The Relationship between the Dietary Inflammatory Index (DII) and Metabolic Syndrome (MetS) in Middle-Aged and Elderly Individuals in the United States
Abstract
1. Introduction
2. Materials and Methods
2.1. Data Sources
2.2. Study Population
2.3. Measurement
2.3.1. Definition of MetS
2.3.2. Dietary Inflammation Index Calculation
2.3.3. Other Covariates
2.4. Statistical Analysis Methods
3. Results
3.1. The DII Quartile Feature Distribution of the Study Object
3.2. Association of Dietary Inflammatory Levels with MetS
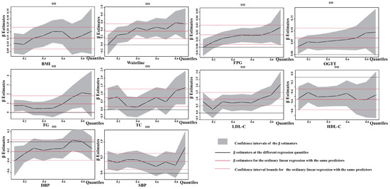
3.3. Association of DII Levels with Biochemical Markers of MetS
4. Discussion
5. Conclusions
Supplementary Materials
Author Contributions
Funding
Institutional Review Board Statement
Informed Consent Statement
Data Availability Statement
Acknowledgments
Conflicts of Interest
References
- Heindel, J.J.; Blumberg, B.; Cave, M.; Machtinger, R.; Mantovani, A.; Mendez, M.A.; Nadal, A.; Palanza, P.; Panzica, G.; Sargis, R.; et al. Metabolism disrupting chemicals and metabolic disorders. Reprod. Toxicol. 2017, 68, 3–33. [Google Scholar] [CrossRef] [PubMed]
- Xu, X.; Zeng, J.; Yang, W.; Dong, T.; Zhang, X.; Cheng, S.; Zhou, X.; Zhou, M.; Niu, L.; Yi, G.; et al. Prevalence of metabolic syndrome among the adult population in western China and the association with socioeconomic and individual factors: Four cross-sectional studies. BMJ Open 2022, 12, e052457. [Google Scholar] [CrossRef] [PubMed]
- O’Neill, S.; O’Driscoll, L. Metabolic syndrome: A closer look at the growing epidemic and its associated pathologies. Obes. Rev. 2015, 16, 1–12. [Google Scholar] [CrossRef] [PubMed]
- Ranasinghe, P.; Mathangasinghe, Y.; Jayawardena, R.; Hills, A.; Misra, A. Prevalence and trends of metabolic syndrome among adults in the asia-pacific region: A systematic review. BMC Public Health 2017, 17, 101. [Google Scholar] [CrossRef]
- Saklayen, M.G. The global epidemic of the metabolic syndrome. Curr. Hypertens. Rep. 2018, 20, 12. [Google Scholar] [CrossRef] [PubMed]
- Denys, K.; Cankurtaran, M.; Janssens, W.; Petrovic, M. Metabolic syndrome in the elderly: An overview of the evidence. Acta Clin. Belg. 2009, 64, 23–34. [Google Scholar] [CrossRef]
- Eckel, R.H.; Grundy, S.M.; Zimmet, P.Z. The metabolic syndrome. Lancet 2005, 365, 1415–1428. [Google Scholar] [CrossRef]
- Mazloomzadeh, S.; Zarandi, F.K.; Shoghli, A.; Dinmohammadi, H. Metabolic syndrome, its components and mortality: A population-based study. Med. J. Islam. Repub. Iran 2019, 33, 11. [Google Scholar] [CrossRef]
- Xiong, P.; Zhang, F.; Liu, F.; Zhao, J.; Huang, X.; Luo, D.; Guo, J. Metaflammation in glucolipid metabolic disorders: Pathogenesis and treatment. Biomed. Pharmacother. 2023, 161, 114545. [Google Scholar] [CrossRef]
- León-Pedroza, J.I.; González-Tapia, L.A.; del Olmo-Gil, E.; Castellanos-Rodríguez, D.; Escobedo, G.; González-Chávez, A. Low-grade systemic inflammation and the development of metabolic diseases: From the molecular evidence to the clinical practice. Cirugía Cir. 2015, 83, 543–551. [Google Scholar] [CrossRef]
- Reddy, P.; Lent-Schochet, D.; Ramakrishnan, N.; McLaughlin, M.; Jialal, I. Metabolic syndrome is an inflammatory disorder: A conspiracy between adipose tissue and phagocytes. Clin. Chim. Acta 2019, 496, 35–44. [Google Scholar] [CrossRef]
- Maiorino, M.; Bellastella, G.; Giugliano, D.; Esposito, K. From inflammation to sexual dysfunctions: A journey through diabetes, obesity, and metabolic syndrome. J. Endocrinol. Investig. 2018, 41, 1249–1258. [Google Scholar] [CrossRef]
- Diwan, B.; Sharma, R. Nutritional components as mitigators of cellular senescence in organismal aging: A comprehensive review. Food Sci. Biotechnol. 2022, 31, 1089–1109. [Google Scholar] [CrossRef]
- Laouali, N.; Mancini, F.R.; Hajji-Louati, M.; El Fatouhi, D.; Balkau, B.; Boutron-Ruault, M.C.; Bonnet, F.; Fagherazzi, G. Dietary inflammatory index and type 2 diabetes risk in a prospective cohort of 70,991 women followed for 20 years: The mediating role of BMI. Diabetologia 2019, 62, 2222–2232. [Google Scholar] [CrossRef]
- Pérez-Martínez, P.; Mikhailidis, D.P.; Athyros, V.G.; Bullo, M.; Couture, P.; Covas, M.I.; de Koning, L.; Delgado-Lista, J.; Diaz-Lopez, A.; Drevon, C.A.; et al. Lifestyle recommendations for the prevention and management of metabolic syndrome: An international panel recommendation. Nutr. Rev. 2017, 75, 307–326. [Google Scholar] [CrossRef]
- Johansson-Persson, A.; Ulmius, M.; Cloetens, L.; Karhu, T.; Herzig, K.H.; Önning, G. A high intake of dietary fiber influences C-reactive protein and fibrinogen, but not glucose and lipid metabolism, in mildly hypercholesterolemic subjects. Eur. J. Nutr. 2014, 53, 39–48. [Google Scholar] [CrossRef]
- Khalil, M.; Shanmugam, H.; Abdallah, H.; John Britto, J.S.; Galerati, I.; Gómez-Ambrosi, J.; Frühbeck, G.; Portincasa, P. The Potential of the Mediterranean Diet to Improve Mitochondrial Function in Experimental Models of Obesity and Metabolic Syndrome. Nutrients 2022, 14, 3112. [Google Scholar] [CrossRef]
- Shivappa, N.; Steck, S.E.; Hurley, T.G.; Hussey, J.R.; Hébert, J.R. Designing and developing a literature-derived, population-based dietary inflammatory index. Public Health Nutr. 2014, 17, 1689–1696. [Google Scholar] [CrossRef]
- Ruiz-Canela, M.; Zazpe, I.; Shivappa, N.; Hébert, J.R.; Sanchez-Tainta, A.; Corella, D.; Salas-Salvado, J.; Fito, M.; Lamuela-Raventós, R.M.; Rekondo, J.; et al. Dietary inflammatory index and anthropometric measures of obesity in a population sample at high cardiovascular risk from the PREDIMED (PREvencion con DIeta MEDiterranea) trial. Br. J. Nutr. 2015, 113, 984–995. [Google Scholar] [CrossRef]
- Wirth, M.; Burch, J.; Shivappa, N.; Violanti, J.M.; Burchfiel, C.M.; Fekedulegn, D.; Andrew, M.E.; Hartley, T.A.; Miller, D.B.; Mnatsakanova, A.; et al. Association of a dietary inflammatory index with inflammatory indices and the metabolic syndrome among police officers. J. Occup. Environ. Med. Coll. Occup. Environ. Med. 2014, 56, 986. [Google Scholar] [CrossRef]
- Neufcourt, L.; Assmann, K.; Fezeu, L.; Touvier, M.; Graffouillère, L.; Shivappa, N.; Hébert, J.; Wirth, M.; Hercberg, S.; Galan, P.; et al. Prospective association between the dietary inflammatory index and metabolic syndrome: Findings from the SU. VI. MAX study. Nutr. Metab. Cardiovasc. Dis. 2015, 25, 988–996. [Google Scholar] [CrossRef] [PubMed]
- Kim, H.Y.; Lee, J.; Kim, J. Association between dietary inflammatory index and metabolic syndrome in the general Korean population. Nutrients 2018, 10, 648. [Google Scholar] [CrossRef] [PubMed]
- Nikniaz, L.; Nikniaz, Z.; Shivappa, N.; Hébert, J.R. The association between dietary inflammatory index and metabolic syndrome components in Iranian adults. Prim. Care Diabetes 2018, 12, 467–472. [Google Scholar] [CrossRef] [PubMed]
- Ghorabi, S.; Esteghamati, A.; Azam, K.; Daneshzad, E.; Sadeghi, O.; Salari-Moghaddam, A.; Azadbakht, L.; Djafarian, K. Association between dietary inflammatory index and components of metabolic syndrome. J. Cardiovasc. Thorac. Res. 2020, 12, 27. [Google Scholar] [CrossRef] [PubMed]
- Namazi, N.; Larijani, B.; Azadbakht, L. Dietary inflammatory index and its association with the risk of cardiovascular diseases, metabolic syndrome, and mortality: A systematic review and meta-analysis. Horm. Metab. Res. 2018, 50, 345–358. [Google Scholar] [CrossRef]
- Furman, D.; Campisi, J.; Verdin, E.; Carrera-Bastos, P.; Targ, S.; Franceschi, C.; Ferrucci, L.; Gilroy, D.W.; Fasano, A.; Miller, G.W.; et al. Chronic inflammation in the etiology of disease across the life span. Nat. Med. 2019, 25, 1822–1832. [Google Scholar] [CrossRef]
- Miles, L. Physical activity and health. Nutr. Bull. 2007, 32, 314–363. [Google Scholar] [CrossRef]
- Aguilar, M.; Bhuket, T.; Torres, S.; Liu, B.; Wong, R.J. Prevalence of the metabolic syndrome in the United States, 2003–2012. JAMA 2015, 313, 1973–1974. [Google Scholar] [CrossRef]
- Ahluwalia, N.; Dwyer, J.; Terry, A.; Moshfegh, A.; Johnson, C. Update on NHANES dietary data: Focus on collection, release, analytical considerations, and uses to inform public policy. Adv. Nutr. 2016, 7, 121–134. [Google Scholar] [CrossRef]
- Zafar, U.; Khaliq, S.; Ahmad, H.U.; Manzoor, S.; Lone, K.P. Metabolic syndrome: An update on diagnostic criteria, pathogenesis, and genetic links. Hormones 2018, 17, 299–313. [Google Scholar] [CrossRef]
- Kurklu, N.S.; Torun, N.K.; Kucukcetin, I.O.; Akyol, A. Is there a relationship between the dietary inflammatory index and metabolic syndrome among adolescents? J. Pediatr. Endocrinol. Metab. 2020, 33, 495–502. [Google Scholar] [CrossRef]
- Galland, L. Diet and inflammation. Nutr. Clin. Pract. 2010, 25, 634–640. [Google Scholar] [CrossRef]
- Camargo-Ramos, C.M.; Correa-Bautista, J.E.; Correa-Rodríguez, M.; Ramírez-Vélez, R. Dietary inflammatory index and cardiometabolic risk parameters in overweight and sedentary subjects. Int. J. Environ. Res. Public Health 2017, 14, 1104. [Google Scholar] [CrossRef]
- Canto-Osorio, F.; Denova-Gutierrez, E.; Sánchez-Romero, L.M.; Salmerón, J.; Barrientos-Gutierrez, T. Dietary inflammatory index and metabolic syndrome in Mexican adult population. Am. J. Clin. Nutr. 2020, 112, 373–380. [Google Scholar] [CrossRef]
- Kim, M.; Sohn, C. Analysis of dietary inflammatory index of metabolic syndrome in Korean: Data from the health examinee cohort (2012–2014). Korean J. Hum. Ecol. 2016, 25, 823–834. [Google Scholar] [CrossRef]
- Kenđel Jovanović, G.; Pavičić Žeželj, S.; Klobučar Majanović, S.; Mrakovcic-Sutic, I.; Šutić, I. Metabolic syndrome and its association with the Dietary Inflammatory Index (DII)® in a Croatian working population. J. Hum. Nutr. Diet. 2020, 33, 128–137. [Google Scholar] [CrossRef]
- Li, R.; Zhan, W.; Huang, X.; Zhang, Z.; Zhou, M.; Bao, W.; Li, Q.; Ma, Y. Association of dietary inflammatory index and metabolic syndrome in the elderly over 55 years in Northern China. Br. J. Nutr. 2022, 128, 1082–1089. [Google Scholar] [CrossRef]
- Uddin, M.H.; Rumman, M. Advancing age, influence of dietary sugars, salts, and fats on chronic diseases and metabolic disorders. In Dietary Sugar, Salt and Fat in Human Health; Elsevier: Amsterdam, The Netherlands, 2020; pp. 25–65. [Google Scholar]
- Syauqy, A.; Hsu, C.Y.; Rau, H.H.; Chao, J.C.J. Association of dietary patterns with components of metabolic syndrome and inflammation among middle-aged and older adults with metabolic syndrome in Taiwan. Nutrients 2018, 10, 143. [Google Scholar] [CrossRef]
- Asadi, Z.; Ghaffarian Zirak, R.; Yaghooti Khorasani, M.; Saedi, M.; Parizadeh, S.M.; Jafarzadeh-Esfehani, R.; Khorramruz, F.; Jandari, S.; Mohammadi-Bajgiran, M.; Zare-Feyzabadi, R.; et al. Dietary inflammatory index is associated with healthy eating index, alternative healthy eating index, and dietary patterns among Iranian adults. J. Clin. Lab. Anal. 2020, 34, e23523. [Google Scholar] [CrossRef]
- Wirth, M.D.; Hébert, J.R.; Shivappa, N.; Hand, G.A.; Hurley, T.G.; Drenowatz, C.; McMahon, D.; Shook, R.P.; Blair, S.N. Anti-inflammatory Dietary Inflammatory Index scores are associated with healthier scores on other dietary indices. Nutr. Res. 2016, 36, 214–219. [Google Scholar] [CrossRef]
- Kastorini, C.M.; Milionis, H.J.; Esposito, K.; Giugliano, D.; Goudevenos, J.A.; Panagiotakos, D.B. The effect of Mediterranean diet on metabolic syndrome and its components: A meta-analysis of 50 studies and 534,906 individuals. J. Am. Coll. Cardiol. 2011, 57, 1299–1313. [Google Scholar] [CrossRef] [PubMed]
- Phillips, C.M.; Chen, L.W.; Heude, B.; Bernard, J.Y.; Harvey, N.C.; Duijts, L.; Mensink-Bout, S.M.; Polanska, K.; Mancano, G.; Suderman, M.; et al. Dietary inflammatory index and non-communicable disease risk: A narrative review. Nutrients 2019, 11, 1873. [Google Scholar] [CrossRef] [PubMed]
- Strasser, B.; Wolters, M.; Weyh, C.; Krüger, K.; Ticinesi, A. The effects of lifestyle and diet on gut microbiota composition, inflammation and muscle performance in our aging society. Nutrients 2021, 13, 2045. [Google Scholar] [CrossRef] [PubMed]
- Shivappa, N.; Wirth, M.D.; Murphy, E.A.; Hurley, T.G.; Hébert, J.R. Association between the Dietary Inflammatory Index (DII) and urinary enterolignans and C-reactive protein from the National Health and Nutrition Examination Survey-2003–2008. Eur. J. Nutr. 2019, 58, 797–805. [Google Scholar] [CrossRef]
- Singh, R.K.; Chang, H.W.; Yan, D.; Lee, K.M.; Ucmak, D.; Wong, K.; Abrouk, M.; Farahnik, B.; Nakamura, M.; Zhu, T.H.; et al. Influence of diet on the gut microbiome and implications for human health. J. Transl. Med. 2017, 15, 73. [Google Scholar] [CrossRef]
- Ko, S.H.; Jung, Y. Energy metabolism changes and dysregulated lipid metabolism in postmenopausal women. Nutrients 2021, 13, 4556. [Google Scholar] [CrossRef]
- Monteleone, P.; Mascagni, G.; Giannini, A.; Genazzani, A.R.; Simoncini, T. Symptoms of menopause—global prevalence, physiology and implications. Nat. Rev. Endocrinol. 2018, 14, 199–215. [Google Scholar] [CrossRef]
- Slopien, R.; Wender-Ozegowska, E.; Rogowicz-Frontczak, A.; Meczekalski, B.; Zozulinska-Ziolkiewicz, D.; Jaremek, J.D.; Cano, A.; Chedraui, P.; Goulis, D.G.; Lopes, P.; et al. Menopause and diabetes: EMAS clinical guide. Maturitas 2018, 117, 6–10. [Google Scholar] [CrossRef]
- Mumusoglu, S.; Yildiz, B.O. Metabolic syndrome during menopause. Curr. Vasc. Pharmacol. 2019, 17, 595–603. [Google Scholar] [CrossRef]
- Elran Barak, R.; Shuval, K.; Li, Q.; Oetjen, R.; Drope, J.; Yaroch, A.L.; Fennis, B.M.; Harding, M. Emotional eating in adults: The role of sociodemographics, lifestyle behaviors, and self-regulation—findings from a US National Study. Int. J. Environ. Res. Public Health 2021, 18, 1744. [Google Scholar] [CrossRef]
- Falzone, L.; Libra, M.; Polesel, J. Dietary inflammatory index in ageing and longevity. Centen. Ex. Posit. Biol. 2019, 71–86. [Google Scholar]
- Orchard, T.S.; Lohman, M.C.; Kopec, R.E. Inflammatory potential of diet and aging. In Diet, Inflammation, and Health; Elsevier: Amsterdam, The Netherlands, 2022; pp. 565–607. [Google Scholar]
- Bays, H.; Kothari, S.N.; Azagury, D.E.; Morton, J.M.; Nguyen, N.T.; Jones, P.H.; Jacobson, T.A.; Cohen, D.E.; Orringer, C.; Westman, E.C.; et al. Lipids and bariatric procedures part 2 of 2: Scientific statement from the American Society for Metabolic and Bariatric Surgery (ASMBS), the National Lipid Association (NLA), and Obesity Medicine Association (OMA). Surg. Obes. Relat. Dis. 2016, 12, 468–495. [Google Scholar] [CrossRef]
- Zheng, J.; Hoffman, K.L.; Chen, J.S.; Shivappa, N.; Sood, A.; Browman, G.J.; Dirba, D.D.; Hanash, S.; Wei, P.; Hebert, J.R.; et al. Dietary inflammatory potential in relation to the gut microbiome: Results from a cross-sectional study. Br. J. Nutr. 2020, 124, 931–942. [Google Scholar] [CrossRef]







| Characteristics | All (n = 3843) | Q1 (n = 817) | Q2 (n = 936) | Q3 (n = 992) | Q4 (n = 1098) | p-Value |
|---|---|---|---|---|---|---|
| Range | −5.20∼4.66 | −5.20∼−1.00 | −1.00∼0.63 | 0.63∼2.05 | 2.05∼4.66 | |
| Sex | ||||||
| Male | 1887 (49.1) | 506 (61.93) | 502 (53.63) | 458 (46.17) | 421 (38.34) | <0.001 |
| Female | 1956 (50.9) | 311 (38.07) | 434 (46.37) | 534 (53.83) | 677 (61.66) | |
| Age | ||||||
| 45∼60 | 1777 (46.24) | 403 (49.33) | 449 (47.97) | 447 (45.06) | 478 (43.53) | 0.4 |
| ≥60 | 2066 (53.76) | 414 (50.67) | 487 (52.03) | 545 (54.94) | 620 (56.47) | |
| Education | ||||||
| Less than 9th grade | 407 (10.59) | 62 (1.58) | 91 (9.74) | 111 (11.19) | 143 (13.02) | <0.001 |
| 9∼11th grade | 499 (12.98) | 67 (8.20) | 97 (10.36) | 136 (13.71) | 199 (18.12) | |
| High school graduate | 881 (22.92) | 134 (21.22) | 199 (21.26) | 235 (23.69) | 313 (28.51) | |
| Some college or AA degree | 1069 (27.82) | 233 (30.23) | 283 (30.23) | 284 (28.63) | 269 (24.50) | |
| College graduate or above | 987 (25.68) | 321 (28.42) | 266 (28.41) | 226 (22.78) | 174 (15.85) | |
| Race | ||||||
| Mexican American | 406 (11.97) | 96 (11.75) | 132 (14.10) | 112 (11.29) | 120 (10.93) | 0.006 |
| Other Hispanic | 407 (10.59) | 73 (12.70) | 92 (9.83) | 126 (12.70) | 116 (10.56) | |
| Non-Hispanic White | 2039 (53.06) | 459 (52.12) | 509 (54.38) | 517 (52.12) | 554 (50.46) | |
| Non-Hispanic Black | 660 (17.17) | 103 (17.44) | 134 (14.32) | 173 (17.44) | 250 (22.77) | |
| Other Race | 277 (7.21) | 86 (6.45) | 69 (7.37) | 64 (6.45) | 58 (5.28) | |
| PIR | ||||||
| <1 | 619 (16.11) | 80 (9.79) | 128 (13.68) | 180 (18.15) | 231 (21.04) | <0.001 |
| 1∼1.99 | 966 (25.14) | 183 (22.40) | 200 (21.37) | 242 (24.40) | 341 (31.06) | |
| 2∼3.99 | 1051 (27.35) | 175 (21.42) | 270 (28.85) | 292 (29.44) | 314 (28.60) | |
| ≥4 | 1207 (31.41) | 379 (46.39) | 338 (36.11) | 278 (28.02) | 212 (19.31) | |
| Smoking | ||||||
| Yes | 1917 (49.88) | 398 (48.71) | 466 (49.79) | 493 (49.70) | 560 (51.00) | 0.8 |
| No | 1926 (50.12) | 419 (51.29) | 470 (50.21) | 499 (50.30) | 538 (49.00) | |
| Alcohol | ||||||
| Yes | 2772 (72.13) | 643 (78.70) | 722 (77.14) | 713 (71.88) | 694 (63.21) | <0.001 |
| No | 1071 (27.87) | 174 (21.30) | 214 (22.86) | 279 (28.12) | 404 (36.79) | |
| Sedentary | ||||||
| <3 h | 575 (14.96) | 109 (13.34) | 137 (14.64) | 157 (15.83) | 172 (15.66) | 0.2 |
| 3∼5.9 h | 1421 (36.98) | 283 (34.64) | 359 (38.35) | 382 (38.51) | 397 (36.16) | |
| ≥6 h | 1847 (48.06) | 425 (52.02) | 440 (47.01) | 453 (45.67) | 529 (48.18) | |
| Metabolic syndrome | ||||||
| Non-Mets | 2558 (66.56) | 581 (71.11) | 658 (70.30) | 641 (64.62) | 678 (61.75) | 0.005 |
| Mets | 1285 (33.44) | 236 (28.89) | 278 (29.70) | 351 (35.38) | 420 (38.25) | |
| SBP (mmHg) | 124 (114,136) | 122 (114,134) | 122 (112,134) | 124 (114,138) | 124 (114,136) | 0.04 |
| DBP (mmHg) | 70 (64,78) | 70 (62,76) | 70 (64,76) | 72 (64, 78) | 72 (64,78) | 0.01 |
| TC (mg/dL) | 202 (176,230) | 199 (173,228) | 202 (176,226) | 203 (177,234) | 203 (178,232) | 0.3 |
| TG (mg/dL) | 106 (75,151) | 103 (72,149) | 105 (71,144) | 105 (76,158) | 111 (81,155) | 0.03 |
| LDL-C (mg/dL) | 120 (98,145) | 119 (94,140) | 118 (97,145) | 120 (98,147) | 122 (103, 146) | 0.5 |
| HDL-C (mg/dL) | 54 (45,67) | 53 (45,65) | 55 (46,68) | 54 (46,66) | 53 (44,67) | 0.4 |
| FPG (mmol/L) | 5.61 (5.27,6.05) | 5.60 (5.27,6.00) | 5.60 (5.25,5.99) | 5.66 (5.22,6.05) | 5.66 (5.32,6.10) | 0.3 |
| OGTT (mmol/L) | 6.43 (5.16,8.10) | 6.27 (5.11,7.88) | 6.27 (5.16,7.88) | 6.38 (5.11,8.05) | 6.71 (5.32,8.54) | 0.002 |
| BMI (kg/m) | 27.6 (24.4,31.6) | 26.9 (24.0,30.8) | 27.3 (24.3,31.3) | 27.8 (24.7,31.9) | 28.1 (24.9,32.8) | 0.009 |
| Waistline (cm) | 98.9 (90.1,108.9) | 98.5 (89.9,108.2) | 98.3 (90.3,108.4) | 98.4 (89.0,108.3) | 100.0 (90.9,110.4) | 0.4 |
Disclaimer/Publisher’s Note: The statements, opinions and data contained in all publications are solely those of the individual author(s) and contributor(s) and not of MDPI and/or the editor(s). MDPI and/or the editor(s) disclaim responsibility for any injury to people or property resulting from any ideas, methods, instructions or products referred to in the content. |
© 2023 by the authors. Licensee MDPI, Basel, Switzerland. This article is an open access article distributed under the terms and conditions of the Creative Commons Attribution (CC BY) license (https://creativecommons.org/licenses/by/4.0/).
Share and Cite
Zhao, Q.; Tan, X.; Su, Z.; Manzi, H.P.; Su, L.; Tang, Z.; Zhang, Y. The Relationship between the Dietary Inflammatory Index (DII) and Metabolic Syndrome (MetS) in Middle-Aged and Elderly Individuals in the United States. Nutrients 2023, 15, 1857. https://doi.org/10.3390/nu15081857
Zhao Q, Tan X, Su Z, Manzi HP, Su L, Tang Z, Zhang Y. The Relationship between the Dietary Inflammatory Index (DII) and Metabolic Syndrome (MetS) in Middle-Aged and Elderly Individuals in the United States. Nutrients. 2023; 15(8):1857. https://doi.org/10.3390/nu15081857
Chicago/Turabian StyleZhao, Qilong, Xinyue Tan, Zhenni Su, Habasi Patrick Manzi, Li Su, Zhenchuang Tang, and Ying Zhang. 2023. "The Relationship between the Dietary Inflammatory Index (DII) and Metabolic Syndrome (MetS) in Middle-Aged and Elderly Individuals in the United States" Nutrients 15, no. 8: 1857. https://doi.org/10.3390/nu15081857
APA StyleZhao, Q., Tan, X., Su, Z., Manzi, H. P., Su, L., Tang, Z., & Zhang, Y. (2023). The Relationship between the Dietary Inflammatory Index (DII) and Metabolic Syndrome (MetS) in Middle-Aged and Elderly Individuals in the United States. Nutrients, 15(8), 1857. https://doi.org/10.3390/nu15081857

