The Geriatric Nutritional Risk Index Is an Optimal Evaluation Parameter for Predicting Mortality in Adult All Ages Hemodialysis Patients: A Korean Population-Based Study
Abstract
:1. Introduction
2. Materials and Methods
2.1. Study Population
2.2. Assessment of the GNRI
2.3. Data Collection and Measurement
2.4. Statistical Analysis
3. Results
3.1. Baseline Characteristics of the Patients
3.2. The GNRI Cutoff Value
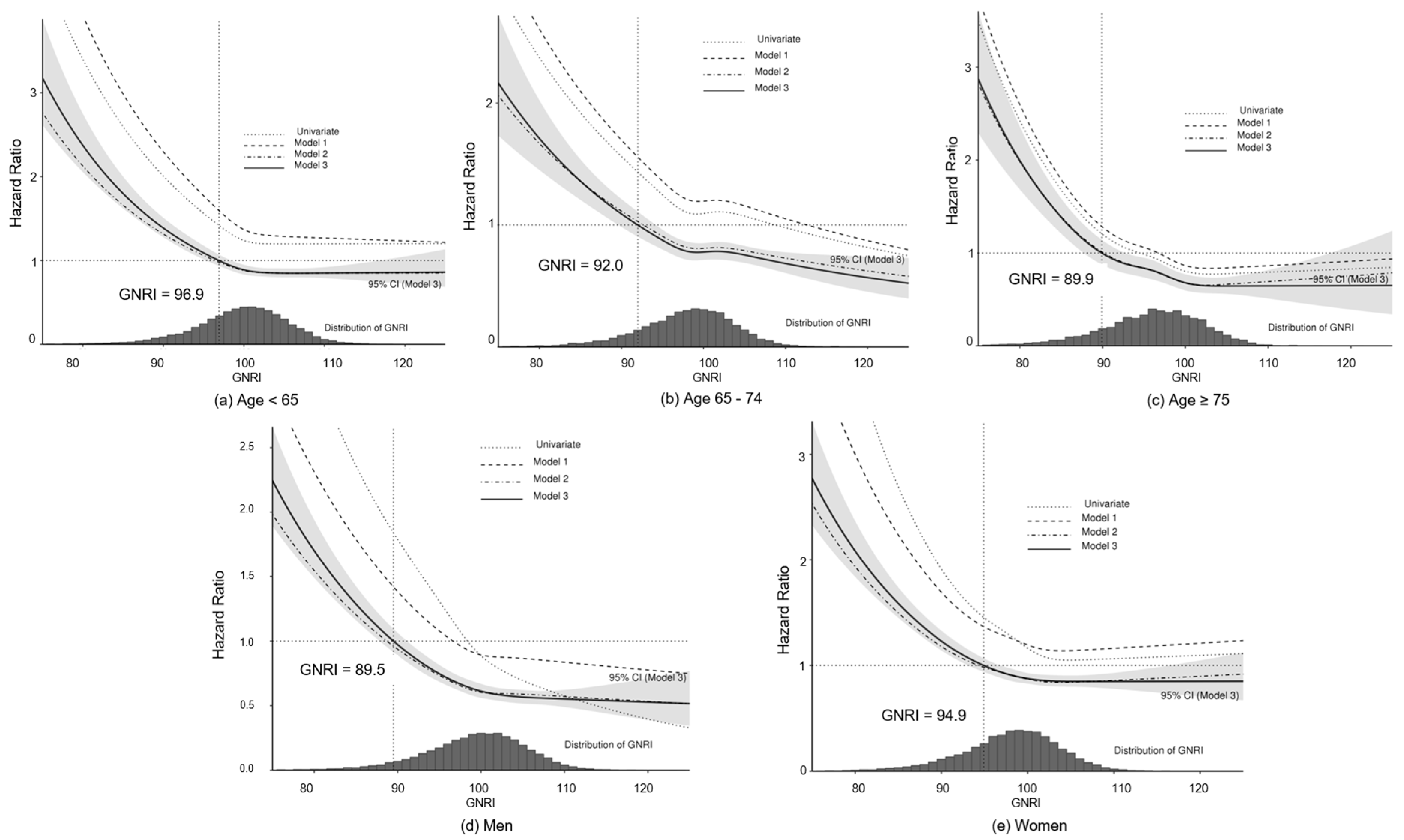
3.3. Cutoff Values for All-Cause Mortality in Different Age and Sex Groups
3.4. The Cutoff Values and All-Case Mortality
3.5. Associations between All-Cause Mortality and the GNRI as a Time-Varying Factor
4. Discussion
Author Contributions
Funding
Institutional Review Board Statement
Informed Consent Statement
Data Availability Statement
Acknowledgments
Conflicts of Interest
References
- Rosenberger, J.; Kissova, V.; Majernikova, M.; Straussova, Z.; Boldizsar, J. Body composition monitor assessing malnutrition in the hemodialysis population independently predicts mortality. J. Ren. Nutr. 2014, 24, 172–176. [Google Scholar] [CrossRef] [PubMed]
- Kopple, J.D. Nutritional status as a predictor of morbidity and mortality in maintenance dialysis patients. ASAIO J. 1997, 43, 246–250. [Google Scholar] [CrossRef] [PubMed]
- Carrero, J.J.; Chmielewski, M.; Axelsson, J.; Snaedal, S.; Heimburger, O.; Barany, P.; Suliman, M.E.; Lindholm, B.; Stenvinkel, P.; Qureshi, A.R. Muscle atrophy, inflammation and clinical outcome in incident and prevalent dialysis patients. Clin. Nutr. 2008, 27, 557–564. [Google Scholar] [CrossRef] [PubMed]
- Cooper, B.A.; Bartlett, L.H.; Aslani, A.; Allen, B.J.; Ibels, L.S.; Pollock, C.A. Validity of subjective global assessment as a nutritional marker in end-stage renal disease. Am. J. Kidney Dis. 2002, 40, 126–132. [Google Scholar] [CrossRef] [PubMed]
- Kalantar-Zadeh, K.; Kopple, J.D.; Block, G.; Humphreys, M.H. A malnutrition-inflammation score is correlated with morbidity and mortality in maintenance hemodialysis patients. Am. J. Kidney Dis. 2001, 38, 1251–1263. [Google Scholar] [CrossRef] [PubMed]
- Kalantar-Zadeh, K.; Kopple, J.D.; Humphreys, M.H.; Block, G. Comparing outcome predictability of markers of malnutrition-inflammation complex syndrome in haemodialysis patients. Nephrol. Dial. Transplant. 2004, 19, 1507–1519. [Google Scholar] [CrossRef]
- Bouillanne, O.; Morineau, G.; Dupont, C.; Coulombel, I.; Vincent, J.P.; Nicolis, I.; Benazeth, S.; Cynober, L.; Aussel, C. Geriatric Nutritional Risk Index: A new index for evaluating at-risk elderly medical patients. Am. J. Clin. Nutr. 2005, 82, 777–783. [Google Scholar] [CrossRef]
- Cereda, E.; Pedrolli, C. The Geriatric Nutritional Risk Index. Curr. Opin. Clin. Nutr. Metab. Care 2009, 12, 1–7. [Google Scholar] [CrossRef]
- Yamada, K.; Furuya, R.; Takita, T.; Maruyama, Y.; Yamaguchi, Y.; Ohkawa, S.; Kumagai, H. Simplified nutritional screening tools for patients on maintenance hemodialysis. Am. J. Clin. Nutr. 2008, 87, 106–113. [Google Scholar] [CrossRef]
- Honda, Y.; Nagai, T.; Iwakami, N.; Sugano, Y.; Honda, S.; Okada, A.; Asaumi, Y.; Aiba, T.; Noguchi, T.; Kusano, K.; et al. Usefulness of Geriatric Nutritional Risk Index for Assessing Nutritional Status and Its Prognostic Impact in Patients Aged >/= 65 Years With Acute Heart Failure. Am. J. Cardiol. 2016, 118, 550–555. [Google Scholar] [CrossRef]
- Kobayashi, I.; Ishimura, E.; Kato, Y.; Okuno, S.; Yamamoto, T.; Yamakawa, T.; Mori, K.; Inaba, M.; Nishizawa, Y. Geriatric Nutritional Risk Index, a simplified nutritional screening index, is a significant predictor of mortality in chronic dialysis patients. Nephrol. Dial. Transplant. 2010, 25, 3361–3365. [Google Scholar] [CrossRef] [PubMed]
- Yajima, T.; Yajima, K.; Takahashi, H. Impact of Annual Change in Geriatric Nutritional Risk Index on Mortality in Patients Undergoing Hemodialysis. Nutrients 2020, 12, 3333. [Google Scholar] [CrossRef] [PubMed]
- Xiong, J.; Wang, M.; Zhang, Y.; Nie, L.; He, T.; Wang, Y.; Huang, Y.; Feng, B.; Zhang, J.; Zhao, J. Association of Geriatric Nutritional Risk Index with Mortality in Hemodialysis Patients: A Meta-Analysis of Cohort Studies. Kidney Blood Press. Res. 2018, 43, 1878–1889. [Google Scholar] [CrossRef] [PubMed]
- Cho, A.; Park, S.Y.; Cha, Y.S.; Park, H.C.; Kim, D.H.; Lee, Y.K. The change in Geriatric Nutritional Risk Index is associated with mortality in patients who start hemodialysis: Korean Renal Data Registry, 2016–2018. Sci. Rep. 2022, 12, 20352. [Google Scholar] [CrossRef]
- Johansen, K.L.; Chertow, G.M.; Foley, R.N.; Gilbertson, D.T.; Herzog, C.A.; Ishani, A.; Israni, A.K.; Ku, E.; Kurella Tamura, M.; Li, S.; et al. US Renal Data System 2020 Annual Data Report: Epidemiology of Kidney Disease in the United States. Am. J. Kidney Dis. 2021, 77 (Suppl. S1), A7–A8. [Google Scholar] [CrossRef]
- Park, H.C.; Choi, H.Y.; Kim, D.H.; Cho, A.; Kwon, Y.E.; Ryu, D.R.; Yang, K.H.; Won, E.M.; Shin, J.H.; Kim, J.; et al. Hemodialysis facility star rating affects mortality in chronic hemodialysis patients: A longitudinal observational cohort study. Kidney Res. Clin. Pract. 2023, 42, 109–116. [Google Scholar] [CrossRef]
- Shah, B.; Sucher, K.; Hollenbeck, C.B. Comparison of ideal body weight equations and published height-weight tables with body mass index tables for healthy adults in the United States. Nutr. Clin. Pract. 2006, 21, 312–319. [Google Scholar] [CrossRef]
- Kang, Y.; Choi, H.Y.; Kwon, Y.E.; Shin, J.H.; Won, E.M.; Yang, K.H.; Oh, H.J.; Ryu, D.R. Clinical outcomes among hemodialysis patients with atrial fibrillation: A Korean nationwide population-based study. Kidney Res. Clin. Pract. 2021, 40, 99–108. [Google Scholar] [CrossRef]
- Ishida, Y.; Maeda, K.; Nonogaki, T.; Shimizu, A.; Yamanaka, Y.; Matsuyama, R.; Kato, R.; Ueshima, J.; Mori, N. Determining the optimal value of the Geriatric Nutritional Risk Index to screen older patients with malnutrition risk: A study at a university hospital in Japan. Geriatr. Gerontol. Int. 2020, 20, 811–816. [Google Scholar] [CrossRef]
- Tsai, M.T.; Liu, H.C.; Huang, T.P. The impact of malnutritional status on survival in elderly hemodialysis patients. J. Chin. Med. Assoc. 2016, 79, 309–313. [Google Scholar] [CrossRef]
- Beberashvili, I.; Azar, A.; Sinuani, I.; Kadoshi, H.; Shapiro, G.; Feldman, L.; Averbukh, Z.; Weissgarten, J. Comparison analysis of nutritional scores for serial monitoring of nutritional status in hemodialysis patients. Clin. J. Am. Soc. Nephrol. 2013, 8, 443–451. [Google Scholar] [CrossRef] [PubMed]






| Total (n = 34,933) | Quartile 1 62.4–95.2 (n = 8917) | Quartile 2 95.3–99.2 (n = 8426) | Quartile 3 99.3–102.7 (n = 9284) | Quartile 4 102.8–153.9 (n = 8306) | p-Value | |
|---|---|---|---|---|---|---|
| Age, year | 60.2 ± 13.0 | 64.2 ± 12.9 | 61.2 ± 12.4 | 59.4 ± 12.2 | 55.8 ± 12.3 | <0.001 |
| Men | 20,534 (58.8) | 4797 (53.8) | 4554 (54.0) | 5429 (58.5) | 5754 (69.3) | <0.001 |
| Dialysis vintage, year | 5.6 ± 5.1 | 5.8 ± 5.5 | 5.8 ± 5.3 | 5.5 ± 4.9 | 5.3 ± 4.6 | <0.001 |
| SBP (mmHg) | 141.2 ± 15.6 | 140.0 ± 16.1 | 140.8 ± 15.3 | 141.3 ± 15.3 | 142.9 ± 15.3 | <0.001 |
| DBP (mmHg) | 77.6 ± 9.6 | 75.9 ± 10.0 | 77.2 ± 9.5 | 77.9 ± 9.3 | 79.3 ± 9.1 | <0.001 |
| Body mass index (kg/m2) | 22.4 ± 3.4 | 20.2 ± 3.1 | 22.1 ± 3.2 | 23.4 ± 3.1 | 23.8 ± 2.9 | <0.001 |
| Kt/V | 1.6 ± 0.3 | 1.6 ± 0.3 | 1.6 ± 0.3 | 1.5 ± 0.3 | 1.5 ± 0.3 | <0.001 |
| Comorbid conditions | ||||||
| Diabetes mellitus | 21,486 (61.5) | 5564 (62.4) | 5170 (61.4) | 5751 (61.9) | 5001 (60.2) | 0.021 |
| Hypertension | 29,654 (84.9) | 7682 (86.1) | 7180 (85.2) | 7845 (84.5) | 6947 (83.6) | <0.001 |
| Ischemic heart disease | 12,088 (34.6) | 3328 (37.3) | 3036 (36.0) | 3148 (33.9) | 2576 (31.0) | <0.001 |
| Cerebrovascular disease | 3116 (8.9) | 1016 (11.4) | 763 (9.1) | 745 (8.0) | 592 (7.1) | <0.001 |
| Heart failure | 5123 (14.7) | 1540 (17.3) | 1286 (15.3) | 1293 (13.9) | 1004 (12.1) | <0.001 |
| Arrhythmia | 1849 (5.3) | 640 (7.2) | 466 (5.5) | 464 (5.0) | 279 (3.4) | <0.001 |
| Hemoglobin, g/dL | 10.7 ± 0.9 | 10.6 ± 0.9 | 10.7 ± 0.8 | 10.8 ± 0.8 | 10.8 ± 0.9 | <0.001 |
| Albumin, g/dL | 4.0 ± 0.4 | 3.6 ± 0.3 | 3.9 ± 0.2 | 4.1 ± 0.2 | 4.4 ± 0.2 | <0.001 |
| Calcium, mg/dL | 9.0 ± 0.8 | 8.8 ± 0.8 | 9.0 ± 0.8 | 9.0 ± 0.8 | 9.2 ± 0.8 | <0.001 |
| Phosphorus, mg/dL | 4.9 ± 1.3 | 4.6 ± 1.3 | 4.9 ± 1.3 | 5.1 ± 1.3 | 5.3 ± 1.4 | <0.001 |
| Total n = 34,933 | Age < 65 n = 21,324 | Age 65–74 n = 8706 | Age ≥ 75 n = 4903 | Men n = 20,534 | Women n = 14,399 | |||||||
|---|---|---|---|---|---|---|---|---|---|---|---|---|
| GNRI < 90.8 | GNRI ≥ 90.8 | GNRI < 96.9 | GNRI ≥ 96.9 | GNRI < 92.0 | GNRI ≥ 92.0 | GNRI < 89.9 | GNRI ≥ 89.9 | GNRI < 89.5 | GNRI ≥ 89.5 | GNRI < 94.9 | GNRI ≥ 94.9 | |
| n = 3311 | n = 31,622 | n = 6000 | n = 15,324 | n = 1261 | n = 7445 | n = 794 | n = 4109 | n = 1314 | n = 19,220 | n = 3780 | n = 10,619 | |
| Number of deaths | 1935 | 10,564 | 1713 | 2850 | 800 | 3561 | 686 | 2889 | 879 | 6808 | 1733 | 3079 |
| Person-year | 12,065 | 144,282 | 27,472 | 74,315 | 4612 | 32,812 | 2101 | 15,035 | 4422 | 85,900 | 15,617 | 50,407 |
| Crude rate * (/1000 person-year) | 160.4 | 73.2 | 62.4 | 38.4 | 173.5 | 108.5 | 326.6 | 192.2 | 198.8 | 79.3 | 111.0 | 61.1 |
| GNRI | Univariate | Model 1 | Model 2 | Model 3 | |
|---|---|---|---|---|---|
| Total | GNRI < 90.8 | 2.24 (2.14–2.35) | 1.73 (1.65–1.82) | 1.71 (1.63–1.79) | 1.78 (1.69–1.88) |
| GNRI ≥ 90.8 | ref | ref | ref | ref | |
| Age < 65 | GNRI < 96.9 | 1.64 (1.54–1.74) | 1.59 (1.50–1.69) | 1.55 (1.46–1.65) | 1.65 (1.54–1.76) |
| GNRI ≥ 96.9 | ref | ref | ref | ref | |
| Age 65–74 | GNRI < 92.0 | 1.64 (1.52–1.77) | 1.58 (1.46–1.71) | 1.58 (1.46–1.71) | 1.65 (1.52–1.80) |
| GNRI ≥ 92.0 | ref | ref | ref | ref | |
| Age ≥ 75 | GNRI < 89.9 | 1.78 (1.64–1.94) | 1.70 (1.56–1.85) | 1.67 (1.53–1.81) | 1.67 (1.52–1.84) |
| GNRI ≥ 89.9 | ref | ref | ref | ref | |
| Men | GNRI < 89.5 | 2.58 (2.41–2.77) | 1.86 (1.73–2.00) | 1.84 (1.72–1.98) | 1.92 (1.78–2.08) |
| GNRI ≥ 89.5 | ref | ref | ref | ref | |
| Women | GNRI < 94.9 | 1.84 (1.74–1.96) | 1.55 (1.46–1.65) | 1.55 (1.46–1.65) | 1.59 (1.48–1.70) |
| GNRI ≥ 94.9 | ref | ref | ref | ref |
| GNRI | Model 1 | Model 2 | Model 3 | |
|---|---|---|---|---|
| Total | GNRI (continuous) | 0.96 (0.96–0.97) | 0.96 (0.96–0.97) | 0.96 (0.95–0.97) |
| GNRI < 90.8 vs. ≥90.8 | 1.73 (1.56–1.91) | 1.74 (1.57–1.92) | 1.74 (1.56–1.95) | |
| Age < 65 | GNRI (continuous) | 0.96 (0.95–0.97) | 0.96 (0.95–0.97) | 0.96 (0.94–0.97) |
| GNRI < 96.9 vs. ≥96.9 | 1.44 (1.27–1.64) | 1.43 (1.26–1.62) | 1.50 (1.30–1.73) | |
| Age 65–74 | GNRI (continuous) | 0.96 (0.95–0.97) | 0.96 (0.95–0.97) | 0.96 (0.94–0.97) |
| GNRI < 92.0 vs. ≥92.0 | 1.75 (1.49–2.05) | 1.76 (1.50–2.07) | 1.78 (1.49–2.12) | |
| Age ≥ 75 | GNRI (continuous) | 0.97 (0.96–0.98) | 0.97 (0.96–0.98) | 0.97 (0.96–0.98) |
| GNRI < 89.9 vs. ≥89.9 | 1.57 (1.34–1.84) | 1.58 (1.34–1.85) | 1.62 (1.35–1.93) | |
| Men | GNRI (continuous) | 0.96 (0.96–0.97) | 0.96 (0.95–0.97) | 0.96 (0.95–0.97) |
| GNRI < 89.5 vs. ≥89.5 | 1.84 (1.59–2.13) | 1.85 (1.59–2.14) | 1.89 (1.60–2.23) | |
| Women | GNRI (continuous) | 0.96 (0.95–0.97) | 0.96 (0.95–0.97) | 0.96 (0.95–0.97) |
| GNRI < 94.9 vs. ≥94.9 | 1.49 (1.32–1.68) | 1.49 (1.32–1.68) | 1.48 (1.29–1.69) |
Disclaimer/Publisher’s Note: The statements, opinions and data contained in all publications are solely those of the individual author(s) and contributor(s) and not of MDPI and/or the editor(s). MDPI and/or the editor(s) disclaim responsibility for any injury to people or property resulting from any ideas, methods, instructions or products referred to in the content. |
© 2023 by the authors. Licensee MDPI, Basel, Switzerland. This article is an open access article distributed under the terms and conditions of the Creative Commons Attribution (CC BY) license (https://creativecommons.org/licenses/by/4.0/).
Share and Cite
Kim, D.H.; Lee, Y.-K.; Park, H.C.; Kim, B.Y.; Lee, M.; Kim, G.O.; Kim, J.; Cho, A. The Geriatric Nutritional Risk Index Is an Optimal Evaluation Parameter for Predicting Mortality in Adult All Ages Hemodialysis Patients: A Korean Population-Based Study. Nutrients 2023, 15, 3831. https://doi.org/10.3390/nu15173831
Kim DH, Lee Y-K, Park HC, Kim BY, Lee M, Kim GO, Kim J, Cho A. The Geriatric Nutritional Risk Index Is an Optimal Evaluation Parameter for Predicting Mortality in Adult All Ages Hemodialysis Patients: A Korean Population-Based Study. Nutrients. 2023; 15(17):3831. https://doi.org/10.3390/nu15173831
Chicago/Turabian StyleKim, Do Hyoung, Young-Ki Lee, Hayne Cho Park, Bo Yeon Kim, Miri Lee, Gui Ok Kim, Jinseog Kim, and Ajin Cho. 2023. "The Geriatric Nutritional Risk Index Is an Optimal Evaluation Parameter for Predicting Mortality in Adult All Ages Hemodialysis Patients: A Korean Population-Based Study" Nutrients 15, no. 17: 3831. https://doi.org/10.3390/nu15173831
APA StyleKim, D. H., Lee, Y.-K., Park, H. C., Kim, B. Y., Lee, M., Kim, G. O., Kim, J., & Cho, A. (2023). The Geriatric Nutritional Risk Index Is an Optimal Evaluation Parameter for Predicting Mortality in Adult All Ages Hemodialysis Patients: A Korean Population-Based Study. Nutrients, 15(17), 3831. https://doi.org/10.3390/nu15173831

