The Matrix Matters: Beverage Carbonation Impacts the Timing of Caffeine Effects on Sustained Attention
Abstract
:1. Introduction
2. Materials and Methods
2.1. Design
2.2. Participants
2.3. Procedure
2.4. Measures
- Sustained-Attention Task
- b.
- Energy and fatigue
2.5. Statistical Analysis
3. Results
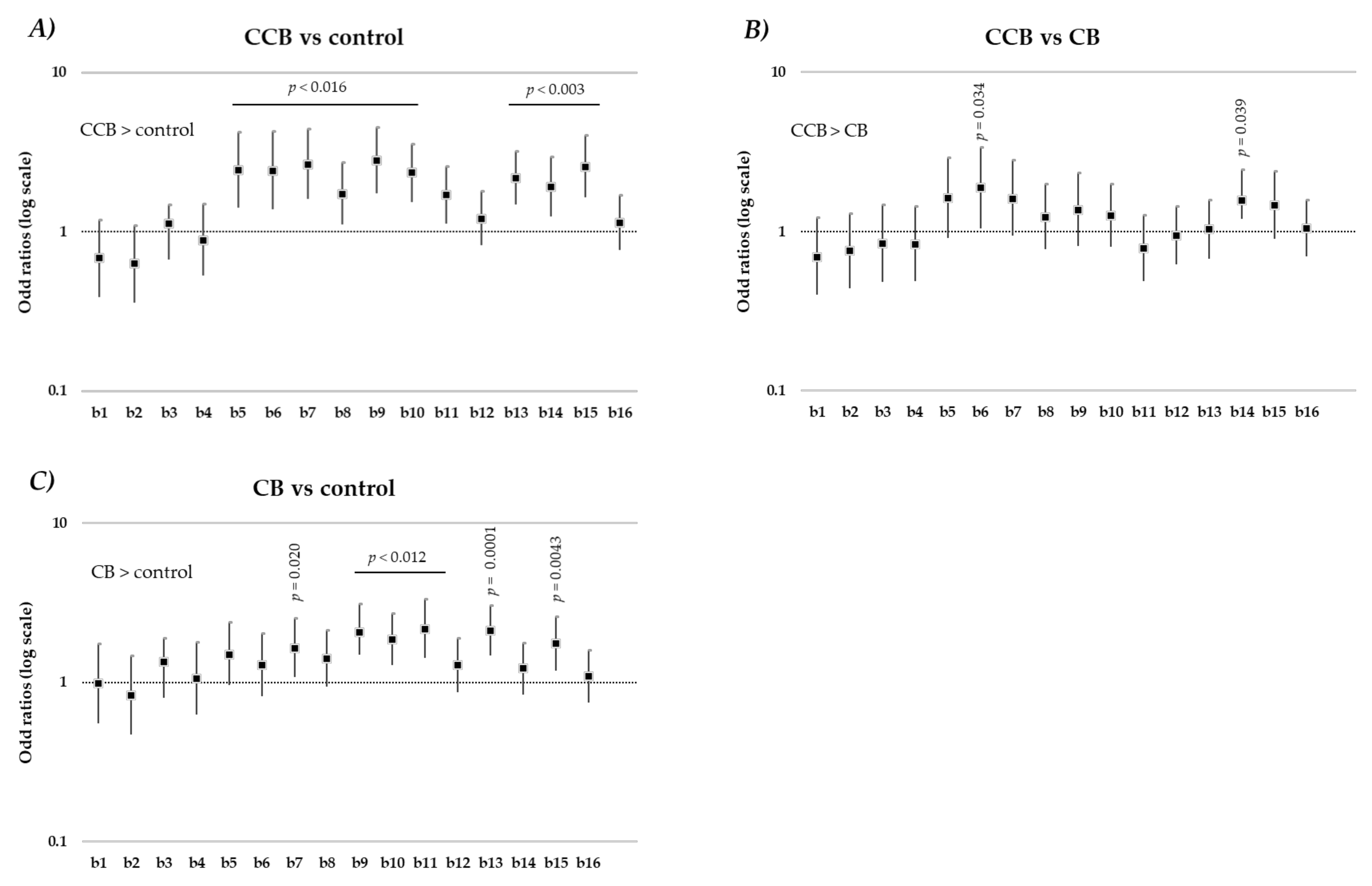
3.1. Changes in Performance of Sustained Attention Task as a Function of Time-On-Task and Product
3.2. Effects of Product on Ratings of Energy and Fatigue
4. Discussion
5. Conclusions
Author Contributions
Funding
Institutional Review Board Statement
Informed Consent Statement
Data Availability Statement
Acknowledgments
Conflicts of Interest
References
- Glade, M.J. Caffeine—Not just a stimulant. Nutrition 2010, 26, 932–938. [Google Scholar] [CrossRef] [PubMed]
- Smit, H.; Cotton, J.; Hughes, S.; Rogers, P. Mood and cognitive performance effects of "energy" drink constituents: Caffeine, glucose and carbonation. Nutr. Neurosci. 2004, 7, 127–139. [Google Scholar] [CrossRef] [PubMed]
- EFSA Panel on Dietetic Products, Nutrition and Allergies. Scientific Opinion on the safety of caffeine. EFSA J. 2015, 13, 4102. [Google Scholar]
- Brice, C.; Smith, A. The effects of caffeine on simulated driving, subjective alertness and sustained attention. Hum. Psychopharmacol. Clin. Exp. 2001, 16, 523–531. [Google Scholar] [CrossRef] [PubMed]
- Foxe, J.J.; Morie, K.P.; Laud, P.J.; Rowson, M.J.; De Bruin, E.A.; Kelly, S.P. Assessing the effects of caffeine and theanine on the maintenance of vigilance during a sustained attention task. Neuropharmacology 2012, 62, 2320–2327. [Google Scholar] [CrossRef]
- Bragg, C.; Desbrow, B.; Hall, S.; Irwin, C. Effect of meal glycemic load and caffeine consumption on prolonged monotonous driving performance. Physiol. Behav. 2017, 181, 110–116. [Google Scholar] [CrossRef]
- Adan, A.; Prat, G.; Fabbri, M.; Sànchez-Turet, M. Early effects of caffeinated and decaffeinated coffee on subjective state and gender differences. Prog. Neuro-Psychopharmacol. Biol. Psychiatry 2008, 32, 1698–1703. [Google Scholar] [CrossRef]
- Spiller, G.A. Basic metabolism and physiological effects of the methylxanthines. In Caffeine; CRC Press: Boca Raton, FL, USA, 2019; pp. 225–231. [Google Scholar]
- Einöther, S.J.; Giesbrecht, T. Caffeine as an attention enhancer: Reviewing existing assumptions. Psychopharmacology 2013, 225, 251–274. [Google Scholar] [CrossRef]
- Ferré, S. An update on the mechanisms of the psychostimulant effects of caffeine. J. Neurochem. 2008, 105, 1067–1079. [Google Scholar] [CrossRef]
- Lieberman, H.R. 1 Mental energy and fatigue. In Diet, Brain, Behavior: Practical Implications; CRC Press: Boca Raton, FL, USA, 2011; p. 1. [Google Scholar]
- Young, H.; Benton, D. Caffeine can decrease subjective energy depending on the vehicle with which it is consumed and when it is measured. Psychopharmacology 2013, 228, 243–254. [Google Scholar] [CrossRef]
- Caldenhove, S.; Sambeth, A.; Sharma, S.; Woo, G.; Blokland, A. A combination of nootropic ingredients (CAF+) is not better than caffeine in improving cognitive functions. J. Cogn. Enhanc. 2018, 2, 106–113. [Google Scholar] [CrossRef] [Green Version]
- Labbe, D.; Martin, N.; Le Coutre, J.; Hudry, J. Impact of refreshing perception on mood, cognitive performance and brain oscillations: An exploratory study. Food Qual. Prefer. 2011, 22, 92–100. [Google Scholar] [CrossRef]
- Morinushi, T.; Masumoto, Y.; Kawasaki, H.; Takigawa, M. Effect on electroencephalogram of chewing flavored gum. Psychiatry Clin. Neurosci. 2000, 54, 645–651. [Google Scholar] [CrossRef] [PubMed]
- Rogers, P.J.; Kainth, A.; Smit, H. A drink of water can improve or impair mental performance depending on small differences in thirst. Appetite 2001, 36, 57–58. [Google Scholar] [CrossRef] [PubMed]
- Roque, J.; Auvray, M.; Lafraire, J. Understanding freshness perception from the cognitive mechanisms of flavor: The case of beverages. Front. Psychol. 2018, 8, 2360. [Google Scholar] [CrossRef] [Green Version]
- Wang, Y.Y.; Chang, R.B.; Liman, E.R. TRPA1 is a component of the nociceptive response to CO2. J. Neurosci. 2010, 30, 12958–12963. [Google Scholar] [CrossRef]
- Akiba, Y.; Mizumori, M.; Kuo, M.; Ham, M.; Guth, P.H.; Engel, E.; Kaunitz, J.D. CO2 chemosensing in rat oesophagus. Gut 2008, 57, 1654–1664. [Google Scholar] [CrossRef]
- Dhaka, A.; Uzzell, V.; Dubin, A.E.; Mathur, J.; Petrus, M.; Bandell, M.; Patapoutian, A. TRPV1 is activated by both acidic and basic pH. J. Neurosci. 2009, 29, 153–158. [Google Scholar] [CrossRef] [Green Version]
- Eberhardt, M.; Dux, M.; Namer, B.; Miljkovic, J.; Cordasic, N.; Will, C.; Kichko, T.I.; De La Roche, J.; Fischer, M.; Suárez, S.A. H2S and NO cooperatively regulate vascular tone by activating a neuroendocrine HNO–TRPA1–CGRP signalling pathway. Nat. Commun. 2014, 5, 1–17. [Google Scholar] [CrossRef]
- Frommer, G.P.; Livingston, R.B. Arousal effects on evoked activity in a “nonsensory” system. Science 1963, 139, 502–504. [Google Scholar] [CrossRef]
- Patapoutian, A.; Tate, S.; Woolf, C.J. Transient receptor potential channels: Targeting pain at the source. Nat. Rev. Drug Discov. 2009, 8, 55–68. [Google Scholar] [CrossRef] [PubMed] [Green Version]
- Zorec, R.; Vardjan, N.; Verkhratsky, A. Locus coeruleus noradrenergic neurons and astroglia in health and disease. In Noradrenergic Signaling and Astroglia; Elsevier: Amsterdam, The Netherlands, 2017; pp. 1–24. [Google Scholar]
- Dessirier, J.-M.; Simons, C.T.; Carstens, M.I.; O’Mahony, M.; Carstens, E. Psychophysical and neurobiological evidence that the oral sensation elicited by carbonated water is of chemogenic origin. Chem. Senses 2000, 25, 277–284. [Google Scholar] [CrossRef] [PubMed] [Green Version]
- Iannilli, E.; Del Gratta, C.; Gerber, J.; Romani, G.; Hummel, T. Trigeminal activation using chemical, electrical, and mechanical stimuli. Pain 2008, 139, 376–388. [Google Scholar] [CrossRef] [PubMed]
- Norrish, M.I.K.; Dwyer, K.L. Preliminary investigation of the effect of peppermint oil on an objective measure of daytime sleepiness. Int. J. Psychophysiol. 2005, 55, 291–298. [Google Scholar] [CrossRef] [PubMed]
- McBride, S.A.; Johnson, R.F.; Merullo, D.J.; Bartow, R.E., Jr. Effects of the periodic administration of odor or vibration on a 3-hr. vigilance task. Percept. Mot. Ski. 2004, 98, 307–318. [Google Scholar] [CrossRef]
- Warm, J.S.; Dember, W.N.; Parasuraman, R. Effects of olfactory stimulation on performance and stress. J. Soc. Cosmet. Chem 1991, 42, 199–210. [Google Scholar]
- Kennedy, D.; Okello, E.; Chazot, P.; Howes, M.-J.; Ohiomokhare, S.; Jackson, P.; Haskell-Ramsay, C.; Khan, J.; Forster, J.; Wightman, E. Volatile terpenes and brain function: Investigation of the cognitive and mood effects of Mentha× Piperita L. essential oil with in vitro properties relevant to central nervous system function. Nutrients 2018, 10, 1029. [Google Scholar] [CrossRef] [Green Version]
- Badia, P.; Wesensten, N.; Lammers, W.; Culpepper, J.; Harsh, J. Responsiveness to olfactory stimuli presented in sleep. Physiol. Behav. 1990, 48, 87–90. [Google Scholar] [CrossRef]
- Eccles, R. Role of cold receptors and menthol in thirst, the drive to breathe and arousal. Appetite 2000, 34, 29–35. [Google Scholar] [CrossRef]
- Satoh, T.; Sugawara, Y. Effects on humans elicited by inhaling the fragrance of essential oils: Sensory test, multi-channel thermometric study and forehead surface potential wave measurement on basil and peppermint. Anal. Sci. 2003, 19, 139–146. [Google Scholar] [CrossRef] [Green Version]
- Montalvo, F.; Kozachuk, J.; Rupp, M.A.; Michaelis, J.R.; McConnell, D.S.; Smither, J.A. Examining methods to induce cognitive fatigue. Human Factors and Applied Psychology Student Conference. 2016. Available online: https://commons.erau.edu/hfap/hfap-2015/posters/19 (accessed on 24 May 2022).
- Pageaux, B.; Marcora, S.M.; Rozand, V.; Lepers, R. Mental fatigue induced by prolonged self-regulation does not exacerbate central fatigue during subsequent whole-body endurance exercise. Front. Hum. Neurosci. 2015, 9, 67. [Google Scholar] [CrossRef] [PubMed] [Green Version]
- Boksem, M.A.; Meijman, T.F.; Lorist, M.M. Effects of mental fatigue on attention: An ERP study. Cogn. Brain Res. 2005, 25, 107–116. [Google Scholar] [CrossRef] [PubMed]
- Faber, L.G.; Maurits, N.M.; Lorist, M.M. Mental fatigue affects visual selective attention. PLoS ONE 2012, 7, e48073. [Google Scholar] [CrossRef] [Green Version]
- O’Connor, P. Mental and Physical State and Trait Energy and Fatigue Scales; University of Georgia: Atlanta, GA, USA, 2006. [Google Scholar]
- Ploutz-Snyder, L.; Foley, J.; Ploutz-Snyder, R.; Kanaley, J.; Sagendorf, K.; Meyer, R. Gastric gas and fluid emptying assessed by magnetic resonance imaging. Eur. J. Appl. Physiol. Occup. Physiol. 1999, 79, 212–220. [Google Scholar] [CrossRef] [PubMed]
- Ridout, F.; Gould, S.; Nunes, C.; Hindmarch, I. The effects of carbon dioxide in champagne on psychometric performance and blood-alcohol concentration. Alcohol Alcohol. 2003, 38, 381–385. [Google Scholar] [CrossRef] [PubMed]
- Dockree, P.M.; Kelly, S.P.; Foxe, J.J.; Reilly, R.B.; Robertson, I.H. Optimal sustained attention is linked to the spectral content of background EEG activity: Greater ongoing tonic alpha (∼10 Hz) power supports successful phasic goal activation. European J. Neurosci. 2007, 25, 900–907. [Google Scholar] [CrossRef] [PubMed]


| Mean | Std. Dev. | Median | Minimum | Maximum | |
|---|---|---|---|---|---|
| Age (years) | 35.3 | 8.2 | 33.0 | 22.0 | 48.0 |
| Height (cm) | 173.2 | 7.6 | 174.0 | 160.0 | 191.0 |
| Weight (kg) | 70.8 | 11.9 | 73.0 | 52.0 | 107.0 |
| BMI | 23.4 | 2.5 | 23.6 | 19.4 | 29.3 |
| Difference | Estimated Difference | 95% CI | p-Value | |
|---|---|---|---|---|
| Physical energy | ||||
| Product effect | 0.0002 | |||
| Difference | CCB vs. CB | 21.79 | [−10.89, 54.46] | 0.1855 |
| CCB vs. control beverage | 73.72 | [40.28, 107.16] | 0.0001 | |
| CB vs. control beverage | 51.94 | [18.44, 85.43] | 0.0032 | |
| Physical fatigue | ||||
| Product effect | 0.0027 | |||
| Difference | CCB vs. CB | −16.69 | [−48.77, 15.39] | 0.2996 |
| CCB vs. control beverage | −57.91 | [−90.3, −25.53] | 0.0008 | |
| CB vs. control beverage | −41.22 | [−73.81, −8.64] | 0.0144 | |
| Mental energy | ||||
| Product effect | <0.0001 | |||
| Difference | CCB vs. CB | 15.1 | [−16.88, 47.08] | 0.3458 |
| CCB vs. control beverage | 77.5 | [44.93, 110.06] | <0.0001 | |
| CB vs. control beverage | 62.39 | [30.19, 94.6] | 0.0003 | |
| Mental fatigue | ||||
| Product effect | <0.0001 | |||
| Difference | CCB vs. CB | −3.58 | [−29.31, 22.14] | 0.78 |
| CCB vs. control beverage | −62.09 | [−87.85, −36.33] | <0.0001 | |
| CB vs. control beverage | −58.51 | [−84.06, −32.95] | <0.0001 |
Publisher’s Note: MDPI stays neutral with regard to jurisdictional claims in published maps and institutional affiliations. |
© 2022 by the authors. Licensee MDPI, Basel, Switzerland. This article is an open access article distributed under the terms and conditions of the Creative Commons Attribution (CC BY) license (https://creativecommons.org/licenses/by/4.0/).
Share and Cite
De Longis, E.; Lerond, C.; Costello, S.E.; Hudry, J. The Matrix Matters: Beverage Carbonation Impacts the Timing of Caffeine Effects on Sustained Attention. Nutrients 2022, 14, 2305. https://doi.org/10.3390/nu14112305
De Longis E, Lerond C, Costello SE, Hudry J. The Matrix Matters: Beverage Carbonation Impacts the Timing of Caffeine Effects on Sustained Attention. Nutrients. 2022; 14(11):2305. https://doi.org/10.3390/nu14112305
Chicago/Turabian StyleDe Longis, Evelina, Clara Lerond, Sarah E. Costello, and Julie Hudry. 2022. "The Matrix Matters: Beverage Carbonation Impacts the Timing of Caffeine Effects on Sustained Attention" Nutrients 14, no. 11: 2305. https://doi.org/10.3390/nu14112305
APA StyleDe Longis, E., Lerond, C., Costello, S. E., & Hudry, J. (2022). The Matrix Matters: Beverage Carbonation Impacts the Timing of Caffeine Effects on Sustained Attention. Nutrients, 14(11), 2305. https://doi.org/10.3390/nu14112305

