Omega-6:Omega-3 Fatty Acid Ratio and Total Fat Content of the Maternal Diet Alter Offspring Growth and Fat Deposition in the Rat
Abstract
1. Introduction
2. Materials and Methods
2.1. Animals
2.2. Diets
2.3. Tail Cuff Plethysmography
2.4. Blood Sample and Tissue Collection
2.5. Lipid Extraction
2.6. Determination of Circulating and Hepatic Lipids
2.7. Fatty Acid Methylation and Fatty Acid Analysis of Whole Blood and Liver Samples
2.8. Isolation of RNA and cDNA Synthesis and Reverse Transcription Quantitative Real-Time PCR (qRT-PCR)
2.9. Statistical Analysis
3. Results
3.1. Offspring Bodyweight, Body Composition and Blood Pressure
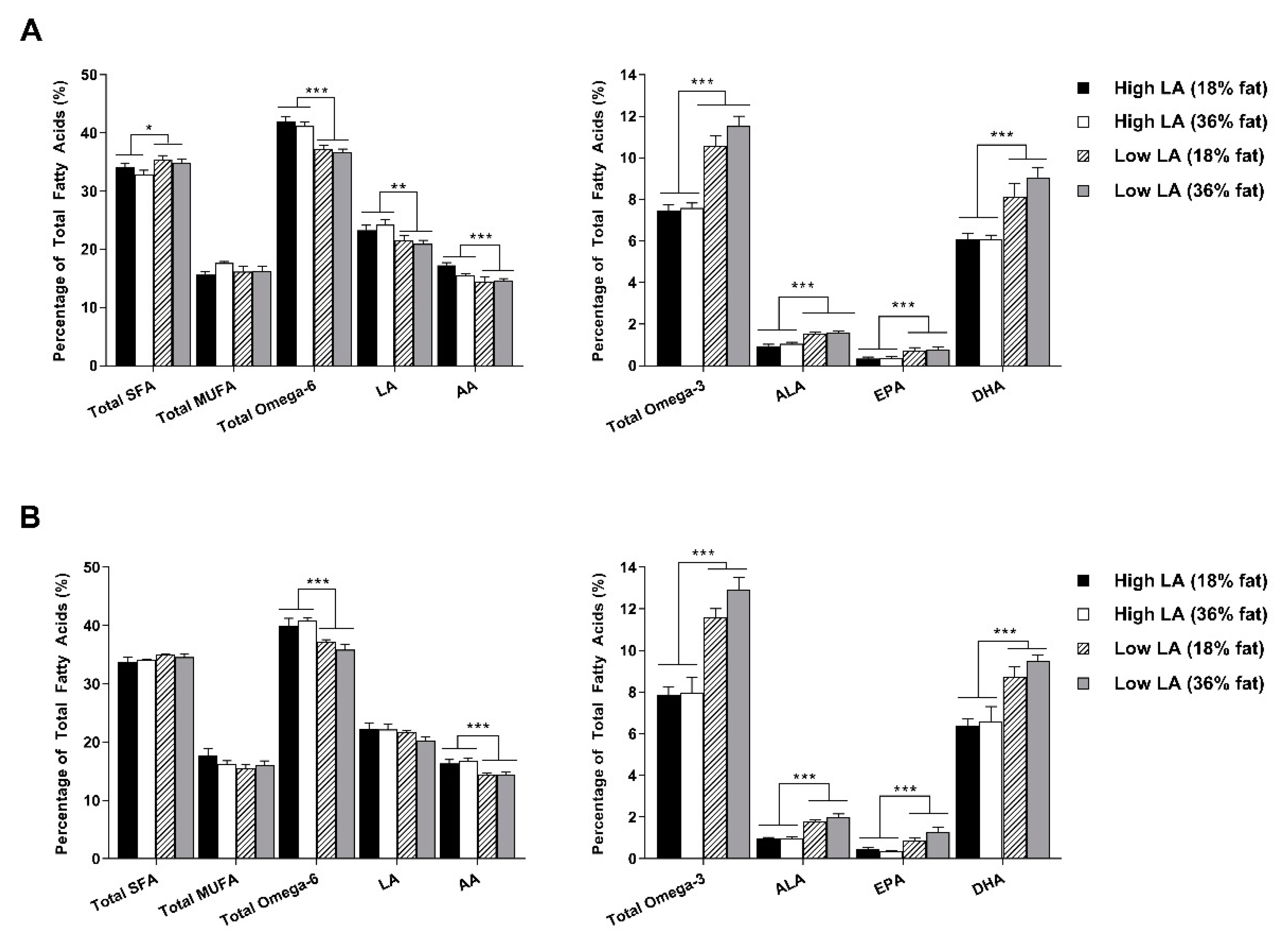
3.2. Offspring Whole Blood and Hepatic Fatty Acid Profile
3.3. Circulating and Hepatic Lipid Profile
3.4. Gene Expression
4. Discussion
Supplementary Materials
Author Contributions
Funding
Acknowledgments
Conflicts of Interest
References
- McMillen, I.C.; Robinson, J.S. Developmental origins of the metabolic syndrome: Prediction, plasticity, and programming. Physiol. Rev. 2005, 85, 571–633. [Google Scholar] [CrossRef]
- Blake-Lamb, T.L.; Locks, L.M.; Perkins, M.E.; Woo Baidal, J.A.; Cheng, E.R.; Taveras, E.M. Interventions for Childhood Obesity in the First 1,000 Days A Systematic Review. Am. J. Prev. Med. 2016, 50, 780–789. [Google Scholar] [CrossRef]
- Armitage, J.A.; Taylor, P.D.; Poston, L. Experimental models of developmental programming: Consequences of exposure to an energy rich diet during development. J. Physiol. 2005, 565, 3–8. [Google Scholar] [CrossRef]
- Hanson, M.A.; Gluckman, P.D. Early developmental conditioning of later health and disease: Physiology or pathophysiology? Physiol. Rev. 2014, 94, 1027–1076. [Google Scholar] [CrossRef]
- Wang, Y.; Min, J.; Khuri, J.; Li, M. A Systematic Examination of the Association between Parental and Child Obesity across Countries. Adv. Nutr. 2017, 8, 436–448. [Google Scholar] [CrossRef]
- Ailhaud, G.; Massiera, F.; Weill, P.; Legrand, P.; Alessandri, J.M.; Guesnet, P. Temporal changes in dietary fats: Role of n-6 polyunsaturated fatty acids in excessive adipose tissue development and relationship to obesity. Prog. Lipid. Res. 2006, 45, 203–236. [Google Scholar] [CrossRef]
- Blasbalg, T.L.; Hibbeln, J.R.; Ramsden, C.E.; Majchrzak, S.F.; Rawlings, R.R. Changes in consumption of omega-3 and omega-6 fatty acids in the United States during the 20th century. Am. J. Clin. Nutr. 2011, 93, 950–962. [Google Scholar] [CrossRef] [PubMed]
- Massiera, F.; Barbry, P.; Guesnet, P.; Joly, A.; Luquet, S.; Moreilhon-Brest, C.; Mohsen-Kanson, T.; Amri, E.Z.; Ailhaud, G. A Western-like fat diet is sufficient to induce a gradual enhancement in fat mass over generations. J. Lipid Res. 2010, 51, 2352–2361. [Google Scholar] [CrossRef] [PubMed]
- Massiera, F.; Saint-Marc, P.; Seydoux, J.; Murata, T.; Kobayashi, T.; Narumiya, S.; Guesnet, P.; Amri, E.Z.; Negrel, R.; Ailhaud, G. Arachidonic acid and prostacyclin signaling promote adipose tissue development: A human health concern? J. Lipid Res. 2003, 44, 271–279. [Google Scholar] [CrossRef] [PubMed]
- Ailhaud, G.; Guesnet, P. Fatty acid composition of fats is an early determinant of childhood obesity: A short review and an opinion. Obes. Rev. 2004, 5, 21–26. [Google Scholar] [CrossRef] [PubMed]
- Ruzickova, J.; Rossmeisl, M.; Prazak, T.; Flachs, P.; Sponarova, J.; Veck, M.; Tvrzicka, E.; Bryhn, M.; Kopecky, J. Omega-3 PUFA of marine origin limit diet-induced obesity in mice by reducing cellularity of adipose tissue. Lipids 2004, 39, 1177–1185. [Google Scholar] [CrossRef] [PubMed]
- Hill, A.M.; Buckley, J.D.; Murphy, K.J.; Howe, P.R. Combining fish-oil supplements with regular aerobic exercise improves body composition and cardiovascular disease risk factors. Am. J. Clin. Nutr. 2007, 85, 1267–1274. [Google Scholar] [CrossRef] [PubMed]
- Couet, C.; Delarue, J.; Ritz, P.; Antoine, J.M.; Lamisse, F. Effect of dietary fish oil on body fat mass and basal fat oxidation in healthy adults. Int. J. Obes. Relat. Metab. Disord. 1997, 21, 637–643. [Google Scholar] [CrossRef]
- Xu, J.; Nakamura, M.T.; Cho, H.P.; Clarke, S.D. Sterol regulatory element binding protein-1 expression is suppressed by dietary polyunsaturated fatty acids. A mechanism for the coordinate suppression of lipogenic genes by polyunsaturated fats. J. Biol. Chem. 1999, 274, 23577–23583. [Google Scholar] [CrossRef] [PubMed]
- Forman, B.M.; Chen, J.; Evans, R.M. Hypolipidemic drugs, polyunsaturated fatty acids, and eicosanoids are ligands for peroxisome proliferator-activated receptors alpha and delta. Proc. Natl. Acad. Sci. USA 1997, 94, 4312–4317. [Google Scholar] [CrossRef] [PubMed]
- Kliewer, S.A.; Sundseth, S.S.; Jones, S.A.; Brown, P.J.; Wisely, G.B.; Koble, C.S.; Devchand, P.; Wahli, W.; Willson, T.M.; Lenhard, J.M.; et al. Fatty acids and eicosanoids regulate gene expression through direct interactions with peroxisome proliferator-activated receptors alpha and gamma. Proc. Natl. Acad. Sci. USA 1997, 94, 4318–4323. [Google Scholar] [CrossRef] [PubMed]
- Ibrahim, A.; Basak, S.; Ehtesham, N.Z. Impact of maternal dietary fatty acid composition on glucose and lipid metabolism in male rat offspring aged 105 d. Br. J. Nutr. 2009, 102, 233–241. [Google Scholar] [CrossRef]
- Wyrwoll, C.S.; Mark, P.J.; Mori, T.A.; Puddey, I.B.; Waddell, B.J. Prevention of programmed hyperleptinemia and hypertension by postnatal dietary omega-3 fatty acids. Endocrinology 2006, 147, 599–606. [Google Scholar] [CrossRef]
- Muhlhausler, B.S.; Miljkovic, D.; Fong, L.; Xian, C.J.; Duthoit, E.; Gibson, R.A. Maternal Omega-3 Supplementation Increases Fat Mass in Male and Female Rat Offspring. Front. Genet. 2011, 2, 48. [Google Scholar] [CrossRef]
- Gibson, R.A.; Muhlhausler, B.; Makrides, M. Conversion of linoleic acid and alpha-linolenic acid to long-chain polyunsaturated fatty acids (LCPUFAs), with a focus on pregnancy, lactation and the first 2 years of life. Matern. Child. Nutr. 2011, 7 (Suppl. 2), 17–26. [Google Scholar] [CrossRef]
- Lands, W.E.M. Commentary on the Workshop Statement. Prostaglandins Leukot. Essent. Fatty Acids 2000, 63, 125–126. [Google Scholar] [CrossRef] [PubMed]
- Draycott, S.A.V.; Liu, G.; Daniel, Z.C.; Elmes, M.J.; Muhlhausler, B.S.; Langley-Evans, S.C. Maternal dietary ratio of linoleic acid to alpha-linolenic acid during pregnancy has sex-specific effects on placental and fetal weights in the rat. Nutr. Metab. 2019, 16, 1. [Google Scholar] [CrossRef] [PubMed]
- Feng, M.; Whitesall, S.; Zhang, Y.; Beibel, M.; D’Alecy, L.; DiPetrillo, K. Validation of volume-pressure recording tail-cuff blood pressure measurements. Am. J. Hypertens 2008, 21, 1288–1291. [Google Scholar] [CrossRef] [PubMed]
- Liu, G.; Muhlhausler, B.S.; Gibson, R.A. A method for long term stabilisation of long chain polyunsaturated fatty acids in dried blood spots and its clinical application. Prostaglandins Leukot. Essent Fatty Acids 2014, 91, 251–260. [Google Scholar] [CrossRef] [PubMed]
- Rhinn, H.; Scherman, D.; Escriou, V. One-step quantification of single-stranded DNA in the presence of RNA using Oligreen in a real-time polymerase chain reaction thermocycler. Anal. Biochem. 2008, 372, 116–118. [Google Scholar] [CrossRef]
- Draycott, S.A.V.; George, G.; Elmes, M.J.; Muhlhausler, B.S.; Langley-Evans, S.C. The effect of maternal dietary fat content and n-6:n-3 ratio on offspring growth and hepatic gene expression in the rat. Brit. J. Nutr. 2020, 123, 1227–1238. [Google Scholar] [CrossRef]
- Kanakri, K.; Carragher, J.; Muhlhausler, B.; Hughes, R.; Gibson, R. In ovo exposure to omega-3 fatty acids does not enhance omega-3 long-chain polyunsaturated fatty acid metabolism in broiler chickens. J. Dev. Orig. Health Dis. 2017, 8, 520–528. [Google Scholar] [CrossRef]
- Tu, W.C.; Muhlhausler, B.S.; Yelland, L.N.; Gibson, R.A. Correlations between blood and tissue omega-3 LCPUFA status following dietary ALA intervention in rats. Prostaglandins Leukot. Essent Fatty Acids 2013, 88, 53–60. [Google Scholar] [CrossRef]
- Taylor, P.D.; Khan, I.Y.; Lakasing, L.; Dekou, V.; O’Brien-Coker, I.; Mallet, A.I.; Hanson, M.A.; Poston, L. Uterine artery function in pregnant rats fed a diet supplemented with animal lard. Exp. Physiol. 2003, 88, 389–398. [Google Scholar] [CrossRef]
- Mark, P.J.; Sisala, C.; Connor, K.; Patel, R.; Lewis, J.L.; Vickers, M.H.; Waddell, B.J.; Sloboda, D.M. A maternal high-fat diet in rat pregnancy reduces growth of the fetus and the placental junctional zone, but not placental labyrinth zone growth. J. Dev. Orig. Health Dis. 2011, 2, 63–70. [Google Scholar] [CrossRef]
- Howie, G.J.; Sloboda, D.M.; Kamal, T.; Vickers, M.H. Maternal nutritional history predicts obesity in adult offspring independent of postnatal diet. J. Physiol. 2009, 587, 905–915. [Google Scholar] [CrossRef] [PubMed]
- Cerf, M.E.; Muller, C.J.; Du Toit, D.F.; Louw, J.; Wolfe-Coote, S.A. Hyperglycaemia and reduced glucokinase expression in weanling offspring from dams maintained on a high-fat diet. Br. J. Nutr. 2006, 95, 391–396. [Google Scholar] [CrossRef] [PubMed][Green Version]
- Ong, K.K.; Ahmed, M.L.; Emmett, P.M.; Preece, M.A.; Dunger, D.B. Association between postnatal catch-up growth and obesity in childhood: Prospective cohort study. BMJ 2000, 320, 967–971. [Google Scholar] [CrossRef] [PubMed]
- Morrison, J.L.; Duffield, J.A.; Muhlhausler, B.S.; Gentili, S.; McMillen, I.C. Fetal growth restriction, catch-up growth and the early origins of insulin resistance and visceral obesity. Pediatric Nephrol. 2010, 25, 669–677. [Google Scholar] [CrossRef]
- Page, K.C.; Malik, R.E.; Ripple, J.A.; Anday, E.K. Maternal and postweaning diet interaction alters hypothalamic gene expression and modulates response to a high-fat diet in male offspring. Am. J. Physiol. Regul. Integr. Comp. Physiol. 2009, 297, R1049–R1057. [Google Scholar] [CrossRef]
- Kirk, S.L.; Samuelsson, A.M.; Argenton, M.; Dhonye, H.; Kalamatianos, T.; Poston, L.; Taylor, P.D.; Coen, C.W. Maternal obesity induced by diet in rats permanently influences central processes regulating food intake in offspring. PLoS ONE 2009, 4, e5870. [Google Scholar] [CrossRef]
- Khan, I.Y.; Taylor, P.D.; Dekou, V.; Seed, P.T.; Lakasing, L.; Graham, D.; Dominiczak, A.F.; Hanson, M.A.; Poston, L. Gender-Linked Hypertension in Offspring of Lard-Fed Pregnant Rats. Hypertension 2002, 41, 168–175. [Google Scholar] [CrossRef]
- Samuelsson, A.M.; Matthews, P.A.; Argenton, M.; Christie, M.R.; McConnell, J.M.; Jansen, E.H.; Piersma, A.H.; Ozanne, S.E.; Twinn, D.F.; Remacle, C.; et al. Diet-induced obesity in female mice leads to offspring hyperphagia, adiposity, hypertension, and insulin resistance: A novel murine model of developmental programming. Hypertension 2008, 51, 383–392. [Google Scholar] [CrossRef]
- Guberman, C.; Jellyman, J.K.; Han, G.; Ross, M.G.; Desai, M. Maternal high-fat diet programs rat offspring hypertension and activates the adipose renin-angiotensin system. Am. J. Obstet. Gynecol. 2013, 209, 262.e1–262.e8. [Google Scholar] [CrossRef]
- Langley-Evans, S.C.; Clamp, A.G.; Grimble, R.F.; Jackson, A.A. Influence of dietary fats upon systolic blood pressure in the rat. Int. J. Food Sci. Nutr. 1996, 47, 417–425. [Google Scholar] [CrossRef]
- Langley-Evans, S.C. Critical differences between two low protein diet protocols in the programming of hypertension in the rat. Int. J. Food Sci. Nutr. 2000, 51, 11–17. [Google Scholar] [CrossRef] [PubMed]
- Langley-Evans, S.C. Intrauterine programming of hypertension in the rat: Nutrient interactions. Comp. Biochem. Physiol. Part A Physiol. 1996, 114, 327–333. [Google Scholar] [CrossRef]
- Muhlhausler, B.S.; Gibson, R.A.; Makrides, M. Effect of long-chain polyunsaturated fatty acid supplementation during pregnancy or lactation on infant and child body composition: A systematic review. Am. J. Clin. Nutr. 2010, 92, 857–863. [Google Scholar] [CrossRef] [PubMed]
- Muhlhausler, B.S.; Gibson, R.A.; Makrides, M. The effect of maternal omega-3 long-chain polyunsaturated fatty acid (n-3 LCPUFA) supplementation during pregnancy and/or lactation on body fat mass in the offspring: A systematic review of animal studies. Prostaglandins Leukot. Essent Fatty Acids 2011, 85, 83–88. [Google Scholar] [CrossRef] [PubMed]
- Vithayathil, M.A.; Gugusheff, J.R.; Ong, Z.Y.; Langley-Evans, S.C.; Gibson, R.A.; Muhlhausler, B.S. Exposure to maternal cafeteria diets during the suckling period has greater effects on fat deposition and Sterol Regulatory Element Binding Protein-1c (SREBP-1c) gene expression in rodent offspring compared to exposure before birth. Nutr. Metab. 2018, 15, 17. [Google Scholar] [CrossRef]
- Pichon, L.; Huneau, J.F.; Fromentin, G.; Tome, D. A high-protein, high-fat, carbohydrate-free diet reduces energy intake, hepatic lipogenesis, and adiposity in rats. J. Nutr. 2006, 136, 1256–1260. [Google Scholar] [CrossRef]
- Ferramosca, A.; Conte, A.; Damiano, F.; Siculella, L.; Zara, V. Differential effects of high-carbohydrate and high-fat diets on hepatic lipogenesis in rats. Eur. J. Nutr. 2014, 53, 1103–1114. [Google Scholar] [CrossRef]
- Duarte, J.A.; Carvalho, F.; Pearson, M.; Horton, J.D.; Browning, J.D.; Jones, J.G.; Burgess, S.C. A high-fat diet suppresses de novo lipogenesis and desaturation but not elongation and triglyceride synthesis in mice. J. Lipid Res. 2014, 55, 2541–2553. [Google Scholar] [CrossRef]
- Reynés, B.; García-Ruiz, E.; Díaz-Rúa, R.; Palou, A.; Oliver, P. Reversion to a control balanced diet is able to restore body weight and to recover altered metabolic parameters in adult rats long-term fed on a cafeteria diet. Food Res. Int. 2014, 64, 839–848. [Google Scholar] [CrossRef]
- Dentin, R.; Benhamed, F.; Pégorier, J.P.; Foufelle, F.; Viollet, B.; Vaulont, S.; Girard, J.; Postic, C. Polyunsaturated fatty acids suppress glycolytic and lipogenic genes through the inhibition of ChREBP nuclear protein translocation. J. Clin. Investig. 2005, 115, 2843–2854. [Google Scholar] [CrossRef]
- Erhuma, A.; Salter, A.M.; Sculley, D.V.; Langley-Evans, S.C.; Bennett, A.J. Prenatal exposure to a low-protein diet programs disordered regulation of lipid metabolism in the aging rat. Am. J. Physiol. Endocrinol Metab. 2007, 292, E1702–E1714. [Google Scholar] [CrossRef] [PubMed]
- Erhuma, A.; Bellinger, L.; Langley-Evans, S.C.; Bennett, A.J. Prenatal exposure to undernutrition and programming of responses to high-fat feeding in the rat. Brit. J. Nutr. 2007, 98, 517–524. [Google Scholar] [CrossRef] [PubMed]
- Meyer, D.M.; Brei, C.; Stecher, L.; Much, D.; Brunner, S.; Hauner, H. Associations between long-chain PUFAs in maternal blood, cord blood, and breast milk and offspring body composition up to 5 years: Follow-up from the INFAT study. Eur. J. Clin. Nutr. 2019, 73, 458–464. [Google Scholar] [CrossRef] [PubMed]




| Experimental Group | Male | Female | ||||||
|---|---|---|---|---|---|---|---|---|
| High LA (18% Fat) | High LA (36% Fat) | Low LA (18% Fat) | Low LA (36% Fat) | High LA (18% Fat) | High LA (36% Fat) | Low LA (18% Fat) | Low LA (36% Fat) | |
| 4 Week Offspring | ||||||||
| Heart (% BW) | 0.49 ± 0.02 | 0.53 ± 0.02 | 0.50 ± 0.02 | 0.51 ± 0.02 | 0.52 ± 0.003 a | 0.55 ± 0.002 b | 0.51 ± 0.02 a | 0.53 ± 0.01 b |
| Lungs (% BW) | 1.05 ± 0.07 | 1.07 ± 0.10 | 1.02 ± 0.07 | 1.29 ± 0.06 | 1.39 ± 0.09 | 1.28 ± 0.12 | 1.20 ± 0.11 | 1.19 ± 0.08 |
| Kidney (%BW) | 1.08 ± 0.03 | 1.12 ± 0.03 | 1.10 ± 0.02 | 1.06 ± 0.01 | 1.02 ± 0.10 | 1.11 ± 0.02 | 1.13 ± 0.04 | 1.05± 0.02 |
| Liver (% BW) | 5.05 ± 0.15 | 4.92 ± 0.13 | 5.05 ± 0.12 | 4.71 ± 0.10 | 4.98 ± 0.07 a | 4.73 ± 0.08 b | 4.76 ± 0.16 a | 4.60 ± 0.11 b |
| Gonadal fat (%BW) * | 0.49 ± 0.03 | 0.52 ± 0.04 | 0.56 ± 0.03 | 0.39 ± 0.03 | 0.64 ± 0.09 | 0.66 ± 0.05 | 0.79 ± 0.05 | 0.54 ± 0.04 |
| Retroperitoneal fat (%BW) | 0.57 ± 0.06 | 0.52 ± 0.04 | 0.52 ± 0.07 | 0.47 ± 0.05 | 0.42 ± 0.06 | 0.37 ± 0.03 | 0.42 ± 0.03 | 0.34 ± 0.03 |
| Systolic BP (mmHg) | 86.2 ± 4.0 | 92.6 ± 4.6 | 89.0 ± 5.9 | 91.9 ± 3.8 | 85.8 ± 7.2 | 87.4 ± 3.3 | 91.8 ± 4.1 | 91.3 ± 5.2 |
| Diastolic BP (mmHg) | 65.5 ± 3.6 | 68.2 ± 3.7 | 65.4 ± 4.6 | 68.3 ± 3.3 | 61.9 ± 7.1 | 61.1 ± 2.1 | 68.9 ± 4.1 | 64.5 ± 2.2 |
| 8 Week Offspring | ||||||||
| Brain (%BW) | 0.56 ± 0.02 | 0.57 ± 0.02 | 0.55 ± 0.02 | 0.57 ± 0.01 | 0.80 ± 0.01 | 0.84 ± 0.02 | 0.79 ± 0.01 | 0.79 ± 0.03 |
| Heart (% BW) | 0.34 ± 0.01 | 0.37 ± 0.01 | 0.36 ± 0.01 | 0.38 ± 0.01 | 0.39 ± 0.01 | 0.40 ± 0.01 | 0.39 ± 0.02 | 0.40 ± 0.01 |
| Lungs (% BW) | 0.61 ± 0.06 | 0.62 ± 0.05 | 0.61 ± 0.05 | 0.63 ± 0.04 | 0.66 ± 0.04 | 0.68 ± 0.04 | 0.60 ± 0.02 | 0.68 ± 0.05 |
| Kidney (%BW) | 0.83 ± 0.04 | 0.83 ± 0.02 | 0.84 ± 0.02 | 0.88 ± 0.03 | 0.88 ± 0.03 | 0.87 ± 0.03 | 0.85 ± 0.03 | 0.81 ± 0.02 |
| Liver (% BW) | 4.80 ± 0.08 | 5.00 ± 0.14 | 4.96 ± 0.09 | 5.00 ± 0.08 | 4.49 ± 0.16 | 4.63 ± 0.08 | 4.43 ± 0.10 | 4.56 ± 0.08 |
| Gonadal fat (%BW) | 1.30 ± 0.10 | 1.25 ± 0.08 | 1.34 ± 0.08 | 1.19 ± 0.09 | 1.38 ± 0.15 | 1.56 ± 0.07 | 1.53 ± 0.19 | 1.57 ± 0.23 |
| Retroperitoneal fat (%BW) | 1.22 ± 0.09 | 1.29 ± 0.11 | 1.32 ± 0.11 | 1.16 ± 0.10 | 0.88 ± 0.10 | 0.94 ± 0.11 | 0.94 ± 0.09 | 0.86 ± 0.08 |
| Systolic BP (mmHg) | 116.0 ± 5.0 | 109.1 ± 5.2 | 113.4 ± 3.4 | 105.8 ± 6.6 | 122.7 ± 10.1 a | 103.2 ± 3.0 b | 120.4 ± 8.2 a | 107.4 ± 5.9 b |
| Diastolic BP (mmHg) | 82.9 ± 0.2 | 73.5 ± 5.3 | 80.3 ± 3.3 | 74.4 ± 5.7 | 82.3 ± 5.1 | 71.8 ± 2.3 | 86.0 ± 7.1 | 74.5 ± 6.3 |
| Experimental Group | Male | Female | ||||||
|---|---|---|---|---|---|---|---|---|
| High LA (18% Fat) | High LA (36% Fat) | Low LA (18% Fat) | Low LA (36% Fat) | High LA (18% Fat) | High LA (36% Fat) | Low LA (18% Fat) | Low LA (36% Fat) | |
| 4 Week Offspring | ||||||||
| Plasma cholesterol (mmol/L) | 2.93 ± 0.13 | 3.08 ± 0.10 | 3.08 ± 0.13 | 2.90 ± 0.15 | 2.83 ± 0.09 | 2.90 ± 0.18 | 2.80 ± 0.14 | 2.55 ± 0.10 |
| Plasma TAG (mmol/L) | 0.89 ± 0.07 a | 0.74 ± 0.03 b | 1.03 ± 0.12 a | 0.75 ± 0.06 b | 0.72 ± 0.06 | 0.76 ± 0.05 | 0.83 ± 0.09 | 0.80 ± 0.09 |
| Liver lipid (mg/g tissue) | 30.59 ± 4.37 | 33.60 ± 3.51 | 28.55 ± 6.07 | 33.53 ± 1.28 | 34.33 ±7.35 | 36.61 ± 3.25 | 26.03 ± 3.01 | 28.57 ± 4.00 |
| Liver cholesterol (mg/g tissue) | 1.93 ± 0.20 a | 1.46 ± 0.12 b | 1.78 ± 0.15 a | 1.63 ± 0.11 b | 1.63 ± 0.18 | 1.58 ± 0.12 | 1.56 ± 0.15 | 1.55 ± 0.09 |
| Liver TAG (mg/g tissue) | 18.01 ± 1.71 | 16.40 ± 1.54 | 16.01 ± 2.64 | 13.23 ± 1.90 | 17.05 ± 2.42 a | 15.75 ± 1.37 a | 13.99 ± 1.03 b | 11.56 ± 0.85 b |
| Liver Fads1 # | 0.99 ± 0.15 | 1.31 ± 0.21 | 0.88 ± 0.07 | 0.97 ± 0.20 | 1.09 ± 0.06 | 1.48 ± 0.21 | 1.02 ± 0.10 | 0.82 ± 0.08 |
| Liver Fads2 # | 1.08 ± 0.13 | 1.42 ± 0.18 | 1.27 ± 0.19 | 1.16 ± 0.16 | 1.19 ± 0.06 | 1.54 ± 0.16 | 1.33 ± 0.19 | 0.95 ± 0.06 |
| 8 Week Offspring | ||||||||
| Plasma cholesterol (mmol/L) * | 2.39 ± 0.14 | 3.47 ± 0.33 | 2.87 ± 0.14 | 2.97 ± 0.15 | 2.30 ± 0.30 | 2.72 ± 0.21 | 2.72 ± 0.17 | 2.64 ± 0.15 |
| Plasma TAG (mmol/L) | 1.57 ± 0.18 | 1.48 ± 0.17 | 1.42 ± 0.09 | 1.51 ± 0.11 | 1.10 ± 0.16 | 0.92 ± 0.06 | 1.11 ± 0.13 | 1.03 ± 0.11 |
| Liver lipid (mg/g tissue) | 37.56 ± 3.69 | 36.18 ± 6.82 | 28.22 ± 10.63 | 26.27 ± 3.47 | 26.81 ± 2.27 | 32.73 ± 6.80 | 30.99 ± 5.70 | 37.27 ± 7.01 |
| Liver cholesterol (mg/g tissue) | 1.20 ± 0.06 | 1.06 ± 0.12 | 1.11 ± 0.12 | 0.97 ± 0.10 | 0.87 ± 0.13 | 1.16 ± 1.38 | 0.89 ± 0.17 | 0.94 ± 0.12 |
| Liver TAG (mg/g tissue) * | 19.87 ± 1.80 | 9.81 ± 1.13 | 13.68 ± 1.99 | 12.50 ± 1.87 | 14.53 ± 1.29 | 12.15 ± 2.53 | 11.72 ± 0.89 | 8.91 ± 1.24 |
| Experimental Group | Male | Female | ||||||
|---|---|---|---|---|---|---|---|---|
| High LA (18% Fat) | High LA (36% Fat) | Low LA (18% Fat) | Low LA (36% Fat) | High LA (18% Fat) | High LA (36% Fat) | Low LA (18% Fat) | Low LA (36% Fat) | |
| 4 Week Offspring | ||||||||
| Liver | ||||||||
| Fasn | 0.91 ± 0.12 | 0.93 ± 0.15 | 1.49 ± 0.42 | 0.66 ± 0.08 | 0.97 ± 0.14 | 1.08 ± 0.10 | 1.12 ± 0.19 | 0.90 ± 0.08 |
| Lpl†,# | 0.12 ± 0.01 | 0.13 ± 0.01 | 0.10 ± 0.01 | 0.18 ± 0.02 | 0.15 ± 0.02 | 0.11 ± 0.01 | 0.10 ± 0.01 | 0.18 ± 0.03 |
| Pparg | 0.95 ± 0.18 | 0.91 ± 0.11 | 0.94 ± 0.17 | 0.91 ± 0.17 | 0.96 ± 0.22 | 0.78 ± 0.12 | 0.70 ± 0.10 | 0.75 ± 0.13 |
| Srebf1 | 0.82 ± 0.13 a | 0.64 ± 0.02 b | 0.89 ± 0.11 a | 0.52 ± 0.07 b | 0.86 ± 0.10 a | 0.65 ± 0.07 b | 0.79 ± 0.10 a | 0.40 ± 0.05 b |
| Gonadal Fat | ||||||||
| Fasn# | 3.23 ± 1.17 | 2.22 ± 0.52 | 2.36 ± 0.37 | 1.17 ± 0.06 | 0.85 ± 0.16 | 2.42 ± 0.46 | 3.08 ± 0.47 | 2.29 ± 0.59 |
| Lpl | 0.90 ± 0.05 | 0.94 ± 0.13 | 1.30 ± 0.33 | 0.80 ± 0.12 | 1.04 ± 0.30 | 0.88 ± 0.04 | 1.47 ± 0.27 | 1.07 ± 0.17 |
| Pparg | 0.84 ± 0.04 | 0.87 ± 0.08 | 0.95 ± 0.12 | 0.86 ± 0.03 | 0.68 ± 0.14 | 0.80 ± 0.12 | 0.81 ± 0.06 | 0.56 ± 0.09 |
| Srebf1 | 3.12 ± 0.65 | 3.05 ± 0.50 | 3.29 ± 0.51 | 2.21 ± 0.27 | 3.15 ± 0.64 a | 2.23 ± 0.18 b | 3.68 ± 0.63 a | 2.57 ± 0.45 b |
| Lep# | 0.90 ± 0.22 | 0.83 ± 0.08 | 1.01 ± 0.12 | 0.62 ± 0.12 | 0.38 ± 0.05 | 0.72 ± 0.12 | 1.32 ± 0.25 | 0.70 ± 0.14 |
| Retroperitoneal Fat | ||||||||
| Fasn | 5.19 ± 1.09 a | 2.35 ± 0.37 b | 3.01 ± 0.37 a | 2.19 ± 0.45 b | 1.86 ± 0.42 | 2.11 ± 0.47 | 2.13 ± 0.16 | 1.77 ± 0.57 |
| Lpl | 1.67 ± 0.16 a | 1.13 ± 0.17 b | 1.46 ± 0.11 a | 1.19 ± 0.18 b | 1.21 ± 0.14 a | 0.99 ± 0.11 b | 1.41 ± 0.13 a | 0.86 ± 0.04 b |
| Pparg# | 0.72 ± 0.03 | 0.95 ± 0.09 | 1.03 ± 0.20 | 1.15 ± 0.25 | 0.70 ± 0.07 | 1.01 ± 0.11 | 1.12 ± 0.22 | 0.71 ± 0.05 |
| Srebf1 | 2.71 ± 0.19 a | 1.89 ± 0.10 b | 2.47 ± 0.33 a | 1.74 ± 0.15 b | 2.93 ± 0.53 a | 2.27 ± 0.17 b | 2.61 ± 0.40 a | 1.77 ± 0.20 b |
| Lep# | 2.23 ± 0.39 a | 1.31 ± 0.10 b | 1.84 ± 0.15 a | 1.43 ± 0.20 b | 1.00 ± 0.08 | 1.03 ± 0.11 | 1.77 ± 0.13 | 0.95 ± 0.17 |
| Experimental Group | Male | Female | ||||||
|---|---|---|---|---|---|---|---|---|
| High LA (18% Fat) | High LA (36% Fat) | Low LA (18% Fat) | Low LA (36% Fat) | High LA (18% Fat) | High LA (36% Fat) | Low LA (18% Fat) | Low LA (36% Fat) | |
| Liver | ||||||||
| Fasn† | 1.40 ± 0.14 | 2.23 ± 0.5 | 2.20 ± 0.34 | 1.58 ± 0.13 | 1.75 ± 0.16 | 2.45 ± 0.45 | 1.59 ± 0.29 | 2.43 ± 0.40 |
| Lpl | 0.12 ± 0.01 | 0.13 ± 0.02 | 0.12 ± 0.01 | 0.12 ± 0.01 | 0.13 ± 0.01 | 0.12 ± 0.02 | 0.10 ± 0.01 | 0.13 ± 0.01 |
| Pparg | 2.57 ± 0.53 | 2.25 ± 0.30 | 2.03 ± 0.22 | 1.71 ± 0.07 | 1.43 ±0.43 | 1.16 ± 0.29 | 0.85 ±0.15 | 0.94 ± 0.15 |
| Srebf1 | 1.80 ± 0.21 a | 1.63 ± 0.12 b | 2.12 ± 0.25 a | 1.56 ± 0.07 b | 1.39 ± 0.21 | 1.27 ± 0.14 | 1.10 ± 0.18 | 1.20 ± 0.17 |
| Gonadal Fat | ||||||||
| Fasn | 2.24 ± 0.64 | 2.70 ± 0.53 | 2.83 ± 0.51 | 4.03 ± 0.88 | 1.22 ± 0.35 a | 2.54 ± 0.23 b | 2.06 ± 0.59 a | 4.36 ± 1.10 b |
| Lpl | 2.91 ± 0.31 | 3.55 ± 0.52 | 3.50 ± 0.63 | 3.12 ± 0.36 | 2.00 ± 0.38 | 3.65 ± 0.78 | 3.06 ± 0.43 | 3.27 ± 0.53 |
| Pparg | 1.02 ± 0.08 | 0.90 ± 0.11 | 0.82 ± 0.06 | 1.00 ± 0.09 | 0.92 ± 0.07 | 0.94 ± 0.12 | 0.89 ± 0.14 | 1.02 ± 0.11 |
| Srebf1 | 3.18 ± 0.46 | 2.98 ± 0.17 | 3.65 ± 0.47 | 3.33 ± 0.56 | 2.48 ± 0.27 | 2.97 ± 0.33 | 3.14 ± 0.55 | 3.81 ± 0.69 |
| Lep | 4.79 ± 0.76 a | 4.12 ± 0.52 b | 5.82 ± 0.83 a | 3.58 ± 0.44 b | 2.34 ± 0.53 | 2.99 ± 0.47 | 4.44 ± 0.87 | 3.31 ± 0.58 |
| Retroperitoneal Fat | ||||||||
| Fasn | 1.58 ± 0.34 | 1.85 ± 0.31 | 1.75 ± 0.17 | 2.25 ± 0.37 | 0.64 ± 0.11 a | 2.24 ± 0.43 b | 1.11 ± 0.36 a | 1.53 ± 0.26 b |
| Lpl | 2.05 ± 0.45 | 2.01 ± 0.32 | 2.01 ± 0.19 | 2.41 ± 0.42 | 1.30 ± 0.21 | 2.08 ± 0.28 | 1.68 ± 0.21 | 1.54 ± 0.18 |
| Pparg | 0.94 ± 0.17 | 0.92 ± 0.04 | 0.88 ± 0.05 | 1.00 ± 0.06 | 0.92 ± 0.14 | 1.07 ± 0.09 | 1.06 ± 0.13 | 1.01 ± 0.04 |
| Srebf1 | 1.58 ± 0.30 | 1.48 ± 0.23 | 1.64 ± 0.10 | 1.79 ± 0.24 | 1.06 ± 0.07 | 1.81 ± 0.24 | 1.30 ± 0.12 | 1.29 ± 0.21 |
| Lep | 2.98 ± 0.68 | 2.62 ± 0.49 | 2.85 ± 0.33 | 2.47 ± 0.47 | 1.49 ± 0.33 | 1.95 ± 0.21 | 1.72 ± 0.24 | 1.49 ± 0.17 |
© 2020 by the authors. Licensee MDPI, Basel, Switzerland. This article is an open access article distributed under the terms and conditions of the Creative Commons Attribution (CC BY) license (http://creativecommons.org/licenses/by/4.0/).
Share and Cite
Draycott, S.A.V.; Elmes, M.J.; Muhlhausler, B.S.; Langley-Evans, S. Omega-6:Omega-3 Fatty Acid Ratio and Total Fat Content of the Maternal Diet Alter Offspring Growth and Fat Deposition in the Rat. Nutrients 2020, 12, 2505. https://doi.org/10.3390/nu12092505
Draycott SAV, Elmes MJ, Muhlhausler BS, Langley-Evans S. Omega-6:Omega-3 Fatty Acid Ratio and Total Fat Content of the Maternal Diet Alter Offspring Growth and Fat Deposition in the Rat. Nutrients. 2020; 12(9):2505. https://doi.org/10.3390/nu12092505
Chicago/Turabian StyleDraycott, Sally A. V., Matthew J. Elmes, Beverly S. Muhlhausler, and Simon Langley-Evans. 2020. "Omega-6:Omega-3 Fatty Acid Ratio and Total Fat Content of the Maternal Diet Alter Offspring Growth and Fat Deposition in the Rat" Nutrients 12, no. 9: 2505. https://doi.org/10.3390/nu12092505
APA StyleDraycott, S. A. V., Elmes, M. J., Muhlhausler, B. S., & Langley-Evans, S. (2020). Omega-6:Omega-3 Fatty Acid Ratio and Total Fat Content of the Maternal Diet Alter Offspring Growth and Fat Deposition in the Rat. Nutrients, 12(9), 2505. https://doi.org/10.3390/nu12092505
