]
- Oberhelman, S.S.; Meekins, M.E.; Fischer, P.R.; Lee, B.R.; Singh, R.J.; Cha, S.S.; Gardner, B.M.; Pettifor, J.M.; Croghan, I.T.; Thacher, T.D. Maternal Vitamin D Supplementation to Improve the Vitamin D Status of Breast-Fed Infants: A Randomized Controlled Trial. Mayo Clin. Proc. 2013, 88, 1378–1387. [Google Scholar] [CrossRef] [PubMed]
- Fujita, M.; Shell-Duncan, B.; Ndemwa, P.; Brindle, E.; Lo, Y.-J.; Kombe, Y.; O’Connor, K. Vitamin A Dynamics in Breastmilk and Liver Stores: A Life History Perspective. Am. J. Hum. Biol. Off. J. Hum. Biol. Counc. 2011, 23, 664–673. [Google Scholar] [CrossRef]
- Mello-Neto, J.; Rondó, P.H.C.; Oshiiwa, M.; Morgano, M.A.; Zacari, C.Z.; Domingues, S. The Influence of Maternal Factors on the Concentration of Vitamin A in Mature Breast Milk. Clin. Nutr. Edinb. Scotl. 2009, 28, 178–181. [Google Scholar] [CrossRef]
- Bauer, J.; Gerss, J. Longitudinal Analysis of Macronutrients and Minerals in Human Milk Produced by Mothers of Preterm Infants. Clin. Nutr. Edinb. Scotl. 2011, 30, 215–220. [Google Scholar] [CrossRef] [PubMed]
- Alves Peixoto, R.R.; Bianchi Codo, C.R.; Lacerda Sanches, V.; Guiraldelo, T.C.; Ferreira da Silva, F.; Ribessi, R.L.; Martins Marba, S.T.; Cadore, S. Trace Mineral Composition of Human Breast Milk from Brazilian Mothers. J. Trace Elem. Med. Biol. Organ Soc. Miner. Trace Elem. GMS 2019, 54, 199–205. [Google Scholar] [CrossRef] [PubMed]
- Udipi, S.A.; Kirksey, A.; West, K.; Giacoia, G. Vitamin B6, Vitamin C and Folacin Levels in Milk from Mothers of Term and Preterm Infants during the Neonatal Period. Am. J. Clin. Nutr. 1985, 42, 522–530. [Google Scholar] [CrossRef]
- Souza, G.; Dolinsky, M.; Matos, A.; Chagas, C.; Ramalho, A. Vitamin A Concentration in Human Milk and Its Relationship with Liver Reserve Formation and Compliance with the Recommended Daily Intake of Vitamin A in Pre-Term and Term Infants in Exclusive Breastfeeding. Arch. Gynecol. Obstet. 2015, 291, 319–325. [Google Scholar] [CrossRef] [PubMed]
- Atkinson, S.A.; Reinhardt, T.A.; Hollis, B.W. Vitamin D Activity in Maternal Plasma and Milk in Relation to Gestational Stage at Delivery. Nutr. Res. 1987, 7, 1005–1011. [Google Scholar] [CrossRef]
- Sámano, R.; Martínez-Rojano, H.; Hernández, R.M.; Ramírez, C.; Flores Quijano, M.E.; Espíndola-Polis, J.M.; Veruete, D. Retinol and α-Tocopherol in the Breast Milk of Women after a High-Risk Pregnancy. Nutrients 2017, 9, 14. [Google Scholar] [CrossRef] [PubMed]
- Arnaud, J.; Prual, A.; Preziosi, P.; Favier, A.; Hercberg, S. Selenium Determination in Human Milk in Niger: Influence of Maternal Status. J. Trace Elem. Electrolytes Health Dis. 1993, 7, 199–204. [Google Scholar]
- Laurberg, P.; Nøhr, S.B.; Pedersen, K.M.; Fuglsang, E. Iodine Nutrition in Breast-Fed Infants Is Impaired by Maternal Smoking. J. Clin. Endocrinol. Metab. 2004, 89, 181–187. [Google Scholar] [CrossRef] [PubMed]
- Orhon, F.S.; Ulukol, B.; Kahya, D.; Cengiz, B.; Başkan, S.; Tezcan, S. The Influence of Maternal Smoking on Maternal and Newborn Oxidant and Antioxidant Status. Eur. J. Pediatr. 2009, 168, 975–981. [Google Scholar] [CrossRef]
- Funk, M.A.; Hamlin, L.; Picciano, M.F.; Prentice, A.; Milner, J.A. Milk Selenium of Rural African Women: Influence of Maternal Nutrition, Parity, and Length of Lactation. Am. J. Clin. Nutr. 1990, 51, 220–224. [Google Scholar] [CrossRef]
- Flax, V.L.; Bentley, M.E.; Combs, G.F.; Chasela, C.S.; Kayira, D.; Tegha, G.; Kamwendo, D.; Daza, E.J.; Fokar, A.; Kourtis, A.P.; et al. Plasma and Breast-Milk Selenium in HIV-Infected Malawian Mothers Are Positively Associated with Infant Selenium Status but Are Not Associated with Maternal Supplementation: Results of the Breastfeeding, Antiretrovirals, and Nutrition Study. Am. J. Clin. Nutr. 2014, 99, 950–956. [Google Scholar] [CrossRef] [PubMed]
- Seibold-Weiger, K.; Wollmann, H.; Rendl, J.; Ranke, M.; Speer, C. Iodine concentration in the breast milk of mothers of premature infants. Z. Geburtshilfe Neonatol. 1999, 203, 81–85. [Google Scholar] [PubMed]
- Turner, T.; Burri, B.J.; Jamil, K.M.; Jamil, M. The Effects of Daily Consumption of β-Cryptoxanthin-Rich Tangerines and β-Carotene-Rich Sweet Potatoes on Vitamin A and Carotenoid Concentrations in Plasma and Breast Milk of Bangladeshi Women with Low Vitamin A Status in a Randomized Controlled Trial. Am. J. Clin. Nutr. 2013, 98, 1200–1208. [Google Scholar] [CrossRef] [PubMed]
- de Melo, L.R.M.; Clemente, H.A.; Bezerra, D.F.; Dantas, R.C.S.; Ramalho, H.M.M.; Dimenstein, R. Effect of Maternal Supplementation with Vitamin E on the Concentration of α-Tocopherol in Colostrum. J. Pediatr. 2017, 93, 40–46. [Google Scholar] [CrossRef]
- Van Winckel, M.; De Bruyne, R.; Van De Velde, S.; Van Biervliet, S. Vitamin K, an Update for the Paediatrician. Eur. J. Pediatr. 2009, 168, 127–134. [Google Scholar] [CrossRef] [PubMed]
- Whitfield, K.C.; Karakochuk, C.D.; Liu, Y.; McCann, A.; Talukder, A.; Kroeun, H.; Ward, M.; McNulty, H.; Lynd, L.D.; Kitts, D.D.; et al. Poor Thiamin and Riboflavin Status Is Common among Women of Childbearing Age in Rural and Urban Cambodia. J. Nutr. 2015, 145, 628–633. [Google Scholar] [CrossRef] [PubMed]
- Maru, M.; Birhanu, T.; Tessema, D.A. Calcium, Magnesium, Iron, Zinc and Copper, Compositions of Human Milk from Populations with Cereal and “enset” Based Diets. Ethiop. J. Health Sci. 2013, 23, 90–97. [Google Scholar] [PubMed]
- Muramatsu, Y.; Sumiya, M.; Ohmomo, Y. Stable Iodine Contents in Human Milk Related to Dietary Algae Consumption. Jpn. J. Health Phys. 1983, 18, 113–117. [Google Scholar] [CrossRef]
- Parr, R.M.; DeMaeyer, E.M.; Iyengar, V.G.; Byrne, A.R.; Kirkbright, G.F.; Schöch, G.; Niinistö, L.; Pineda, O.; Vis, H.L.; Hofvander, Y. Minor and Trace Elements in Human Milk from Guatemala, Hungary, Nigeria, Philippines, Sweden, and Zaire. Results from a WHO/IAEA Joint Project. Biol. Trace Elem. Res. 1991, 29, 51–75. [Google Scholar] [CrossRef]
- Haskell, M.J.; Brown, K.H. Maternal Vitamin A Nutriture and the Vitamin A Content of Human Milk. J. Mammary Gland Biol. Neoplasia 1999, 4, 243–257. [Google Scholar] [CrossRef]
- Smith, A.M.; Picciano, M.F.; Deering, R.H. Folate Supplementation during Lactation: Maternal Folate Status, Human Milk Folate Content, and Their Relationship to Infant Folate Status. J. Pediatr. Gastroenterol. Nutr. 1983, 2, 622–628. [Google Scholar] [CrossRef] [PubMed]
- við Streym, S.; Højskov, C.S.; Møller, U.K.; Heickendorff, L.; Vestergaard, P.; Mosekilde, L.; Rejnmark, L. Vitamin D Content in Human Breast Milk: A 9-Mo Follow-up Study. Am. J. Clin. Nutr. 2016, 103, 107–114. [Google Scholar] [CrossRef] [PubMed]



| Parameter | Inclusion Criteria | Exclusion Criteria |
|---|---|---|
| Population | Chinese population; healthy mothers with healthy neonates. | Non-Chinese populations; non-human; mothers or infants with defined diseases or disorders (premature delivery was not regarded as a disease or disorder). |
| Intervention | N/A | N/A |
| Comparator | N/A | N/A |
| Outcomes | Human milk samples; data were expressed as means or medians; lactation stages could fit into the categories of 1–7 d, 8–30 d, 31–60 d, 61–120 d, 121–240 d, 241–365 postnatal days. | Lactation stage not specified or simply described as colostrum, transition milk, or mature milk. |
| Study design | Original articles from peer-reviewed journals; master theses or doctoral dissertations that reported original research data. | Review articles; abstracts; articles without access to the full text; milk samples were pooled together before assessment. |
| Fixed Model | Random Model | Fixed Model | Random Model | ||||||||||||||
|---|---|---|---|---|---|---|---|---|---|---|---|---|---|---|---|---|---|
| Mineral | Q | df | p | I2 | Q | df | p | I2 | Vitamin | Q | df | p | I2 | Q | df | p | I2 |
| K | 1171.1 | 4 | 2.94 × 10−252 | 99.7 | 3.306 | 4 | 0.508 | 0.0 | VA | 2797 | 4 | 0.000 | 99.9 | 5.99 | 4 | 0.200 | 33.2 |
| Na | 279.7 | 4 | 2.57 × 10−59 | 98.6 | 0.505 | 4 | 0.973 | 0.0 | VD | 1.5 | 1 | 0.217 | 34.5 | 0.2 | 1 | 0.662 | 0.0 |
| Ca | 2245.4 | 4 | 0.000 | 99.8 | 2.365 | 4 | 0.669 | 0.0 | VE | 624.1 | 2 | 3.00 × 10−136 | 100.0 | 3.9 | 2 | 0.142 | 48.8 |
| P | 1166.0 | 4 | 3.69 × 10−251 | 99.7 | 9.370 | 4 | 0.052 | 57.3 | VK | 1.7 | 1 | 0.197 | 40.0 | 0.2 | 1 | 0.655 | 0.0 |
| Mg | 17,387.1 | 4 | 0.000 | 100.0 | 23.314 | 4 | 1.10 × 10−4 | 82.8 | VB1 | 1154.7 | 4 | 1.05 × 10−248 | 99.7 | 2.1 | 4 | 0.721 | 0.0 |
| Cl | 127.9 | 2 | 1.70 × 10−28 | 98.4 | 1.776 | 2 | 0.411 | 0.0 | VB2 | 450.5 | 4 | 3.35 × 10−96 | 99.1 | 0.5 | 4 | 0.976 | 0.0 |
| Zn | 4,465,555.1 | 5 | 0.000 | 100.0 | 156.307 | 5 | 6.06 × 10−32 | 96.8 | VB6 | 1087.7 | 4 | 3.58 × 10−234 | 99.6 | 7.5 | 4 | 0.113 | 46.5 |
| Fe | 17,461.3 | 5 | 0.000 | 100.0 | 21.334 | 5 | 7.00 × 10−4 | 76.6 | Pantothenic acid | 17.5 | 4 | 0.002 | 77.1 | 0.1 | 4 | 0.999 | 0.0 |
| Cu | 13,396.2 | 5 | 0.000 | 100.0 | 211.469 | 5 | 9.97 × 10−44 | 97.6 | Niacin | 699.0 | 4 | 5.74 × 10−150 | 99.4 | 2.2 | 4 | 0.691 | 0.0 |
| I | 59.0 | 4 | 4.67 × 10−12 | 93.2 | 0.549 | 4 | 0.969 | 0.0 | Folic acid | 69.8 | 4 | 2.45 × 10−14 | 94.3 | 1.9 | 4 | 0.756 | 0.0 |
| Se | 264.7 | 5 | 3.91 × 10−55 | 98.1 | 1.653 | 5 | 0.895 | 0.0 | Biotin | 18.4 | 3 | 3.64 × 10−4 | 83.7 | 0.2 | 3 | 0.976 | 0.0 |
| Mn | 1191.6 | 4 | 1.04 × 10−256 | 99.7 | 6.105 | 4 | 0.191 | 34.5 | VC | 78.5 | 4 | 3.62 × 10−16 | 94.9 | 2.7 | 4 | 0.615 | 0.0 |
| Mo | 5.6 | 4 | 0.228 | 29.0 | 0.047 | 4 | 1.000 | 0.0 | |||||||||
| Co | 0.4 | 4 | 0.986 | 0.0 | 0.003 | 4 | 1.000 | 0.0 | |||||||||
| Cr | 313.9 | 4 | 1.11 × 10−66 | 98.7 | 2.958 | 4 | 0.565 | 0.0 | |||||||||
| 1–7 Days | 8–30 Days | 31–60 Days | 61–120 Days | 1–120 Days | 121–240 Days | |
|---|---|---|---|---|---|---|
| K/Na | 2.4 | 2.3 | 2.4 | 2.7 | 2.5 | 3.8 |
| Ca/P | 2.1 | 1.7 | 2 | 2.2 | 1.9 | 2.4 |
| Ca/Mg | 7.5 | 8.5 | 9.1 | 8.2 | 8.5 | 7.9 |
| K/Mg | 17.6 | 17.1 | 16 | 15.4 | 16.2 | 13.1 |
| P/Mg | 3.6 | 4.9 | 4.6 | 3.7 | 4.4 | 3.3 |
| VE/VA | 8.2 | 4.3 | 5.2 | 8.1 | 7.3 | 8.2 |
Disclaimer/Publisher’s Note: The statements, opinions and data contained in all publications are solely those of the individual author(s) and contributor(s) and not of MDPI and/or the editor(s). MDPI and/or the editor(s) disclaim responsibility for any injury to people or property resulting from any ideas, methods, instructions or products referred to in the content. |
© 2024 by the authors. Licensee MDPI, Basel, Switzerland. This article is an open access article distributed under the terms and conditions of the Creative Commons Attribution (CC BY) license (https://creativecommons.org/licenses/by/4.0/).
Share and Cite
Ren, Q.; Li, K.; Li, J.; Pan, J.; Liu, Y.; Chen, Y.; Xu, Y.; Xie, Q. Longitudinal Changes in Human Milk Minerals and Vitamins in the Chinese Population: A Scoping Review. Nutrients 2024, 16, 1710. https://doi.org/10.3390/nu16111710
Ren Q, Li K, Li J, Pan J, Liu Y, Chen Y, Xu Y, Xie Q. Longitudinal Changes in Human Milk Minerals and Vitamins in the Chinese Population: A Scoping Review. Nutrients. 2024; 16(11):1710. https://doi.org/10.3390/nu16111710
Chicago/Turabian StyleRen, Qiqi, Kaifeng Li, Jufang Li, Jiancun Pan, Yang Liu, Yong Chen, Yajun Xu, and Qinggang Xie. 2024. "Longitudinal Changes in Human Milk Minerals and Vitamins in the Chinese Population: A Scoping Review" Nutrients 16, no. 11: 1710. https://doi.org/10.3390/nu16111710
APA StyleRen, Q., Li, K., Li, J., Pan, J., Liu, Y., Chen, Y., Xu, Y., & Xie, Q. (2024). Longitudinal Changes in Human Milk Minerals and Vitamins in the Chinese Population: A Scoping Review. Nutrients, 16(11), 1710. https://doi.org/10.3390/nu16111710

