A Gluten-Free Meal Produces a Lower Postprandial Thermogenic Response Compared to an Iso-Energetic/Macronutrient Whole Food or Processed Food Meal in Young Women: A Single-Blind Randomized Cross-Over Trial
Abstract
1. Introduction
2. Materials and Methods
2.1. Participants
2.2. Experimental Design
Study Timeline
2.3. Grilled Cheese Test Meals
3. Laboratory Testing Procedures
3.1. Resting Metabolic Rate (RMR), Thermic Effect of a Meal (TEM)
3.2. Respiratory Exchange Ratio (RER) and Substrate Utilization
3.3. Feelings of Fullness, Satiety, Hunger, Desire to Eat, and Palatability (Taste)
3.4. Blood Glucose
3.5. Heart Rate and Blood Pressure
3.6. Statistical Data Analysis
4. Results
4.1. Participants and Compliance
4.2. Resting Metabolic Rate (RMR) and Thermic Effect of a Meal (TEM)
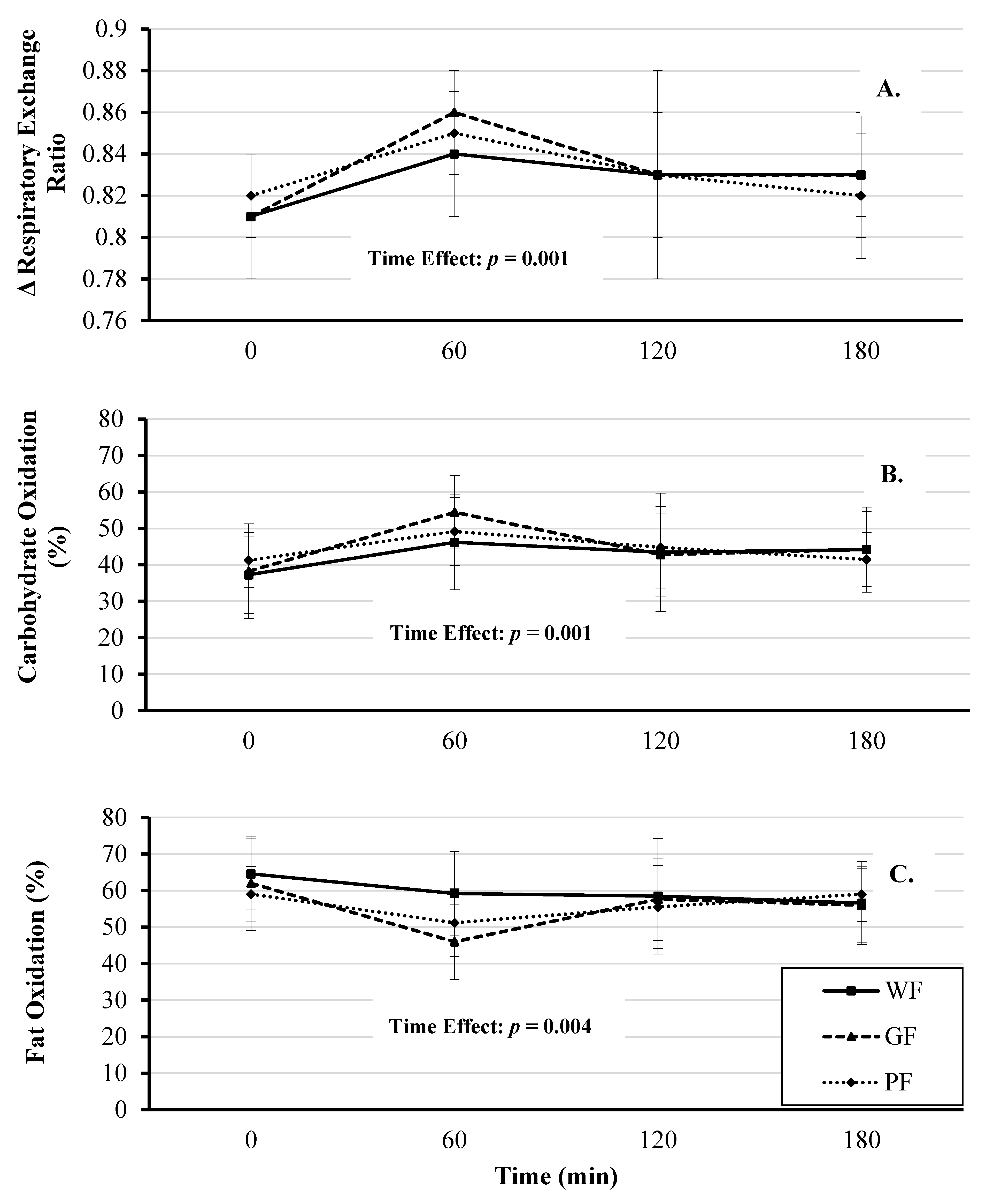
4.3. Respiratory Exchange Ratio (RER) and Substrate Utilization
4.4. Feelings of Fullness, Satiety, Hunger, Desire to Eat, and Palatability (Taste)
4.5. Blood Glucose Response
5. Discussion
5.1. Thermic Effect of a Meal (TEM)
5.2. Respiratory Exchange Ratio (RER) and Substrate Utilization
5.3. Feelings of Fullness, Satiety, Hunger, Desire to Eat, and Palatability (Taste)
5.4. Blood Glucose Response
5.5. Limitations
6. Conclusions
Supplementary Materials
Author Contributions
Funding
Acknowledgments
Conflicts of Interest
Abbreviations
| PF | processed food |
| WF | whole food |
| GF | gluten-free food |
| RMR | resting metabolic rate |
| TEM | thermic effect of a meal |
| BMI | body mass index |
| RER | respiratory exchange ratio |
| AUC | area under the curve |
| VAS | visual analog scale |
References
- Rauber, F.; Steele, E.M.; Louzada, M.; Millett, C.; Monteiro, C.A.; Levy, R.B. Ultra-processed food consumption and indicators of obesity in the United Kingdom population (2008–2016). PLoS ONE 2020, 15, e0232676. [Google Scholar] [CrossRef] [PubMed]
- Hall, K.D.; Ayuketah, A.; Brychta, R.; Cai, H.; Cassimatis, T.; Chen, K.Y.; Chung, S.T.; Costa, E.; Courville, A.; Darcey, V.; et al. Ultra-processed diets cause excess calorie intake and weight gain: An inpatient randomized controlled trial of ad libitum food intake. Cell Metab. 2019, 30, 226. [Google Scholar] [CrossRef] [PubMed]
- Monteiro, C.A.; Moubarac, J.C.; Levy, R.B.; Canella, D.S.; Louzada, M.; Cannon, G. Household availability of ultra-processed foods and obesity in nineteen European countries. Public Health Nutr. 2018, 21, 18–26. [Google Scholar] [CrossRef] [PubMed]
- Poti, J.M.; Braga, B.; Qin, B. Ultra-processed food intake and obesity: What really matters for health—Processing or nutrient content? Curr. Obes. Rep. 2017, 6, 420–431. [Google Scholar] [CrossRef]
- Monteiro, C.A.; Cannon, G.; Moubarac, J.C.; Levy, R.B.; Louzada, M.L.; Jaime, P.C. The UN decade of nutrition, the NOVA food classification and the trouble with ultra-processing. Public Health Nutr. 2017, 21, 5–17. [Google Scholar] [CrossRef]
- Nago, E.S.; Lachat, C.K.; Dossa, R.A.; Kolsteren, P.W. Association of out-of-home eating with anthropometric changes: A systematic review of prospective studies. Crit. Rev. Food Sci. Nutr. 2014, 54, 1103–1116. [Google Scholar] [CrossRef] [PubMed]
- Barr, S.B.; Wright, J.C. Postprandial energy expenditure in whole-food and processed-food meals: Implications for daily energy expenditure. Food Nutr. Res. 2010, 54. [Google Scholar] [CrossRef] [PubMed]
- Calcagno, M.; Kahleova, H.; Alwarith, J.; Burgess, N.N.; Flores, R.A.; Busta, M.L.; Barnard, N.D. The Thermic Effect of Food: A Review. J. Am. Coll. Nutr. 2019, 38, 547–551. [Google Scholar] [CrossRef]
- Kim, Y.; Keogh, J.B.; Clifton, P.M. Differential effects of red meat/refined grain diet and dairy/chicken/nuts/whole grain diet on glucose, insulin and triglyceride in a randomized crossover study. Nutrients 2016, 8, 687. [Google Scholar] [CrossRef]
- Melini, V.; Melini, F. Gluten-free diet: Gaps and needs for a healthier diet. Nutrients 2019, 11, 170. [Google Scholar] [CrossRef]
- Kim, H.S.; Demyen, M.F.; Mathew, J.; Kothari, N.; Feurdean, M.; Ahlawat, S.K. Obesity, metabolic Syndrome, and cardiovascular risk in gluten-free followers without celiac disease in the United States: Results from the National Health and Nutrition Examination Survey 2009–2014. Dig. Dis. Sci. 2017, 62, 2440–2448. [Google Scholar] [CrossRef]
- Araya, M.; Bascuñán, K.A.; Alarcón-Sajarópulos, D.; Cabrera-Chávez, F.; Oyarzún, A.; Fernández, A.; Ontiveros, N. Living with Gluten and Other Food Intolerances: Self-Reported Diagnoses and Management. Nutrients 2020, 12, 1892. [Google Scholar] [CrossRef] [PubMed]
- Bascuñán, K.A.; Roncoroni, L.; Branchi, F.; Doneda, L.; Scricciolo, A.; Ferretti, F.; Araya, M.; Elli, L. The 5 Ws of a gluten challenge for gluten-related disorders. Nutr. Rev. 2018, 76, 79–87. [Google Scholar] [CrossRef]
- El Khoury, D.; Balfour-Ducharme, S.; Joye, I.J. A review on the gluten-free diet: Technological and nutritional challenges. Nutrients 2018, 10, 1410. [Google Scholar] [CrossRef] [PubMed]
- Vici, G.; Belli, L.; Biondi, M.; Polzonetti, V. Gluten free diet and nutrient deficiencies: A review. Clin. Nutr. 2016, 35, 1236–1241. [Google Scholar] [CrossRef] [PubMed]
- Levran, N.; Wilschanski, M.; Livovsky, J.; Shachar, E.; Moskovitz, M.; Assaf-Jabrin, L.; Shteyer, E. Obesogenic habits among children and their families in response to initiation of gluten-free diet. Eur. J. Pediatr. 2018, 177, 859–866. [Google Scholar] [CrossRef]
- Kabbani, T.A.; Goldberg, A.; Kelly, C.P.; Pallav, K.; Tariq, S.; Peer, A.; Hansen, J.; Dennis, M.; Leffler, D.A. Body mass index and the risk of obesity in coeliac disease treated with the gluten-free diet. Aliment. Pharmacol. Ther. 2012, 35, 723–729. [Google Scholar] [CrossRef]
- Ehteshami, M.; Shakerhosseini, R.; Sedaghat, F.; Hedayati, M.; Eini-Zinab, H.; Hekmatdoost, A. The effect of gluten free diet on components of metabolic syndrome: A randomized clinical trial. Asian Pac. J. Cancer Prev. 2018, 19, 2979–2984. [Google Scholar]
- Diamanti, A.; Capriati, T.; Basso, M.S.; Panetta, F.; Di Ciommo Laurora, V.M.; Bellucci, F.; Cristofori, F.; Francavilla, R. Celiac disease and overweight in children: An update. Nutrients 2014, 6, 207–220. [Google Scholar] [CrossRef]
- Gentile, C.L.; Ward, E.; Holst, J.J.; Astrup, A.; Ormsbee, M.J.; Connelly, S.; Arciero, P.J. Resistant starch and protein intake enhances fat oxidation and feelings of fullness in lean and overweight/obese women. Nutr. J. 2015, 14, 113. [Google Scholar] [CrossRef]
- Zinöcker, M.K.; Lindseth, I.A. The western diet-microbiome-host interaction and its role in metabolic disease. Nutrients 2018, 10, 365. [Google Scholar] [CrossRef]
- Arciero, P.J.; Hannibal, N.S.; Nindl, B.C.; Gentile, C.L.; Hamed, J.; Vukovich, M.D. Comparison of creatine ingestion and resistance training on energy expenditure and limb blood flow. Metabolism 2001, 50, 1429–1434. [Google Scholar] [CrossRef]
- Arciero, P.J.; Ormsbee, M.J. Relationship of blood pressure, behavioral mood state, and physical activity following caffeine ingestion in younger and older women. Appl. Physiol. Nutr. Metab. 2009, 34, 754–762. [Google Scholar] [CrossRef]
- Arciero, P.J.; Gentile, C.L.; Pressman, R.; Everett, M.; Ormsbee, M.J.; Martin, J.; Santamore, L.G.; Fehling, P.C.; Vukovich, M.D.; Nindl, B.C. Moderate protein intake improves total and regional body composition and insulin sensitivity in overweight adults. Metabolism 2008, 57, 757–765. [Google Scholar] [CrossRef]
- Warwick, P.M. Thermic and glycemic responses to bread and pasta meals with and without prior low-intensity exercise. Int. J. Sport Nutr. Exerc. Metab. 2007, 17, 1–13. [Google Scholar] [CrossRef]
- Keogh, J.B.; Lau, C.W.; Noakes, M.; Bowen, J.; Clifton, P.M. Effects of meals with high soluble fibre, high amylose barley variant on glucose, insulin, satiety and thermic effect of food in healthy lean women. Eur. J. Clin. Nutr. 2007, 61, 597–604. [Google Scholar] [CrossRef]
- De Palma, G.; Nadal, I.; Collado, M.C.; Sanz, Y. Effects of a gluten-free diet on gut microbiota and immune function in healthy adult human subjects. Br. J. Nutr. 2009, 102, 1154–1160. [Google Scholar] [CrossRef]
- Steele, E.M.; Popkin, B.M.; Swinburn, B.; Monteiro, C.A. The share of ultra-processed foods and the overall nutritional quality of diets in the US: Evidence from a nationally representative cross-sectional study. Popul. Health Metr. 2017, 15, 6. [Google Scholar] [CrossRef]
- Moubarac, J.C.; Batal, M.; Louzada, M.L.; Martinez Steele, E.; Monteiro, C.A. Consumption of ultra-processed foods predicts diet quality in Canada. Appetite 2017, 108, 512–520. [Google Scholar] [CrossRef]
- Shapira, N. The metabolic concept of meal sequence vs. satiety: Glycemic and oxidative responses with reference to inflammation risk, protective principles and Mediterranean diet. Nutrients 2019, 11, 2373. [Google Scholar] [CrossRef]
- LeBlanc, J.; Brondel, L. Role of palatability on meal-induced thermogenesis in human subjects. Am. J. Physiol. 1985, 248, E333–E336. [Google Scholar] [CrossRef]
- Coelho, M.O.C.; Monteyne, A.J.; Kamalanathan, I.D.; Najdanovic-Visak, V.; Finnigan, T.J.A.; Stephens, F.B.; Wall, B.T. Short-communication: Ingestion of a nucleotide-rich mixed meal increases serum uric acid concentrations but does not affect postprandial blood glucose or serum insulin responses in young adults. Nutrients 2020, 12, 1115. [Google Scholar] [CrossRef]
- Ranganathan, S.; Champ, M.; Pechard, C.; Blanchard, P.; Nguyen, M.; Colonna, P.; Krempf, M. Comparative study of the acute effects of resistant starch and dietary fibers on metabolic indexes in men. Am. J. Clin. Nutr. 1994, 59, 879–883. [Google Scholar] [CrossRef]
- Giezenaar, C.; Lange, K.; Hausken, T.; Jones, K.L.; Horowitz, M.; Chapman, I.; Soenen, S. Acute effects of substitution, and addition, of carbohydrates and fat to protein on gastric emptying, blood glucose, gut hormones, appetite, and energy intake. Nutrients 2018, 10, 1451. [Google Scholar] [CrossRef]
- Nardocci1, N.; Leclerc, B.S.; Louzada, M.L.; Monteiro, C.A.; Batal, M.; Moubarac, J.C. Consumption of ultra-processed foods and obesity in Canada. Can. J. Public Health 2019, 110, 4–14. [Google Scholar] [CrossRef]





| Nutritional Analysis | WF | PF | GF |
|---|---|---|---|
| Energy (kcal) | 580 | 587 | 580 |
| Total carbohydrate (g) | 67 | 67 | 64 |
| Total sugar (g) | 36 | 39 | 34 |
| Total fat (g) | 26.5 | 28.5 | 31 |
| Total protein (g) | 17.6 | 16 | 16 |
| Total fiber (g) | 6 | 2 | 8 |
| Ingredients | |||
| Bread | Ezekiel Bread, 68 g | Wonder bread, 63 g | Rudi’s Gluten-Free Bread, 68 g |
| Butter | Kate’s of Maine Butter, 14 g | I Can’t Believe It’s Not Butter, 14 g | I Can’t Believe It’s Not Butter, 14 g |
| Cheese | Cabot Vermont Cheddar, 28 g | Classic American Kraft Singles, 36 g | Cabot Vermont Cheddar, 28 g |
| Drink | Bolthouse Fruit Juice, 336 g | Fanta Orange Soda, 258 g | Ocean Spray Cranberry Juice, 384 g |
| N | 11 | ||
|---|---|---|---|
| Age (years) | 20.63 | ± | 1.24 |
| Weight (kg) | 62.38 | ± | 8.04 |
| Height (cm) | 166.93 | ± | 7.64 |
| BMI | 22.34 | ± | 2.23 |
| Percent fat mass (%) | 26.02 | ± | 5.08 |
| Systolic BP (mmHg) | 103.71 | ± | 11.83 |
| Diastolic BP (mmHg) | 65.51 | ± | 7.89 |
| Resting HR (bpm) | 61.60 | ± | 10.38 |
| Meal | Kcal | RMR b | 95% CI | 60 m TEM c | 95% CI | 120 m TEM | 95% CI | 180 m TEM | 95% CI | Total TEM d | 95% CI |
|---|---|---|---|---|---|---|---|---|---|---|---|
| WF | 580 | 1800 | 1724–1875 | 7.08 | 3.19–10.97 | 19.42 * | 15.54–23.31 | 15.81 * | 11.93–19.69 | 42.32 * | 31.85–52.78 |
| GF | 587 | 1724 | 1657–1791 | 3.92 | 0.04–7.80 | 10.38 | 6.49–14.27 | 7.07 | 3.19–10.96 | 21.38 | 10.91–31.84 |
| PF | 580 | 1783 | 1709–1857 | 5.34 | 1.46–9.23 | 16.09 * | 12.20–19.97 | 14.89 * | 11.01–18.78 | 36.32 * | 25.86–46.78 |
| Baseline | 60 min | 120 min | 180 min | ||||||
|---|---|---|---|---|---|---|---|---|---|
| Outcome Variable | Meal | Mean | 95% CI | Mean | 95% CI | Mean | 95% CI | Mean | 95% CI |
| Fullness (mm) | WF * | 37.55 | 27.49–47.59 | 60.00 | 49.95–70.05 | 62.64 | 52.59–72.68 | 58.36 | 48.32–68.41 |
| GF | 23.09 | 13.04–33.14 | 59.18 | 49.13–69.23 | 57.73 | 47.68–67.78 | 51.09 | 41.04–61.14 | |
| PF | 30.82 | 20.77–40.87 | 53.27 | 43.22–63.32 | 54.00 | 43.95–64.05 | 49.00 | 38.95–59.05 | |
| Hunger (mm) | WF | 56.46 | 45.79–67.12 | 27.91 | 17.25–38.57 | 28.73 | 18.06–39.39 | 34.55 | 23.88–45.21 |
| GF | 52.82 | 42.15–63.48 | 28.00 | 17.34–38.66 | 30.82 | 20.15–41.48 | 30.91 | 20.25–41.48 | |
| PF | 53.27 | 42.61–63.94 | 32.82 | 22.15–43.48 | 38.73 | 28.06–49.39 | 38.46 | 27.79–49.12 | |
| Desire to Eat (mm) | WF | 58.27 | 47.29–69.26 | 27.91 | 16.93–38.89 | 32.00 | 21.02–42.98 | 37.18 | 26.19–48.16 |
| GF | 60.64 | 49.65–71.62 | 27.91 | 16.93–38.89 | 33.64 | 22.65–44.62 | 36.91 | 25.93–47.89 | |
| PF | 50.64 | 39.65–61.62 | 30.55 | 19.56–41.53 | 40.46 | 29.47–51.44 | 43.09 | 32.11–54.07 | |
| Satiety (mm) | WF | 58.64 | 48.42–68.86 | 36.36 | 26.14–46.59 | 41.27 | 31.05–51.49 | 47.64 | 37.42–57.86 |
| GF | 60.55 | 50.32–70.77 | 40.09 | 29.87–50.31 | 43.27 | 33.05–53.49 | 45.36 | 35.14–55.58 | |
| PF | 56.18 | 45.96–66.40 | 37.55 | 27.32–47.77 | 44.09 | 33.87–54.31 | 48.46 | 38.23–58.68 | |
| WF | PF | GF | |
|---|---|---|---|
| Palatability | 7.18 [6.15–8.21] * | 5.63 [4.54–6.73] | 6.68 [5.62–7.75] |
© 2020 by the authors. Licensee MDPI, Basel, Switzerland. This article is an open access article distributed under the terms and conditions of the Creative Commons Attribution (CC BY) license (http://creativecommons.org/licenses/by/4.0/).
Share and Cite
Dioneda, B.; Healy, M.; Paul, M.; Sheridan, C.; Mohr, A.E.; Arciero, P.J. A Gluten-Free Meal Produces a Lower Postprandial Thermogenic Response Compared to an Iso-Energetic/Macronutrient Whole Food or Processed Food Meal in Young Women: A Single-Blind Randomized Cross-Over Trial. Nutrients 2020, 12, 2035. https://doi.org/10.3390/nu12072035
Dioneda B, Healy M, Paul M, Sheridan C, Mohr AE, Arciero PJ. A Gluten-Free Meal Produces a Lower Postprandial Thermogenic Response Compared to an Iso-Energetic/Macronutrient Whole Food or Processed Food Meal in Young Women: A Single-Blind Randomized Cross-Over Trial. Nutrients. 2020; 12(7):2035. https://doi.org/10.3390/nu12072035
Chicago/Turabian StyleDioneda, Brittney, Margaret Healy, Maia Paul, Caitlin Sheridan, Alex E. Mohr, and Paul J. Arciero. 2020. "A Gluten-Free Meal Produces a Lower Postprandial Thermogenic Response Compared to an Iso-Energetic/Macronutrient Whole Food or Processed Food Meal in Young Women: A Single-Blind Randomized Cross-Over Trial" Nutrients 12, no. 7: 2035. https://doi.org/10.3390/nu12072035
APA StyleDioneda, B., Healy, M., Paul, M., Sheridan, C., Mohr, A. E., & Arciero, P. J. (2020). A Gluten-Free Meal Produces a Lower Postprandial Thermogenic Response Compared to an Iso-Energetic/Macronutrient Whole Food or Processed Food Meal in Young Women: A Single-Blind Randomized Cross-Over Trial. Nutrients, 12(7), 2035. https://doi.org/10.3390/nu12072035

