Beneficial Effects of the Very-Low-Calorie Ketogenic Diet on the Symptoms of Male Accessory Gland Inflammation
Abstract
1. Introduction
2. Patients and Methods
2.1. Patient Selection
2.2. Exclusion Criteria
2.3. Nutritional Programs
2.3.1. Very-Low-Calorie Ketogenic Diet
- Phase I involved the replacement of natural proteins with five substitutive meals. During lunch and dinner, the patients were allowed to eat low glycemic index vegetables. The total amount of calories was 600–800 kcal/day (VLCKD).
- During phase II, two different programs could be chosen. The first allowed natural protein food (meat, eggs, or fish) for lunch or dinner. The second option consisted of taking protein preparations during breakfast and snacks and replacing both main meals with natural proteins. The total amount of calories was 800–1000 kcal/day (low-calorie ketogenic diet). In both programs, only low glycemic index vegetables were allowed. The first and second phases lasted for 12 weeks, during which ketosis was maintained. Micronutrients, consisting of vitamins, minerals, and omega-3 fatty acids, were recommended.
- Phase III consisted of the gradual reintroduction of carbohydrates. Foods and vegetables with a higher glycemic index were also used in this phase to replace the protein preparations. The latter were used only for breakfast and a snack, while the other snack consisted of fruit. In this phase, the patients were advised to undertake a physical activity program of at least 10 min daily. The total amount of calories was 1200–1500 kcal/day (low-calorie diet).
- Phases IV and V were characterized by the reintroduction of pasta or bread for lunch, cereals for breakfast or dinner, and legumes for lunch or dinner. The total amount of calories was 1500–2000 kcal/day.
2.3.2. Mediterranean Diet
- 45–60% of carbohydrates, mainly complex (such as cereal starches);
- 10–12% of proteins, corresponding to 0.9 g per kg of body weight;
- 20–35% fat with less than 10% of saturated fats (mainly represented by animal products, with the exception of fish).
- (1)
- A high ratio of monounsaturated to saturated dietary lipids (mainly olive oil);
- (2)
- Moderate ethanol intake;
- (3)
- High consumption of legumes;
- (4)
- High consumption of unrefined grains, including bread;
- (5)
- High fruit consumption;
- (6)
- High consumption of vegetables;
- (7)
- Low consumption of meat and products derived from meat;
- (8)
- Moderate consumption of milk and dairy products.
2.4. Side Effects
2.5. Physical Activity
2.6. Questionnaire on Male Accessory Gland Inflammation
2.7. Ethical Approval
2.8. Statistical Analysis
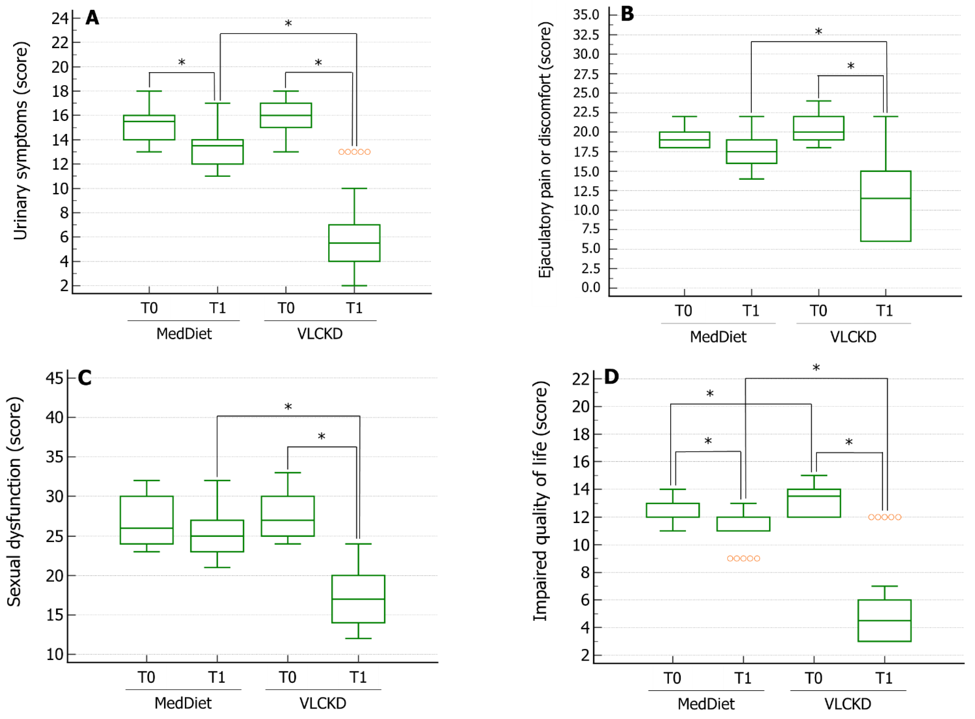
3. Results
4. Discussion
Author Contributions
Funding
Institutional Review Board Statement
Informed Consent Statement
Data Availability Statement
Conflicts of Interest
References
- Calogero, A.E.; Duca, Y.; Condorelli, R.A.; La Vignera, S. Male accessory gland inflammation, infertility, and sexual dysfunctions: A practical approach to diagnosis and therapy. Andrology 2017, 5, 1064–1072. [Google Scholar] [CrossRef] [PubMed]
- La Vignera, S.; Vicari, E.; Condorelli, R.A.; D’Agata, R.; Calogero, A.E. Male accessory gland infection and sperm parameters (review). Int. J. Androl. 2011, 34, e330–e347. [Google Scholar] [CrossRef] [PubMed]
- Gacci, M.; Vignozzi, L.; Sebastianelli, A.; Salvi, M.; Giannessi, C.; De Nunzio, C.; Tubaro, A.; Corona, G.; Rastrelli, G.; Santi, R.; et al. Metabolic syndrome and lower urinary tract symptoms: The role of inflammation. Prostate Cancer Prostatic Dis. 2013, 16, 101–106. [Google Scholar] [CrossRef] [PubMed]
- Haidl, G.; Haidl, F.; Allam, J.P.; Schuppe, H.C. Therapeutic options in male genital tract inflammation. Andrologia 2019, 51, e13207. [Google Scholar] [CrossRef] [PubMed]
- La Vignera, S. Male accessory gland infections: Anatomical extension of inflammation and severity of symptoms evaluated by an original questionnaire. Andrologia 2012, 44 (Suppl. S1), 739–746. [Google Scholar] [CrossRef]
- Liu, S.Y.; Yee, C.H.; Chiu, P.K.; Lam, C.C.; Wong, S.K.; Ng, E.K.; Ng, C.F. The effect of bariatric surgery on the improvement of lower urinary tract symptoms in morbidly obese male patients. Prostate Cancer Prostatic Dis. 2021, 24, 380–388. [Google Scholar] [CrossRef]
- Herati, A.S.; Shorter, B.; Srinivasan, A.K.; Tai, J.; Seideman, C.; Lesser, M.; Moldwin, R.M. Effects of foods and beverages on the symptoms of chronic prostatitis/chronic pelvic pain syndrome. Urology 2013, 82, 1376–1380. [Google Scholar] [CrossRef]
- Merra, G.; Miranda, R.; Barrucco, S.; Gualtieri, P.; Mazza, M.; Moriconi, E.; Marchetti, M.; Chang, T.F.; De Lorenzo, A.; Di Renzo, L. Very-low-calorie ketogenic diet with aminoacid supplement versus very low restricted-calorie diet for preserving muscle mass during weight loss: A pilot double-blind study. Eur. Rev. Med. Pharmacol. Sci. 2016, 20, 2613–2621. [Google Scholar]
- Paoli, A.; Bosco, G.; Camporesi, E.M.; Mangar, D. Ketosis, ketogenic diet and food intake control: A complex relationship. Front. Psychol. 2015, 6, 27. [Google Scholar] [CrossRef]
- Caprio, M.; Infante, M.; Moriconi, E.; Armani, A.; Fabbri, A.; Mantovani, G.; Mariani, S.; Lubrano, C.; Poggiogalle, E.; Migliaccio, S.; et al. Cardiovascular Endocrinology Club of the Italian Society of Endocrinology. Very-low-calorie ketogenic diet (VLCKD) in the management of metabolic diseases: Systematic review and consensus statement from the Italian Society of Endocrinology (SIE). J. Endocrinol. Investig. 2019, 42, 1365–1386. [Google Scholar] [CrossRef]
- Caso, J.; Masko, E.M.; Ii, J.A.; Poulton, S.H.; Dewhirst, M.; Pizzo, S.V.; Freedland, S.J. The effect of carbohydrate restriction on prostate cancer tumor growth in a castrate mouse xenograft model. Prostate 2013, 73, 449–454. [Google Scholar] [CrossRef] [PubMed]
- La Vignera, S.; Cannarella, R.; Galvano, F.; Grillo, A.; Aversa, A.; Cimino, L.; Magagnini, C.M.; Mongioì, L.M.; Condorelli, R.A.; Calogero, A.E. The ketogenic diet corrects metabolic hypogonadism and preserves pancreatic ß-cell function in overweight/obese men: A single-arm uncontrolled study. Endocrine 2021, 72, 392–399. [Google Scholar] [CrossRef] [PubMed]
- Condorelli, R.A.; Calogero, A.E.; Di Mauro, M.; Mongioì, L.M.; Russo, G.I.; Morgia, G.; La Vignera, S. Effects of tadalafil treatment combined with physical activity in patients with low onset hypogonadism: Results from a not-randomized single arm phase 2 study. Aging Male 2016, 19, 155–160. [Google Scholar] [CrossRef]
- Barrea, L.; Verde, L.; Vetrani, C.; Marino, F.; Aprano, S.; Savastano, S.; Colao, A.; Muscogiuri, G. VLCKD: A real time safety study in obesity. J. Transl. Med. 2022, 20, 23. [Google Scholar] [CrossRef] [PubMed]
- Parikesit, D.; Mochtar, C.A.; Umbas, R.; Hamid, A.R. The impact of obesity towards prostate diseases. Prostate Int. 2016, 4, 1–6. [Google Scholar] [CrossRef] [PubMed]
- Chen, X.; Hu, C.; Peng, Y.; Lu, J.; Yang, N.Q.; Chen, L.; Zhang, G.Q.; Tang, L.K.; Dai, J.C. Association of diet and lifestyle with chronic prostatitis/chronic pelvic pain syndrome and pain severity: A case-control study. Prostate Cancer Prostatic Dis. 2016, 19, 92–99. [Google Scholar] [CrossRef]
- Corona, G.; Vignozzi, L.; Rastrelli, G.; Lotti, F.; Cipriani, S.; Maggi, M. Benign prostatic hyperplasia: A new metabolic disease of the aging male and its correlation with sexual dysfunctions. Int. J. Endocrinol. 2014, 2014, 329456. [Google Scholar] [CrossRef]
- Tewari, R.; Rajender, S.; Natu, S.M.; Dalela, D.; Goel, A.; Goel, M.M.; Tandon, P. Diet, obesity, and prostate health: Are we missing the link? J. Androl. 2012, 33, 763–776. [Google Scholar] [CrossRef]
- Espinosa, G.; Esposito, R.; Kazzazi, A.; Djavan, B. Vitamin D and benign prostatic hyperplasia—A review. Can. J. Urol. 2013, 20, 6820–6825. [Google Scholar]
- Kristal, A.R.; Arnold, K.B.; Schenk, J.M.; Neuhouser, M.L.; Goodman, P.; Penson, D.F.; Thompson, I.M. Dietary patterns, supplement use, and the risk of symptomatic benign prostatic hyperplasia: Results from the prostate cancer prevention trial. Am. J. Epidemiol. 2008, 167, 925–934. [Google Scholar] [CrossRef]
- Lagiou, P.; Wuu, J.; Trichopoulou, A.; Hsieh, C.C.; Adami, H.O.; Trichopoulos, D. Diet and benign prostatic hyperplasia: A study in Greece. Urology 1999, 54, 284–290. [Google Scholar] [CrossRef]
- de Amorim Ribeiro, I.C.; da Costa, C.A.S.; da Silva, V.A.P.; Côrrea, L.B.N.S.; Boaventura, G.T.; Chagas, M.A. Flaxseed reduces epithelial proliferation but does not affect basal cells in induced benign prostatic hyperplasia in rats. Eur. J. Nutr. 2017, 56, 1201–1210. [Google Scholar] [CrossRef] [PubMed]
- Zhang, W.; Wang, X.; Liu, Y.; Tian, H.; Flickinger, B.; Empie, M.W.; Sun, S.Z. Effects of dietary flaxseed lignan extract on symptoms of benign prostatic hyperplasia. J. Med. Food 2008, 11, 207–214. [Google Scholar] [CrossRef] [PubMed]
- Mondul, A.M.; Giovannucci, E.; Platz, E.A. A prospective study of obesity, and the incidence and progression of lower urinary tract symptoms. J. Urol. 2014, 191, 715–721. [Google Scholar] [CrossRef] [PubMed]
- Adedeji, T.G.; Fasanmade, A.A.; Olapade-Olaopa, E.O. An association between diet, metabolic syndrome and lower urinary tract symptoms. Afr. J. Urol. 2016, 22, 61–66. [Google Scholar] [CrossRef]
- Lu, Y.; Kang, J.; Li, Z.; Wang, X.; Liu, K.; Zhou, K.; Wang, W.; Shen, C. The association between plant-based diet and erectile dysfunction in Chinese men. Basic Clin. Androl. 2021, 31, 11. [Google Scholar] [CrossRef]
- Ramírez, R.; Pedro-Botet, J.; García, M.; Corbella, E.; Merino, J.; Zambón, D.; Corbella, X.; Pintó, X. Xarxa de Unitats de Lípids i Arteriosclerosi (XULA) Investigators Group. Erectile dysfunction and cardiovascular risk factors in a Mediterranean diet cohort. Intern. Med. J. 2016, 46, 52–56. [Google Scholar] [CrossRef]
- Chen, Y.; Yu, W.; Zhou, L.; Wu, S.; Yang, Y.; Wang, J.; Tian, Y.; He, D.; Xu, Y.; Huang, J.; et al. Relationship among diet habit and lower urinary tract symptoms and sexual function in outpatient-based males with LUTS/BPH: A multiregional and cross-sectional study in China. BMJ Open 2016, 6, e010863. [Google Scholar] [CrossRef][Green Version]
- Cassidy, A.; Franz, M.; Rimm, E.B. Dietary flavonoid intake and incidence of erectile dysfunction. Am. J. Clin. Nutr. 2016, 103, 534–541. [Google Scholar] [CrossRef]
- Mykoniatis, I.; Grammatikopoulou, M.G.; Bouras, E.; Karampasi, E.; Tsionga, A.; Kogias, A.; Vakalopoulos, I.; Haidich, A.B.; Chourdakis, M. Sexual Dysfunction Among Young Men: Overview of Dietary Components Associated With Erectile Dysfunction. J. Sex. Med. 2018, 15, 176–182. [Google Scholar] [CrossRef]
- Giugliano, F.; Maiorino, M.I.; Bellastella, G.; Autorino, R.; De Sio, M.; Giugliano, D.; Esposito, K. Adherence to Mediterranean diet and erectile dysfunction in men with type 2 diabetes. J. Sex. Med. 2010, 7, 1911–1917. [Google Scholar] [CrossRef] [PubMed]
- Maiorino, M.I.; Bellastella, G.; Chiodini, P.; Romano, O.; Scappaticcio, L.; Giugliano, D.; Esposito, K. Primary Prevention of Sexual Dysfunction With Mediterranean Diet in Type 2 Diabetes: The MÈDITA Randomized Trial. Diabetes Care 2016, 39, e143–e144. [Google Scholar] [CrossRef] [PubMed]
- Moran, L.J.; Brinkworth, G.D.; Martin, S.; Wycherley, T.P.; Stuckey, B.; Lutze, J.; Clifton, P.M.; Wittert, G.A.; Noakes, M. Long-Term Effects of a Randomised Controlled Trial Comparing High Protein or High Carbohydrate Weight Loss Diets on Testosterone, SHBG, Erectile and Urinary Function in Overweight and Obese Men. PLoS ONE 2016, 11, e0161297. [Google Scholar] [CrossRef]
- Khoo, J.; Piantadosi, C.; Duncan, R.; Worthley, S.G.; Jenkins, A.; Noakes, M.; Worthley, M.I.; Lange, K.; Wittert, G.A. Comparing effects of a low-energy diet and a high-protein low-fat diet on sexual and endothelial function, urinary tract symptoms, and inflammation in obese diabetic men. J. Sex. Med. 2011, 8, 2868–2875. [Google Scholar] [CrossRef] [PubMed]
- Kayode, O.T.; Owolabi, A.V.; Kayode, A.A.A. Biochemical and histomorphological changes in testosterone propionate-induced benign prostatic hyperplasia in male Wistar rats treated with ketogenic diet. Biomed. Pharmacother. 2020, 132, 110863. [Google Scholar] [CrossRef]
- Yakovenko, A.; Cameron, M.; Trevino, J.G. Molecular therapeutic strategies targeting pancreatic cancer induced cachexia. World J. Gastrointest. Surg. 2018, 10, 95–106. [Google Scholar] [CrossRef]
- Masko, E.M.; Thomas JA 2nd Antonelli, J.A.; Lloyd, J.C.; Phillips, T.E.; Poulton, S.H.; Dewhirst, M.W.; Pizzo, S.V.; Freedland, S.J. Low-carbohydrate diets and prostate cancer: How low is “low enough”? Cancer Prev. Res. 2010, 3, 1124–1131. [Google Scholar] [CrossRef]
- Ghazani, S.M.; Marangoni, A.G. Healthy Fats and Oils; Elsevier: Amsterdam, The Netherlands, 2016. [Google Scholar]
- U.S. Department of Agriculture, Agricultural Research Service. Composition of Foods Raw, Processed, Prepared USDA National Nutrient Database for Standard Reference, Release 21; U.S. Department of Agriculture, Agricultural Research Service: Washington, DC, USA, 2008. [Google Scholar]



| MedDiet | VLCKD | |||
|---|---|---|---|---|
| T0 | T1 | T0 | T1 | |
| Body weight (kg) | 89.3 ± 5.7 | 87.0 ± 6.4 | 90.2 ± 5.6 | 79.2 ± 5.1 *,† |
| Body mass index (kg/m2) | 30.8 ± 2.3 | 30.0 ± 2.6 | 30.8 ± 2.0 | 27.1 ± 1.8 *,† |
| Waist circumference (cm) | 104.1 ± 9.2 | 102.5 ± 6.3 | 105.2 ± 5.2 | 96.3 ± 10.5 *,† |
Publisher’s Note: MDPI stays neutral with regard to jurisdictional claims in published maps and institutional affiliations. |
© 2022 by the authors. Licensee MDPI, Basel, Switzerland. This article is an open access article distributed under the terms and conditions of the Creative Commons Attribution (CC BY) license (https://creativecommons.org/licenses/by/4.0/).
Share and Cite
Condorelli, R.A.; Aversa, A.; Basile, L.; Cannarella, R.; Mongioì, L.M.; Cimino, L.; Perelli, S.; Caprio, M.; Cimino, S.; Calogero, A.E.; et al. Beneficial Effects of the Very-Low-Calorie Ketogenic Diet on the Symptoms of Male Accessory Gland Inflammation. Nutrients 2022, 14, 1081. https://doi.org/10.3390/nu14051081
Condorelli RA, Aversa A, Basile L, Cannarella R, Mongioì LM, Cimino L, Perelli S, Caprio M, Cimino S, Calogero AE, et al. Beneficial Effects of the Very-Low-Calorie Ketogenic Diet on the Symptoms of Male Accessory Gland Inflammation. Nutrients. 2022; 14(5):1081. https://doi.org/10.3390/nu14051081
Chicago/Turabian StyleCondorelli, Rosita A., Antonio Aversa, Livia Basile, Rossella Cannarella, Laura M. Mongioì, Laura Cimino, Sarah Perelli, Massimiliano Caprio, Sebastiano Cimino, Aldo E. Calogero, and et al. 2022. "Beneficial Effects of the Very-Low-Calorie Ketogenic Diet on the Symptoms of Male Accessory Gland Inflammation" Nutrients 14, no. 5: 1081. https://doi.org/10.3390/nu14051081
APA StyleCondorelli, R. A., Aversa, A., Basile, L., Cannarella, R., Mongioì, L. M., Cimino, L., Perelli, S., Caprio, M., Cimino, S., Calogero, A. E., & La Vignera, S. (2022). Beneficial Effects of the Very-Low-Calorie Ketogenic Diet on the Symptoms of Male Accessory Gland Inflammation. Nutrients, 14(5), 1081. https://doi.org/10.3390/nu14051081

