Maternal Nutrition Status Associated with Pregnancy-Related Adverse Outcomes
Abstract
1. Introduction
2. Materials and Methods
2.1. Study Design
2.2. Data Collection
2.3. Statistical Analysis
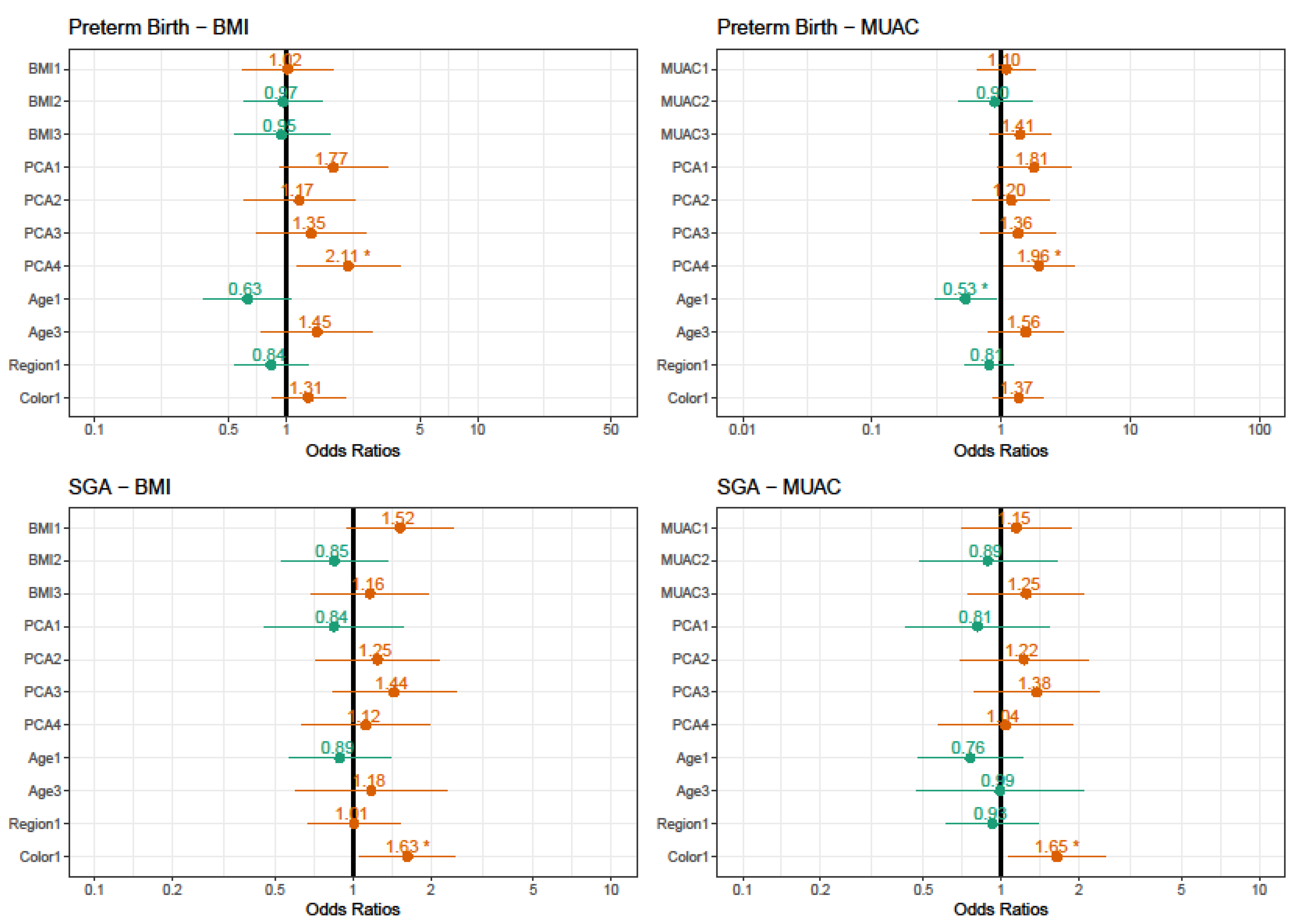
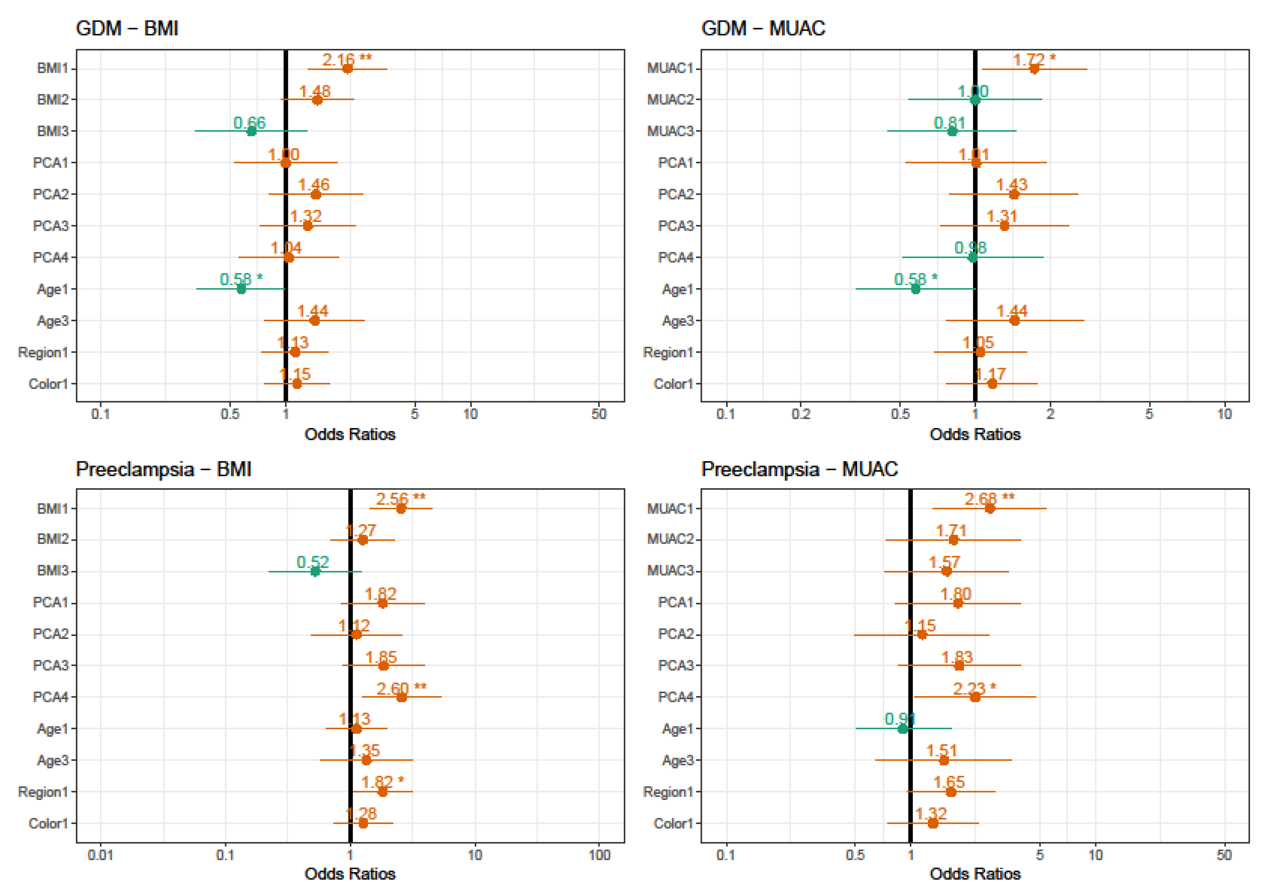
3. Results
4. Discussion
5. Conclusions
Author Contributions
Funding
Institutional Review Board Statement
Informed Consent Statement
Data Availability Statement
Acknowledgments
Conflicts of Interest
References
- Hashmi, A.H.; Solomon, N.; Lee, S.J.; Min, A.M.; Gilder, M.E.; Wiladphaingern, J.; Tun, N.W.; Plugge, E.; Wickramasinghe, K.; Angkurawaranon, C.; et al. Nutrition in transition: Historical cohort analysis summarising trends in under- and over-nutrition among pregnant women in a marginalised population along the Thailand-Myanmar border from 1986 to 2016. Br. J. Nutr. 2019, 121, 1413–1423. [Google Scholar] [CrossRef]
- Birgisdottir, B.E.; Sengpiel, V.; Englund-Ögge, L.; Brantsæter, A.L.; Haugen, M.; Myhre, R.; Meltzer, H.M.; Jacobsson, B. Meal frequency patterns and glycemic properties of maternal diet in relation to preterm delivery: Results from a large prospective cohort study. PLoS ONE 2017, 89, 1–18. [Google Scholar]
- Mekie, M.; Mekonnen, W.; Assegid, M. Cohabitation duration, obstetric, behavioral and nutritional factors predict preeclampsia among nulliparous women in West Amhara Zones of Ethiopia: Age matched case control study. PLoS ONE 2020, 15, e0228127. [Google Scholar] [CrossRef]
- Miele, M.J.O.; Souza, R.T.; Calderon, I.M.; Feitosa, F.E.; Leite, D.F.; Filho, E.A.R.; Vettorazzi, J.; Mayrink, J.; Vieira, M.C.; Pacagnella, R.C.; et al. Profile of calories and nutrients intake in a Brazilian multicenter study of nulliparous women. Int. J. Gynecol. Obstet. 2021. [Google Scholar] [CrossRef]
- Benova, L.; Tunçalp, Ö.; Moran, A.C.; Campbell, O.M.R. Not just a number: Examining coverage and content of antenatal care in low-income and middle-income countries. BMJ Glob. Heal. 2018, 3, 779. [Google Scholar] [CrossRef] [PubMed]
- Omer, A.M.; Haile, D.; Shikur, B.; MacArayan, E.R.; Hagos, S. Effectiveness of a nutrition education and counselling training package on antenatal care: A cluster randomized controlled trial in Addis Ababa. Health Policy Plan. 2020, 35, I65–I75. [Google Scholar] [CrossRef] [PubMed]
- World Health Organization. WHO Recommendations on Antenatal Care for a Positive Pregnancy Experience; World Health Organization: Geneva, Switzerland, 2016. [Google Scholar]
- Kominiarek, M.A.; Rajan, P. Nutrition Recommendations in Pregnancy and Lactation. Med. Clin. N. Am. 2016, 100, 1199–1215. [Google Scholar] [CrossRef] [PubMed]
- Brasil; Ministério da Saúde. Manual Orientador para Aquisição de Equipamentos Antropométricos, 1st ed.; Secretária de Atenção à Saúde, Departamento de Atenção Básica, Coordenação Geral de Alimentação e Nutrição, Eds.; Ministério da Saúde: Brasília, Brazil, 2012.
- Atalah, E.; Castillo, C.; Castro, R.; Aldea, A. Proposal of a new standard for the nutritional assessment of pregnant women. Rev. Med. Chil. 1997, 125, 1429–1436. [Google Scholar] [PubMed]
- Jongh, T.; Gurol-Urganci, I.; Allen, E.; Jiayue Zhu, N.; Atun, R. Barriers and enablers to integrating maternal and child health services to antenatal care in low and middle income countries. BJOG An. Int. J. Obstet. Gynaecol. 2016, 123, 549–557. [Google Scholar] [CrossRef]
- Kisuule, I.; Kaye, D.K.; Najjuka, F.; Ssematimba, S.K.; Arinda, A.; Nakitende, G.; Otim, L. Timing and reasons for coming late for the first antenatal care visit by pregnant women at Mulago hospital, Kampala Uganda. BMC Pregnancy Childbirth 2013, 13, 1–7. [Google Scholar] [CrossRef] [PubMed]
- Lander, R.; Hambidge, K.; Westcott, J.; Tejeda, G.; Diba, T.; Mastiholi, S.; Khan, U.; Garcés, A.; Figueroa, L.; Tshefu, A.; et al. Pregnant Women in Four Low-Middle Income Countries Have a High Prevalence of Inadequate Dietary Intakes That Are Improved by Dietary Diversity. Nutrients 2019, 11, 1560. [Google Scholar] [CrossRef]
- Ahmed, F.; Tseng, M. Diet and nutritional status during pregnancy. Public Health Nutr. 2013, 16, 1337–1339. [Google Scholar] [CrossRef][Green Version]
- Tunçalp, Ö.; Pena-Rosas, J.; Lawrie, T.; Bucagu, M.; Oladapo, O.; Portela, A.; Metin Gülmezoglu, A. WHO recommendations on antenatal care for a positive pregnancy experience-going beyond survival. BJOG An. Int. J. Obstet. Gynaecol. 2017, 124, 860–862. [Google Scholar] [CrossRef]
- Souza, R.T.; Cecatti, J.G.; Costa, M.L.; Mayrink, J.; Pacagnella, R.C.; Passini, R.; Franchini, K.G.; Feitosa, F.E.; Calderon, I.M.; Filho, E.A.R.; et al. Planning, implementing, and running a multicentre preterm birth study with biobank resources in Brazil: The preterm samba study. Biomed. Res. Int. 2019, 2019, 5476350. [Google Scholar] [CrossRef]
- Instituto Brasileiro de Geografia e Estatistica-IBGE Mapa de Densidade Demográfica de 2010. Available online: https://censo2010.ibge.gov.br/noticias-censo.html?view=noticia&id=1&idnoticia=2501&busca=1&t=ibge-lanca-mapa-densidade-demografica-2010 (accessed on 1 September 2020).
- Brasil. Ministério da Saude Orientações para a Coleta e análise de Dados Antropométricos em Serviços de Saúde: Norma Técnica do Sistema de Vigilância Alimentar e Nutricional-SISVAN; Ministério da Saúde, Departamento de Atenção Básica, Secretaria de Atenção a Saúde, Eds.; Ministério da Saúde: Brasília, Brazil, 2011.
- Miele, M.J.O.; Souza, R.T.; Calderon, I.M.P.; Feitosa, F.E.; Débora, F.L.; Filho, E.A.R.; Vettorazzi, J.; Mayrink, J.; Fernandes, K.G.; Vieira, M.C.; et al. A proposal of a fast tool to monitor pregnancy nutritional. BMJ Open 2021, 11, e047463. [Google Scholar] [CrossRef] [PubMed]
- Willett, W.C. Nutritional Epidemiology, 3rd ed.; Oxford University Press: Oxford, UK, 2012; ISBN 9780199754038. [Google Scholar]
- Fisberg, R.M.; Slater, B.; Marchioni, D.M.L.; Martini, L.A. Inqueritos Alimentares: Metodos e Bases Cientificos, 1st ed.; Manole: Barueri, Brazil, 2005. [Google Scholar]
- Brasil; Ministério da Saúde; Instituto Nacional de Alimentação e Nutrição; Secretaria de Programas Especiais. Registro Fotográfico para Inquéritos Dietéticos: Utensílios e Porções; NEPA-UNICAMP: Goiânia, Brazil, 1996.
- IBGE—Instituto Brasileiro de Geografia e Estatística. Tabela de Composição de Alimentos; Instituto Brasileiro de Geografia e Estatística, Ed.; Estudo Nacional de Despesa Familiar (ENDEF): Rio de Janeiro, Brazil, 2011. [Google Scholar]
- Universidade de São Paulo (USP); Food Research Center (FoRC); Tabela Brasileira de Composição de Alimentos (TBCA). Available online: http://www.fcf.usp.br/tbca (accessed on 11 December 2018).
- United States Department of Agriculture. Agricultural Research Service USDA Food Composition Databases. Available online: https://ndb.nal.usda.gov/ndb/ (accessed on 5 November 2018).
- Monteiro, C.A.; Cannon, G.; Levy, R.; Moubarac, J.-C.; Jaime, P.; Martins, A.P.; Canella, D.; Louzada, M.; Parra, D. NOVA. The star shines bright. World Nutr. 2016, 7, 11. [Google Scholar]
- Jolliffe, I.T. Principal component analysis. In Principal Components in Regression Analysis; Springer: New York, NY, USA, 1986; pp. 129–155. [Google Scholar]
- Miele, M.J.O.; Souza, R.T.; Calderon, I.M.P.; Feitosa, F.E.; Leite, D.F.; Filho, E.A.R.; Vettorazzi, J.; Mayrink, J.; Fernandes, K.G.; Vieira, M.C.; et al. The food patterns of a multicenter cohort of Brazilian nulliparous pregnant women. Sci. Rep. 2021. Accepted. [Google Scholar]
- Brown, M.A.; Magee, L.A.; Kenny, L.C.; Karumanchi, S.A.; McCarthy, F.P.; Saito, S.; Hall, D.R.; Warren, C.E.; Adoyi, G.; Ishaku, S. Hypertensive disorders of pregnancy: ISSHP classification, diagnosis, and management recommendations for international practice. Hypertension 2018, 72, 24–43. [Google Scholar] [CrossRef] [PubMed]
- American Diabetes Association (ADA). Standards of Medical Care in Diabetes—2018 Abridged for Primary Care Providers. Clin. Diabetes 2018, 36, 14–37. [Google Scholar]
- World Health Organization (WHO). Preterm Birth; WHO: Geneva, Switzerland, 2018; Available online: https://www.who.int/news-room/fact-sheets/detail/preterm-birth (accessed on 12 July 2021).
- Gardosi, J. GROW Documentation. Available online: www.perinatal.org.uk (accessed on 19 May 2021).
- R Core Team. R: A Language and Environment for Statistical Computing; R Foundation for Statistical Computing: Vienna, Austria, 2020. [Google Scholar]
- Von Elm, E.; Altman, D.G.; Egger, M.; Pocock, S.J.; Gøtzsche, P.C.; Vandenbroucke, J.P. The strengthening the reporting of observational studies in epidemiology (STROBE) statement: Guidelines for reporting observational studies. Int. J. Surg. 2014, 12, 1495–1499. [Google Scholar] [CrossRef]
- Malek, L.; Umberger, W.J.; Makrides, M.; ShaoJia, Z. Predicting healthy eating intention and adherence to dietary recommendations during pregnancy in Australia using the Theory of Planned Behaviour. Appetite 2017, 116, 431–441. [Google Scholar] [CrossRef] [PubMed]
- Fowles, E.R.; Bryant, M.; Kim, S.; Walker, L.O.; Ruiz, R.J.; Timmerman, G.M.; Brown, A. Predictors of dietary quality in low-income pregnant women: A path analysis. Nurs. Res. 2011, 60, 286–294. [Google Scholar] [CrossRef]
- Feig, D.S.; Shah, B.R.; Lipscombe, L.L.; Wu, C.F.; Ray, J.G.; Lowe, J.; Hwee, J.; Booth, G.L. Preeclampsia as a Risk Factor for Diabetes: A Population-Based Cohort Study. PLoS Med. 2013, 10. [Google Scholar] [CrossRef]
- Li, X.; Zhang, W.; Lin, J.; Liu, H.; Yang, Z.; Teng, Y.; Duan, S.; Li, Y.; Xie, Y.; Lin, X.; et al. Preterm birth, low birthweight, and small for gestational age among women with preeclampsia: Does maternal age matter? Pregnancy Hypertens. 2018, 13, 260–266. [Google Scholar] [CrossRef]
- Goldstein, R.F.; Abell, S.K.; Ranasinha, S.; Misso, M.L.; Boyle, J.A.; Harrison, C.L.; Black, M.H.; Li, N.; Hu, G.; Corrado, F.; et al. Gestational weight gain across continents and ethnicity: Systematic review and meta-analysis of maternal and infant outcomes in more than one million women. BMC Med. 2018, 16, 153. [Google Scholar] [CrossRef]
- Fowles, E.R.; Gabrielson, M. First trimester predictors of diet and birth outcomes in low-income pregnant women. J. Community Health Nurs. 2005, 22, 117–130. [Google Scholar] [CrossRef]
- Kim, C. Gestational Diabetes Mellitus in Korean Women: Similarities and Differences from Other Racial/Ethnic Groups. Diabetes Metab. J. 2014, 38, 1–12. [Google Scholar] [CrossRef] [PubMed]
- Li, Y.; Ren, X.; He, L.; Li, J.; Zhang, S.; Chen, W. Maternal age and the risk of gestational diabetes mellitus: A systematic review and meta-analysis of over 120 million participants. Diabetes Res. Clin. Pract. 2020, 162, 108044. [Google Scholar] [CrossRef]
- Assunção Botelho, R.B.; Araújo, W.M.C.; Zandonadi, R.P. Main Regional Foods Offered in Northeast Brazilian Restaurants and Motives for Their Offer. J. Culin. Sci. Technol. 2020. [Google Scholar] [CrossRef]
- Gubert, M.B. Modelo Preditivo de Insegurança Alimentar Grave para os Municípios Brasileiros. Ph.D. Thesis, Universidade de Brasília, Brasília, Brazil, 2009. [Google Scholar]
- Arvizu, M.; Bjerregaard, A.A.; Madsen, M.T.B.; Granström, C.; Halldorsson, T.I.; Olsen, S.F.; Gaskins, A.J.; Rich-Edwards, J.W.; Rosner, B.A.; Chavarro, J.E. Sodium Intake during Pregnancy, but Not Other Diet Recommendations Aimed at Preventing Cardiovascular Disease, Is Positively Related to Risk of Hypertensive Disorders of Pregnancy. J. Nutr. 2020, 150, 159–166. [Google Scholar] [CrossRef] [PubMed]
- Russell, A.; Gillespie, S.; Satya, S.; Gaudet, L.M. Assessing the Accuracy of Pregnant Women in Recalling Pre-Pregnancy Weight and Gestational Weight Gain. J. Obstet. Gynaecol. Can. 2013, 35, 802–809. [Google Scholar] [CrossRef]
- Glasman, J. Measuring Malnutrition: The History of the MUAC Tape and the Commensurability of Human Needs. Humanit. An. Int. J. Hum. Rights Humanit. Dev. 2018, 9, 19–44. [Google Scholar] [CrossRef]
- Fakier, A.; Petro, G.; Fawcus, S. Mid-upper arm circumference: A surrogate for body mass index in pregnant women. South Afr. Med. J. 2017, 107, 606–610. [Google Scholar] [CrossRef] [PubMed]




| Maternal Features # | n = 1165 | % |
|---|---|---|
| a BMI (kg/m2) | ||
| Obese | 199 | 17.1 |
| Overweight | 299 | 25.7 |
| Adequate | 461 | 39.6 |
| Underweight | 205 | 17.6 |
| b MUAC (cm) | ||
| Obese | 366 | 32.2 |
| Overweight | 180 | 15.8 |
| Adequate | 281 | 24.7 |
| Underweight | 310 | 27.3 |
| c Dietary Patterns | ||
| Obesogenic | 197 | 17.4 |
| Traditional | 241 | 21.3 |
| Intermediate | 242 | 21.4 |
| Vegetarian | 233 | 20.6 |
| Protein | 219 | 19.3 |
| Income (per year) | ||
| ≤12,000(USD) | 861 | 73.9 |
| >12,000(USD) | 304 | 26.1 |
| Occupation | ||
| Working | 585 | 50.2 |
| Not working | 580 | 49.8 |
| Age (years) | ||
| ≤19 | 291 | 25.0 |
| 20–35 | 796 | 68.3 |
| >35 | 78 | 6.7 |
| Education (years) | ||
| <12 | 791 | 67.9 |
| ≥12 | 374 | 32.1 |
| Region | ||
| Northwest | 565 | 48.5 |
| South/Southwest | 600 | 51.5 |
| Color/ethnicity | ||
| White | 462 | 39.7 |
| Non-white | 703 | 60.3 |
| Gestational Outcome | ||
| Preterm birth | 125 | 10.7 |
| d Small for Gestation Age | 146 | 12.7 |
| e Gestational Diabetes Mellitus | 142 | 14.1 |
| Preeclampsia | 87 | 7.5 |
| f Global adverse outcome | 401 | 39.0 |
| Factors | PTB | SGA | GDM | PE |
|---|---|---|---|---|
| a BMI (kg/m2) | ||||
| Obese | 1.07(0.63–1.80) | 1.53(0.95–2.43) | 2.40(1.50–3.83) | 2.43(1.39–4.25) |
| Overweight | 0.99(0.61–1.57) | 0.88(0.55–1.41) | 1.65(1.05–2.58) | 1.29(1.39–4.25) |
| Adequate | 1.00 | 1.00 | 1.00 | 1.00 |
| Underweight | 0.89(0.50–1.51) | 1.22(0.74–1.98) | 0.56(0.27–1.08) | 0.71(0.31–1.48) |
| b MUAC (cm) | ||||
| Obese | 1.12(0.67–1.90) | 1.19(0.73–1.94) | 1.85(1.17–2.99) | 2.84(1.47–5.94) |
| Overweight | 0.98(0.51–1.84) | 0.95(0.51–1.72) | 1.05(0.57–1.91) | 1.91(0.84–4.45) |
| Adequate | 1.00 | 1.00 | 1.00 | 1.00 |
| Underweight | 1.35(0.81–2.30) | 1.24(0.76–2.06) | 0.68(0.38–1.22) | 1.78(0.86–3.90) |
| c Dietary Patterns | ||||
| Obesogenic | 1.72(0.91–3.31) | 0.86(0.46–1.58) | 0.96(0.51–1.81) | 1.66(0.79–3.56) |
| Traditional | 1.00 | 1.00 | 1.00 | 1.00 |
| Intermediate | 1.24(0.65–2.40) | 1.19(0.69–2.05) | 1.39(0.80–2.48) | 0.92(0.40–2.06) |
| Vegetarian | 1.49(0.79–2.85) | 1.35(0.79–2.31) | 1.36(0.77–2.43) | 1.56(0.76–3.30) |
| Protein | 2.20(1.21–4.11) | 1.07(0.60–1.88) | 0.99(0.54–1.83) | 2.06(1.03–4.28) |
| Income (per year) | ||||
| ≤12,000(USD) | 1.25(0.81–1.98) | 1.11(0.75–1.69) | 1.50(0.96–2.42) | 0.92(0.57–1.53) |
| >12,000(USD) | 1.00 | 1.00 | 1.00 | 1.00 |
| Occupation | ||||
| Working | 1.00 | 1.00 | 1.00 | 1.00 |
| Not working | 0.69(0.47–1.00) | 0.90(0.63–1.27) | 1.08(0.76–1.54) | 0.81(0.52–1.25) |
| Age (year) | ||||
| ≤19 | 0.63(0.38–1.01) | 0.95(0.63–1.43) | 0.45(0.26–0.74) | 0.91(0.52–1.50) |
| 20–35 | 1.00 | 1.00 | 1.00 | 1.00 |
| >34 | 1.41(0.70–2.62) | 1.13(0.55–2.13) | 1.40(0.74–2.51) | 1.21(0.49–2.58) |
| Education (year) | ||||
| <12 | 1.01(0.68–1.51) | 1.00(0.69–1.46) | 0.98(0.67–1.43) | 0.94(0.60–1.51) |
| ≥12 | 1.00 | 1.00 | 1.00 | 1.00 |
| Region | ||||
| Northwest | 0.94(0.65–1.37) | 1.10(0.77–1.55) | 1.03(0.72–1.46) | 1.82(1.16–2.87) |
| South/Southwest | 1.00 | 1.00 | 1.00 | 1.00 |
| Color/ethnic | ||||
| White | 1.00 | 1.00 | 1.00 | 1.00 |
| Non-white | 1.14(0.78–1.69) | 1.47(1.02–2.14) | 1.02(0.71–1.46) | 1.50(0.95–2.44) |
| Equation Models | Probability | Accuracy | |
|---|---|---|---|
| (1) | = −1.05121 β0 + 0.69694 β1 (BMI1) + 0.32953 β3 (PCA5) + 0.45503 β4 (Color1) | 61% | 63% |
| (2) | = −1.03799 β0 + 0.41557 β1 (MUAC1) + 0.29974 β2 (PCA5) + 0.43346 β4 (Color1) | 52% | 63% |
Publisher’s Note: MDPI stays neutral with regard to jurisdictional claims in published maps and institutional affiliations. |
© 2021 by the authors. Licensee MDPI, Basel, Switzerland. This article is an open access article distributed under the terms and conditions of the Creative Commons Attribution (CC BY) license (https://creativecommons.org/licenses/by/4.0/).
Share and Cite
Miele, M.J.; Souza, R.T.; Calderon, I.M.; Feitosa, F.E.; Leite, D.F.; Rocha Filho, E.A.; Vettorazzi, J.; Mayrink, J.; Fernandes, K.G.; Vieira, M.C.; et al. Maternal Nutrition Status Associated with Pregnancy-Related Adverse Outcomes. Nutrients 2021, 13, 2398. https://doi.org/10.3390/nu13072398
Miele MJ, Souza RT, Calderon IM, Feitosa FE, Leite DF, Rocha Filho EA, Vettorazzi J, Mayrink J, Fernandes KG, Vieira MC, et al. Maternal Nutrition Status Associated with Pregnancy-Related Adverse Outcomes. Nutrients. 2021; 13(7):2398. https://doi.org/10.3390/nu13072398
Chicago/Turabian StyleMiele, Maria J, Renato T Souza, Iracema M Calderon, Francisco E Feitosa, Debora F Leite, Edilberto A Rocha Filho, Janete Vettorazzi, Jussara Mayrink, Karayna G Fernandes, Matias C Vieira, and et al. 2021. "Maternal Nutrition Status Associated with Pregnancy-Related Adverse Outcomes" Nutrients 13, no. 7: 2398. https://doi.org/10.3390/nu13072398
APA StyleMiele, M. J., Souza, R. T., Calderon, I. M., Feitosa, F. E., Leite, D. F., Rocha Filho, E. A., Vettorazzi, J., Mayrink, J., Fernandes, K. G., Vieira, M. C., Pacagnella, R. C., & Cecatti, J. G., for the Preterm SAMBA Study Group. (2021). Maternal Nutrition Status Associated with Pregnancy-Related Adverse Outcomes. Nutrients, 13(7), 2398. https://doi.org/10.3390/nu13072398

