Abstract
Objectives: To assess the effects of probiotic supplements on glycemic control and metabolic parameters in women with gestational diabetes mellitus (GDM) by performing a systematic review and meta-analysis of randomized controlled trials. The primary outcome was glycemic control, i.e., serum glucose and insulin levels. Secondary outcomes were maternal weight gain, neonatal birth weight, and lipid parameters. Weighted mean difference (WMD) was used. Cochraneβs Q test of heterogeneity and I2 were used to assess heterogeneity. Results: Of the 843 papers retrieved, 14 (n = 854 women) met the inclusion criteria and were analyzed. When compared with placebo, women receiving probiotic supplements had significantly lower mean fasting serum glucose, fasting serum insulin, homeostatic model assessment for insulin resistance (HOMA-IR), triglycerides, total cholesterol, and VLDL levels. Decreased neonatal birth weight was witnessed in supplements containing Lactobacillus acidophilus. Conclusion: Probiotic supplements may improve glycemic control and lipid profile and reduce neonatal birth weight in women with GDM.
1. Introduction
Gestational diabetes mellitus (GDM) is one of the most common pregnancy complications, and its prevalence is increasing worldwide []. It is associated with metabolic changes, such as obesity and insulin resistance [,]. Uncontrolled GDM is associated with adverse pregnancy outcomes and an increased risk for long-term morbidities in both the mother and child [,]. Therefore, adequate glycemic control in GDM has a major role in decreasing the incidence of complications such as macrosomia, shoulder dystocia, Caesarean section, preeclampsia, GDM recurrence, and future type 2 diabetes and dislipidemia [,,].
GDM treatment includes diet and lifestyle interventions, oral anti-diabetes agents, and insulin injections if needed []. It has been hypothesized that some of the beneficial influences of lifestyle modifications might be due to alteration of the maternal gut microbiome []. Various factors affect the digestive tract microbiome, including host genetics, illness, antibiotics use, diet, weight loss, and pregnancy [,]. Recent evidence supported an association between the gut microbiome signature and insulin metabolism in GDM [,,,].
Although appropriate treatment of GDM cannot be stressed enough, good glycemic control is difficult to achieve. Among the reasons are low compliance for lifestyle behavior changes due to poor motivation, the need for six to seven daily painful blood tests, and multiple insulin injections (around four injections) that are performed repeatedly. The adverse effects of insulin and oral hypoglycemics, such as hypoglycemia and gastrointestinal symptoms, also limited the use of those medications, and sometimes those treatments are more dangerous than hyperglycemia to the mother and fetus.
Recently, probiotic treatments were investigated in the context of metabolic diseases. Probiotics have been defined by the World Health Organization (WHO) as live microorganisms that, when taken appropriately, provide health benefits to the host [,,,]. Recently, the consumption of probiotic supplements was widely investigated for their beneficial effects on treating metabolic diseases and infections [,]. Intake of probiotics is a safe alternative that has shown efficacy in regulating the human gut microbial composition and function by promoting favorable metabolic activity and normalizing the gut microbiota [,,]. Supplementation with probiotics has improved glycemic control and lipid profiles in patients with type 2 diabetes mellitus [,,] and prevents GDM []. Yet, there are conflicting reports regarding its effectiveness in women with GDM [,,,,,,,,,,,]. The most common strains that were investigated to improve glycemic control in GDM were Lactobacillus acidophilus, Bifidobacterium bifidum, and Lactobacillus casei [,,,,,,,,,,].
Our hypothesis was that probiotic supplements would improve glycemic control and lipid profile in women with GDM.
In the present study, we aimed to assess the effects of probiotic supplements on glycemic control and metabolic parameters in women with GDM by performing a systematic review and meta-analysis of randomized controlled trials.
2. Material and Methods
2.1. Eligibility Criteria, Information Sources, and Search Strategy
We performed a systematic review and meta-analysis of randomized controlled trials. The strategy search was followed the PICO (patient, intervention, comparison, and outcome) strategy. Embase, PubMed, Ovid-Medline, and Web of Science were searched using the following keywords: probiotics (probiotic/s, prebiotic/s, dietary fiber, synbiotic/s, lactobacillus, bifidobacterium, bifida) and gestational diabetes mellitus (GDM, diabetes, pregnancy/gravidarum and diabetes, pregnancy diabetes mellitus, pregnancy-induced and diabetes).
The search was restricted to English-language journals and full articles (no abstracts). All reference lists from the main reports and relevant reviews were manually searched for additional eligible publications. In addition, when clarifications were necessary or additional data were not shown in the published manuscript, the authors of the included studies were contacted. The search included all the available articles in the searched databases until 17 August 2022.
Manuscripts were included if they described a randomized controlled trial that compared probiotic treatment versus no or placebo treatment for glycemic control and metabolic parameters in women with GDM. We excluded studies on pregnant women without GDM, pregnant women with pre-GDM, studies that were not randomized controlled trials, or when there were no data on the primary outcomes.
2.2. Data Extraction
The credentials of the investigators were indicated in the list of authors. Two independent reviewers (LB and RI) appraised each full-text report for eligibility and extracted and tabulated all relevant data. Disagreement was settled by consensus among all authors. All procedures conformed to the guidelines for systematic review and meta-analysis of randomized controlled trial in epidemiologyβPRISMA checklist [].
2.3. Outcomes
The primary outcomes were levels of fasting glucose and insulin. Additional outcomes were maternal serum total cholesterol, high-density lipoproteins (HDL), LDL, very-low LDL (VLDL), triglycerides, homeostatic model assessment for insulin resistance (HOMA-IR) index, quantitative insulin-sensitivity check index (QUICKI), maternal weight gain, neonatal birth weight, large for gestational age fetus/macrosomia, and neonatal hypoglycemia. Adverse effects that might be related to the probiotics were also evaluated.
Each outcome was presented as weighted mean difference (WMD) with 95% confidence interval (CI) between the study and control groups. We performed sub-analyses in which we examined separately the effect of different strains of probiotic supplements on all the glycemic and metabolic parameters.
2.4. Data Synthesis and Assessment of the Risk of Bias
All reports were assigned a quality score based on the CONSORT guidelines []. The maximum score was 25.
Meta-analyses and review articles are exempt from the institutional review board approval in our institutions. OpenMeta Analyst software for Windows was used to perform the meta-analyses. Cochrane Q tests and the I2 (inconsistency) statistics were used to assess the heterogeneity of analyses. The random-effects model was used as a standard in determining heterogeneity between studies. The I2 values are expressed in percentages. Heterogeneity was classified as low, moderate, and high, with I2 ranging 0β25%, 25β50%, and >50%, respectively. The risk of bias was addressed by Eggerβs statistics and funnel plots, and prepared using MedCalc statistical software. p < 0.05 was considered statistically significant.
Trial registration: This study was registered at PROSPERO (CRD42021233502).
3. Results
3.1. Study Selection
The study selection process is shown in Figure 1. Of the 843 articles identified, 14 publications were deemed eligible according to the inclusion criteria [,,,,,,,,,,,,,].

Figure 1.
CONSORT flow of identified and appraised publications. RCT, randomized controlled trial.
3.2. Study Characteristics
Study summaries are presented in Table 1. Overall, 430 women received probiotic supplements, and 424 women were in control groups, which, in all cases, included placebo treatment. Treatment duration ranged between four weeks and until delivery. Various probiotic formulas were used. Specific adverse effects were predefined in only one study []. Quality scores for all studies were high. Eggerβs test and a funnel plot for each outcome are presented in Table 2 and Supplement S2, respectively. Publication bias is possible in favor of the effect of probiotic towards the glucose, insulin and HOMA-IR variables according to the Eggerβs test (p < 0.05; Table 2) and the funnel plots (Supplement S2).

Table 1.
Summary of included studies.

Table 2.
Eggerβs test for asymmetry.
3.3. Synthesis of Results
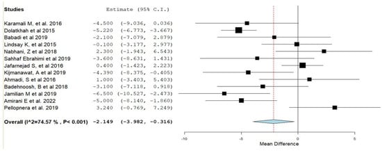
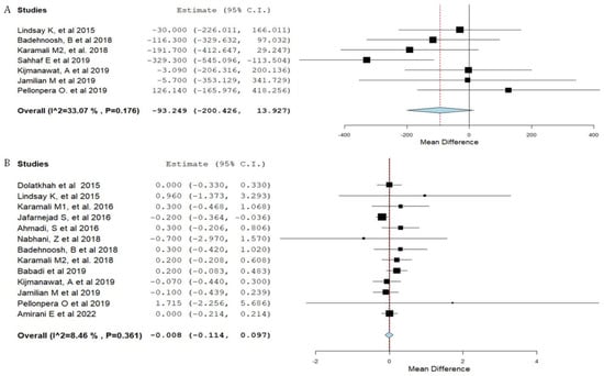
Forest plots of the study outcomes are presented in Figure 2, Figure 3, Figure 4 and Figure 5. When compared with the placebo groups, probiotics administration was associated with a reduction in the levels of fasting plasma glucose (WMD β2.1 mg/dL 95% CI [(β4.0)β(β0.3)]; Figure 2) and fasting plasma insulin (WMD β2.4 ΞΌIU/mL 95% CI [(β3.6)β(β1.2)]; Figure 3A), HOMA-IR (WMD β0.6 95% CI [(β0.8)β(β0.3)]; Figure 3B), triglycerides (WMD β17.7 mg/dL 95% CI [(β29.7)β(β5.8)]; Figure 4A), total cholesterol (WMD β10.7 mg/dL 95% CI [(β18.8)β(β2.6)]; Figure 4B), and VLDL (WMD β4.7 mg/dL 95% CI [(β7.5)β(β1.8)]; Figure 4E), alongside higher QUICKI (Figure 3C). There was no difference between cohorts in neonatal birth weight (Figure 5A) or maternal weight gain (Figure 5B), and LDL (Figure 4C) or HDL (Figure 4D).

Figure 2.
Forest plot of probiotic treatment versus placebo and fasting plasma glucose levels (mg/dL). C.I.: confidence interval [,,,,,,,,,,,,].

Figure 3.
Forest plot of probiotic treatment versus placebo and insulin resistance parameters. (A) insulin (Β΅IU/mL) [,,,,,,,,,], (B) homeostatic model assessment for insulin resistance (HOMA-IR) [,,,,,,,,,,], and (C) the quantitative insulin-sensitivity check index (QUICKI). C.I.: confidence interval [,,,,,,,].

Figure 4.
Forest plot of probiotic treatment versus placebo and lipid profile. (A) Triglycerides (mg/dL) [,,,,,,], (B) total cholesterol (mg/dL) [,,,,,,], (C) low-density lipoproteins (mg/dL) [,,,,,,], (D) high-density lipoproteins (mg/dL) [,,,,,,], and (E) very-low-density lipoproteins (mg/dL). C.I.: confidence interval [,,,,].

Figure 5.
Forest plot of probiotic treatment versus placebo and neonatal birth weight (g) (A) and maternal weight gain (kg) [,,,,,,] (B) C.I.: confidence interval [,,,,,,,,,,,,].
We performed sub-analyses in which we examined separately the effect on metabolic parameters of the three most common bacterial strains used in the probiotic formulas: Lactobacillus acidophilus, Bifidobacterium bifidum, and Lactobacillus casei (Table 3). All bacterial strains had favorable effects on various metabolic outcomes. Lactobacillus acidophilus positively affected eight parameters, including a decrease in neonatal birth weight. Bifidobacterium bifidum positively affected eight parameters as well and Lactobacillus casei positively affected five parameters (Table 3). There were no data regarding large for gestational age fetus/macrosomia and neonatal hypoglycemia. No serious adverse effects were reported for the probiotic treatment.

Table 3.
Sub-analysis of metabolic effects according to specific bacteria.
4. Discussion
4.1. Main Findings
In the present study, we aimed to assess the effects of probiotic supplements on glycemic control and metabolic parameters in women with GDM by performing a systematic review and meta-analysis of randomized controlled trials.
It was found that probiotic supplements improved glycemic control, insulin resistance, and lipid profile. Lactobacillus acidophilus, Bifidobacterium bifidum, and Lactobacillus casei, which were the most common bacterial strains used in the probiotic formulas, had favorable effects on various metabolic outcomes when assessed separately. Of interest, studies that used Lactobacillus acidophilus demonstrated lower neonatal birth weight in the probiotic group compared with controls.
4.2. Comparison with Existing Literature
GDM complicates 4β12% of pregnancies []. Adequate glycemic control is highly important during pregnancy, since uncontrolled GDM was associated with severe maternal and neonatal morbidities [,,]. Adequate glycemic control is also important to prevent long-term maternal complications. In a mean follow-up time of 15.8 Β± 5.1 years, it was found that inadequate glycemic control during pregnancies with GDM was an independent risk factor for future type 2 diabetes mellitus and dyslipidemia []. In addition, high post-prandial glucose levels were associated with increased risk for GDM recurrence in the next pregnancy [].
The treatment in GDM is multidisciplinary and includes dietary and lifestyle changes such as regular exercise, as well as drug administration of oral agents or insulin in more resistant cases. Yet, those treatments are time- and effort-consuming and anti-diabetic medications have potential life-threatening adverse effects such as maternal hypoglycemia following insulin or glibenclamide use. Thus, more convenient and safe methods to treat GDM were searched for.
Probiotics have shown an efficacy in manipulating the human gut microbial composition and function to reduce the adverse metabolic effects associated with pathogenic microbial colonization [,]. Probiotic supplements have been shown to improve metabolism by increasing host insulin sensitivity, cholesterol metabolism, and beneficial effects on the immune system []. Indeed, positive effects were noticed when the use of probiotics was studied in non-pregnant individuals with diabetes mellitus []. Administration of Lactobacillus acidophilus reduced fasting glucose and hemoglobin A1C levels [] and preserved insulin sensitivity [] in those patients.
In pregnancy, probiotic supplements were tested in the prevention of GDM []. In the study of Luoto et al., the aim of the study was to determine the safety and efficacy of perinatal probiotic-supplemented dietary counseling by evaluating pregnancy outcome and fetal and infant growth during the 24-month follow-up. In total, 256 women were randomized at their first trimester of pregnancy into control and a dietary intervention groups. The intervention group received intensive dietary counseling provided by a nutritionist and were further randomized, double-blind, to receive probiotics (Lactobacillus rhamnosus GG and Bifidobacterium lactis Bb12) or placebo. The probiotic intervention significantly reduced the frequency of GDM from 34% and 36% to 13% in the control, placebo and probiotic groups, respectively. The safety of this approach was attested by the normal duration of pregnancies with no adverse events in mothers or children, and no significant differences in prenatal or postnatal growth rates among the study groups were detected []. In another randomized controlled clinical trial, 70 primigravida pregnant women with singleton pregnancy at their third trimester were randomly allocated to consume 200 g per day of conventional (n = 33) or probiotic yoghurt (n = 37) for 9 weeks. The probiotic yoghurt consisted of Streptococcus thermophilus, Lactobacillus bulgaricus, Lactobacillus acidophilus LA5, and Bifidobacterium animalis BB12. Fasting blood samples were taken at baseline and after a 9-week intervention to measure fasting plasma glucose and serum insulin levels. HOMA-IR was used to calculate insulin resistance score. When comparing the changes from baseline to 9 weeks of consumption of the two yogurts, the elevation in insulin resistance was milder in the probiotic group compared with the conventional group, as suggested by the lower elevation in serum insulin levels and decrease in HOMA-IR index []. On the contrary, in two studies that used Lactobacillus salivarius, no effect on glucose metabolism was noticed, neither in obese pregnant woman [] nor women with GDM []. Notably, both studies used Lactobacillus salivarius, while the studies that demonstrated a positive effect used different strains. In addition, low gastric and intestinal motility in pregnancy might require a higher dose of probiotic to achieve an effect.
In our study, sub-analysis of different probiotic strains yielded different metabolic effects. These results stress the fact that probiotic supplements are a heterogenic group consisting of various bacteria, and each one can act differently on glucose and metabolic pathways. In future studies there should be more focus on the effect of each bacterial strain in order to characterize the appropriate supplement for each metabolic disorder. Such a strategy will be able to achieve a more robust effect while avoiding false-negative results that can be found following the integration of various kinds of probiotic supplements.
In pregnant women, the intestinal bacterial composition has been implicated in alterations in insulin, c-peptide, HOMA-IR, and hemoglobin A1C levels, as well as low-grade inflammatory responses, which lead to GDM manifestations [,,]. Maternal insulin resistance leading to hyperglycemia and fetal hyperinsulinemia has been suggested to underlie fetal overgrowth and macrosomia [] and increased maternal lipid levels regardless of glycemic control [].
Probiotic supplements were suggested to improve glucose, insulin, and lipid metabolism and decrease inflammatory response, reducing the risk for GDM and unfavorable pregnancy outcomes [,]. The mechanisms by which probiotic supplements alter glucose metabolism include the production of short-chain fatty acids, which were found to (1) regulate the production of hormones such as leptin and grehlin [], affecting energy intake and expenditure, (2) increase the intestinal expression of peptide YY and glucagon-like peptide-1 (GLP-1) hormones, which act to increase insulin sensitivity [], and (3) enhance the production of glucagon-like peptide-2 (GLP-2), which reduces inflammation [,]. Probiotic administration in women with GDM was also reported to reduce inflammatory markers, such as high-sensitivity C-reactive protein, tumor necrosis factor-Ξ±, and interleukin-6 [,].
4.3. Strengths, Limitations and Suggestions
The strengths of this meta-analysis lay in its incorporation of 14 high-quality, randomized, placebo-controlled trials with a large sample size of 854 women, as well as the investigation of various metabolic parameters that are known to affect pregnancy outcomes in GDM. Its limitations included inter-study heterogeneity concerning the type of probiotic supplement, the effective dose range and duration of treatment, and a possible publication bias toward the positive effect of the probiotic supplements on GDM parameters. Another limitation was that only fasting glucose was evaluated but not mean daily glucose or postprandial glucose levels, which were demonstrated to better predict pregnancy complications in GDM []. Future studies should examine the effect of probiotic supplements on the daily glucose charts, including pre-prandial, postprandial, and mean daily glucose values, since those are used to evaluate glycemic control and respond to treatment in clinical settings. Neonatal outcomes that are associated with GDM should also be evaluated in a more comprehensive manner.
5. Conclusions
Probiotic supplements may improve glycemic control and lipid profile and reduce neonatal birth weight in women with GDM.
Supplementary Materials
The following supporting information can be downloaded at: https://www.mdpi.com/article/10.3390/nu15071633/s1.
Author Contributions
E.Y., L.B., I.I., R.I., J.S.Y., M.M. and Z.N. all made substantial contributions to the conceptualization and design of the study. L.B. and R.I. reviewed each full-text report for eligibility and extracted and tabulated all relevant data. I.I. analyzed the data. E.Y. and Z.N. drafted the article. L.B., I.I., R.I. and J.S.Y. performed critical reviews of the article content. All authors have read and agreed to the published version of the manuscript.
Funding
This research received no external funding.
Institutional Review Board Statement
Not applicable. Meta-analyses and review articles are exempt from IRB approval in our institutions.
Data Availability Statement
No new data were created in this meta-analysis.
Acknowledgments
We would like to thank Tal Kaminski-Rosenberg and Leora Mauda, The Alfred Goldschmidt Medical Sciences Library, Rappaport Faculty of Medicine, and TechnionβIsrael Institute of Technology, for their assistance in the literature search.
Conflicts of Interest
The authors declare no conflict of interest.
References
- Schneider, S.; Bock, C.; Wetzel, M.; Maul, H.; Loerbroks, A. The prevalence of gestational diabetes in advanced economies. J. Perinat. Med. 2012, 40, 511β520. [Google Scholar] [CrossRef] [PubMed]
- Dallanora, S.; Medeiros, d.S.; Deon, R.G.; Tracey, C.A.; Freitas-Vilela, A.A.; Wurdig Roesch, L.F.; Mendes, R.H. Do probiotics effectively ameliorate glycemic control during gestational diabetes? A systematic review. Arch. Gynecol. Obstet. 2018, 298, 477β485. [Google Scholar] [CrossRef] [PubMed]
- Hasain, Z.; Mokhtar, N.M.; Kamaruddin, N.A.; Mohamed Ismail, N.A.; Razalli, N.H.; Gnanou, J.V.; Raja Ali, R.A. Gut Microbiota and Gestational Diabetes Mellitus: A Review of Host-Gut Microbiota Interactions and Their Therapeutic Potential. Front. Cell. Infect. Microbiol. 2020, 10, 188. [Google Scholar] [CrossRef] [PubMed]
- Poomalar, G.K. Changing trends in management of gestational diabetes mellitus. World J. Diabetes 2015, 6, 284β295. [Google Scholar] [CrossRef]
- Chiefari, E.; Arcidiacono, B.; Foti, D.; Brunetti, A. Gestational diabetes mellitus: An updated overview. J. Endocrinol. Investig. 2017, 40, 899β909. [Google Scholar] [CrossRef] [PubMed]
- Garrison, A. Screening, diagnosis, and management of gestational diabetes mellitus. Am. Fam. Physician 2015, 91, 460β467. [Google Scholar]
- Yefet, E.; Schwartz, N.; Sliman, B.; Ishay, A.; Nachum, Z. Good glycemic control of gestational diabetes mellitus is associated with the attenuation of future maternal cardiovascular risk: A retrospective cohort study. Cardiovasc. Diabetol. 2019, 18, 75. [Google Scholar] [CrossRef]
- Schwartz, N.; Green, M.S.; Yefet, E.; Nachum, Z. Modifiable risk factors for gestational diabetes recurrence. Endocrine 2016, 54, 714β722. [Google Scholar] [CrossRef]
- Mack, L.R.; Tomich, P.G. Gestational Diabetes: Diagnosis, Classification, and Clinical Care. Obstet. Gynecol. Clin. N. Am. 2017, 44, 207β217. [Google Scholar] [CrossRef]
- Ferrocino, I.; Ponzo, V.; Gambino, R.; Zarovska, A.; Leone, F.; Monzeglio, C.; Goitre, I.; Rosato, R.; Romano, A.; Grassi, G.; et al. Changes in the gut microbiota composition during pregnancy in patients with gestational diabetes mellitus (GDM). Sci. Rep. 2018, 8, 12216. [Google Scholar] [CrossRef]
- Taylor, B.L.; Woodfall, G.E.; Sheedy, K.E.; OβRiley, M.L.; Rainbow, K.A.; Bramwell, E.L.; Kellow, N.J. Effect of Probiotics on Metabolic Outcomes in Pregnant Women with Gestational Diabetes: A Systematic Review and Meta-Analysis of Randomized Controlled Trials. Nutrients 2017, 9, 461. [Google Scholar] [CrossRef]
- Karamali, M.; Dadkhah, F.; Sadrkhanlou, M.; Jamilian, M.; Ahmadi, S.; Tajabadi-Ebrahimi, M.; Jafari, P.; Asemi, Z. Effects of probiotic supplementation on glycaemic control and lipid profiles in gestational diabetes: A randomized, double-blind, placebo-controlled trial. Diabetes Metab. 2016, 42, 234β241. [Google Scholar] [CrossRef] [PubMed]
- Han, M.-M.; Sun, J.-F.; Su, X.-H.; Peng, Y.-F.; Goyal, H.; Wu, C.-H.; Zhu, X.-Y.; Li, L. Probiotics improve glucose and lipid metabolism in pregnant women: A meta-analysis. Ann. Transl. Med. 2019, 7, 99. [Google Scholar] [CrossRef] [PubMed]
- Jafarnejad, S.; Saremi, S.; Jafarnejad, F.; Arab, A. Effects of a Multispecies Probiotic Mixture on Glycemic Control and Inflammatory Status in Women with Gestational Diabetes: A Randomized Controlled Clinical Trial. J. Nutr. Metab. 2016, 2016, 5190846. [Google Scholar] [CrossRef] [PubMed]
- Yefet, E.; Colodner, R.; Strauss, M.; Letova, Y.G.Z.; Nachum, Z. A Randomized Controlled Open Label Crossover Trial to Study Vaginal Colonization of Orally Administered Lactobacillus Reuteri RC-14 and Rhamnosus GR-1 in Pregnant Women at High Risk for Preterm Labor. Nutrients 2020, 12, 1141. [Google Scholar] [CrossRef]
- Clarke, S.F.; Murphy, E.F.; Nilaweera, K.; Ross, P.R.; Shanahan, F.; OβToole, P.W.; Cotter, P.D. The gut microbiota and its relationship to diet and obesity: New insights. Gut Microbes 2012, 3, 186β202. [Google Scholar] [CrossRef]
- Gomes, A.C.; Bueno, A.A.; de Souza, R.G.; Mota, J.F. Gut microbiota, probiotics and diabetes. Nutr. J. 2014, 13, 60. [Google Scholar] [CrossRef]
- Barrett, H.L.; Callaway, L.K.; Nitert, M.D. Probiotics: A potential role in the prevention of gestational diabetes? Acta Diabetol. 2012, 49, S1βS13. [Google Scholar] [CrossRef]
- Ejtahed, H.S.; Mohtadi-Nia, J.; Homayouni-Rad, A.; Niafar, M.; Asghari-Jafarabadi, M.; Mofid, V. Probiotic yogurt improves antioxidant status in type 2 diabetic patients. Nutrition 2012, 28, 539β543. [Google Scholar] [CrossRef]
- Andreasen, A.S.; Larsen, N.; Pedersen-Skovsgaard, T.; Berg, R.M.G.; MΓΈller, K.; Svendsen, K.D.; Jakobsen, M.; Pedersen, B.K. Effects of Lactobacillus acidophilus NCFM on insulin sensitivity and the systemic inflammatory response in human subjects. Br. J. Nutr. 2010, 104, 1831β1838. [Google Scholar] [CrossRef]
- Luoto, R.; Laitinen, K.; Nermes, M.; Isolauri, E. Impact of maternal probiotic-supplemented dietary counselling on pregnancy outcome and prenatal and postnatal growth: A double-blind, placebo-controlled study. Br. J. Nutr. 2010, 103, 1792β1799. [Google Scholar] [CrossRef] [PubMed]
- Dolatkhah, N.; Hajifaraji, M.; Abbasalizadeh, F.; Aghamohammadzadeh, N.; Mehrabi, Y.; Abbasi, M.M. Is there a value for probiotic supplements in gestational diabetes mellitus? A randomized clinical trial. J. Health Popul. Nutr. 2015, 33, 25. [Google Scholar] [CrossRef] [PubMed]
- Sahhaf, E.F.; Homayouni, R.A.; Mosen, M.; Abbasalizadeh, F.; Tabrizi, A.; Khalili, L. Effect of L. acidophilus and B. lactis on blood glucose in women with gestational diabetes mellitus: A randomized placebo-controlled trial. Diabetol. Metab. Syndr. 2019, 11, 75. [Google Scholar] [CrossRef] [PubMed]
- Lindsay, K.L.; Brennan, L.; Kennelly, M.A.; Maguire, O.C.; Smith, T.; Curran, S.; Coffey, M.; Foley, M.E.; Hatunic, M.; Shanahan, F. Impact of probiotics in women with gestational diabetes mellitus on metabolic health: A randomized controlled trial. Am. J. Obstet. Gynecol. 2015, 212, 496.e1β496.e11. [Google Scholar] [CrossRef]
- Ahmadi, S.; Jamilian, M.; Tajabadi-Ebrahimi, M.; Jafari, P.; Asemi, Z. The effects of synbiotic supplementation on markers of insulin metabolism and lipid profiles in gestational diabetes: A randomised, double-blind, placebo-controlled trial. Br. J. Nutr. 2016, 116, 1394β1401. [Google Scholar] [CrossRef]
- Nabhani, Z.; Hezaveh, S.J.G.; Razmpoosh, E.; Asghari-Jafarabadi, M.; Gargari, B.P. The effects of synbiotic supplementation on insulin resistance/sensitivity, lipid profile and total antioxidant capacity in women with gestational diabetes mellitus: A randomized double blind placebo controlled clinical trial. Diabetes Res. Clin. Pract. 2018, 138, 149β157. [Google Scholar] [CrossRef]
- Badehnoosh, B.; Karamali, M.; Zarrati, M.; Jamilian, M.; Bahmani, F.; Tajabadi-Ebrahimi, M.; Jafari, P.; Rahmani, E.; Asemi, Z. The effects of probiotic supplementation on biomarkers of inflammation, oxidative stress and pregnancy outcomes in gestational diabetes. J. Matern. Fetal Neonatal Med. 2018, 31, 1128β1136. [Google Scholar] [CrossRef]
- Babadi, M.; Khorshidi, A.; Aghadavood, E.; Samimi, M.; Kavossian, E.; Bahmani, F.; Mafi, A.; Shafabakhsh, R.; Satari, M.; Asemi, Z. The Effects of Probiotic Supplementation on Genetic and Metabolic Profiles in Patients with Gestational Diabetes Mellitus: A Randomized, Double-Blind, Placebo-Controlled Trial. Probiotics Antimicrob. Proteins 2018, 11, 1227β1235. [Google Scholar] [CrossRef]
- Karamali, M.; Nasiri, N.; Taghavi, S.N.; Jamilian, M.; Bahmani, F.; Tajabadi-Ebrahimi, M.; Asemi, Z. The Effects of Synbiotic Supplementation on Pregnancy Outcomes in Gestational Diabetes. Probiotics Antimicrob. Proteins 2018, 10, 496β503. [Google Scholar] [CrossRef]
- Kijmanawat, A.; Panburana, P.; Reutrakul, S.; Tangshewinsirikul, C. Effects of probiotic supplements on insulin resistance in gestational diabetes mellitus: A double-blind randomized controlled trial. J. Diabetes Investig. 2019, 10, 163β170. [Google Scholar] [CrossRef]
- Jamilian, M.; Amirani, E.; Asemi, Z. The effects of vitamin D and probiotic co-supplementation on glucose homeostasis, inflammation, oxidative stress and pregnancy outcomes in gestational diabetes: A randomized, double-blind, placebo-controlled trial. Clin. Nutr. 2019, 38, 2098β2105. [Google Scholar] [CrossRef] [PubMed]
- PRISMA-P Group; Moher, D.; Shamseer, L.; Clarke, M.; Ghersi, D.; Liberati, A.; Petticrew, M.; Shekelle, P.; Stewart, L.A. Preferred reporting items for systematic review and meta-analysis protocols (prisma-p) 2015 statement. Syst. Rev. 2015, 4, 1. [Google Scholar] [CrossRef]
- Vandenbroucke, J.P.; von Elm, E.; Altman, D.G.; Gotzsche, P.C.; Mulrow, C.D.; Pocock, S.J.; Poole, C.; Schlesselman, J.J.; Egger, M. Strengthening the Reporting of Observational Studies in Epidemiology (STROBE): Explanation and elaboration. PLoS Med. 2007, 4, e297. [Google Scholar] [CrossRef] [PubMed]
- Pellonpera, O.; Mokkala, K.; Houttu, N.; Vahlberg, T.; Koivuniemi, E.; Tertti, K.; RΓΆnnemaa, T.; Laitinen, K. Efficacy of Fish Oil and/or Probiotic Intervention on the Incidence of Gestational Diabetes Mellitus in an At-Risk Group of Overweight and Obese Women: A Randomized, Placebo-Controlled, Double-Blind Clinical Trial. Diabetes Care 2019, 42, 1009β1017. [Google Scholar] [CrossRef]
- Amirani, E.; Asemi, Z.; Taghizadeh, M. The effects of selenium plus probiotics supplementation on glycemic status and serum lipoproteins in patients with gestational diabetes mellitus: A randomized, double-blind, placebo-controlled trial. Clin. Nutr. ESPEN 2022, 48, 56β62. [Google Scholar] [CrossRef] [PubMed]
- de Veciana, M.; Major, C.A.; Morgan, M.A.; Asrat, T.; Toohey, J.S.; Lien, J.M.; Evans, A.T. Postprandial versus preprandial blood glucose monitoring in women with gestational diabetes mellitus requiring insulin therapy. N. Engl. J. Med. 1995, 333, 1237β1241. [Google Scholar] [CrossRef]
- Schwartz, N.; Green, M.S.; Yefet, E.; Nachum, Z. Postprandial glycemic control during gestational diabetes pregnancy predicts the risk of recurrence. Sci. Rep. 2018, 8, 6350. [Google Scholar] [CrossRef]
- Asemi, Z.; Samimi, M.; Tabassi, Z.; Naghibi, R.M.; Rahimi, F.A.; Khorammian, H.; Esmaillzadeh, A. Effect of daily consumption of probiotic yoghurt on insulin resistance in pregnant women: A randomized controlled trial. Eur. J. Clin. Nutr. 2013, 67, 71β74. [Google Scholar]
- Lindsay, K.L.; Kennelly, M.; Culliton, M.; Smith, T.; Maguire, O.C.; Shanahan, F.; Brennan, L.; McAuliffe, F.M. Probiotics in obese pregnancy do not reduce maternal fasting glucose: A double-blind, placebo-controlled, randomized trial (Probiotics in Pregnancy Study). Am. J. Clin. Nutr. 2014, 99, 1432β1439. [Google Scholar] [CrossRef]
- Neri, C.; Serafino, E.; Morlando, M.; Familiari, A. Microbiome and Gestational Diabetes: Interactions with Pregnancy Outcome and Long-Term Infant Health. J. Diabetes Res. 2021, 2021, 9994734. [Google Scholar] [CrossRef]
- Gohir, W.; Whelan, F.J.; Surette, M.G.; Moore, C.; Schertzer, J.D.; Sloboda, D.M. Pregnancy-related changes in the maternal gut microbiota are dependent upon the motherβs periconceptional diet. Gut Microbes 2015, 6, 310β320. [Google Scholar] [CrossRef] [PubMed]
- Vrachnis, N.; Belitsos, P.; Sifakis, S.; Dafopoulos, K.; Siristatidis, C.; Pappa, K.I.; Iliodromiti, Z. Role of Adipokines and Other Inflammatory Mediators in Gestational Diabetes Mellitus and Previous Gestational Diabetes Mellitus. Int. J. Endocrinol. 2012, 2012, 549748. [Google Scholar] [CrossRef] [PubMed]
- Schwartz, R.; Gruppuso, P.A.; Petzold, K.; Brambilla, D.; Hiilesmaa, V.; Teramo, K.A. Hyperinsulinemia and Macrosomia in the Fetus of the Diabetic Mother. Diabetes Care 1994, 17, 640β648. [Google Scholar] [CrossRef]
- Catalano, P.M.; Hauguel-De Mouzon, S. Is it time to revisit the Pedersen hypothesis in the face of the obesity epidemic? Am. J. Obstet. Gynecol. 2011, 204, 479β487. [Google Scholar] [CrossRef]
- Sekirov, I.; Russell, S.L.; Antunes, L.C.; Finlay, B.B. Gut microbiota in health and disease. Physiol. Rev. 2010, 90, 859β904. [Google Scholar] [CrossRef] [PubMed]
- Gregor, M.F.; Hotamisligil, G.S. Inflammatory mechanisms in obesity. Ann. Rev. Immunol. 2011, 29, 415β445. [Google Scholar] [CrossRef]
- Kellow, N.J.; Coughlan, M.T.; Reid, C.M. Metabolic benefits of dietary prebiotics in human subjects: A systematic review of randomised controlled trials. Br. J. Nutr. 2014, 111, 1147β1161. [Google Scholar] [CrossRef]
- Tilg, H.; Moschen, A.R. Food, immunity, and the microbiome. Gastroenterology 2015, 148, 1107β1119. [Google Scholar] [CrossRef]
- Jayashree, B.; Bibin, Y.S.; Prabhu, D.; Shanthirani, C.S.; Gokulakrishnan, K.; Lakshmi, B.S.; Mohan, V.; Balasubramanyam, M. Increased circulatory levels of lipopolysaccharide (LPS) and zonulin signify novel biomarkers of proinflammation in patients with type 2 diabetes. Mol. Cell. Biochem. 2014, 388, 203β210. [Google Scholar] [CrossRef]
- KamiΕska, K.; Stenclik, D.; BΕaΕΌejewska, W.; BogdaΕski, P.; Moszak, M. Probiotics in the Prevention and Treatment of Gestational Diabetes Mellitus (GDM): A Review. Nutrients 2022, 14, 4303. [Google Scholar] [CrossRef]
Disclaimer/Publisherβs Note: The statements, opinions and data contained in all publications are solely those of the individual author(s) and contributor(s) and not of MDPI and/or the editor(s). MDPI and/or the editor(s) disclaim responsibility for any injury to people or property resulting from any ideas, methods, instructions or products referred to in the content. |
Β© 2023 by the authors. Licensee MDPI, Basel, Switzerland. This article is an open access article distributed under the terms and conditions of the Creative Commons Attribution (CC BY) license (https://creativecommons.org/licenses/by/4.0/).