Abstract
Intermittent fasting (IF) has been studied in athletes during Ramadan and in those willing to decrease adiposity while maintaining or increasing lean body mass. The purpose of this systematic review was to summarize the effects of IF on performance outcomes. We searched peer-reviewed articles in the following databases: PubMed, Web of Science and Sport Discus (up to December 2019). Studies were selected if they included samples of adults (≥18 years), had an experimental or observational design, investigated IF (Ramadan and time-restricted feeding (TRF)), and included performance outcomes. Meta-analytical procedures were conducted when feasible. Twenty-eight articles met the eligibility criteria. Findings indicated that maximum oxygen uptake is significantly enhanced with TRF protocols (SMD = 1.32, p = 0.001), but reduced with Ramadan intermittent fasting (Ramadan IF; SMD = −2.20, p < 0.001). Additional effects of IF may be observed in body composition (body mass and fat mass). Non-significant effects were observed for muscle strength and anaerobic capacity. While Ramadan IF may lead to impairments in aerobic capacity, TRF may be effective for improving it. As there are few studies per performance outcome, more research is needed to move the field forward.
1. Introduction
Caloric restriction (CR) and intermittent fasting (IF)—i.e., periods of voluntary abstinence from food and fluid intake—are methods of energy deprivation [1]. IF is a term that encompasses many definitions involving fasting for varying periods (usually for 12 h or more). It also implicates a limited feeding time-window, with or without CR. One example is time-restricted feeding (TRF), or fasting for multiples days or weeks (i.e., alternate-day fasting or whole day fasting) [2,3]. IF is a key component used in many religious practices and has mostly been studied in athletes during Ramadan [4,5] and in those willing to decrease adiposity while maintaining or increasing lean body mass [6,7]. Ramadan is the major religious period of the Islamic calendar and is a fundamental rule of Islam, where Muslims abstain from ingesting food and liquids between sunrise and sunset during a month-long period [8]. Even though Muslims eat ad libitum after sunset (Iftar meal) and before dawn (Sahur meal), CR (either with or without exclusion of specific types of foods) is often a key feature of Ramadan IF [9]. This IF approach may negatively affect various aspects of human health and exercise performance, such as psychological factors (e.g., motivation), physiological mechanisms (e.g., muscular activation) and biochemistry (e.g., plasma volume and glycogen stores) [5,10,11]. However, according to the available data, short-term fasting (7 days) does not adversely impact aerobic performance [5,12], walking efficiency [13] nor maximum oxygen uptake (VO2max) [8,14,15,16]. In contrast, longer fasting periods may exert a deleterious effect on VO2max as well as on the inotropic response to exercise and submaximal oxygen kinetics [9,13,17,18,19]. It is believed that the etiology of poor exercise performance during Ramadan involves the negative energy balance induced by a reduction in energy intake, altered circadian rhythm, sleep deprivation, heightened psychological stress, low levels of blood sugar and dehydration (that inevitably accompany this specific IF regimen) [17,18,20,21,22].
Controlled studies investigating the effectiveness of TRF (vs. constant daily CR) in decreasing adiposity, while maintaining muscle mass and strength, are scarce and conflicting. Schoenfeld contended that exercise while fasting (e.g., after an overnight fast) is not more effective in reducing adiposity than exercising in a fed state, and may possibly be detrimental for muscle and strength gains due to the potentially increased proteolysis [23]. However, three recent randomized controlled trials [2,6,24], including participants undergoing 8 weeks of resistance training combined with either a normal diet or a TRF protocol, indicate that this approach may be beneficial for improving body composition (i.e., preserved fat free mass and reduced fat mass) while exerting no detrimental effects on muscle strength. While Moro et al. found no differences between this IF regimen vs. a control diet on increasing leg-press one repetition maximum [6], Tinsley et al. observed that TRF resulted in greater enhancements inlower-body muscle strength and endurance, as well as in upper-body muscle endurance [2].
There is some evidence that, during the fasting periods, TRF predisposes to a reduced insulin-induced inhibition of adipose tissue lipolysis. This is supported by past research showing that plasma free fatty acid and β-hydroxybutyrate concentrations are enhanced after overnight fast in healthy young men [25]. Interestingly, these effects are accompanied by an improved rate of insulin-mediated whole body glucose uptake after 15 days of TRF [25]. Thus, this IF approach seems compatible with a more favorable metabolic profile and this likely contributes to positive variations in body composition (maintenance of fat free mass and reductions in fat mass) and exercise performance. Yet, there is a paucity of data on the effects of different IF protocols on specific parameters of physical performance. Specifically, there are no systematic and meta-analytic data on the effects of Ramadan IF vs. TRF on specific outcomes of performance responses to exercise. Therefore, this systematic review including meta-analysis aimed at summarizing the current evidence on the interaction between Ramadan IF vs. TRF and specific parameters of physical performance, namely VO2max, vertical jump height, 30 min running distance, Wingate mean and peak power output. The effects of these two approaches of IF on body composition adaptations, namely, absolute body mass and relative fat mass, were also synthesized to explore if these may partially explain the effects (or lack thereof) on exercise performance. We hypothesized that IF might contribute for enhancing physical performance as well as body composition.
2. Methods
This systematic review including meta-analyses was conducted according to the PRISMA statement (Preferred Report Items for Systematic Reviews and Meta-analysis) [26]. The methodological aspects were previously specified and registered in a protocol (PROSPERO registration number: CRD42019126847).
2.1. Eligibility Criteria
Articles published between 1980 and 2019 investigating the relationship between IF and physical outcomes were retrieved. Studies were selected if they: (i) included samples of adults (≥18 years); (ii) had an experimental or observational design; (iii) investigated Ramadan IF, time-restricted feeding, time-restricted eating and fasted state; and (iv) included performance outcomes. Studies with clinical outcomes, without physical parameters, with non-human samples, reviews, case studies, as well as published abstracts were not included.
2.2. Search Strategy
Searches of peer-reviewed articles published until December 2019 were conducted in three databases: PubMed, Web of Science and Sport Discus. Searches included various combinations of: (i) terms concerning the nutritional intervention, namely IF, time-restricted feeding, time-restricted eating and fasted state; and (ii) terms reflecting the outcomes of interest (i.e., exercise, muscle strength, anaerobic capacity, aerobic capacity and performance). Supplementary searches, including manual searches of previous key reviews (e.g., [14]) and reference lists of key retrieved articles were conducted.
2.3. Screening and Data Extraction
Three authors independently screened all titles and abstracts of the studies that emerged in the literature search for potential inclusion eligibility. Duplicate entries were removed. Information about each article (i.e., authors and year of publication), participants (i.e., sample size and demographics), study design, intervention characteristics (i.e., methods, protocols and length of intervention), and outcomes of interest (primary: aerobic changes, anaerobic changes, and muscle strength changes; secondary: body composition changes) was extracted. Uncertainties were resolved by consensus.
2.4. Quality Assessment
The Quality Assessment Tool for Quantitative Studies developed by the Effective Public Health Practice Project (EPHPP) was used to assess study quality [27], evaluating five key methodological domains: selection bias, study design, confounders, data collection method and withdrawals/dropouts. Since it is not possible to blind participants regarding a fasting state, the sixth item of the original scale (blinding) was not assessed. For each study, the methodological quality of each domain was classified as strong, moderate and weak. A global rating was calculated based on the scores of each component. The five domains and overall quality were rated independently by two authors, and differences were discussed with a third author to reach a consensus. Inter-rater agreement across categories varied from moderate (Cogen’s k = 0.429) to strong (k = 0.739).
2.5. Data Synthesis
For each study, results were summarised by: (i) intervention characteristics (intervention methods, exercise or test protocols and length of each trial); (ii) changes in aerobic capacity; (iii) changes in anaerobic capacity; (iv) changes in muscle strength; and (v) changes in body composition.
2.6. Data Analysis
The Comprehensive Meta-Analysis (CMA) Software version 3.0 (Biostat, Inc., Englewood, NJ, USA) was used to conduct meta-analyses [28]. We performed separate meta-analyses for each outcome (VO2max, Wingate mean power output, Wingate peak power output, vertical jump height, body mass and fat mass). Meta-analyses were performed using fixed-effects models, in which the summary effect size (ES) is the standardized mean difference (SMD) of a distribution [29,30]. Fixed-effects models were chosen because most analyses included a limited number of studies (k < 6) [29]. The only exceptions were some of the analyses for one of the secondary outcomes, body mass, in which a random-effects model was used given the higher number of studies (k ≥ 6). SMD were calculated based on sample size, standard differences in means (between pre- and post-intervention time points and, whenever possible, between pre-post data of both intervention and control groups) and effect direction, and were interpreted according to Cohen’s specifications, with values of 0.2, 0.5 and 0.8 for small, medium and large SMD, respectively [31]. The 95% confidence interval (CI) and corresponding p values were considered as indicators of statistical significance.
Heterogeneity was estimated to evaluate the amount of variation in the effects of the included studies. This was done using the following approach: (i) the Cochran’s Q statistic [32], for which a significant p value (<0.05) demonstrates that there is heterogeneity in the SMD between studies; and (ii) the I2 statistic [33] that assesses the proportion of observed variation in SMD between studies that is due to real variability and not influenced by low statistical power. The I2 ranges from 0% to 100%, where a value of 0% specifies no observed heterogeneity, 25% reflects low, 50% moderate and 75% high heterogeneity [33]. To explore if the results were affected by different fasting regimens (i.e., Ramadan IF vs. TRF) we performed sensitivity analyses. Some studies did not provide sufficient data to estimate the SMD and therefore were not included in the meta-analyses.
3. Results
3.1. Study Selection
PubMed, Sport Discus and Web of Science searches yielded 7789 publications. To avoid missing potentially relevant studies, five articles were added through manual searches from previous key reviews and reference lists of key retrieved publications. After duplicates removal (k = 2521), 5273 articles were assessed for eligibility; of these, 5245 were excluded based on title and abstract screening, leaving 55 potentially relevant. Twenty-eight articles met all eligibility criteria and were included in the present review (Figure 1).
Figure 1.
Flow chart of the methodology for the search results.
3.2. Study Characteristics
The characteristics of all included studies are summarised in Table 1. Half of the studies were non-controlled trials (k = 14), mainly aiming at performance outcomes (aerobic, anaerobic and muscle strength adaptations) and changes in body composition. The majority of IF protocols were conducted in laboratories (k = 23) and in gymnasiums or training camps (k = 6). More than half were undertaken during Ramadan (k = 15) and the others explored the effects of TRF vs. normal diet during a period of 8 weeks (k = 3), 6 weeks (k = 3), overnight fast (k = 1), and 3 to 10 days (k = 3). Participants performed five testing sessions during 8 h of fasting in one study. Sample sizes varied between 8 and 85 experimental participants, with the most common sample size corresponding to 10–20 individuals (k = 18). Participants’ age ranged between 18 and 39 years. Three studies included women, 14 studies enrolled healthy and moderately active samples, six studies tested sedentary or untrained men, and 10 focused on the responses of trained men (soccer players, running athletes or resistance-trained men). Seven studies focused on changes in anaerobic capacity, 15 in aerobic capacity, 12 in muscle strength and 21 in body composition.
Table 1.
Summary of studies evaluating the effects of intermittent fasting on physical performance and body composition.
3.3. Quality Assessment
Table 2 shows the detailed classification of each quality domain and the overall methodological quality of each study. The methodological quality of the 28 eligible studies was rated as “strong”, “moderate” and “weak” in 4, 13 and 11 reports, respectively. Only six studies were randomized controlled trials and only two designs included a sample of individuals somewhat likely to be representative of the wider Muslim population experiencing IF. Therefore, 13 and 21 were rated as weak regarding the quality of study design and regarding selection bias, respectively. With regard to the adjustment of analyses for confounders, all studies (k = 28) were classified as strong because there were no bias arising from lack of controlled elements. In what concerns to reporting of withdrawals and dropouts, the 28 studies were rated as strong. Regarding data collection methods, all studies were rated as strong because they all used valid and reliable tools.
Table 2.
Quality assessment of all included studies.
3.4. Effects of Intermittent Fasting on Specific Outcomes
A data analytic synthesis of the interaction between the four tested outcomes and IF is shown in Table 1. Table 3 and Table 4 show the meta-analytic results for the pooled estimates of these primary (i.e., muscle strength, aerobic capacity and anaerobic capacity) and secondary (i.e., body composition) outcomes, respectively, and Figure 2, Figure 3, Figure 4, Figure 5 and Figure 6 the respective forest plots. For muscle strength, we tested the results derived from the vertical jump. For aerobic capacity, we tested the results on VO2max and distance covered during 30 min of running. For anaerobic capacity, we tested the results derived from Wingate testing (mean power and peak power). For body composition, we tested the results observed on body mass and absolute as well as relative fat mass.
Table 3.
Meta-analytic results for the effects of intermittent fasting on physical performance.
Table 4.
Meta-analytic results for the effects of intermittent fasting on body composition.
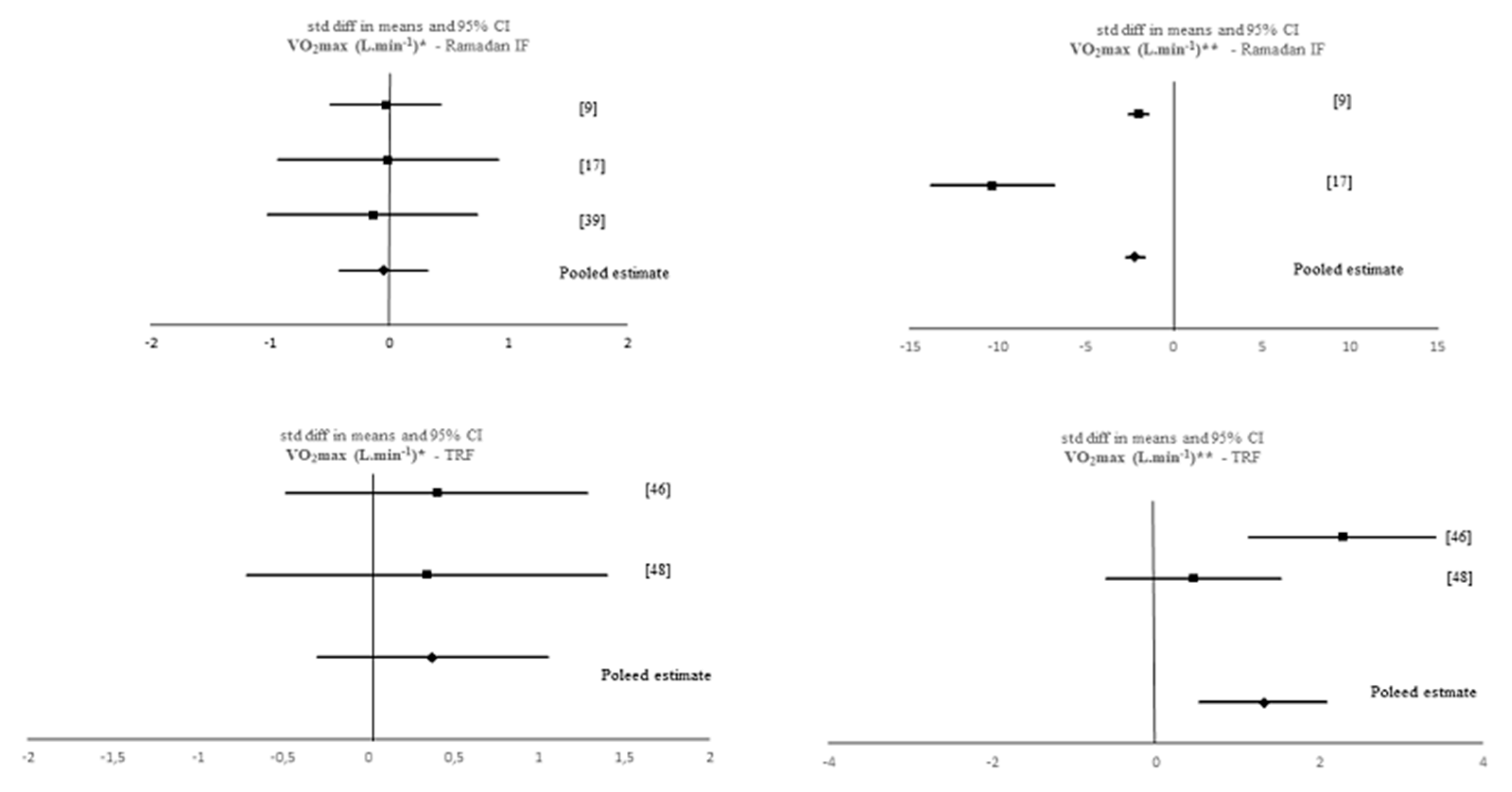
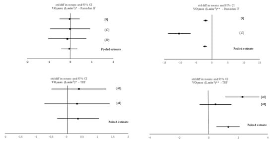
Figure 2.
Forest plot of the effects from a fixed-effects meta-analysis shown as standardized mean difference with 95% confidence intervals on maximum oxygen uptake (VO2max) only Ramadan IF studies and only TRF studies. For each study, the square represents the standardized mean difference between pre- and post-intervention time points and, whenever possible, between pre- post-data of both intervention and control groups with the horizontal line intersecting it as the lower and upper limits of the 95% confidence interval. The rhombi represents the pooled estimated standardized mean difference. Note. * Pre-post tests, IF intervention; ** Pre-post tests, IF intervention vs. control.
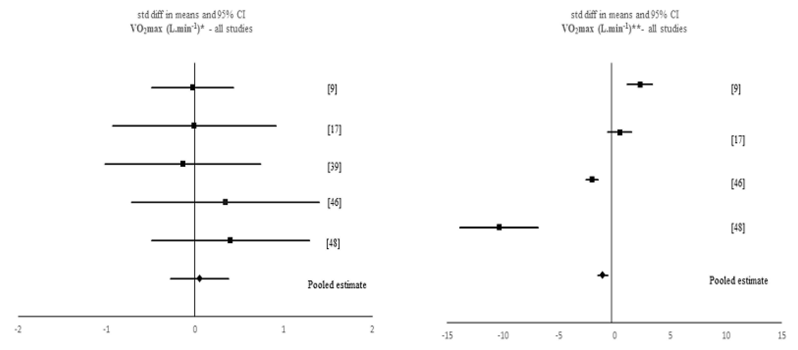
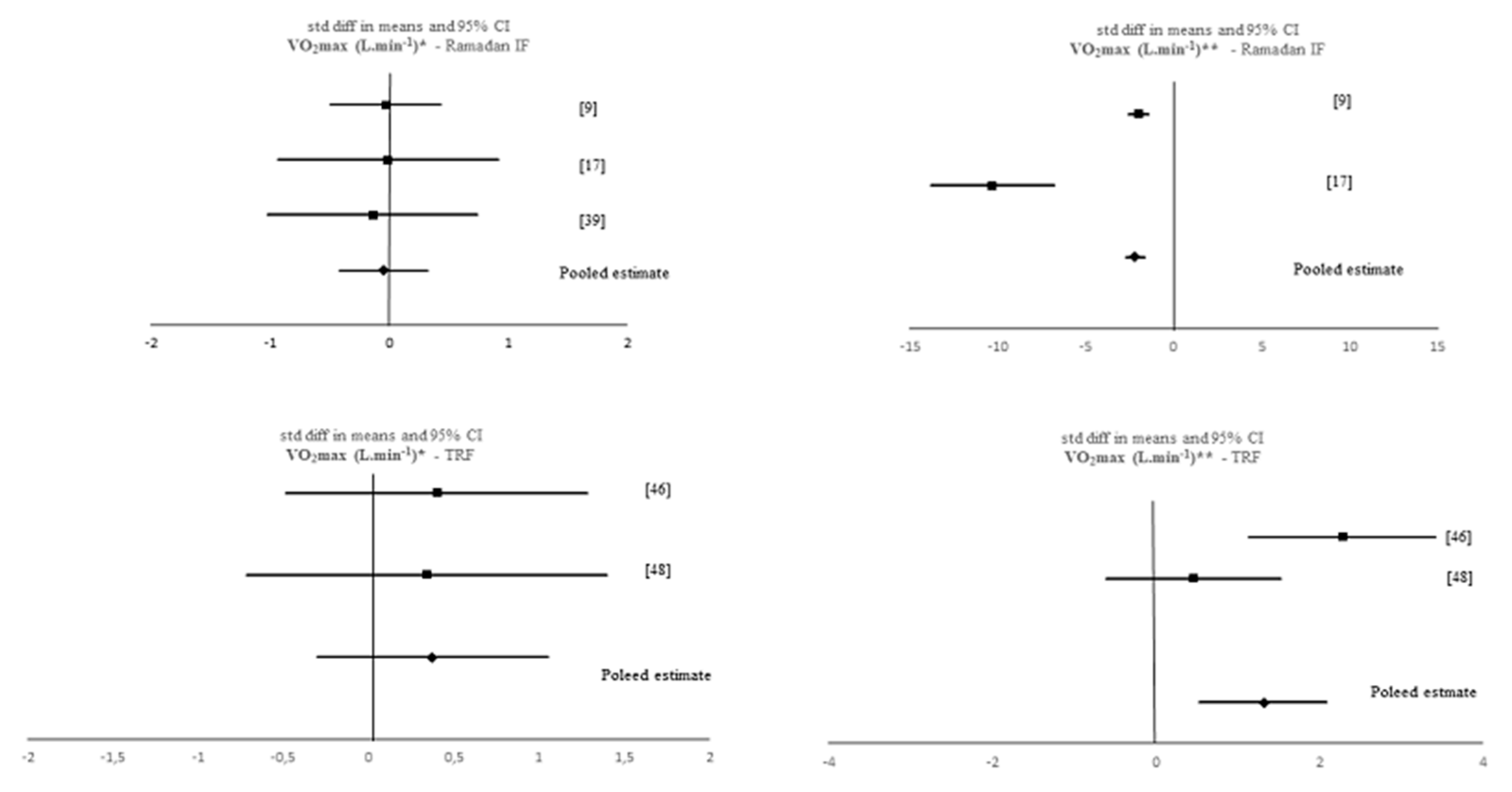
Figure 3.
Forest plot of the effects from a fixed-effects meta-analysis shown as standardized mean difference with 95% confidence intervals on maximum oxygen uptake (VO2max) for all studies. For each study, the square represents the standardized mean difference between pre- and post-intervention time points and, whenever possible, between pre- post-data of both intervention and control groups with the horizontal line intersecting it as the lower and upper limits of the 95% confidence interval. The rhombi represent the pooled estimated standardized mean difference. Note. * Pre-post tests, IF intervention; ** Pre-post tests, IF intervention vs. control.
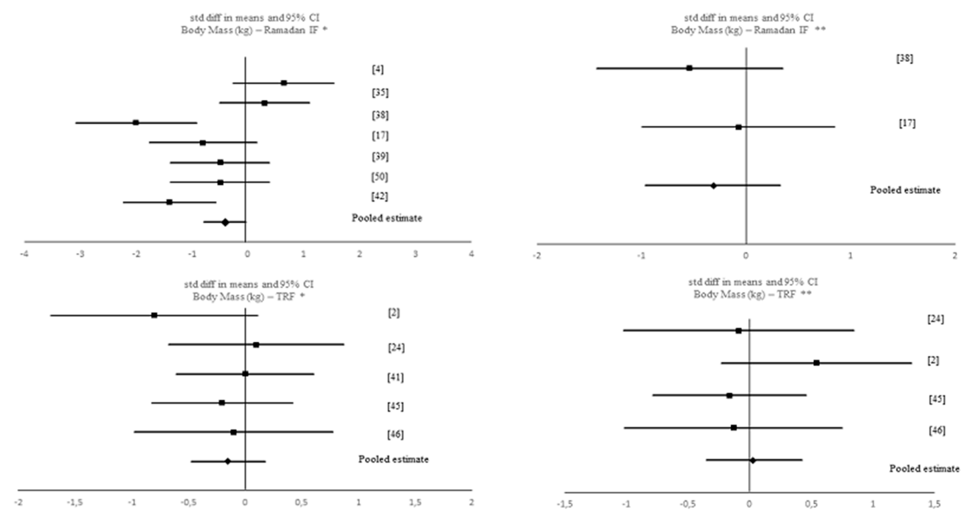
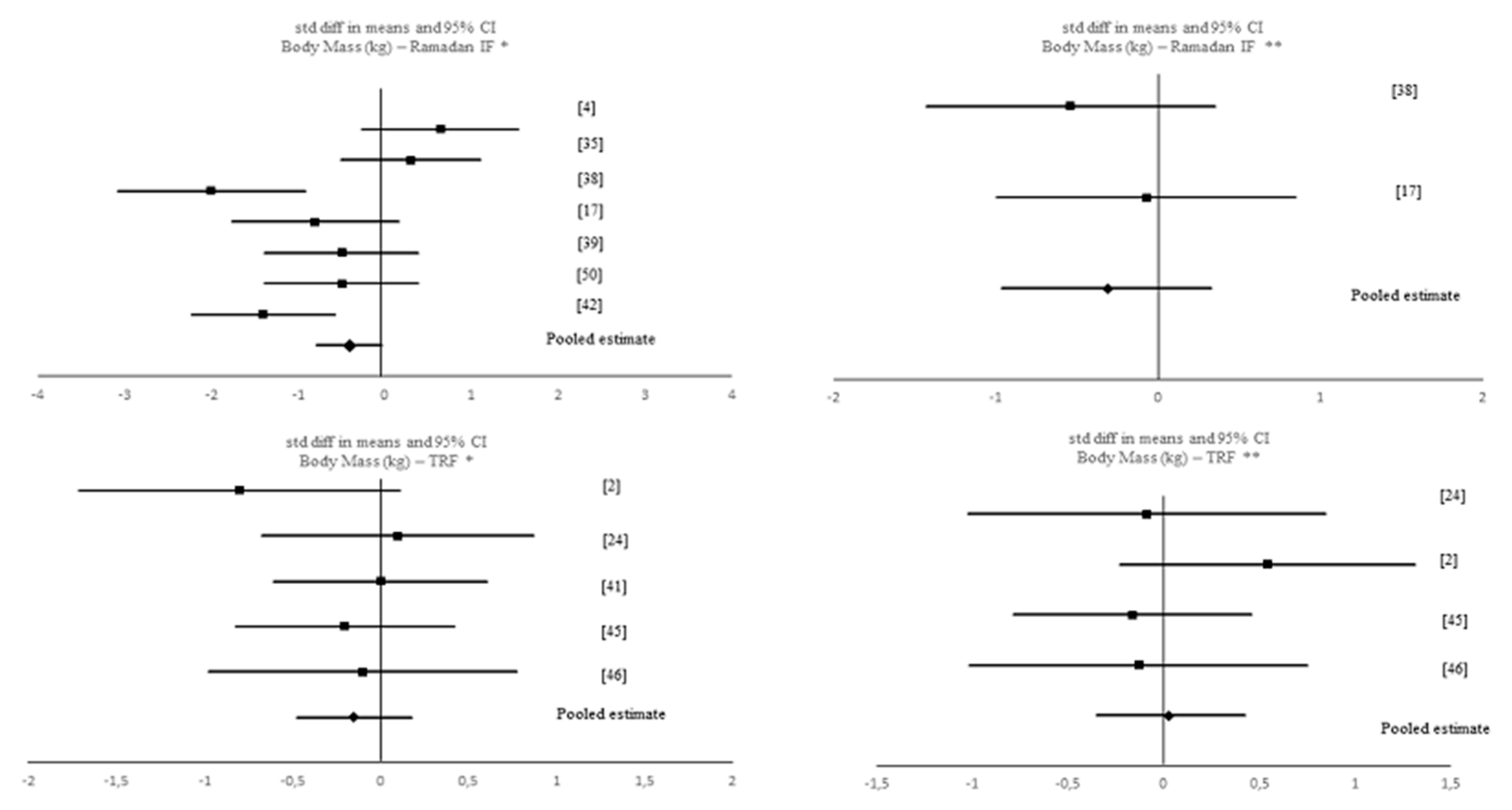
Figure 4.
Forest plot of the effects from a random-effects meta-analysis shown as standardized mean difference with 95% confidence intervals on body mass for * Ramadan IF studies and forest plot of the effects from a fixed-effects meta-analysis shown as standardized mean difference with 95% confidence intervals on body mass for TRF studies. For each study, the square represents the standardized mean difference between pre- and post-intervention time points and, whenever possible, between pre-post data of both intervention and control groups with the horizontal line intersecting it as the lower and upper limits of the 95% confidence interval. The rhombi represents the pooled estimated standardized mean difference. Note. * Pre-post tests, IF intervention; ** Pre-post tests, IF intervention vs. control.
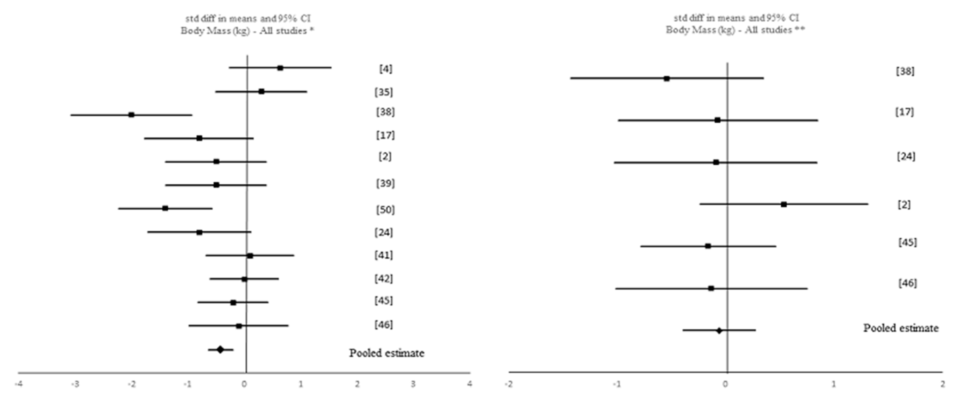
Figure 5.
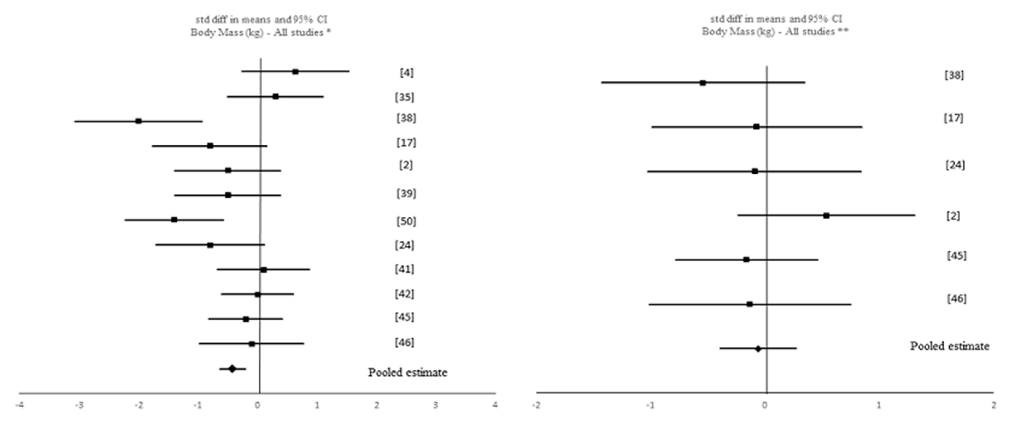
Forest plot of the effects from a random-effects meta-analysis shown as standardized mean difference with 95% confidence intervals on body mass for all studies. For each study, the square represents the standardized mean difference between pre- and post-intervention time points and, whenever possible, between pre-post data of both intervention and control groups with the horizontal line intersecting it as the lower and upper limits of the 95% confidence interval. The rhombi represents the pooled estimated standardized mean difference. Note. * Pre-post tests, IF intervention; ** Pre-post tests, IF intervention vs. control.
Figure 6.
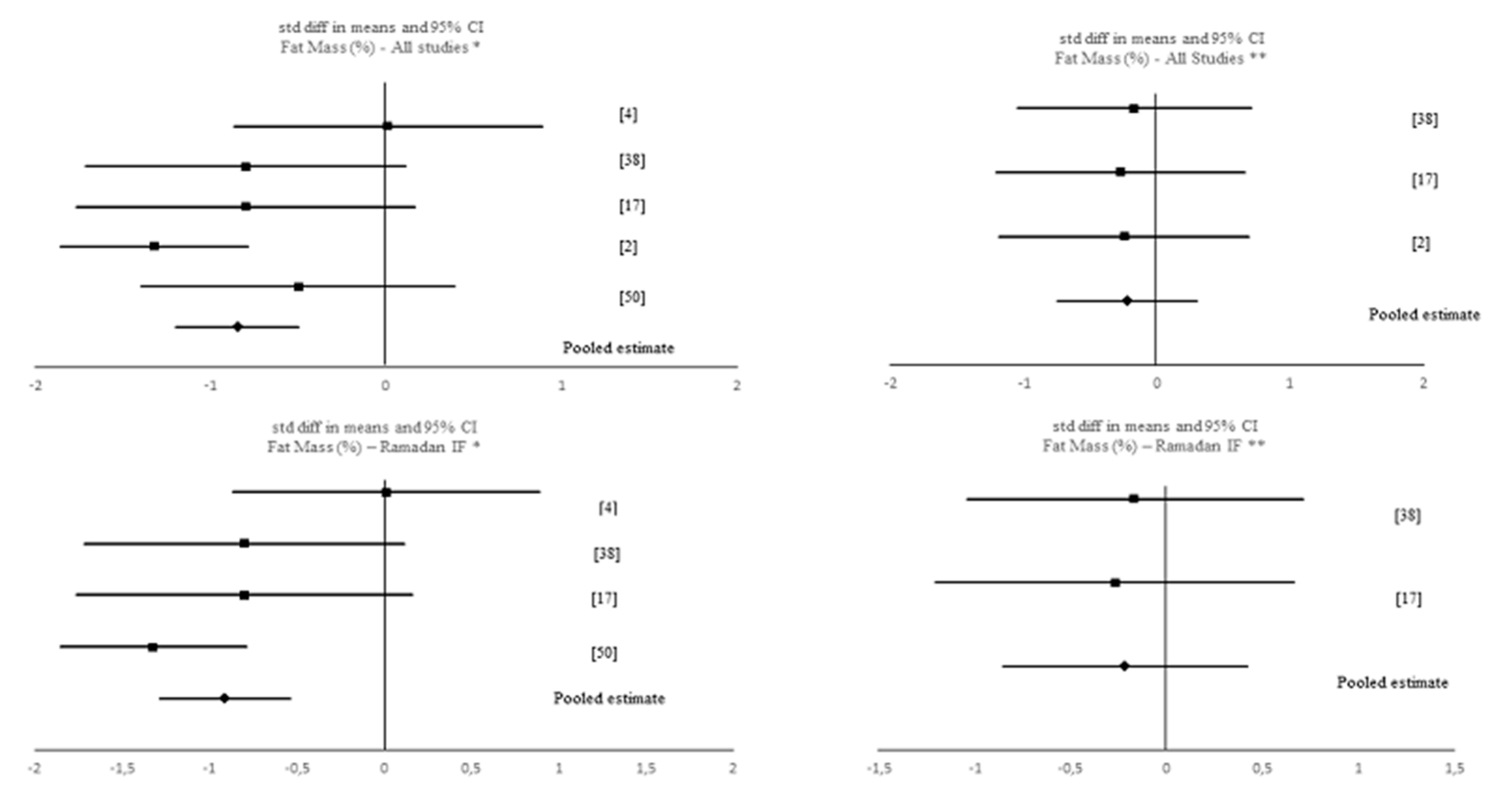
Forest plot of the effects from a fixed-effects meta-analysis shown as standardized mean difference with 95% confidence intervals on relative fat mass for all studies and for only Ramadan IF studies. For each study, the square represents the standardized mean difference between pre- and post-intervention time points and, whenever possible, between pre-post data of both intervention and control groups with the horizontal line intersecting it as the lower and upper limits of the 95% confidence interval. The rhombi represents the pooled estimated standardized mean difference. Note. * Pre-post tests, IF intervention; ** Pre-post tests, IF intervention vs. control.
3.4.1. Primary Outcomes
Changes in Muscle Strength
Twelve studies presented data for the association between IF and muscle strength, with approximately 18% of the studies observing significant changes. Some of these studies reported satisfactory results as small increases in vertical jump height (k = 1) with Ramadan IF, and in upper- and lower-body (k = 1) or in upper-arm girth (k = 1) with TRF. In contrast, other studies reported significant decreases in maximal muscle power (k = 1) and in maximal voluntary contraction (k = 2) after Ramadan IF. Seven studies reported no significant changes in muscle strength when comparing pre- to post-IF time points.
A non-significant SMD for vertical jump height (k = 3; SMD = 0.012, 95% CI [-0.324, 0.348], p = 0.945; Q = 43.598, p < 0.001; I2 = 95%) was observed when meta-analysing pre-post data of Ramadan IF interventions. This pooled estimate remained non-significant when comparing pre-post data between the Ramadan IF interventions and the control groups.
Changes in Aerobic Capacity
Fifteen studies reported adaptations in aerobic capacity, with approximately 36% of them attaining significant changes in this specific outcome. Some studies obtained significant decreases in VO2max (k = 1), heart rate (k = 1), and VCO2 (k = 1) after Ramadan IF, and performance (reduction of sprint performance, running speed or physical activity; k = 4) with both Ramadan IF and TRF protocols. Only one report showed significant increases in VO2max and improved 3000 m running times. Approximately 18% of the studies (k = 5) showed unaltered values for VO2max, maximal heart rate and running speed post-Ramadan IF (k = 3) or post-TRF (k = 2).
Non-significant effects of IF on VO2max were found when meta-analysing pre-post data of all IF interventions (p > 0.05). However, when comparing pre-post data between the IF interventions and the control groups, a significant, negative SMD was found when considering all studies (k = 4; SMD = −1.045, 95% CI [−1.488, −0.602], p < 0.001) and Ramadan IF studies only (k = 2; SMD = −2.204, 95% CI [−2.745, −1.663], p < 0.001). Moreover, there was evidence of high heterogeneity between all studies (Q = 80.05, p < 0.001, I2 = 96%) and between Ramadan IF studies (Q = 21.229, p < 0.001, I2 = 95%). Conversely, we obtained a significant positive SMD for VO2max when considering TRF studies only (SMD = 1.315, 95% CI [0.543, 2.087], p = 0.001) and there was evidence of high heterogeneity between studies (Q = 5.323, p = 0.021, I2 = 81%). Concerning the effects of Ramadan IF on 30 min running distance, when comparing means between the Ramadan IF interventions and the control groups, non-significant results emerged (p > 0.05).
Changes in Anaerobic Capacity
Only seven studies (of 28) reported results for anaerobic changes, with approximately 11% of them showing negative but significant effects of IF on maximal speed during high-intensity effort and in response to the Wingate protocol after Ramadan IF (k = 1) and TRF (k = 2). Approximately 7% of the studies showed no significant impact of Ramadan IF on anaerobic exercise performance.
Non-significant effects for Wingate mean power were observed when meta-analysing pre-post data of all IF interventions, and Ramadan IF interventions only (p > 0.05). Regarding Wingate peak power, the pooled estimate including pre-post data of all IF interventions was marginally significant (k = 3; SMD = 0.758 (95% CI [−0.019, 1.535], p = 0.056; Q = 113.389, p < 0.001; I2 = 98%).
3.4.2. Secondary Outcome
Changes in Body Composition
Body composition was frequently studied (k = 21), with 14 studies expressing it in absolute terms (kg) and seven studies expressing it in terms of relative values (%). Approximately 68% of the studies reported similar results when determining the impact of IF on weight loss. However, these changes were not statistically significant. Data on the association between IF and body composition were available with significant results for approximately 7% of the studies, reporting decreases in both relative fat mass and body mass (kg) (k = 1) or only in body mass (kg) (k = 1).
Meta-analytic results showed a negative, small but significant effect of IF on body mass when including all IF interventions (k = 12; SMD = −0.435 (95% CI [−0.811, −0.059], p = 0.023; Q = 30.718, p = 0.001; I2 = 64%). This pooled estimate remained significant with Ramadan IF interventions only (k = 7): SMD = −0.638 (95% CI [−1.248, −0.029], p = 0.04; Q = 23.256, p = 0.001; I2 = 74%); but not with TRF interventions only (k = 5): SMD = −0.152 (95% CI [−0.476, 0.173], p = 0.359; Q = 2.635, p = 0.621; I2 = 0%). When comparing pre-post data between the IF interventions and the control groups, no significant pooled estimates were observed (p > 0.05).
Concerning the results of the meta-analysis for relative fat mass including all IF interventions (k = 5), a pooled estimate of −0.848 was obtained (95% CI [−1.193, −0.502], p < 0.001; Q = 7.307, p = 0.121; I2 = 45%), therefore showing a negative significant effect of IF on relative fat mass. This pooled estimate remained significant when removing the only study with a TRF intervention: SMD = −0.910 (95% CI [−1.284, −0.535], p < 0.001; Q = 6.616, p = 0.085; I2 = 55%). When comparing pre-post data between the IF interventions and the control groups, no significant pooled estimates emerged (p > 0.05).
4. Discussion
The aim of this comprehensive systematic review including meta-analysis was to summarize the effects of two approaches of IF (Ramadan IF vs. TRF) on performance outcomes through adaptations in muscle strength, aerobic and anaerobic capacity, as well as in body composition. Twenty-eight studies were included with meta-analytic results suggesting that IF affects exercise performance, specifically VO2max.
During Ramadan IF, aerobic capacity was shown to be affected with a significant decrease in VO2max. One possible explanation for these findings is that the dehydration accompanying Ramadan might reduce blood volume, maximal cardiac output and muscle glycogen stores, thus affecting VO2max [9]. However, it is important to reinforce that statistically significant decrements in aerobic capacity have only been verified in the early phases of Ramadan IF and that these reductions are normally small and tend to diminish during the second half of Ramadan [36]. Contrary to that seen with Ramadan IF, according to our findings, TRF exerts a positive impact on VO2max. A possible explanation for the improvements in VO2max with TRF includes an increase of cardiac output due to an increase of sympathetic stimulation during exercise or a greater oxidative capacity in fat adapted muscle. Ultimately, the combination of these phenomena may lead to improvements in aerobic performance in euhydrated conditions [44,48]. Thus, training in the fasted state could provide an adjuvant stimulus to enhance training adaptations while preserving plasma glucose concentrations at normal levels during exercise [45,46].
Improvements in VO2max following TRF may also be partially related to positive adaptations in body composition. Despite not being a universal finding, TRF has been shown to induce slight increases in fat free mass (e.g., [53]). Moreover, fasting triggers numerous hormonal adaptations culminating in enhanced metabolic rate and preserved lean mass (e.g., increased serum levels of noradrenaline and growth hormone) [46]. In addition, exercising while fasting increases the expression of sirtuin 1 (SIRT1) and phosphorylated AMP- activated protein kinase (AMPK), which have numerous effects on gene expression (i.e., regulation of mitochondrial biogenesis) [54]. This is important because there is undisputed evidence that, to improve athletic performance, it is fundamental to achieve an optimal balance between lean and body fat mass [54]. Nevertheless, some authors argue that it is necessary to pay attention to the general protein content that is ingested during feeding hours, as well as the final energy balance achieved on a daily basis [3,22]. Ramadan fasting, perhaps due to the socioeconomic circumstances and cultural differences between Muslim countries, is frequently associated with daily restriction in energy and fluid intake. Ultimately, this may contribute to the differences between TRF and Ramadan IF interventions on improving VO2max results [55]. Nevertheless, it is important to note that some authors observed no Ramadan-associated changes in energy intake or in body composition [4].
Ramadan IF is also well known to enhance the individual capacity to oxidize fat [56,57]. This positive metabolic adaptation to Ramadan IF seems to be in agreement with our meta-analytic findings on body mass and fat mass. In fact, systematic reviews and meta-analyses specifically designed to test the effect of IF on body composition have consistently shown that IF represents an effective intervention for weight loss [58,59]. One possible explanation is that IF-associated weight loss results from reductions in fat mass that may be secondary to a state of enhanced-lipid utilization during exercise [6,25,60]. However, after considering the control group, our meta-analytic results for these parameters were non-significant. Importantly, no major changes in body composition were seen in cases where IF had non-detrimental effects on exercise performance [24,45]. Additionally, alterations in body mass are largely related to individual circumstances and may vary according to cultural differences and socioeconomic factors, as well as narrow family oriented and daily habits [21].
Our analyses showed non-significant effects of both Ramadan IF and TRF on anaerobic performance and muscle strength. Yet, the available literature on this specific matter has provided mixed results. For example, a significant reduction in sprint performance during the initial stages of IF has been reported in past research (i.e., first 2–3 days) [41,43]. One possible explanation for such decrement in anaerobic performance might be that short-term IF depletes muscle energy stores (e.g., reduced rate of anaerobic adenosine triphosphate synthesis) [36]. However, it has also been suggested that decreased sprint performance may be secondary to central, rather than peripheral fatigue [42]. In addition, it could be a consequence of altered perception of fatigue during exercise in the fasted condition. This might lead to a decrease in central drive compared to that seen in non-fasting conditions, thus reducing the capability of the central nervous system to maximally recruit all the available motor units during sprinting [42]. However, Karli et al. observed significant improvements in Wingate test performance, thus suggesting that this might not be the case [4]. Moreover, Aloui et al. showed that training in the fasted state (regardless of the time of day) induces significant improvements in the total distance covered during the yo-yo intermittent recovery test after Ramadan IF [51]. Controversially, Souissi et al. showed that, while Wingate performance (peak and mean power output) was not affected when tested in the morning during Ramadan IF, this was not the case for testing sessions scheduled for the afternoon/evening period (7 p.m. and 9 p.m.) [35]. Under these circumstances, there was a substantial reduction in anaerobic performance vs. the control period. Therefore, it seems that the effect of IF on anaerobic performance is modulated by time of day and that small changes in anaerobic performance with IF may reflect a state of altered perceived exertion, slowed reaction time or impaired muscle function (caused by dehydration paired by muscle glycogen depletion) [35,39,41].
Although past research showed that IF does not negatively affect vertical jump height or muscle damage, other reports observed small decreases in muscle strength [8,9,11,37,38]. It was argued that such negative effects arised from slight reductions in fat free mass, dehydration or even from alterations in energy metabolism, muscle buffering capacity during muscular contractions and different lengths of training performance [51]. Finally, another study revealed that Ramadan IF is effective for improving vertical jump height during the afternoon, but not during the morning period. This provides preliminary evidence that the relationship between IF and muscle strength might interact with the well-known circadian variation in sports performance [61]. Nevertheless, due to the specificities of Ramadan IF (e.g., eating and drinking abstinence from sunrise to sunset), these findings may not be generalizable to other IF protocols. For example, in most studies involving TRF protocols, the levels of macronutrient intake, training load, sleep quality and hydration were usually well maintained over time [2,6,24,40]. In contrast, research designs focusing on Ramadan IF reported an overall reduction in carbohydrate intake, and this is compatible with a depletion of muscle glycogen stores [62]. The limited availability of carbohydrates within the muscle tissue impairs physical performance during high-intensity exercise [63]. Nevertheless, there is compelling evidence that the ingestion of selected amino acids or their metabolites during IF may be beneficial for lean mass maintenance or accretion [24]. In particular, it has been argued that leucine, a branched-chain amino acid, plays a pivotal role in stimulating protein synthesis through the mTOR signalling cascade, thus modulating these physiological effects [24,64]. Unfortunately, due to the unavoidable mild dehydration experienced during the hours of Ramadan IF, metabolic heterostasis is further exacerbated by this religious practice, and this impacts exercise performance negatively [34,62,65]. Finally, the effects of Ramadan IF on the physiological responses to exercise and training are inseparable from its long-lasting implications on sleep schedule and psychological, as well as social habits (a combination of factors that exert a negative influence on exercise performance) [36,66].
The present review has several limitations that need to be addressed. First, the number of studies per outcome included in the meta-analyses was small, thus reducing statistical power. The lack of a comparison group in most studies also represents a limitation that prevented us from isolating the effect of IF in some specific outcomes. Several studies on the interaction of IF and exercise performance did not report effect sizes or statistical power in their analyses. Hence, it is important to implement rigorous experimental designs in future studies to ensure that appropriate conclusions can be drawn. Results from this systematic review are also limited by a lack of studies on IF with a representative sample size. The high level of heterogeneity found between studies (e.g., different endpoints and time points for performance testing) could not be explored with moderator analyses due to the limited number of studies. Finally, due to the limited number of studies (<10 per outcome, with the exception of body mass), publication bias was not examined. The reader should be aware of these limitations when considering the practical/clinical influence of IF on physical performance and body composition.
Further research is needed to explore the interaction between IF and exercise performance in women. It is fundamental to ensure that both volume and intensity of training are well maintained during the experiments. Nutrient intake should also be closely monitored over time and it is mandatory to determine the role of altered sleep and dehydration on the relationship between IF and exercise performance. Changes in fat free mass should also be closely monitored. More research is also warranted to explore the interaction between IF and changes in muscle strength, using designs that match protein intake at optimal levels for muscular hypertrophy. Finally, more studies related with the effects of IF on performance are also required to unravel the physiological mechanisms and energy pathways that allow athletes to maintain or even improve performance during IF.
5. Conclusions
Overall, the existent research examining the effects of IF on physical parameters and body composition has provided conflicting data. Our meta-analytic findings reveal significant pooled estimate effects of IF on VO2max. Additionally, they suggest that IF may also have some positive effects on decreasing body mass and fat mass. For muscle strength and anaerobic capacity, the pooled estimate effects of IF were largely non-significant. Thus, the current review indicates that, while Ramadan IF may lead to impairments in aerobic capacity, TRF may be effective for improving it. All authors have read and agreed to the published version of the manuscript.
Author Contributions
J.M.C., G.V.M., P.P.-C. and C.M. designed the research. J.M.C., G.V.M. and I.S. conducted the research, analysed the data and performed the statistical analysis. J.M.C., G.V.M., P.P.-C., I.S. and C.M. wrote the paper. All authors had equal responsibility for the final content of the paper. All authors have read and agreed to the published version of the manuscript.
Funding
This work was partly supported by the Fundação para a Ciência e Tecnologia, under Grant UIDB/00447/2020 to CIPER-Centro Interdisciplinar para o Estudo da Performance Humana (unit 447) and by Universidade de Lisboa (grant attributed to J.M.C.-n C00246e).
Conflicts of Interest
The authors declare that they have no competing interests.
Abbreviations
| IF | Intermittent fasting |
| Ramadan IF | Ramadan intermittent fasting |
| TRF | Time-restricted feeding |
| SMD | Standardized mean difference |
| VO2max | Maximum oxygen uptake |
| CR | Caloric restriction |
| PRISMA | Preferred reporting items for systematic reviews and meta-analysis |
| EPHPP | Effective public health practice project |
| CMA | Comprehensive meta-analysis |
| CI | Confidence interval |
References
- Horne, B.D.; Muhlestein, J.B.; Anderson, J.L. Health effects of intermittent fasting: Hormesis or harm? A systematic review. Am. J. Clin. Nutr. 2015, 102, 464–470. [Google Scholar] [CrossRef]
- Tinsley, G.M.; Forsse, J.S.; Butler, N.K.; Paoli, A.; Bane, A.A.; La Bounty, P.M.; Morgan, G.B.; Grandjean, P.W. Time-restricted feeding in young men performing resistance training: A randomized controlled trial. Eur. J. Sport Sci. 2017, 17, 200–207. [Google Scholar] [CrossRef]
- Anton, S.D.; Moehl, K.; Donahoo, W.T.; Marosi, K.; Lee, S.A.; Mainous, A.G., 3rd; Leeuwenburgh, C.; Mattson, M.P. Flipping the Metabolic Switch: Understanding and Applying the Health Benefits of Fasting. Obesity (Silver Spring) 2018, 26, 254–268. [Google Scholar] [CrossRef]
- Karli, U.; Guvenc, A.; Aslan, A.; Hazir, T.; Acikada, C. Influence of Ramadan Fasting on Anaerobic Performance and Recovery Following Short time High Intensity Exercise. J. Sports Sci. Med. 2007, 6, 490–497. [Google Scholar]
- Chaouachi, A.; Coutts, A.J.; Chamari, K.; Wong, D.P.; Chaouachi, M.; Chtara, M.; Roky, R.; Amri, M. Effect of Ramadan intermittent fasting on aerobic and anaerobic performance and perception of fatigue in male elite judo athletes. J. Strength Cond. Res. 2009, 23, 2702–2709. [Google Scholar] [CrossRef]
- Moro, T.; Tinsley, G.; Bianco, A.; Marcolin, G.; Pacelli, Q.F.; Battaglia, G.; Palma, A.; Gentil, P.; Neri, M.; Paoli, A. Effects of eight weeks of time-restricted feeding (16/8) on basal metabolism, maximal strength, body composition, inflammation, and cardiovascular risk factors in resistance-trained males. J. Transl. Med. 2016, 14, 290. [Google Scholar] [CrossRef]
- Tinsley, G.M.; Gann, J.G.; La Bounty, P.M. Intermittent Fasting Programs and Their Effects on Body Composition: Implications for Weight-Restricted Sports. Strength Cond. J. 2015, 37, 60–71. [Google Scholar] [CrossRef]
- Anis, C.; Leiper, J.B.; Nizar, S.; Coutts, A.J.; Karim, C. Effects of Ramadan intermittent fasting on sports performance and training: A review. Int. J. Sports Physiol. Perform. 2009, 4, 419–434. [Google Scholar] [CrossRef]
- Roy, A.S.; Bandyopadhyay, A. Effect of Ramadan intermittent fasting on selective fitness profile parameters in young untrained Muslim men. BMJ Open Sport Exerc. Med. 2015, 1, e000020. [Google Scholar] [CrossRef]
- Aziz, A.R.; Wahid, M.F.; Png, W.; Jesuvadian, C.V. Effects of Ramadan fasting on 60 min of endurance running performance in moderately trained men. Br. J. Sports Med. 2010, 44, 516–521. [Google Scholar] [CrossRef]
- Gueldich, H.; Zghal, F.; Borji, R.; Chtourou, H.; Sahli, S.; Rebai, H. The effects of Ramadan intermittent fasting on the underlying mechanisms of force production capacity during maximal isometric voluntary contraction. Chronobiol. Int. 2019, 36, 698–708. [Google Scholar] [CrossRef]
- Ferguson, L.M.; Rossi, K.A.; Ward, E.; Jadwin, E.; Miller, T.A.; Miller, W.C. Effects of caloric restriction and overnight fasting on cycling endurance performance. J. Strength Cond. Res. 2009, 23, 560–570. [Google Scholar] [CrossRef]
- Ramadan, J. Does fasting during Ramadan alter body composition, blood constituents and physical performance? Med Princ. Pract. 2002, 11 (Suppl. 2), 41–46. [Google Scholar] [CrossRef]
- Chaouachi, A.; Leiper, J.B.; Chtourou, H.; Aziz, A.R.; Chamari, K. The effects of Ramadan intermittent fasting on athletic performance: Recommendations for the maintenance of physical fitness. J. Sports Sci. 2012, 30 (Suppl. 1), S53–S73. [Google Scholar] [CrossRef]
- McMurray, R.G.; Ben-Ezra, V.; Forsythe, W.A.; Smith, A.T. Responses of endurance-trained subjects to caloric deficits induced by diet or exercise. Med. Sci. Sports Exerc. 1985, 17, 574–579. [Google Scholar] [CrossRef]
- Shephard, R.J. The Impact of Ramadan Observance upon Athletic Performance. Nutrients 2012, 4, 491–505. [Google Scholar] [CrossRef]
- Brisswalter, J.; Bouhlel, E.; Falola, J.M.; Abbiss, C.R.; Vallier, J.M.; Hausswirth, C. Effects of Ramadan intermittent fasting on middle-distance running performance in well-trained runners. Clin. J. Sport Med. Off. J. Can. Acad. Sport Med. 2011, 21, 422–427. [Google Scholar] [CrossRef]
- Sweileh, N.; Schnitzler, A.; Hunter, G.R.; Davis, B. Body composition and energy metabolism in resting and exercising muslims during Ramadan fast. J. Sports Med. Phys. Fit. 1992, 32, 156–163. [Google Scholar]
- Ramadan, J.M.; Barac-Nieto, M. Cardio-respiratory responses to moderately heavy aerobic exercise during the Ramadan fasts. Saudi Med. J. 2000, 21, 238–244. [Google Scholar]
- Gueye, L.; Samb, A.; Seck, D.; Cissé, F.; Camara, K.; Martineaud, J. Influence of a 12 hours-fast on maximal exercise. Scr. Med. 2004, 77, 5–8. [Google Scholar]
- Racinais, S.; Periard, J.D.; Li, C.K.; Grantham, J. Activity patterns, body composition and muscle function during Ramadan in a Middle-East Muslim country. Int. J. Sports Med. 2012, 33, 641–646. [Google Scholar] [CrossRef] [PubMed]
- Templeman, I.; Thompson, D.; Gonzalez, J.; Walhin, J.P.; Reeves, S.; Rogers, P.J.; Brunstrom, J.M.; Karagounis, L.G.; Tsintzas, K.; Betts, J.A. Intermittent fasting, energy balance and associated health outcomes in adults: Study protocol for a randomised controlled trial. Trials 2018, 19, 86. [Google Scholar] [CrossRef]
- Schoenfeld, B. Does cardio after an overnight fast maximize fat loss? Strength Cond. J. 2011, 33, 23–25. [Google Scholar] [CrossRef]
- Tinsley, G.M.; Moore, M.L.; Graybeal, A.J.; Paoli, A.; Kim, Y.; Gonzales, J.U.; Harry, J.R.; VanDusseldorp, T.A.; Kennedy, D.N.; Cruz, M.R. Time-restricted feeding plus resistance training in active females: A randomized trial. Am. J. Clin. Nutr. 2019, 110, 628–640. [Google Scholar] [CrossRef] [PubMed]
- Halberg, N.; Henriksen, M.; Soderhamn, N.; Stallknecht, B.; Ploug, T.; Schjerling, P.; Dela, F. Effect of intermittent fasting and refeeding on insulin action in healthy men. J. Appl. Physiol. 2005, 99, 2128–2136. [Google Scholar] [CrossRef] [PubMed]
- Moher, D.; Liberati, A.; Tetzlaff, J.; Altman, D.G.; Group, P. Reprint—Preferred reporting items for systematic reviews and meta-analyses: The PRISMA statement. Phys. Ther. 2009, 89, 873–880. [Google Scholar] [CrossRef] [PubMed]
- Thomas, B.H.; Ciliska, D.; Dobbins, M.; Micucci, S. A process for systematically reviewing the literature: Providing the research evidence for public health nursing interventions. Worldviews Evid. Based Nurs. 2004, 1, 176–184. [Google Scholar] [CrossRef]
- Borenstein, M.; Hedges, L.; Higgins, J.; Rothstein, H. Comprehensive Meta-Analysis, version 3; Biostat: Englewood, NJ, USA, 2013. [Google Scholar]
- Borenstein, M.; Hedges, L.V.; Higgins, J.P.; Rothstein, H.R. Meta-Analysis Methods Based on Direction and P-Values. Introduction to Meta-Analysis; John Wiley & Sons: Chichester, UK, 2009. [Google Scholar]
- Sedgwick, P.; Marston, L. Meta-analyses: Standardised mean differences. BMJ 2013, 347, f7257. [Google Scholar] [CrossRef]
- Cohen, J. A power primer. Psychol. Bull. 1992, 112, 155–159. [Google Scholar] [CrossRef]
- Cochran, W.G. The Combination of Estimates from Different Experiments. Biometrics 1954, 10, 101–129. [Google Scholar] [CrossRef]
- Higgins, J.P.; Thompson, S.G.; Deeks, J.J.; Altman, D.G. Measuring inconsistency in meta-analyses. BMJ 2003, 327, 557–560. [Google Scholar] [CrossRef] [PubMed]
- Ramadan, J.; Telahoun, G.; Al-Zaid, N.S.; Barac-Nieto, M. Responses to exercise, fluid, and energy balances during Ramadan in sedentary and active males. Nutrition 1999, 15, 735–739. [Google Scholar] [CrossRef]
- Souissi, N.; Souissi, H.; Sahli, S.; Tabka, Z.; Dogui, M.; Ati, J.; Davenne, D. Effect of Ramadan on the diurnal variation in short-term high power output. Chronobiol. Int. 2007, 24, 991–1007. [Google Scholar] [CrossRef] [PubMed]
- Kirkendall, D.T.; Leiper, J.B.; Bartagi, Z.; Dvorak, J.; Zerguini, Y. The influence of Ramadan on physical performance measures in young Muslim footballers. J. Sports Sci. 2008, 26 (Suppl. 3), S15–S27. [Google Scholar] [CrossRef]
- Dannecker, E.A.; Liu, Y.; Rector, R.S.; Thomas, T.R.; Sayers, S.P.; Leeuwenburgh, C.; Ray, B.K. The effect of fasting on indicators of muscle damage. Exp. Gerontol. 2013, 48, 1101–1106. [Google Scholar] [CrossRef]
- Bouhlel, H.; Shepard, R.; Gmada, N.; Aouichaoui, C.; Peres, G.; Tabka, Z.; Bouhlel, E. Effect of Ramadan observance on maximal muscular performance of trained men. Clin. J. Sport Med. 2013, 23, 222–227. [Google Scholar] [CrossRef]
- Bouhlel, H.; Latiri, I.; Zarrouk, N.; Bigard, X.; Shepard, R.; Tabka, Z.; Bouhlel, E. Effet du jeûne du Ramadan et de l’exercice maximal sur le temps de réaction simple et de choix chez des sujets entraînés. Sci. Sports 2014, 29, 131–137. [Google Scholar] [CrossRef]
- Charlot, K.; Pichon, A.; Chapelot, D. Effets de l’entraînement à jeun sur la V˙ O2max, l’oxydation des lipides et la performance aérobie chez des jeunes hommes modérément entraînés. Sci. Sports 2016, 31, 166–171. [Google Scholar] [CrossRef]
- Cherif, A.; Meeusen, R.; Farooq, A.; Ryu, J.; Fenneni, M.A.; Nikolovski, Z.; Elshafie, S.; Chamari, K.; Roelands, B. Three Days of Intermittent Fasting: Repeated-Sprint Performance Decreased by Vertical-Stiffness Impairment. Int. J. Sports Physiol. Perform. 2017, 12, 287–294. [Google Scholar] [CrossRef]
- Aziz, A.R.; Che Muhamad, A.M.; Roslan, S.R.; Ghulam Mohamed, N.; Singh, R.; Chia, M.Y.H. Poorer Intermittent Sprints Performance in Ramadan-Fasted Muslim Footballers despite Controlling for Pre-Exercise Dietary Intake, Sleep and Training Load. Sports (Basel) 2017, 5. [Google Scholar] [CrossRef]
- Naharudin, M.N.B.; Yusof, A. The effect of 10 days of intermittent fasting on Wingate anaerobic power and prolonged high-intensity time-to-exhaustion cycling performance. Eur. J. Sport Sci. 2018, 18, 667–676. [Google Scholar] [CrossRef]
- Terada, T.; Toghi Eshghi, S.R.; Liubaoerjijin, Y.; Kennedy, M.; Myette-Cote, E.; Fletcher, K.; Boule, N.G. Overnight fasting compromises exercise intensity and volume during sprint interval training but improves high-intensity aerobic endurance. J. Sports Med. Phys. Fit. 2019, 59, 357–365. [Google Scholar] [CrossRef]
- Van Proeyen, K.; Szlufcik, K.; Nielens, H.; Ramaekers, M.; Hespel, P. Beneficial metabolic adaptations due to endurance exercise training in the fasted state. J. Appl. Physiol. 2010, 110, 236–245. [Google Scholar] [CrossRef]
- De Bock, K.; Derave, W.; Eijnde, B.O.; Hesselink, M.K.; Koninckx, E.; Rose, A.J.; Schrauwen, P.; Bonen, A.; Richter, E.A.; Hespel, P. Effect of training in the fasted state on metabolic responses during exercise with carbohydrate intake. J. Appl. Physiol. 2008, 104, 1045–1055. [Google Scholar] [CrossRef]
- Stocks, B.; Dent, J.R.; Ogden, H.B.; Zemp, M.; Philp, A. Postexercise skeletal muscle signaling responses to moderate- to high-intensity steady-state exercise in the fed or fasted state. Am. J. Physiol. Endocrinol. Metab. 2019, 316, E230–E238. [Google Scholar] [CrossRef]
- Stannard, S.R.; Buckley, A.J.; Edge, J.A.; Thompson, M.W. Adaptations to skeletal muscle with endurance exercise training in the acutely fed versus overnight-fasted state. J. Sci. Med. Sport 2010, 13, 465–469. [Google Scholar] [CrossRef]
- Cherif, A.; Meeusen, R.; Farooq, A.; Briki, W.; Fenneni, M.A.; Chamari, K.; Roelands, B. Repeated Sprints in Fasted State Impair Reaction Time Performance. J. Am. Coll. Nutr. 2017, 36, 210–217. [Google Scholar] [CrossRef]
- Kocaaga, T.; Tamer, K.; Karli, U.; Yarar, H. Effects of Ramadan Fasting on Physical Activity Level and Body Composition in Young Males. Int. J. Appl. Exerc. Phy. 2019, 8, 2322–3537. [Google Scholar]
- Aloui, A.; Driss, T.; Baklouti, H.; Jaafar, H.; Hammouda, O.; Chamari, K.; Souissi, N. Repeated-sprint training in the fasted state during Ramadan: Morning or evening training? J. Sports Med. Phys. Fit. 2018, 58, 990–997. [Google Scholar] [CrossRef]
- Png, W.; Bhaskaran, K.; Sinclair, A.J.; Aziz, A.R. Effects of ingesting low glycemic index carbohydrate food for the sahur meal on subjective, metabolic and physiological responses, and endurance performance in Ramadan fasted men. Int. J. Food Sci. Nutr. 2014, 65, 629–636. [Google Scholar] [CrossRef]
- Stote, K.S.; Baer, D.J.; Spears, K.; Paul, D.R.; Harris, G.K.; Rumpler, W.V.; Strycula, P.; Najjar, S.S.; Ferrucci, L.; Ingram, D.K. A controlled trial of reduced meal frequency without caloric restriction in healthy, normal-weight, middle-aged adults. Am. J. Clin. Nutr. 2007, 85, 981–988. [Google Scholar] [CrossRef]
- Zouhal, H.; Saeidi, A.; Salhi, A.; Li, H.; Essop, M.F.; Laher, I.; Rhibi, F.; Amani-Shalamzari, S.; Ben Abderrahman, A. Exercise Training and Fasting: Current Insights. Open Access J. Sports Med. 2020, 11, 1–28. [Google Scholar] [CrossRef]
- Güvenç, A. Effects of Ramadan fasting on body composition, aerobic performance and lactate, heart rate and perceptual responses in young soccer players. J. Hum. Kinet. 2011, 29, 79–91. [Google Scholar] [CrossRef]
- Bouhlel, E.; Denguezli, M.; Zaouali, M.; Tabka, Z.; Shephard, R.J. Ramadan fasting’s effect on plasma leptin, adiponectin concentrations, and body composition in trained young men. Int. J. Sport Nutr. Exerc. Metab. 2008, 18, 617–627. [Google Scholar] [CrossRef]
- Maughan, R.J.; Bartagi, Z.; Dvorak, J.; Zerguini, Y. Dietary intake and body composition of football players during the holy month of Ramadan. J. Sports Sci. 2008, 26 (Suppl. 3), S29–S38. [Google Scholar] [CrossRef]
- Ganesan, K.; Habboush, Y.; Sultan, S. Intermittent fasting: The choice for a healthier lifestyle. Cureus 2018, 10, e2947. [Google Scholar] [CrossRef]
- Harris, L.; Hamilton, S.; Azevedo, L.B.; Olajide, J.; De Brún, C.; Waller, G.; Whittaker, V.; Sharp, T.; Lean, M.; Hankey, C. Intermittent fasting interventions for treatment of overweight and obesity in adults: A systematic review and meta-analysis. JBI Database Syst. Rev. Implement. Rep. 2018, 16, 507–547. [Google Scholar] [CrossRef]
- Mohsenzadeh, A.; Baghbani, M.M.; Ranjbar, R. The effect of endurance training accompanied by Ramadan fasting on lipid profiles and body composition in men. Jentashapir J. Health Res. 2013, 4, 287–295. [Google Scholar]
- Teo, W.; Newton, M.J.; McGuigan, M.R. Circadian rhythms in exercise performance: Implications for hormonal and muscular adaptation. J. Sports Sci. Med. 2011, 10, 600–606. [Google Scholar]
- Aziz, A.R.; Slater, G.J.; Chia, M.Y.H.; Teh, K.C. Effects of Ramadan fasting on training induced adaptations to a seven-week high-intensity interval exercise programme. Sci. Sports 2012, 27, 31–38. [Google Scholar] [CrossRef]
- Meckel, Y.; Ismaeel, A.; Eliakim, A. The effect of the Ramadan fast on physical performance and dietary habits in adolescent soccer players. Eur. J. Appl. Physiol. 2008, 102, 651–657. [Google Scholar] [CrossRef] [PubMed]
- Rittig, N.; Bach, E.; Thomsen, H.H.; Møller, A.B.; Hansen, J.; Johannsen, M.; Jensen, E.; Serena, A.; Jørgensen, J.O.; Richelsen, B. Anabolic effects of leucine-rich whey protein, carbohydrate, and soy protein with and without β-hydroxy-β-methylbutyrate (HMB) during fasting-induced catabolism: A human randomized crossover trial. Clin. Nutr. 2017, 36, 697–705. [Google Scholar] [CrossRef] [PubMed]
- Leiper, J.B.; Molla, A.M.; Molla, A.M. Effects on health of fluid restriction during fasting in Ramadan. Eur. J. Clin. Nutr. 2003, 57, S30–S38. [Google Scholar] [CrossRef] [PubMed]
- Zarrouk, N.; Hammouda, O.; Latiri, I.; Adala, H.; Bouhlel, E.; Rebai, H.; Dogui, M. Ramadan fasting does not adversely affect neuromuscular performances and reaction times in trained karate athletes. J. Int. Soc. Sports Nutr. 2016, 13, 18. [Google Scholar] [CrossRef]
© 2020 by the authors. Licensee MDPI, Basel, Switzerland. This article is an open access article distributed under the terms and conditions of the Creative Commons Attribution (CC BY) license (http://creativecommons.org/licenses/by/4.0/).





