Comparing the Associations of Dietary Patterns Identified through Principal Component Analysis and Cluster Analysis with Colorectal Cancer Risk: A Large Case–Control Study in China
Abstract
1. Introduction
2. Materials and Methods
2.1. Study Subjects
2.2. Data Collection
2.3. Dietary Assessment
2.4. Statistical Analysis
3. Results
3.1. General Characteristics
3.2. Principal Component Analysis
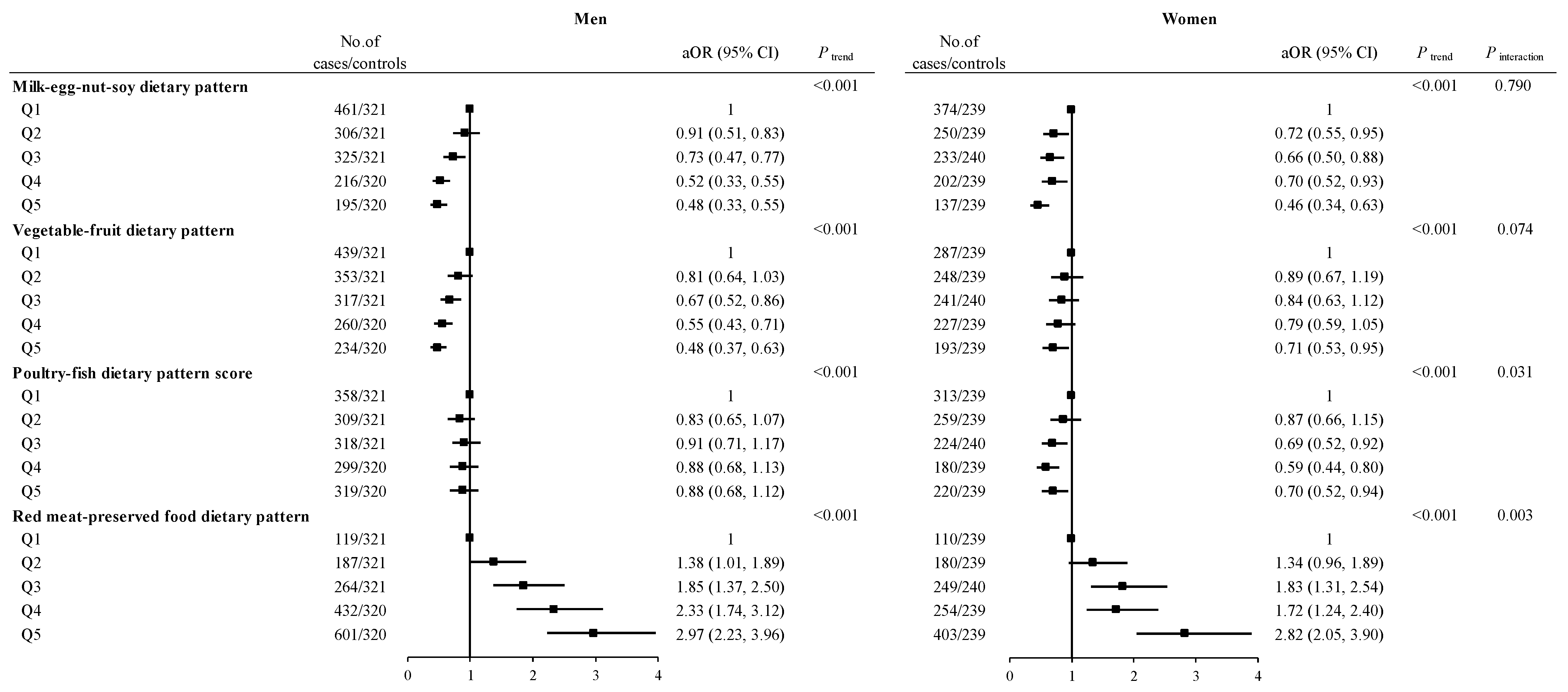
Stratified and Subgroup Analyses
3.3. Cluster Analysis
3.4. Comparison of Principal Component Analysis and Cluster Analysis
4. Discussion
5. Conclusions
Author Contributions
Funding
Institutional Review Board Statement
Informed Consent Statement
Data Availability Statement
Acknowledgments
Conflicts of Interest
References
- Sung, H.; Ferlay, J.; Siegel, R.L.; Laversanne, M.; Soerjomataram, I.; Jemal, A.; Bray, F. Global Cancer Statistics 2020: GLOBOCAN Estimates of Incidence and Mortality Worldwide for 36 Cancers in 185 Countries. CA Cancer J. Clin. 2021, 71, 209–249. [Google Scholar] [CrossRef] [PubMed]
- Romaguera, D.; Vergnaud, A.-C.; Peeters, P.H.; van Gils, C.H.; Chan, D.S.; Ferrari, P.; Romieu, I.; Jenab, M.; Slimani, N.; Clavel-Chapelon, F.; et al. Is Concordance with World Cancer Research Fund/American Institute for Cancer Research Guidelines for Cancer Prevention Related to Subsequent Risk of Cancer? Results from the EPIC Study. Am. J. Clin. Nutr. 2012, 96, 150–163. [Google Scholar] [CrossRef] [PubMed]
- Rawla, P.; Sunkara, T.; Barsouk, A. Epidemiology of Colorectal Cancer: Incidence, Mortality, Survival, and Risk Factors. Gastroenterol. Rev. 2019, 14, 89–103. [Google Scholar] [CrossRef] [PubMed]
- Baidoun, F.; Elshiwy, K.; Elkeraie, Y.; Merjaneh, Z.; Khoudari, G.; Sarmini, M.T.; Gad, M.; Al-Husseini, M.; Saad, A. Colorectal Cancer Epidemiology: Recent Trends and Impact on Outcomes. Curr. Drug Targets 2021, 22, 998–1009. [Google Scholar] [CrossRef] [PubMed]
- Xu, Y. Methods of statistical analysis and applications of dietary pattern. Mod. Prev. Med. 2013, 40, 1805–1807+1813. [Google Scholar]
- Newby, P.K.; Tucker, K.L. Empirically Derived Eating Patterns Using Factor or Cluster Analysis: A Review. Nutr. Rev. 2004, 62, 177–203. [Google Scholar] [CrossRef] [PubMed]
- Devlin, U.M.; McNulty, B.A.; Nugent, A.P.; Gibney, M.J. The Use of Cluster Analysis to Derive Dietary Patterns: Methodological Considerations, Reproducibility, Validity and the Effect of Energy Mis-Reporting. Proc. Nutr. Soc. 2012, 71, 599–609. [Google Scholar] [CrossRef]
- Zhao, J.; Li, Z.; Gao, Q.; Zhao, H.; Chen, S.; Huang, L.; Wang, W.; Wang, T. A Review of Statistical Methods for Dietary Pattern Analysis. Nutr. J. 2021, 20, 37. [Google Scholar] [CrossRef]
- Fung, T.; Hu, F.B.; Fuchs, C.; Giovannucci, E.; Hunter, D.J.; Stampfer, M.J.; Colditz, G.A.; Willett, W.C. Major Dietary Patterns and the Risk of Colorectal Cancer in Women. Arch. Intern. Med. 2003, 163, 309. [Google Scholar] [CrossRef]
- Kim, M.K.; Sasaki, S.; Otani, T.; Tsugane, S.; for the Japan Public Health Center-based Prospective Study Group. Dietary Patterns and Subsequent Colorectal Cancer Risk by Subsite: A Prospective Cohort Study. Int. J. Cancer 2005, 115, 790–798. [Google Scholar] [CrossRef]
- Flood, A.; Rastogi, T.; Wirfält, E.; Mitrou, P.N.; Reedy, J.; Subar, A.F.; Kipnis, V.; Mouw, T.; Hollenbeck, A.R.; Leitzmann, M.; et al. Dietary Patterns as Identified by Factor Analysis and Colorectal Cancer among Middle-Aged Americans. Am. J. Clin. Nutr. 2008, 88, 176–184. [Google Scholar] [CrossRef] [PubMed]
- Safari, A.; Shariff, Z.M.; Kandiah, M.; Rashidkhani, B.; Fereidooni, F. Dietary Patterns and Risk of Colorectal Cancer in Tehran Province: A Case–Control Study. BMC Public Health 2013, 13, 222. [Google Scholar] [CrossRef]
- Chen, Z.; Wang, P.P.; Woodrow, J.; Zhu, Y.; Roebothan, B.; Mclaughlin, J.R.; Parfrey, P.S. Dietary Patterns and Colorectal Cancer: Results from a Canadian Population-Based Study. Nutr. J. 2015, 14, 8. [Google Scholar] [CrossRef] [PubMed]
- Azizi, H.; Asadollahi, K.; Davtalab Esmaeili, E.; Mirzapoor, M. Iranian Dietary Patterns and Risk of Colorectal Cancer. Health Promot. Perspect. 2015, 5, 72–80. [Google Scholar] [CrossRef] [PubMed]
- Park, Y.; Lee, J.; Oh, J.H.; Shin, A.; Kim, J. Dietary Patterns and Colorectal Cancer Risk in a Korean Population: A Case-Control Study. Medicine 2016, 95, e3759. [Google Scholar] [CrossRef] [PubMed]
- Mehta, R.S.; Song, M.; Nishihara, R.; Drew, D.A.; Wu, K.; Qian, Z.R.; Fung, T.T.; Hamada, T.; Masugi, Y.; da Silva, A.; et al. Dietary Patterns and Risk of Colorectal Cancer: Analysis by Tumor Location and Molecular Subtypes. Gastroenterology 2017, 152, 1944–1953.e1. [Google Scholar] [CrossRef] [PubMed]
- Tayyem, R.F.; Bawadi, H.A.; Shehadah, I.; Agraib, L.M.; AbuMweis, S.S.; Al-Jaberi, T.; Al-Nusairr, M.; Bani-Hani, K.E.; Heath, D.D. Dietary Patterns and Colorectal Cancer. Clin. Nutr. 2017, 36, 848–852. [Google Scholar] [CrossRef] [PubMed]
- Wu, K.; Hu, F.B.; Fuchs, C.; Rimm, E.B.; Willett, W.C.; Giovannucci, E. Dietary Patterns and Risk of Colon Cancer and Adenoma in a Cohort of Men (United States). Cancer Causes Control 2004, 15, 853–862. [Google Scholar] [CrossRef]
- Shin, S.; Saito, E.; Sawada, N.; Ishihara, J.; Takachi, R.; Nanri, A.; Shimazu, T.; Yamaji, T.; Iwasaki, M.; Sasazuki, S.; et al. Dietary Patterns and Colorectal Cancer Risk in Middle-Aged Adults: A Large Population-Based Prospective Cohort Study. Clin. Nutr. 2018, 37, 1019–1026. [Google Scholar] [CrossRef]
- De Stefani, E.; Deneo-Pellegrini, H.; Ronco, A.L.; Correa, P.; Boffetta, P.; Aune, D.; Acosta, G.; Mendilaharsu, M.; Luaces, M.E.; Lando, G.; et al. Dietary Patterns and Risk of Colorectal Cancer: A Factor Analysis in Uruguay. Asian Pac. J. Cancer Prev. 2011, 12, 753–759. [Google Scholar]
- Williams, C.D.; Satia, J.A.; Adair, L.S.; Stevens, J.; Galanko, J.; Keku, T.O.; Sandler, R.S. Dietary Patterns, Food Groups, and Rectal Cancer Risk in Whites and African-Americans. Cancer Epidemiol. Biomark. Prev. 2009, 18, 1552–1561. [Google Scholar] [CrossRef] [PubMed]
- Dixon, L.B.; Balder, H.F.; Virtanen, M.J.; Rashidkhani, B.; Männistö, S.; Krogh, V.; Van Den Brandt, P.A.; Hartman, A.M.; Pietinen, P.; Tan, F.; et al. Dietary Patterns Associated with Colon and Rectal Cancer: Results from the Dietary Patterns and Cancer (DIETSCAN) Project. Am. J. Clin. Nutr. 2004, 80, 1003–1011. [Google Scholar] [CrossRef] [PubMed]
- Kesse, E.; Clavel-Chapelon, F.; Boutron-Ruault, M. Dietary Patterns and Risk of Colorectal Tumors: A Cohort of French Women of the National Education System (E3N). Am. J. Epidemiol. 2006, 164, 1085–1093. [Google Scholar] [CrossRef] [PubMed]
- Butler, L.M.; Wang, R.; Koh, W.-P.; Yu, M.C. Prospective Study of Dietary Patterns and Colorectal Cancer among Singapore Chinese. Br. J. Cancer 2008, 99, 1511–1516. [Google Scholar] [CrossRef] [PubMed]
- Magalhães, B.; Bastos, J.; Lunet, N. Dietary Patterns and Colorectal Cancer: A Case–Control Study from Portugal. Eur. J. Cancer Prev. 2011, 20, 389–395. [Google Scholar] [CrossRef] [PubMed]
- Bahrami, A.; Houshyari, M.; Jafari, S.; Rafiei, P.; Mazandaranian, M.; Hekmatdoost, A.; Sadeghi, A.; Hejazi, E. Dietary Patterns and the Risk of Colorectal Cancer and Adenoma: A Case Control Study in Iran. Gastroenterol. Hepatol. Bed Bench 2019, 3, 217–225. [Google Scholar]
- Kurotani, K.; Budhathoki, S.; Man Joshi, A.; Yin, G.; Toyomura, K.; Kono, S.; Mibu, R.; Tanaka, M.; Kakeji, Y.; Maehara, Y.; et al. Dietary Patterns and Colorectal Cancer in a Japanese Population: The Fukuoka Colorectal Cancer Study. Br. J. Nutr. 2010, 104, 1703–1711. [Google Scholar] [CrossRef]
- Satia, J.A.; Tseng, M.; Galanko, J.A.; Martin, C.; Sandler, R.S. Dietary Patterns and Colon Cancer Risk in Whites and African Americans in the North Carolina Colon Cancer Study. Nutr. Cancer 2009, 61, 179–193. [Google Scholar] [CrossRef][Green Version]
- Qarmiche, N.; El Kinany, K.; Otmani, N.; El Rhazi, K.; Chaoui, N.E.H. Cluster Analysis of Dietary Patterns Associated with Colorectal Cancer Derived from a Moroccan Case–Control Study. BMJ Health Care Inf. 2023, 30, e100710. [Google Scholar] [CrossRef]
- Wirfält, E.; Midthune, D.; Reedy, J.; Mitrou, P.; Flood, A.; Subar, A.F.; Leitzmann, M.; Mouw, T.; Hollenbeck, A.R.; Schatzkin, A.; et al. Associations between Food Patterns Defined by Cluster Analysis and Colorectal Cancer Incidence in the NIH–AARP Diet and Health Study. Eur. J. Clin. Nutr. 2009, 63, 707–717. [Google Scholar] [CrossRef]
- Rouillier, P.; Senesse, P.; Cottet, V.; Valléau, A.; Faivre, J.; Boutron-Ruault, M.-C. Dietary Patterns and the Adenoma-Carcinoma Sequence of Colorectal Cancer. Eur. J. Nutr. 2005, 44, 311–318. [Google Scholar] [CrossRef] [PubMed]
- Wang, H.M.; Zhang, L.; Wang, Y.H. Analysis of dietary patterns in patients with new-onset colorectal cancer. South China J. Prev. Med. 2021, 47, 319–322+326. [Google Scholar] [CrossRef]
- Cao, L.N.; Yang, F.G.; Song, Y.; Huang, X.; Wang, D.Q.; Yuan, Y.Y.; Liang, Y.; Wang, Y.; Ju, T.R. Relationship between Dietary Patterns and Colorectal Cancer: A Case-control Study. J. Nurs. (China) 2016, 23, 1–5. [Google Scholar] [CrossRef]
- Reedy, J.; Wirfalt, E.; Flood, A.; Mitrou, P.N.; Krebs-Smith, S.M.; Kipnis, V.; Midthune, D.; Leitzmann, M.; Hollenbeck, A.; Schatzkin, A.; et al. Comparing 3 Dietary Pattern Methods--Cluster Analysis, Factor Analysis, and Index Analysis--With Colorectal Cancer Risk: The NIH-AARP Diet and Health Study. Am. J. Epidemiol. 2010, 171, 479–487. [Google Scholar] [CrossRef] [PubMed]
- Zhong, X.; Fang, Y.J.; Pan, Z.Z.; Li, B.; Wang, L.; Zheng, M.C.; Chen, Y.M.; Zhang, C.X. Dietary Fat, Fatty Acid Intakes and Colorectal Cancer Risk in Chinese Adults: A Case–Control Study. Eur. J. Cancer Prev. 2013, 22, 438–447. [Google Scholar] [CrossRef] [PubMed]
- Wu, B.; Zhou, R.L.; Ou, Q.J.; Chen, Y.M.; Fang, Y.; Zhang, C.X. Association of Plant-Based Dietary Patterns with the Risk of Colorectal Cancer: A Large-Scale Case–Control Study. Food Funct. 2022, 13, 10790–10801. [Google Scholar] [CrossRef] [PubMed]
- Ainsworth, B.E.; Haskell, W.L.; Whitt, M.C.; Irwin, M.L.; Swartz, A.M.; Strath, S.J.; O Brien, W.L.; Bassett, D.R.; Schmitz, K.H.; Emplaincourt, P.O.; et al. Compendium of Physical Activities: An Update of Activity Codes and MET Intensities. Med. Sci. Sports Exerc. 2000, 32, S498–S516. [Google Scholar] [CrossRef]
- Shephard, R.J. 2011 Compendium of Physical Activities: A Second Update of Codes and MET Values. Yearb. Sports Med. 2012, 2012, 126–127. [Google Scholar] [CrossRef]
- Zhang, C.X.; Ho, S.C. Validity and Reproducibility of a Food Frequency Questionnaire among Chinese Women in Guangdong Province. Asia Pac. J. Clin. Nutr. 2009, 18, 240–250. [Google Scholar]
- Yang, Y.X.; Wang, G.Y.; Pan, X.C. China Food Composition 2002; Peking University Medical Press: Beijing, China, 2002. [Google Scholar]
- Willett, W.C.; Howe, G.R.; Kushi, L.H. Adjustment for Total Energy Intake in Epidemiologic Studies. Am. J. Clin. Nutr. 1997, 65, 1220S–1228S. [Google Scholar] [CrossRef]
- Song, F.; Cho, M. Geography of Food Consumption Patterns between South and North China. Foods 2017, 6, 34. [Google Scholar] [CrossRef] [PubMed]
- Song, M.; Garrett, W.S.; Chan, A.T. Nutrients, Foods, and Colorectal Cancer Prevention. Gastroenterology 2015, 148, 1244–1260.e16. [Google Scholar] [CrossRef] [PubMed]
- Smolińska, K.; Paluszkiewicz, P. Risk of Colorectal Cancer in Relation to Frequency and Total Amount of Red Meat Consumption. Systematic Review and Meta-Analysis. Arch. Med. Sci. 2010, 4, 605–610. [Google Scholar] [CrossRef] [PubMed]
- Pericleous, M.; Mandair, D.; Caplin, M.E. Diet and Supplements and Their Impact on Colorectal Cancer. J. Gastrointest. Oncol. 2013, 4, 409. [Google Scholar] [PubMed]
- Diallo, A.; Deschasaux, M.; Latino-Martel, P.; Hercberg, S.; Galan, P.; Fassier, P.; Allès, B.; Guéraud, F.; Pierre, F.H.; Touvier, M. Red and Processed Meat Intake and Cancer Risk: Results from the Prospective NutriNet-Santé Cohort Study. Int. J. Cancer 2018, 142, 230–237. [Google Scholar] [CrossRef] [PubMed]
- Kumagai, Y.; Chou, W.T.; Tomata, Y.; Sugawara, Y.; Kakizaki, M.; Nishino, Y.; Tsuji, I. Dietary Patterns and Colorectal Cancer Risk in Japan: The Ohsaki Cohort Study. Cancer Causes Control 2014, 25, 727–736. [Google Scholar] [CrossRef] [PubMed]
- Aune, D.; Lau, R.; Chan, D.S.M.; Vieira, R.; Greenwood, D.C.; Kampman, E.; Norat, T. Dairy Products and Colorectal Cancer Risk: A Systematic Review and Meta-Analysis of Cohort Studies. Ann. Oncol. 2012, 23, 37–45. [Google Scholar] [CrossRef]
- Schwingshackl, L.; Schwedhelm, C.; Hoffmann, G.; Knueppel, S.; Preterre, A.L.; Iqbal, K.; Bechthold, A.; De Henauw, S.; Michels, N.; Devleesschauwer, B.; et al. Food Groups and Risk of Colorectal Cancer. Int. J. Cancer 2018, 142, 1748–1758. [Google Scholar] [CrossRef]
- Bamia, C.; Lagiou, P.; Buckland, G.; Grioni, S.; Agnoli, C.; Taylor, A.J.; Dahm, C.C.; Overvad, K.; Olsen, A.; Tjønneland, A.; et al. Mediterranean Diet and Colorectal Cancer Risk: Results from a European Cohort. Eur. J. Epidemiol. 2013, 28, 317–328. [Google Scholar] [CrossRef]
- Jedrychowski, W.; Maugeri, U.; Pac, A.; Sochacka-Tatara, E.; Galas, A. Protective Effect of Fish Consumption on Colorectal Cancer Risk. Ann. Nutr. Metab. 2008, 53, 295–302. [Google Scholar] [CrossRef]
- Mejborn, H.; Møller, S.P.; Thygesen, L.C.; Biltoft-Jensen, A. Dietary Intake of Red Meat, Processed Meat, and Poultry and Risk of Colorectal Cancer and All-Cause Mortality in the Context of Dietary Guideline Compliance. Nutrients 2020, 13, 32. [Google Scholar] [CrossRef] [PubMed]
- Lee, S.A.; Shu, X.O.; Yang, G.; Li, H.L.; Gao, Y.T.; Zheng, W. Animal Origin Foods and Colorectal Cancer Risk: A Report From the Shanghai Women’s Health Study. Nutr. Cancer 2009, 61, 194–205. [Google Scholar] [CrossRef] [PubMed]
- Etemadi, A.; Abnet, C.C.; Graubard, B.I.; Beane-Freeman, L.; Freedman, N.D.; Liao, L.; Dawsey, S.M.; Sinha, R. Anatomical Subsite Can Modify the Association between Meat and Meat Compounds and Risk of Colorectal Adenocarcinoma: Findings from Three Large US Cohorts: Meat and Colorectal Cancer Subsites. Int. J. Cancer 2018, 143, 2261–2270. [Google Scholar] [CrossRef] [PubMed]
- Xu, M.; Fang, Y.J.; Chen, Y.M.; Lu, M.S.; Pan, Z.Z.; Yan, B.; Zhong, X.; Zhang, C.-X. Higher Freshwater Fish and Sea Fish Intake Is Inversely Associated with Colorectal Cancer Risk among Chinese Population: A Case-Control Study. Sci. Rep. 2015, 5, 12976. [Google Scholar] [CrossRef] [PubMed]
- Shi, Y.; Yu, P.W.; Zeng, D.Z. Dose–Response Meta-Analysis of Poultry Intake and Colorectal Cancer Incidence and Mortality. Eur. J. Nutr. 2015, 54, 243–250. [Google Scholar] [CrossRef] [PubMed]
- Qin, E.D.; Wang, J.; Qin, R.; Liu, H.; Xiong, H.R.; Liu, J.; Wang, H.Y.; Zhang, L. Analysis of dietary structure in different regions of China and dietary nutritional recommendations. Food Nutr. China 2020, 26, 82–86+59. [Google Scholar] [CrossRef]
- Northstone, K. Dietary Patterns: The Importance of Sex Differences. Br. J. Nutr. 2012, 108, 393–394. [Google Scholar] [CrossRef]
- Xu, A.; Jiang, B.; Zhong, X.; Yu, Z.; Liu, J. The trend of clinical characteristics of colorectal cancer during the past 20 years in Guangdong province. Natl. Med. J. China 2006, 86, 272–275. [Google Scholar]
- Dai, Z.; Zheng, R.; Zou, X.; Zhang, S.; Zeng, H.; Li, N.; Chen, W. Analysis and prediction of colorectal cancer incidence trend in China. Chin. J. Prev. Med. 2012, 46, 598–603. [Google Scholar]
- Moeller, S.M.; Reedy, J.; Millen, A.E.; Dixon, L.B.; Newby, P.K.; Tucker, K.L.; Krebs-Smith, S.M.; Guenther, P.M. Dietary Patterns: Challenges and Opportunities in Dietary Patterns Research. J. Am. Diet. Assoc. 2007, 107, 1233–1239. [Google Scholar] [CrossRef]



| Food Group | Food Items |
|---|---|
| 1 Salted/preserved vegetables | Salt, mustard greens, and preserved Szechuan pickles |
| 2 Refined grains | White rice, porridge, noodles, bread, cake, biscuits |
| 3 Fruits | Citrus fruits, apple, pear, peach, plum, banana, grape, litchi, longan, watermelon, papaya, cantaloupe, kiwi fruit, strawberry, pineapple, mango, and durian |
| 4 Leafy vegetables | Choy sum, kale, broccoli, choy bok choy, lettuce, spinach, watercress, macaroni, tong hao, bean sprouts, wolfberry leaves, leeks, asparagus, vine greens, bok choy, cabbage, cauliflower, and parsley |
| 5 Cucurbitaceae and Solanaceae vegetables | Eggplant, winter melon, cucumber, zucchini, bitter gourd, squash, tomato, green and red pepper, bell pepper, pumpkin, bean curd, and bean sprouts |
| 6 Other vegetables | White radish, green radish, carrot mushrooms, fungus, cloud ears, garlic, scallions, onions, starchy tubers, and fresh corn |
| 7 Red meat and processed meat | Pork, beef, lamb, liver, kidney, brain, Sausage, ham, and bacon |
| 8 Poultry | Chicken with or without skin, duck, and goose |
| 9 Fish and other seafood | Fresh water fish, salt water fish, canned fish, preserved fish, shrimp, crab, squid, cuttle, scallops, mussels, and whelk |
| 10 Eggs | Egg and duck egg |
| 11 Dairy products | Whole milk, whole milk powder, skim/low-fat milk, skim/low-fat milk powder, and yoghurt |
| 12 Nuts and legumes | Peanuts, cashews, walnuts, pistachios, sesame seeds, fresh soybeans, mung beans, and red beans |
| 13 Soy products | Hard tofu, soft tofu, fried tofu pop, tofu curd, vegetarian chicken, bean curd pudding, and soy milk |
| Characteristics | Case (n = 2799) | Control (n = 2799) | p a |
|---|---|---|---|
| Age (years), mean ± SD | 57.10 ±10.27 | 57.05 ± 9.89 | 0.858 |
| Energy(kcal/d), median (P25, P75) | 1481.09 (1197.73, 1815.78) | 1543.13 (1259.02, 1943.86) | <0.001 |
| Men, n (%) | 1603 (57.27) | 1603 (57.27) | 1.000 |
| Maried, n (%) | 2661 (95.07) | 2554 (91.25) | <0.001 |
| Rural, n (%) | 997 (35.62) | 630 (22.51) | <0.001 |
| Educational level, n (%) | <0.001 | ||
| Primary school or below | 871 (31.12) | 619 (22.12) | |
| Middle school | 784 (28.01) | 713 (25.47) | |
| High school/technical school | 681 (24.33) | 751 (26.83) | |
| College or above | 463 (16.54) | 716 (25.58) | |
| Occupation, n (%) | 0.013 | ||
| Administrator | 395 (14.11) | 475 (16.97) | |
| Blue collar worker | 624 (22.29) | 608 (21.72) | |
| Farmer/other | 1780 (63.59) | 1716 (61.31) | |
| Income, n (%) | <0.001 | ||
| <2000 | 379 (13.54) | 358 (12.79) | |
| 2001–5000 | 935 (33.40) | 1085 (38.76) | |
| 5001–8000 | 830 (29.65) | 840 (30.01) | |
| ≥8001 | 655 (23.41) | 516 (18.44) | |
| Occupational activity, n (%) | <0.001 | ||
| Non-working | 334 (11.93) | 968 (34.58) | |
| Sedentary | 798 (28.51) | 587(20.97) | |
| Light occupational | 773 (27.62) | 653 (23.33) | |
| Moderate occupational | 417 (14.90) | 263 (9.40) | |
| Heavy activity | 477 (17.04) | 328 (11.72) | |
| MET(h/week), median (P25, P75) | 27.75 (8.50, 52.50) | 34.50 (16.00, 56.13) | <0.001 |
| Ever smoker, n (%) | 1103 (39.41) | 859 (30.69) | <0.001 |
| Passive smoker, n (%) | 793 (28.33) | 802 (28.65) | 0.790 |
| Regular drinker, n (%) | 504 (18.01) | 400 (14.29) | <0.001 |
| BMI (kg/m2), mean ± SD | 23.34 ± 3.28 | 23.56 ± 3.13 | 0.008 |
| Menopausal status, a n (%) | 0.229 | ||
| Premenopausal | 331 (27.68) | 305 (25.50) | |
| Postmenopausal | 865 (72.32) | 891 (74.50) | |
| First-degree relative with cancer, n (%) | 416 (14.86) | 238 (8.50) | <0.001 |
| Age at menarche, a mean ± SD | 14.95 ± 2.12 | 14.60 ± 3.07 | 0.713 |
| Food Groups | Factor 1 | Factor 2 | Factor 3 | Factor 4 |
|---|---|---|---|---|
| Milk-Egg-Nut-Soy Dietary Pattern | Vegetable-Fruit Dietary Pattern | Poultry-Fish Dietary Pattern | Red Meat-Preserved Food Dietary Pattern | |
| Total dairy products | 0.558 * | −0.052 | 0.031 | −0.471 |
| Eggs | 0.555 * | 0.015 | 0.008 | 0.002 |
| Nuts and legumes | 0.546 * | 0.165 | −0.004 | −0.054 |
| Soy products | 0.444 * | 0.037 | −0.007 | 0.145 |
| Cucurbitaceae and Solanaceae vegetables | 0.11 | 0.685 * | −0.066 | 0.009 |
| Other vegetables | 0.299 | 0.642 * | 0.067 | −0.015 |
| leafy vegetables | −0.311 | 0.574 * | 0.206 | 0.008 |
| Fruits | 0.242 | 0.359 * | 0.346 | −0.217 |
| Poultry | −0.052 | −0.096 | 0.712 * | −0.075 |
| Fish and other seafood | −0.039 | 0.213 | 0.514 * | 0.028 |
| Refined grains | −0.462 | −0.07 | −0.503 * | −0.193 |
| Salted/preserved vegetables | 0.112 | 0.077 | −0.182 | 0.709 * |
| Red meat and processed meat | 0.022 | −0.192 | 0.34 | 0.59 * |
| Dietary Patterns | Q1 | Q2 | Q3 | Q4 | Q5 | Ptrend b |
|---|---|---|---|---|---|---|
| Milk-egg-nut-soy dietary pattern | ||||||
| No. of cases/controls | 835/560 | 656/560 | 558/561 | 418/559 | 332/559 | |
| cOR (95% CI) | 1 | 0.79 (0.67, 0.92) | 0.67 (0.57, 0.78) | 0.50 (0.43, 0.59) | 0.40 (0.34, 0.47) | <0.001 |
| aOR (95% CI) a | 1 | 0.85 (0.72, 1.01) | 0.74 (0.62, 0.87) | 0.60 (0.50, 0.72) | 0.51 (0.42, 0.62) | <0.001 |
| Vegetable-fruit dietary pattern | ||||||
| No. of cases/controls | 726/560 | 601/560 | 558/561 | 487/559 | 427/559 | |
| cOR (95% CI) | 1 | 0.83 (0.71, 0.97) | 0.77 (0.65, 0.90) | 0.67 (0.57, 0.79) | 0.59 (0.50, 0.70) | <0.001 |
| aOR (95% CI) a | 1 | 0.84 (0.70, 1.00) | 0.75 (0.63, 0.90) | 0.65 (0.54, 0.78) | 0.61 (0.51, 0.74) | <0.001 |
| Poultry-fish dietary pattern | ||||||
| No. of cases/controls | 671/560 | 568/560 | 542/561 | 479/559 | 539/559 | |
| cOR (95% CI) | 1 | 0.85 (0.72, 1.00) | 0.81 (0.69, 0.95) | 0.72 (0.61, 0.84) | 0.81 (0.68, 0.95) | 0.002 |
| aOR (95% CI) a | 1 | 0.86 (0.72, 1.03) | 0.82 (0.68, 0.98) | 0.74 (0.62, 0.90) | 0.81 (0.68, 0.97) | <0.001 |
| Red meat-preserved food dietary pattern | ||||||
| No. of cases/controls | 229/560 | 367/560 | 513/561 | 686/559 | 1004/559 | |
| cOR (95% CI) | 1 | 1.60 (1.31, 1.96) | 2.24 (1.84, 2.72) | 3.00 (2.48, 3.63) | 4.39 (3.65, 5.29) | <0.001 |
| aOR (95% CI) a | 1 | 1.36 (1.09, 1.70) | 1.88 (1.52, 2.33) | 2.08 (1.69, 2.56) | 2.99 (2.43, 3.67) | <0.001 |
| Food Groups (g/day) | Cluster 1 (Balanced Dietary Pattern) | Cluster 2 (Refined Grain Dietary Pattern) | p |
|---|---|---|---|
| n = 2006 (36%) | n = 3592 (64%) | ||
| Refined grains | 261.93 (259.14, 264.73) | 327.08 (324.63, 329.53) | <0.001 |
| Soy products | 42.44 (40.02, 44.86) | 18.93 (18.19, 19.67) | <0.001 |
| Leafy vegetables | 326.72 (318.18, 335.26) | 275.46 (270.64, 280.27) | <0.001 |
| Cucurbitaceae and Solanaceae vegetables | 124.53 (120.71, 128.36) | 73.99 (72.41, 75.56) | <0.001 |
| Other vegetables | 107.51 (104.36, 110.65) | 51.55 (50.44, 52.66) | <0.001 |
| Salted/preserved vegetables | 8.14 (7.16, 9.11) | 8.37 (7.67, 9.08) | 0.700 |
| Fruits | 183.80 (178.40, 189.19) | 91.66 (89.36, 93.97) | <0.001 |
| Red meat and processed meat | 132.49 (126.60, 138.38) | 137.56 (134.32, 140.81) | 0.108 |
| Poultry | 37.01 (35.48, 38.54) | 24.35 (23.59, 25.11) | <0.001 |
| Fish and other seafood | 94.09 (89.98, 98.20) | 59.60 (57.60, 61.60) | <0.001 |
| Eggs | 33.42 (32.42, 34.42) | 18.14 (17.65, 18.63) | <0.001 |
| Total dairy products | 90.06 (85.41, 94.71) | 21.44 (20.01, 22.87) | <0.001 |
| Nuts and legumes | 13.94 (13.19, 14.68) | 5.24 (5.01, 5.47) | <0.001 |
| Cluster 1 (Balanced Dietary Pattern) | Cluster 2 (Refined Grain Dietary Pattern) | p | Pinteraction/heterogeneity | |
|---|---|---|---|---|
| Total (n = 5598) | ||||
| No. of cases/controls | 777/1229 | 2022/1570 | ||
| cOR (95% CI) | 0.49 (0.44, 0.55) | 1 | <0.001 | |
| aOR (95% CI) a | 0.59 (0.52, 0.66) | 1 | <0.001 | |
| Men (n = 3206) | 0.161 | |||
| No. of cases/controls | 409/687 | 1104/916 | ||
| cOR (95% CI) | 0.46 (0.39, 0.53) | 1 | <0.001 | |
| aOR (95% CI) a | 0.49 (0.41, 0.59) | 1 | <0.001 | |
| Women (n = 2392) | ||||
| No. of cases/controls | 368/542 | 828/654 | ||
| cOR (95% CI) | 0.54 (0.45, 0.63) | 1 | <0.001 | |
| aOR (95% CI) a | 0.67 (0.55, 0.81) | 1 | <0.001 | |
| Colon cancer (n = 1794) | 0.861 | |||
| No. of cases/controls | 500/1229 | 1294/1570 | ||
| cOR (95% CI) | 0.49 (0.44, 0.56) | 1 | <0.001 | |
| aOR (95% CI) a | 0.57 (0.50, 0.66) | 1 | <0.001 | |
| Rectal cancer (n = 1005) | ||||
| No. of cases/controls | 265/1229 | 740/1570 | ||
| cOR (95% CI) | 0.49 (0.42, 0.57) | 1 | <0.001 | |
| aOR (95% CI) a | 0.62 (0.52, 0.74) | 1 | <0.001 |
Disclaimer/Publisher’s Note: The statements, opinions and data contained in all publications are solely those of the individual author(s) and contributor(s) and not of MDPI and/or the editor(s). MDPI and/or the editor(s) disclaim responsibility for any injury to people or property resulting from any ideas, methods, instructions or products referred to in the content. |
© 2023 by the authors. Licensee MDPI, Basel, Switzerland. This article is an open access article distributed under the terms and conditions of the Creative Commons Attribution (CC BY) license (https://creativecommons.org/licenses/by/4.0/).
Share and Cite
Ma, T.; Tu, K.; Ou, Q.; Fang, Y.; Zhang, C. Comparing the Associations of Dietary Patterns Identified through Principal Component Analysis and Cluster Analysis with Colorectal Cancer Risk: A Large Case–Control Study in China. Nutrients 2024, 16, 147. https://doi.org/10.3390/nu16010147
Ma T, Tu K, Ou Q, Fang Y, Zhang C. Comparing the Associations of Dietary Patterns Identified through Principal Component Analysis and Cluster Analysis with Colorectal Cancer Risk: A Large Case–Control Study in China. Nutrients. 2024; 16(1):147. https://doi.org/10.3390/nu16010147
Chicago/Turabian StyleMa, Ting, Kexin Tu, Qingjian Ou, Yujing Fang, and Caixia Zhang. 2024. "Comparing the Associations of Dietary Patterns Identified through Principal Component Analysis and Cluster Analysis with Colorectal Cancer Risk: A Large Case–Control Study in China" Nutrients 16, no. 1: 147. https://doi.org/10.3390/nu16010147
APA StyleMa, T., Tu, K., Ou, Q., Fang, Y., & Zhang, C. (2024). Comparing the Associations of Dietary Patterns Identified through Principal Component Analysis and Cluster Analysis with Colorectal Cancer Risk: A Large Case–Control Study in China. Nutrients, 16(1), 147. https://doi.org/10.3390/nu16010147

