Racial and Sex Differences in 24 Hour Urinary Hydration Markers among Male and Female Emerging Adults: A Pilot Study
Abstract
1. Introduction
2. Methods
2.1. Participants
2.2. Procedures
2.3. Measurements
2.4. Statistical Analysis
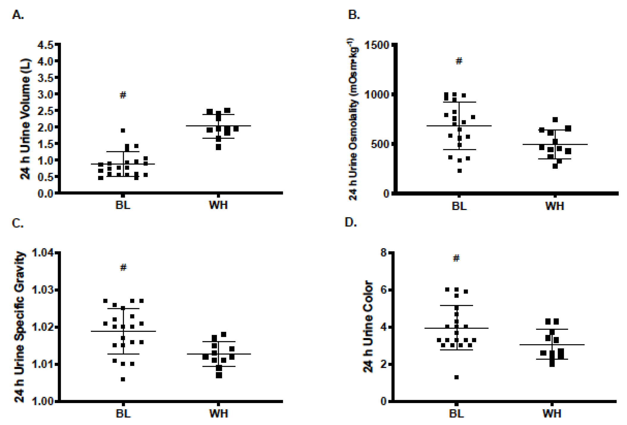
3. Results
4. Discussion
Author Contributions
Funding
Acknowledgments
Conflicts of Interest
References
- Armstrong, L.E. Assessing hydration status: The elusive gold standard. J. Am. Coll Nutr. 2007, 26 (Suppl. 5), 575S–584S. [Google Scholar] [CrossRef] [PubMed]
- Oppliger, R.A.; Bartok, C. Hydration testing of athletes. Sports Med. 2002, 32, 959–971. [Google Scholar] [CrossRef]
- Manz, F.; Wentz, A. 24-h hydration status: Parameters, epidemiology and recommendations. Eur. J. Clin. Nutr. 2003, 57 (Suppl. 2), S10–S18. [Google Scholar] [CrossRef]
- Agostoni, C.V.; Bresson, J.L.; Fairweather Tait, S.; Flynn, A.; Golly, I.; Korhonen, H.; Moseley, B. Scientific Opinion on Dietary Reference Values for water. EFSA J. 2010, 8. [Google Scholar] [CrossRef]
- Daniels, M.C.; Popkin, B.M. Impact of water intake on energy intake and weight status: A systematic review. Nutr. Rev. 2010, 68, 505–521. [Google Scholar] [CrossRef]
- Schwartz, A.E.; Leardo, M.; Aneja, S.; Elbel, B. Effect of a School-Based Water Intervention on Child Body Mass Index and Obesity. JAMA Pediatr. 2016, 170, 220–226. [Google Scholar] [CrossRef] [PubMed]
- Su, S.-B.; Wang, J.-N.; Lu, C.-W.; Guo, H.-R. Reducing urinary tract infections among female clean room workers. J. Womens Health 2002 2006, 15, 870–876. [Google Scholar] [CrossRef] [PubMed]
- Roussel, R.; Fezeu, L.; Bouby, N.; Balkau, B.; Lantieri, O.; Alhenc-Gelas, F.; DESIR Study Group. Low water intake and risk for new-onset hyperglycemia. Diabetes Care. 2011, 34, 2551–2554. [Google Scholar] [CrossRef]
- Clark, W.F.; Sontrop, J.M.; Macnab, J.J.; Suri, R.S.; Moist, L.; Salvadori, M.; Garg, A.X. Urine Volume and Change in Estimated GFR in a Community-Based Cohort Study. Clin. J. Am. Soc. Nephrol. 2011, 6, 2634–2641. [Google Scholar] [CrossRef]
- Sontrop, J.M.; Dixon, S.N.; Garg, A.X.; Buendia-Jimenez, I.; Dohein, O.; Huang SH, S.; Clark, W.F. Association between water intake, chronic kidney disease, and cardiovascular disease: A cross-sectional analysis of NHANES data. Am. J. Nephrol. 2013, 37, 434–442. [Google Scholar] [CrossRef]
- Hooton, T.M.; Vecchio, M.; Iroz, A.; Tack, I.; Dornic, Q.; Seksek, I.; Lotan, Y. Effect of Increased Daily Water Intake in Premenopausal Women with Recurrent Urinary Tract Infections: A Randomized Clinical Trial. JAMA Intern. Med. 2018. [Google Scholar] [CrossRef] [PubMed]
- Ferreira-Pêgo, C.; Guelinckx, I.; Moreno, L.A.; Kavouras, S.A.; Gandy, J.; Martinez, H.; Babio, N. Total fluid intake and its determinants: Cross-sectional surveys among adults in 13 countries worldwide. Eur. J. Nutr. 2015, 54 (Suppl. 2), 35–43. [Google Scholar]
- Liska, D.; Mah, E.; Brisbois, T.; Barrios, P.L.; Baker, L.B.; Spriet, L.L. Narrative Review of Hydration and Selected Health Outcomes in the General Population. Nutrients 2019, 11, 70. [Google Scholar] [CrossRef] [PubMed]
- Perrier, E.T. Shifting Focus: From Hydration for Performance to Hydration for Health. Ann. Nutr. Metab. 2017, 70 (Suppl. 1), 4–12. [Google Scholar] [CrossRef]
- Brooks, C.J.; Gortmaker, S.L.; Long, M.W.; Cradock, A.L.; Kenney, E.L. Racial/Ethnic and Socioeconomic Disparities in Hydration Status Among US Adults and the Role of Tap Water and Other Beverage Intake. Am. J. Public Health 2017, 107, 1387–1394. [Google Scholar] [CrossRef]
- Kenney, E.L.; Long, M.W.; Cradock, A.L.; Gortmaker, S.L. Prevalence of Inadequate Hydration Among US Children and Disparities by Gender and Race/Ethnicity: National Health and Nutrition Examination Survey, 2009–2012. Am. J. Public Health. 2015, 105, e113–e118. [Google Scholar] [CrossRef]
- Rosinger, A.; Herrick, K. Daily Water Intake Among, U.S. Men and Women, 2009–2012. NCHS Data Brief 2016, 242, 1–8. [Google Scholar]
- Cheuvront, S.N.; Kenefick, R.W.; Zambraski, E.J. Spot Urine Concentrations Should Not be Used for Hydration Assessment: A Methodology Review. Int. J. Sport Nutr. Exerc. Metab. 2015, 25, 293–297. [Google Scholar] [CrossRef]
- Cheuvront, S.N.; Ely, B.R.; Kenefick, R.W.; Sawka, M.N. Biological variation and diagnostic accuracy of dehydration assessment markers. Am. J. Clin. Nutr. 2010, 92, 565–573. [Google Scholar] [CrossRef]
- Bottin, J.H.; Lemetais, G.; Poupin, M.; Jimenez, L.; Perrier, E.T. Equivalence of afternoon spot and 24-h urinary hydration biomarkers in free-living healthy adults. Eur. J. Clin. Nutr. 2016, 70, 904–907. [Google Scholar] [CrossRef][Green Version]
- Perrier, E.; Demazières, A.; Girard, N.; Pross, N.; Osbild, D.; Metzger, D.; Klein, A. Circadian variation and responsiveness of hydration biomarkers to changes in daily water intake. Eur. J. Appl. Physiol. 2013, 113, 2143–2151. [Google Scholar] [CrossRef] [PubMed]
- Armstrong, L.E.; Pumerantz, A.C.; Fiala, K.A.; Roti, M.W.; Kavouras, S.A.; Casa, D.J.; Maresh, C.M. Human hydration indices: Acute and longitudinal reference values. Int. J. Sport Nutr. Exerc. Metab. 2010, 20, 145–153. [Google Scholar] [CrossRef] [PubMed]
- Perrier, E.T.; Buendia-Jiminez, I.; Vecchio, M.; Armstrong, L.E.; Tack, I.; Klein, A. Twenty-Four-Hour Urine Osmolality as a Physiological Index of Adequate Water Intake. Dis. Markers 2015. [Google Scholar] [CrossRef] [PubMed]
- Johnson, E.C.; Péronnet, F.; Jansen, L.T.; Capitan-Jiménez, C.; Adams, J.D.; Guelinckx, I.; Kavouras, S.A. Validation Testing Demonstrates Efficacy of a 7-Day Fluid Record to Estimate Daily Water Intake in Adult Men and Women When Compared with Total Body Water Turnover Measurement. J. Nutr. 2017, 147, 2001–2007. [Google Scholar] [CrossRef]
- Perrier, E.; Vergne, S.; Klein, A.; Poupin, M.; Rondeau, P.; Le Bellego, L.; Tack, I. Hydration biomarkers in free-living adults with different levels of habitual fluid consumption. Br. J. Nutr. 2013, 109, 1678–1687. [Google Scholar] [CrossRef]
- Perrier, E.; Rondeau, P.; Poupin, M.; Le Bellego, L.; Armstrong, L.E.; Lang, F.; Stookey, J.; Tack, I.; Vergne, S.; Klein, A. Relation between urinary hydration biomarkers and total fluid intake in healthy adults. Eur. J. Clin. Nutr. 2013, 67, 939–943. [Google Scholar] [CrossRef]
- Guelinckx, I.; Ferreira-Pêgo, C.; Moreno, L.A.; Kavouras, S.A.; Gandy, J.; Martinez, H.; Bardosono, S.; Abdollahi, M.; Nasseri, E.; Jarosz, A.; et al. Intake of water and different beverages in adults across 13 countries. Eur. J. Nutr. 2015, 54 (Suppl. 2), 45–55. [Google Scholar] [CrossRef]
- Guelinckx, I.; Iglesia, I.; Bottin, J.H.; De Miguel-Etayo, P.; González-Gil, E.M.; Sala-Salvadó, J.; Kavouras, S.A.; Gandy, J.; Martinez, H.; Bardosono, S.; et al. Intake of water and beverages of children and adolescents in 13 countries. Eur. J. Nutr. 2015, 54 (Suppl. 2), 69–79. [Google Scholar] [CrossRef]
- Armstrong, L.E.; Maresh, C.M.; Castellani, J.W.; Bergeron, M.F.; Kenefick, R.W.; LaGasse, K.E.; Riebe, D. Urinary indices of hydration status. Int. J. Sport Nutr. 1994, 4, 265–279. [Google Scholar] [CrossRef]
- Perrier, E.T.; Bottin, J.H.; Vecchio, M.; Lemetais, G. Criteriorn values for urine specific gravity and urine color representing adequate water intake in health adults. Eur. J. Clin. Nutr. 2017, 71, 561–563. [Google Scholar] [CrossRef]
- Jackson, A.S.; Pollock, M.L. Generalized equations for predicting body density of men. Br. J. Nutr. 1978, 40, 497–504. [Google Scholar] [CrossRef] [PubMed]
- Jackson, A.S.; Pollock, M.L.; Ward, A. Generalized equations for predicting body density of women. Med. Sci. Sports Exerc. 1980, 12, 175–181. [Google Scholar] [CrossRef] [PubMed]
- Siri, W.E. Body composition from fluid spaces and density: Analysis of methods. 1961. Nutr. Burbank Los. Angel. Cty Calif. 1993, 9, 480–491. [Google Scholar]
- Rosinger, A.Y.; Herrick, K.A.; Wutich, A.Y.; Yoder, J.S.; Ogden, C.L. Disparities in plain, tap and bottled water consumption among US adults: National Health and Nutrition Examination Survey (NHANES) 2007–2014. Public Health Nutr. 2018, 21, 1455–1464. [Google Scholar] [CrossRef]
- Rosinger, A.Y. Biobehavioral variation in human water needs: How adaptations, early life environments, and the life course affect body water homeostasis. Am. J. Hum. Biol Off. J. Hum. Biol Counc. 2020, 32, e23338. [Google Scholar] [CrossRef]
- Deshmukh-Taskar, P.R.; O’Neil, C.E.; Nicklas, T.A.; Yang, S.; Liu, Y.; Gustat, J.; Berenson, G.S. Dietary patterns associated with metabolic syndrome, sociodemographic and lifestyle factors in young adults; the Bogalusa Heart Study. Public Health Nutr. 2009, 12, 2493–2503. [Google Scholar] [CrossRef]
- Kant, A.K.; Graubard, B.I.; Kumanyika, S.K. Trends in Black-White Differentials in Dietary Intakes of U.S. Adults, 1971–2002. Am. J. Prev. Med. 2007, 32, 264–272. [Google Scholar] [CrossRef]
- Kant, A.K.; Graubard, B.I. 20-Year Trends in Dietary and Meal Behaviors Were Similar in U.S. Children and Adolescents of Different Race/Ethnicity. J. Nutr. 2011, 141, 1880–1888. [Google Scholar] [CrossRef]
- Institute of Medicine. Dietary Reference Intakes for Water, Potassium, Sodium, Chloride, and Sulfate; The National Academies Press: Washington, DC, USA, 2005. [Google Scholar]
- Chang, T.; Ravi, N.; Plegue, M.A.; Sonneville, K.R.; Davis, M.M. Inadequate Hydration, BMI, and Obesity Among US Adults: NHANES 2009–2012. Ann. Fam. Med. 2016, 14, 320–324. [Google Scholar] [CrossRef]
- Armstrong, L.E.; Johnson, E.C.; Munoz, C.X.; Swokla, B.; Le Bellego, L.; Jiminez, L.; Casa, D.J.; Maresh, C.M. Hydration biomarkers and dietary fluid consumption of women. J. Acad. Nutr. Diet. 2012, 112, 1056–1061. [Google Scholar] [CrossRef]
- Padez, C.; Padrão, P.; Macedo, A.; Santos, A.; Gonçalves, N. Caracterização do aporte hídrico dos portugueses. Nutrícias Rev. Assoc. Port. Nutr. 2009, 9, 25–27. [Google Scholar]
- Padrão, P.; Sousa, A.S.; Guerra, R.S.; Álvares, L.; Santos, A.; Borges, N.; Afonso, C.; Amaral, T.F.; Moreira, P. A Cross-Sectional Study on the Association between 24-h Urine Osmolality and Weight Status in Older Adults. Nutrients 2017, 9, 1272. [Google Scholar] [CrossRef]
- Yates, B.A.; Ellis, L.A.; Butts, C.L.; McDermott, B.P.; Williamson, K.H.; Armstrong, L.E. Factors Associated with Pre-Event Hydration Status and Drinking Behavior of Middle-Aged Cyclists. J. Nutr. Health Aging 2018, 22, 335–340. [Google Scholar] [CrossRef] [PubMed]
- Crowe, M.J.; Forsling, M.L.; Rolls, B.J.; Phillips, P.A.; Ledingham, J.G.G.; Smith, R.F. Altered Water Excretion Inhealthy Elderly Men. Age Ageing. 1987, 16, 285–293. [Google Scholar] [CrossRef] [PubMed]
- Phillips, P.A.; Rolls, B.J.; Ledingham, J.G.G.; Forsling, M.L.; Morton, J.J.; Crowe, M.J.; Wollner, J. Reduced Thirst after Water Deprivation in Healthy Elderly Men. N. Engl. J. Med. Boston. 1984, 311, 753–759. [Google Scholar] [CrossRef] [PubMed]
- Phillips, P.A.; Bretherton, M.; Risvanis, J.; Casley, D.; Johnston, C.; Gray, L. Effects of drinking on thirst and vasopressin in dehydrated elderly men. Am. J. Physiol.-Regul. Integr. Comp. Physiol. 1993, 264, R877–R881. [Google Scholar] [CrossRef]
- Phillips, P.A.; Bretherton, M.; Johnston, C.I.; Gray, L. Reduced osmotic thirst in healthy elderly men. Am. J. Physiol.-Regul. Integr. Comp. Physiol. 1991, 261, R166–R171. [Google Scholar] [CrossRef]
- Hays, S.M.; Aylward, L.L.; Blount, B.C. Variation in Urinary Flow Rates According to Demographic Characteristics and Body Mass Index in NHANES: Potential Confounding of Associations between Health Outcomes and Urinary Biomarker Concentrations. Env. Health Perspec. 2015, 123, 293–300. [Google Scholar] [CrossRef]

| Non-Hispanic White | Non-Hispanic Black | |||
|---|---|---|---|---|
| Male (n = 7) | Female (n = 3) | Male (n = 6) | Female (n = 19) | |
| Age (y) | 24 ± 4 | 24 ± 3 | 19 ± 1 | 19 ± 1 |
| Height (cm) | 173.9 ± 17.1 | 175.6 ± 10.9 | 169.1 ± 8.6 | 166.4 ± 11.4 |
| Nude Body Mass (kg) | 76.9 ± 10.7 | 72.5 ± 13.7 | 69.7 ± 9.8 | 69.6 ± 10.1 |
| Body Fat (%) | 17.7 ± 10.1 | 21.3 ± 9.2 | 20.3 ± 10.8 | 20.9 ± 10.2 |
| Non-Hispanic White | Non-Hispanic Black | |||
|---|---|---|---|---|
| Weekday | Weekend | Weekday | Weekend | |
| Urine Volume (L) | 2.13 ± 0.73 | 1.80 ± 0.57 | 0.84 ± 0.42 | 0.86 ± 0.47 |
| Urine Osmolality (mOsm∙kg−1) | 462 ± 192 | 498 ± 198 | 691 ± 250 | 768 ± 285 |
| Urine Specific Gravity (AU) | 1.013 ± 0.005 | 1.013 ± 0.006 | 1.019 ± 0.006 | 1.021 ± 0.007 |
| Urine Color (AU) | 3.1 ± 1.2 | 3.1 ± 1.2 | 4.1 ± 1.4 | 4.2 ± 1.5 |
| Non-Hispanic White | Non-Hispanic Black | |||
|---|---|---|---|---|
| Male (n = 7) | Female (n = 3) | Male (n = 6) | Female (n = 16) | |
| Urine Volume (L) | 1.96 ± 0.89 | 2.33 ± 0.87 | 0.89 ± 0.42 | 0.83 ± 0.44 |
| Urine Osmolality (mOsm∙kg−1) | 492 ± 195 | 389 ± 168 | 708 ± 252 | 719 ± 268 |
| Urine Specific Gravity (AU) | 1.013 ± 0.006 | 1.010 ± 0.004 | 1.020 ± 0.005 | 1.020 ± 0.007 |
| Urine Color (AU) | 3.2 ± 1.2 | 2.2 ± 0.9 | 4.4 ± 1.3 | 4.1 ± 1.4 |
© 2020 by the authors. Licensee MDPI, Basel, Switzerland. This article is an open access article distributed under the terms and conditions of the Creative Commons Attribution (CC BY) license (http://creativecommons.org/licenses/by/4.0/).
Share and Cite
Adams, W.M.; Hevel, D.J.; Maher, J.P.; McGuirt, J.T. Racial and Sex Differences in 24 Hour Urinary Hydration Markers among Male and Female Emerging Adults: A Pilot Study. Nutrients 2020, 12, 1068. https://doi.org/10.3390/nu12041068
Adams WM, Hevel DJ, Maher JP, McGuirt JT. Racial and Sex Differences in 24 Hour Urinary Hydration Markers among Male and Female Emerging Adults: A Pilot Study. Nutrients. 2020; 12(4):1068. https://doi.org/10.3390/nu12041068
Chicago/Turabian StyleAdams, William M., Derek J. Hevel, Jaclyn P. Maher, and Jared T. McGuirt. 2020. "Racial and Sex Differences in 24 Hour Urinary Hydration Markers among Male and Female Emerging Adults: A Pilot Study" Nutrients 12, no. 4: 1068. https://doi.org/10.3390/nu12041068
APA StyleAdams, W. M., Hevel, D. J., Maher, J. P., & McGuirt, J. T. (2020). Racial and Sex Differences in 24 Hour Urinary Hydration Markers among Male and Female Emerging Adults: A Pilot Study. Nutrients, 12(4), 1068. https://doi.org/10.3390/nu12041068

