Effects on Microbiota Composition after Consumption of Quinoa Beverage Fermented by a Novel Xylose-Metabolizing L. plantarum Strain
Abstract
:1. Introduction
2. Materials and Methods
2.1. Beverage Development and Evaluation of Hygiene Quality
2.1.1. Quinoa-Based Fermented Drink
2.1.2. pH and Microbial Analysis
2.2. In Vivo Study
2.2.1. Protocol
2.2.2. Saliva and Stool Samples Collection
2.3. Qualitative and Quantitative Assay of In Vivo Samples
2.3.1. DNA Extraction
2.3.2. Terminal Restriction Fragment Length Polymorphism Assay
2.3.3. Next Generation Sequencing
2.3.4. Quantitative Real-Time PCR
2.4. Statistical Analysis
3. Results
3.1. Beverage Development and Hygiene Evaluation
pH and Microbial Analysis
3.2. In Vivo Study
Consumer Experience
3.3. Qualitative and Quantitative Assay of In Vivo Samples
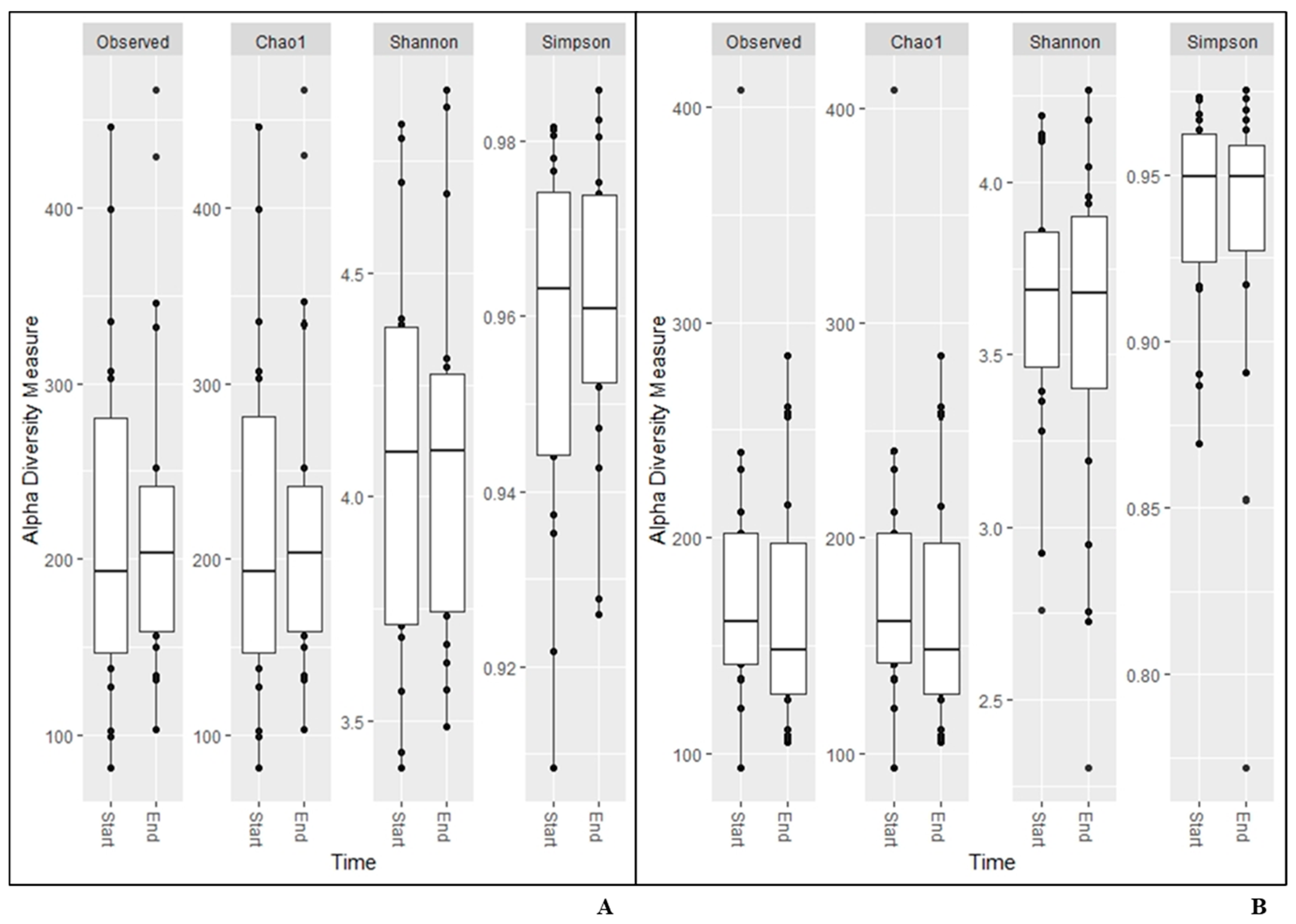
3.3.1. Alpha and Beta Diversity
3.3.2. Relative Abundance
3.3.3. Absolute Amount of Lactobacillus
4. Discussion
5. Conclusions
6. Patents
Author Contributions
Funding
Institutional Review Board Statement
Informed Consent Statement
Acknowledgments
Conflicts of Interest
References
- Bazile, D.; Jacobsen, S.-E.; Verniau, A. The Global Expansion of Quinoa: Trends and Limits. Front. Plant Sci. 2016, 7, 622. [Google Scholar] [CrossRef] [PubMed] [Green Version]
- Vega-Gálvez, A.; Miranda, M.; Vergara, J.; Uribe, E.; Puente, L.; Martínez, E.A. Nutrition facts and functional potential of quinoa (Chenopodium quinoa willd.), an ancient Andean grain: A review. J. Sci. Food Agric. 2010, 90, 2541–2547. [Google Scholar] [CrossRef] [PubMed]
- Ogungbenle, H.N. Nutritional evaluation and functional properties of quinoa (Chenopodium quinoa) flour. Int. J. Food Sci. Nutr. 2003, 54, 153–158. [Google Scholar] [CrossRef]
- Rizzello, C.G.; Lorusso, A.; Russo, V.; Pinto, D.; Marzani, B.; Gobbetti, M. Improving the antioxidant properties of quinoa flour through fermentation with selected autochthonous lactic acid bacteria. Int. J. Food Microbiol. 2017, 241, 252–261. [Google Scholar] [CrossRef] [PubMed]
- Carrizo, S.L.; Montes de Oca, C.E.; Laiño, J.E.; Suarez, N.E.; Vignolo, G.; LeBlanc, J.G. Ancestral Andean grain quinoa as source of lactic acid bacteria capable to degrade phytate and produce B-group vitamins. Food Res. Int. 2016, 89, 488–494. [Google Scholar] [CrossRef]
- Chen, M.; Sun, Q.; Giovannucci, E.; Mozaffarian, D.; Manson, J.E.; Willett, W.C. Dairy consumption and risk of type 2 diabetes: 3 cohorts of US adults and an updated meta-analysis. BMC Med. 2014, 12, 1–14. [Google Scholar] [CrossRef] [PubMed] [Green Version]
- Díaz, A.; Mònica, L.; Miguel, B.; González, A.M.; Corella, D.; Estruch, R. Dairy product consumption and risk of type 2 diabetes in an elderly Spanish Mediterranean population at high cardiovascular risk. Eur. J. Nutr. 2016, 55, 349–360. [Google Scholar] [CrossRef] [PubMed] [Green Version]
- Canaviri Paz, P.; Janny, R.J.; Håkansson, Å. Safeguarding of quinoa beverage production by fermentation with Lactobacillus plantarum DSM 9843. Int. J. Food Microbiol. 2020, 324, 108630. [Google Scholar] [CrossRef]
- Salminen, S.; Collado, M.C.; Endo, A.; Hill, C.; Lebeer, S.; Quigley, E.M.M. The International Scientific Association of Probiotics and Prebiotics (ISAPP) consensus statement on the definition and scope of postbiotics. Nat. Rev. Gastroenterol. Hepatol. 2021, 18, 649–667. [Google Scholar] [CrossRef]
- FAO; WHO. Guidelines for the Evaluation of Probiotics in Food; Management Service FAO: London, ON, Canada, 2002. [Google Scholar]
- Ahrné, S.; Nobaek, S.; Jeppsson, B.; Adlerberth, I.; Wold, A.E.; Molin, G. The normal Lactobacillus flora of healthy human rectal and oral mucosa. J. Appl. Microbiol. 1998, 85, 88–94. [Google Scholar] [CrossRef]
- Mangell, P.; Lennernäs, P.; Wang, M.; Olsson, C.; Ahrné, S.; Molin, G. Adhesive capability of Lactobacillus plantarum 299v is important for preventing bacterial translocation in endotoxemic rats. Apmis 2006, 114, 611–618. [Google Scholar] [CrossRef] [PubMed]
- Osman, N.; Adawi, D.; Ahrné, S.; Jeppsson, B.; Molin, G. Endotoxin- and d-galactosamine-induced liver injury improved by the administration of Lactobacillus, Bifidobacterium and blueberry. Dig. Liver Dis. 2007, 39, 849–856. [Google Scholar] [CrossRef] [PubMed]
- Canaviri-Paz, P.; Oscarsson, E.; Håkansson, Å. Autochthonous microorganisms of white quinoa grains with special attention to novel functional properties of lactobacilli strains. J. Funct. Foods 2021, 84, 104586. [Google Scholar] [CrossRef]
- Ricci, A.; Allende, A.; Bolton, D.; Chemaly, M.; Davies, R.; Fernández Escámez, P.S. Update of the list of QPS-recommended biological agents intentionally added to food or feed as notified to EFSA 8: Suitability of taxonomic units notified to EFSA until March 2018. EFSA J. 2018, 6–14. [Google Scholar] [CrossRef]
- Vera-Pingitore, E.; Jimenez, M.E.; Dallagnol, A.; Belfiore, C.; Fontana, C.; Fontana, P. Screening and characterization of potential probiotic and starter bacteria for plant fermentations. LWT Food Sci. Technol. 2016, 71, 288–294. [Google Scholar] [CrossRef]
- Karlsson, C.L.J.; Önnerfält, J.; Xu, J.; Molin, G.; Ahrné, S.; Thorngren-Jerneck, K. The microbiota of the gut in preschool children with normal and excessive body weight. Obesity 2012, 20, 2257–2261. [Google Scholar] [CrossRef]
- Karlsson, C.L.J.; Molin, G.; Fåk, F.; Johansson Hagslätt, M.L.; Jakesevic, M.; Håkansson, Å. Effects on weight gain and gut microbiota in rats given bacterial supplements and a high-energy-dense diet from fetal life through to 6 months of age. Br. J. Nutr. 2011, 106, 887–895. [Google Scholar] [CrossRef] [Green Version]
- Oscarsson, E.; Håkansson, Å.; Andrén Aronsson, C.; Molin, G.; Agardh, D. Effects of Probiotic Bacteria Lactobacillaceae on the Gut Microbiota in Children with Celiac Disease Autoimmunity: A Placebo-Controlled and Randomized Clinical Trial. Front. Nutr. 2021, 8, 354. [Google Scholar] [CrossRef]
- Oscarsson, E.; Wahlgren, M.; Agardh, D.; Håkansson, Å. Advances in Applied and Pharmaceutical Sciences Journal Individual Differences of Bacterial Degradation of Starch In The Upper Gastrointestinal Tract Evaluated in A Modified In Vitro Model. AAPS 2018, 2, 31–38. [Google Scholar]
- Marungruang, N.; Tovar, J.; Björck, I.; Hållenius, F.F. Improvement in cardiometabolic risk markers following a multifunctional diet is associated with gut microbial taxa in healthy overweight and obese subjects. Eur. J. Nutr. 2018, 57, 2927–2936. [Google Scholar] [CrossRef] [Green Version]
- Charalampopoulos, D.; Pandiella, S.S.; Webb, C. Growth studies of potentially probiotic lactic acid bacteria in cereal-based substrates. J. Appl. Microbiol. 2002, 92, 851–859. [Google Scholar] [CrossRef] [PubMed]
- Guarner, F.; Khan, A.; Garisch, J. Probiotics and Prebiotics: World Gastroenterology Organization Global Guidelines. 2011. Available online: http://www.worldgastroenterology.org/assets/export/userfiles/Probiotics_FINAL_20110116.pdf (accessed on 14 September 2021).
- Hill, C.; Guarner, F.; Reid, G.; Gibson, G.R.; Merenstein, D.J.; Pot, B. Expert consensus document: The international scientific association for probiotics and prebiotics consensus statement on the scope and appropriate use of the term probiotic. Nat. Rev. Gastroenterol. Hepatol. 2014, 11, 506–514. [Google Scholar] [CrossRef] [PubMed] [Green Version]
- Verdenelli, M.C.; Silvi, S.; Cecchini, C.; Orpianesi, C.; Cresci, A. Influence of a combination of two potential probiotic strains, Lactobacillus rhamnosus IMC 501® and Lactobacillus paracasei IMC 502® on bowel habits of healthy adults. Lett. Appl. Microbiol. 2011, 52, 596–602. [Google Scholar] [CrossRef]
- Dassi, E.; Ballarini, A.; Covello, G.; Abura’ed, A.; Anderle, M.; Asnicar, F. Enhanced microbial diversity in the saliva microbiome induced by short-term probiotic intake revealed by 16S rRNA sequencing on the IonTorrent PGM platform. J. Biotechnol. 2014, 190, 30–39. [Google Scholar] [CrossRef]
- Dassi, E.; Ferretti, P.; Covello, G.; Speccher, A.; Migazzi, A.; Bosco, B. The short-term impact of probiotic consumption on the oral cavity microbiome. Sci. Rep. 2018, 8, 2–9. [Google Scholar] [CrossRef] [PubMed] [Green Version]
- Wu, G.D.; Chen, J.; Hoffmann, C.; Bittinger, K.; Chen, Y.; Keilbaugh, S.A. Linking Long-Term Dietary Patterns with Gut Microbial Enterotypes. Science 2011, 334, 105–109. Available online: http://www.pubmedcentral.nih.gov/articlerender.fcgi?artid=3368382&tool=pmcentrez&rendertype=abstract (accessed on 14 September 2021). [CrossRef] [Green Version]
- David, L.A.; Maurice, C.F.; Carmody, R.N.; Gootenberg, D.B.; Button, J.E.; Wolfe, B.E. Diet rapidly and reproducibly alters the human gut microbiome. Nature 2014, 505, 559–563. [Google Scholar] [CrossRef] [PubMed] [Green Version]
- Hansen, T.H.; Kern, T.; Bak, E.G.; Kashani, A.; Allin, K.H.; Nielsen, T. Impact of a vegan diet on the human salivary microbiota. Sci. Rep. 2018, 8, 5847. [Google Scholar] [CrossRef]
- Acuña-Amador, L.; Barloy-Hubler, F. Porphyromonas spp. have an extensive host range in ill and healthy individuals and an unexpected environmental distribution: A systematic review and meta-analysis. Anaerobe 2020, 66, 102280. [Google Scholar] [CrossRef] [PubMed]
- Matijašić, B.B.; Obermajer, T.; Lipoglavšek, L.; Grabnar, I.; Avguštin, G.; Rogelj, I. Association of dietary type with fecal microbiota in vegetarians and omnivores in Slovenia. Eur. J. Nutr. 2014, 53, 1051–1064. [Google Scholar] [CrossRef]
- Liszt, K.; Zwielehner, J.; Handschur, M.; Hippe, B.; Thaler, R.; Haslberger, A.G. Characterization of bacteria, Clostridia and bacteroides in Faeces of vegetarians using QPCR and PCR-DGGE fingerprinting. Ann. Nutr. Metab. 2009, 54, 253–257. [Google Scholar] [CrossRef] [PubMed]
- Tomova, A.; Bukovsky, I.; Rembert, E.; Yonas, W.; Alwarith, J.; Barnard, N.D. The effects of vegetarian and vegan diets on gut microbiota. Front. Nutr. 2019, 6, 47. [Google Scholar] [CrossRef] [PubMed] [Green Version]
- Sun, H.; Chen, Y.; Cheng, M.; Zhang, X.; Zheng, X.; Zhang, Z. The modulatory effect of polyphenols from green tea, oolong tea and black tea on human intestinal microbiota in vitro. J. Food Sci. Technol. 2018, 55, 399–407. [Google Scholar] [CrossRef] [PubMed]


| Method | Objective | Primers | Primer Length | Ref |
|---|---|---|---|---|
| T-RFLP | 16S rRNA genes | FAM-ENV-1 | (5′-AGA GTT TGA TII TGG CTC AG-3′) | [20] |
| ENV-2 | (5′-CGG ITA CCT TGT TAC GAC TT-3′) | |||
| NGS | 16S rRNA genes (V3-V4) | 341F | (5′-TCG TCG GCA GCG TCA GAT GTG TAT AAG AGA CAG CCT ACG GGN GGC WGC AG-3′) | [21] |
| 805R | (5′-GTC TCG TGG GCT CGG AGA TGT GTA TAA GAG ACA GGA CTA CHV GGG TAT CTA ATC C-3′) | |||
| q-PCR | Genus Lactobacillus | Lact-F | (5′-AGC AGT AGG GAA TCT TCC A-3′) | [17] |
| Lact-R | (5′-CAC CGC TAC ACA TGG AG-3′) |
| Volume | Time | pH | Log10 CFU/mL | ||||
|---|---|---|---|---|---|---|---|
| Enterobacteriaceae | Lactobacilli | ||||||
| Median | IQR | Median | IQR | Median | IQR | ||
| 1 L (n = 6) | 0 h | 6.36 a | 6.31–6.40 | 2.9 a | 2.7–3.3 | <1 a | <1–<1 |
| 48 h | 4.03 b | 3.96–4.05 | <1 b | <1–<1 | 12.1 b | 12.1–12.2 | |
| 7 d | 3.86 b | 3.83–3.96 | <1 b | <1–<1 | 12.2 b | 12.1–12.2 | |
| 14 d | 3.98 b | 3.95–4.03 | <1 b | <1–<1 | 11.9 b | 11.8–12.1 | |
| 0.5 L (n = 6) | 0 h | 6.41 a | 6.37–6.41 | 3.1 a | 2.7–3.2 | <1 a | <1–<1 |
| 48 h | 4.04 b | 3.98–4.05 | <1 b | <1–<1 | 12.2 b | 12.1–12.3 | |
| 7 d | 3.88 b | 3.80–3.92 | <1 b | <1–<1 | 12.3 b | 12.1–12.5 | |
| 14 d | 3.91 b | 3.86–3.96 | <1 b | <1–<1 | 12.1 b | 12.1–12.1 | |
| Diversity Index (DI) | Saliva | Faeces | ||||||
|---|---|---|---|---|---|---|---|---|
| Start | End | Start | End | |||||
| Median | IQR | Median | IQR | Median | IQR | Media | IQR | |
| Shannon | 2.37 | 2.10–2.55 | 2.31 | 1.91–2.71 | 2.63 | 1.46–3.03 | 2.67 | 2.47–2.95 |
| Simpson | 0.84 | 0.79–0.87 | 0.82 | 0.70–0.88 | 0.88 | 0.67–0.92 | 0.88 | 0.84–0.92 |
| Bacterial Phyla Relative Abundance | |||||
|---|---|---|---|---|---|
| Start (%) | End (%) | p (Start–End) | |||
| Median | IQR | Median | IQR | ||
| Saliva | |||||
| Firmicutes | 31.8 | 24.7–39.8 | 28.8 | 22.6–45.4 | 0.664 |
| Bacteroidetes | 33.0 | 23.2–38.7 | 32.7 | 26.0–39.0 | 0.908 |
| Fusobacteria | 9.0 | 6.6–13.4 | 8.2 | 6.5–10.8 | 0.707 |
| Actinobacteria | 0.6 | 0.3–1.2 | 0.6 | 0.3–0.9 | 0.583 |
| Proteobacteria | 17.8 | 17.8–28.0 | 21.3 | 15.5–32.6 | 0.506 |
| Faeces | |||||
| Firmicutes | 49.5 | 40.6–56.4 | 51.6 | 40.0–58.0 | 0.883 |
| Bacteroidetes | 45.2 | 33.5–51.3 | 41.6 | 38.0–54.3 | 0.758 |
| Actinobacteria | 0.14 | 0.08–0.3 | 0.13 | 0.07–0.2 | 0.639 |
| Proteobacteria | 1.0 | 0.6–2.0 | 1.1 | 0.5–2.0 | 0.925 |
| Verrucomicrobia | 0.1 | 0.0–2.1 | 0.3 | 0.0–2.6 | 0.740 |
| Saliva | Start (%) | End (%) | p (Start–End) | |||
|---|---|---|---|---|---|---|
| Family | Median | IQR | Median | IQR | ||
| Campylobacteraceae | 1.49 | 0.81–2.64 | 1.18 | 0.70–2.18 | 0.418 | |
| Carnobacteriaceae | 0.78 | 0.49–1.32 | 0.86 | 0.60–1.16 | 0.840 | |
| Flavobacteriaceae | 0.93 | 0.48–2.34 | 1.20 | 0.50–2.97 | 0.931 | |
| Fusobacteriaceae | 5.04 | 2.52–7.39 | 4.87 | 3.18–6.41 | 0.644 | |
| Gemellaceae | 0.54 | 0.31–0.75 | 0.63 | 0.33–0.96 | 0.525 | |
| Lachnospiraceae | 1.88 | 1.36–3.39 | 1.42 | 0.92–2.17 | 0.065 | |
| Lactobacillaceae | 0.00 | 0.00–0.00 | 0.02 | 0.00–0.09 | 0.003 | |
| Leptotrichiaceae | 3.62 | 2.13–5.94 | 3.46 | 2.25–5.53 | 0.863 | |
| Neisseriaceae | 7.67 | 2.91–13.8 | 6.64 | 4.52–11.2 | 0.954 | |
| Pasteurellaceae | 8.60 | 6.06–11.9 | 10.85 | 8.07–17.0 | 0.212 | |
| Peptostreptococcaceae | 0.53 | 0.09–0.92 | 0.24 | 0.14–0.63 | 0.726 | |
| Porphyromonadaceae | 7.25 | 2.53–9.02 | 6.62 | 3.83–9.91 | 1.00 | |
| Prevotellaceae | 18.5 | 12.8–25.8 | 20.10 | 10.5–26.7 | 0.885 | |
| Streptococcaceae | 6.97 | 4.85–9.68 | 5.19 | 4.27–11.67 | 0.931 | |
| Veillonellaceae | 17.9 | 14.4–26.4 | 17.84 | 15.4–23.3 | 0.954 | |
| Genus | ||||||
| Aggregatibacter | 0.57 | 0.30–0.79 | 0.59 | 0.23–0.92 | 0.804 | |
| Campylobacter | 1.49 | 0.81–2.64 | 1.18 | 0.70–2.18 | 0.418 | |
| Capnocytophaga | 0.93 | 0.48–2.34 | 1.20 | 0.50–2.97 | 0.931 | |
| Fusobacterium | 5.04 | 2.5–7.39 | 4.87 | 3.18–6.40 | 0.644 | |
| Granulicatella | 0.78 | 0.49–1.32 | 0.86 | 0.60–1.16 | 0.84 | |
| Haemophilus | 7.23 | 5.59–10.0 | 9.12 | 5.17–14.5 | 0.297 | |
| Leptotrichia | 2.64 | 1.95–4.86 | 2.95 | 1.57–5.33 | 0.954 | |
| Megasphaera | 1.12 | 0.35–2.19 | 0.49 | 0.22–1.38 | 0.181 | |
| Neisseria | 6.78 | 2.50–13.2 | 5.63 | 3.98–10.7 | 1.00 | |
| Oribacterium | 0.93 | 0.67–2.06 | 0.72 | 0.42–0.94 | 0.061 | |
| Porphyromonas | 6.60 | 2.28–8.73 | 6.07 | 3.43–9.56 | 0.954 | |
| Prevotella | 18.48 | 12.8–25.8 | 20.1 | 10.5–26.7 | 0.885 | |
| Selenomonas | 0.56 | 0.34–1.48 | 0.50 | 0.32–1.11 | 0.544 | |
| Streptococcus | 6.97 | 4.85–9.68 | 5.19 | 4.27–11.7 | 0.931 | |
| Veillonella | 14.09 | 12.4–21.6 | 16.7 | 13.4–19.9 | 0.954 | |
| Faecal | Start (%) | End (%) | p (Start–End) | |||
|---|---|---|---|---|---|---|
| Family | Median | IQR | Median | IQR | ||
| Bacteroidaceae | 18.75 | 14.2–30.8 | 21.0 | 15.3–36.1 | 0.494 | |
| Lachnospiraceae | 12.52 | 10.3–16.8 | 11.8 | 5.8–18.8 | 0.529 | |
| Lactobacillaceae | 0.00 | 0.00–0.00 | 0.04 | 0.01–0.12 | 0.000 | |
| Porphyromonadaceae | 1.88 | 0.90–3.24 | 2.98 | 1.65–4.71 | 0.221 | |
| Rikenellaceae | 7.20 | 3.73–9.65 | 6.72 | 4.13–11.3 | 0.883 | |
| Ruminococcaceae | 23.7 | 16.01–30.2 | 23.9 | 14.5–27.2 | 0.820 | |
| Veillonellaceae | 5.58 | 4.57–14.5 | 6.91 | 3.90–14.9 | 0.678 | |
| Genus | ||||||
| Bacteroides | 18.75 | 14.6–30.8 | 21.0 | 15.3–36.1 | 0.494 | |
| Coprococcus | 0.83 | 0.22–2.13 | 0.51 | 0.18–2.09 | 0.494 | |
| Dialister | 4.45 | 2.29–4.45 | 5.42 | 1.89–13.6 | 0.639 | |
| Dorea | 0.50 | 0.20–0.90 | 0.30 | 0.16–1.26 | 0.904 | |
| Faecalibacterium | 8.84 | 2.76–12.9 | 13.3 | 5.42–17.8 | 0.239 | |
| Oscillospira | 2.57 | 1.88–5.03 | 1.68 | 1.32–2.73 | 0.096 | |
| Parabacteroides | 1.87 | 0.87–3.24 | 2.98 | 1.65–4.71 | 0.201 | |
| Roseburia | 2.56 | 1.17–4.61 | 3.06 | 1.27–5.17 | 0.639 | |
| Ruminococcus | 1.34 | 0.57–3.77 | 0.89 | 0.59–1.40 | 0.221 | |
| Saliva | Faeces | |||||
|---|---|---|---|---|---|---|
| Log1016S rRNA Copies/mL | Log1016S rRNA Copies/g | |||||
| Median | IQR (25–75%) | p (Start–End) | Median | IQR (25–75%) | p (Start–End) | |
| Start | 7.87 | 0.00–9.20 * | 0.548 | 8.28 | 8.05–9.46 | 0.014 |
| End | 8.54 | 6.73–9.28 | 9.71 | 9.18–10.4 | ||
Publisher’s Note: MDPI stays neutral with regard to jurisdictional claims in published maps and institutional affiliations. |
© 2021 by the authors. Licensee MDPI, Basel, Switzerland. This article is an open access article distributed under the terms and conditions of the Creative Commons Attribution (CC BY) license (https://creativecommons.org/licenses/by/4.0/).
Share and Cite
Canaviri-Paz, P.; Oscarsson, E.; Kjellström, A.; Olsson, H.; Jois, C.; Håkansson, Å. Effects on Microbiota Composition after Consumption of Quinoa Beverage Fermented by a Novel Xylose-Metabolizing L. plantarum Strain. Nutrients 2021, 13, 3318. https://doi.org/10.3390/nu13103318
Canaviri-Paz P, Oscarsson E, Kjellström A, Olsson H, Jois C, Håkansson Å. Effects on Microbiota Composition after Consumption of Quinoa Beverage Fermented by a Novel Xylose-Metabolizing L. plantarum Strain. Nutrients. 2021; 13(10):3318. https://doi.org/10.3390/nu13103318
Chicago/Turabian StyleCanaviri-Paz, Pamela, Elin Oscarsson, Anna Kjellström, Hanna Olsson, Chandana Jois, and Åsa Håkansson. 2021. "Effects on Microbiota Composition after Consumption of Quinoa Beverage Fermented by a Novel Xylose-Metabolizing L. plantarum Strain" Nutrients 13, no. 10: 3318. https://doi.org/10.3390/nu13103318
APA StyleCanaviri-Paz, P., Oscarsson, E., Kjellström, A., Olsson, H., Jois, C., & Håkansson, Å. (2021). Effects on Microbiota Composition after Consumption of Quinoa Beverage Fermented by a Novel Xylose-Metabolizing L. plantarum Strain. Nutrients, 13(10), 3318. https://doi.org/10.3390/nu13103318

