Adjusting Haemoglobin Values for Altitude Maximizes Combined Sensitivity and Specificity to Detect Iron Deficiency among Women of Reproductive Age in Johannesburg, South Africa
Abstract
1. Introduction
2. Materials and Methods
2.1. Study Setting and Population
2.2. Ethical Considerations
2.3. Measurement of Anthropometric Indicators and Socio-Demographic Information
2.4. Biomarker Analysis
2.5. Data and Statistical Analysis
3. Results
3.1. Sample Characteristics
3.2. Hematological Indicators
4. Discussion
5. Conclusions
Author Contributions
Funding
Acknowledgments
Conflicts of Interest
References
- WHO. The Global Prevalence of Anaemia in 2011; World Health Organization: Geneva, Switzerland, 2011. [Google Scholar]
- Fisher, A.L.; Nemeth, E. Iron homeostasis during pregnancy. Am. J. Clin. Nutr. 2017, 106, 1567S–1574S. [Google Scholar] [CrossRef]
- Chaparro, C.M.; Suchdev, P.S. Anemia epidemiology, pathophysiology, and etiology in low- and middle-income countries. Ann. N. Y. Acad. Sci. 2019, 1450, 15–31. [Google Scholar] [CrossRef] [PubMed]
- WHO. Essential Nutrition Actions: Improving Maternal, Newborn, Infant and Young Child Health and Nutrition; WHO: Geneva, Switzerland, 2013. [Google Scholar]
- WHO. Guideline: Intermittent Iron and Folic Acid Supplementation in Menstruating Women; WHO: Geneva, Switzerland, 2011. [Google Scholar]
- WHO. WHO Recommendations on Antenatal Care for a Positive Pregnancy Experience; WHO: Geneva, Switzerland, 2016. [Google Scholar]
- Karakochuk, C.D.; Hess, S.Y.; Moorthy, D.; Namaste, S.; Parker, M.E.; Rappaport, A.I.; Wegmuller, R.; Dary, O. Measurement and interpretation of hemoglobin concentration in clinical and field settings: A narrative review. Ann. N. Y. Acad. Sci. 2019, 1450, 126–146. [Google Scholar] [CrossRef] [PubMed]
- Korolnek, T.; Hamza, I. Macrophages and iron trafficking at the birth and death of red cells. Blood 2015, 125, 2893–2897. [Google Scholar] [CrossRef]
- Muñoz, M.; Villar, I.; García-Erce, J.A. An update on iron physiology. World J. Gastroenterol. 2009, 15, 4617–4626. [Google Scholar] [CrossRef]
- Muckenthaler, M.U.; Rivella, S.; Hentze, M.W.; Galy, B. A Red Carpet for Iron Metabolism. Cell 2017, 168, 344–361. [Google Scholar] [CrossRef] [PubMed]
- Petry, N.; Olofin, I.; Hurrell, R.F.; Boy, E.; Wirth, J.P.; Moursi, M.; Donahue Angel, M.; Rohner, F. The Proportion of Anemia Associated with Iron Deficiency in Low, Medium, and High Human Development Index Countries: A Systematic Analysis of National Surveys. Nutrients 2016, 8, 693. [Google Scholar] [CrossRef]
- WHO. Haemoglobin Concentrations for the Diagnosis of Anaemia and Assessment of Severity; World Health Organization: Geneva, Switzerland, 2011. [Google Scholar]
- Lynch, S. The Rationale for Selecting and Standardizing Iron Status Indicators; World Health Organization: Geneva, Switzerland, 2012. [Google Scholar]
- Haase, V.H. Hypoxic regulation of erythropoiesis and iron metabolism. Am. J. Physiol. Ren. Physiol. 2010, 299, F1–F13. [Google Scholar] [CrossRef]
- Gassmann, M.; Muckenthaler, M.U. Adaptation of iron requirement to hypoxic conditions at high altitude. J. Appl. Physiol. 2015, 119, 1432–1440. [Google Scholar] [CrossRef]
- Gonzales, G.F.; Rubín de Celis, V.; Begazo, J.; Del Rosario Hinojosa, M.; Yucra, S.; Zevallos-Concha, A.; Tapia, V. Correcting the cut-off point of hemoglobin at high altitude favors misclassification of anemia, erythrocytosis and excessive erythrocytosis. Am. J. Hematol. 2018, 93, E12–E16. [Google Scholar] [CrossRef]
- Robalino, X.; Balladares-Saltos, M.; Miño, P.; Guerendiain, M. Comparison of Hemoglobin Concentration Adjusted for Altitude and Serum Iron and Ferritin to Diagnose Anemia in Childhood in Highlands. Blood 2016, 128, 2459. [Google Scholar] [CrossRef]
- Sharma, A.J.; Addo, O.Y.; Mei, Z.; Suchdev, P.S. Reexamination of hemoglobin adjustments to define anemia: Altitude and smoking. Ann. N. Y. Acad. Sci. 2019, 1450, 190–203. [Google Scholar] [CrossRef] [PubMed]
- Lowe, C.C.; Gordon, D.F.; Hall, M.; Bundy, C.J.; Thompson, L.M.; Cobbing, J.R.D.; Mabin, A.S.; Vigne, R. South Africa. Available online: https://www.britannica.com/place/South-Africa (accessed on 15 January 2019).
- NDOH. Adult Primary Care (APC) Guide; National Department of Health: Pretoria, South Africa, 2016.
- NDOH. Guidelines for Maternity Care in South Africa, 4th ed.; National Department of Health: Pretoria, South Africa, 2015.
- NDOH. Essential Drugs Programme; Primary Healthcare Standard Treatment Guideline and Essential Medicine List; National Department of Health: Pretoria, South Africa, 2018.
- Naitonal Department of Health (NDOH); Statistics South Africa (Stats SA); South African Medical Research Council (SAMRC); ICF. South African Demographic and Health Survey 2016: Key Indicators; National Department of Health: Pretoria, South Africa; Rockville, MD, USA, 2017.
- Shisana, O.; Labadarios, D.; Rehle, T.; Simbayi, L.; Zuma, K.; Dhansay, A.; Reddy, P.; Parker, W.A.; Hoosain, E.; Naidoo, P.; et al. South African National Health and Nutrition Examination Survey (SANHANES-1); HSRC Press: Cape Town, South Africa, 2013. [Google Scholar]
- Shisana, O.; Rehle, T.; Simbayi, L.C.; Zuma, K.; Jooste, S.; Zungu, N.; Labadarios, D.; Onoya, D. South African National HIV Prevalence, Incidence and Behaviour Survey, 2012; HSRC Press: Cape Town, South Africa, 2015. [Google Scholar]
- Tang, A.M.; Chung, M.; Dong, K.; Wanke, C.; Charlton, K.; Hong, S.; Nguyen, P.H.; Patsche, C.B.; Deitchler, M.; Maalouf-Manasseh, Z. Determining a Global Mid-Upper Arm Circumference Cutoff to Assess Underweight in Adults (Men and Nonpregnant Women); USAID: Washington, DC, USA, 2017.
- Wehler, C.A.; Scott, R.I.; Anderson, J.J. The Community Childhood Hunger Identification Project: A model of domestic hunger—Demonstration project in Seattle, Washington. J. Nutr. Educ. 1992, 24, 29S–35S. [Google Scholar] [CrossRef]
- WHO; UN. Iron Deficiency Anaemia: Assessment, Prevention, and Control; WHO: Geneva, Switzerland, 2001. [Google Scholar]
- Brindle, E.; Lillis, L.; Barney, R.; Hess, S.Y.; Wessells, K.R.; Ouédraogo, C.T.; Stinca, S.; Kalnoky, M.; Peck, R.; Tyler, A.; et al. Simultaneous assessment of iodine, iron, vitamin A, malarial antigenemia, and inflammation status biomarkers via a multiplex immunoassay method on a population of pregnant women from Niger. PLoS ONE 2017, 12, e0185868. [Google Scholar] [CrossRef] [PubMed]
- Thurnham, D.I.; Northrop-Clewes, C.A.; Knowles, J. The use of adjustment factors to address the impact of inflammation on vitamin a and iron status in humans. J. Nutr. 2015, 145, 1137S–1143S. [Google Scholar] [CrossRef] [PubMed]
- WHO. Serum Ferritin Concentrations for the Assessment of Iron Status and Iron Deficiency in Populations; World Health Organization: Geneva, Switzerland, 2011. [Google Scholar]
- Harris, P.A.; Taylor, R.; Minor, B.L.; Elliott, V.; Fernandez, M.; O’Neal, L.; McLeod, L.; Delacqua, G.; Delacqua, F.; Kirby, J. The REDCap consortium: Building an international community of software platform partners. J. Biomed. Inform. 2019, 95, 103208. [Google Scholar] [CrossRef]
- Youden, W.J. Index for rating diagnostic tests. Cancer 1950, 3, 32–35. [Google Scholar] [CrossRef]
- Moodley, V.; Alant, J. The straight and marrow—A primary care approach to anaemia. S. Afr. Fam. Pract. 2018. [Google Scholar] [CrossRef]
- Hofmeyr, R.; Tölken, G.; De Decker, R. Acute high-altitude illness. S. Afr. Med. J. 2017, 107, 556–561. [Google Scholar] [CrossRef]
- Trevethan, R. Sensitivity, Specificity, and Predictive Values: Foundations, Pliabilities, and Pitfalls in Research and Practice. Front. Public Health 2017, 5, 307. [Google Scholar] [CrossRef]
- Chen, P.; Short, T.; Leung, D.H.; Oh, T. A clinical evaluation of the Hemocue haemoglobinometer using capillary, venous and arterial samples. Anaesth. Intensive Care 1992, 20, 497–500. [Google Scholar] [CrossRef] [PubMed]
- Kernan, K.F.; Carcillo, J.A. Hyperferritinemia and inflammation. Int. Immunol. 2017, 29, 401–409. [Google Scholar] [CrossRef] [PubMed]
- Namaste, S.M.; Rohner, F.; Huang, J.; Bhushan, N.L.; Flores-Ayala, R.; Kupka, R.; Mei, Z.; Rawat, R.; Williams, A.M.; Raiten, D.J.; et al. Adjusting ferritin concentrations for inflammation: Biomarkers Reflecting Inflammation and Nutritional Determinants of Anemia (BRINDA) project. Am. J. Clin. Nutr. 2017, 106, 359S–371S. [Google Scholar] [CrossRef] [PubMed]
- Nordenberg, D.; Yip, R.; Binkin, N.J. The effect of cigarette smoking on hemoglobin levels and anemia screening. JAMA 1990, 264, 1556–1559. [Google Scholar] [CrossRef]
- Esmaeili, R.; Zhang, M.; Sternberg, M.R.; Mapango, C.; Pfeiffer, C.M. The Quansys multiplex immunoassay for serum ferritin, C-reactive protein, and α-1-acid glycoprotein showed good comparability with reference-type assays but not for soluble transferrin receptor and retinol-binding protein. PLoS ONE 2019, 14, e0215782. [Google Scholar] [CrossRef]

| Characteristics | Median (IQR) or n (%) |
|---|---|
| Age | 21 (19–23) |
| BMI (kg/m2) | 24.4 (21.2–29.6) |
| Underweight (<18.5 kg/m2) | 41 (8) |
| Normal weight (18.5–24.9 kg/m2) | 224 (46) |
| Overweight (25–29.9 kg/m2) | 110 (22) |
| Obese (>30 kg/m2) | 117 (24) |
| MUAC (cm) | 27.6 (24.8–31.5) |
| Undernutrition (≤24 cm) | 94 (19) |
| HIV positive (self-reported) Yes | 22 (4) |
| Food insecurity | |
| Yes | 230 (47) |
| Household asset score | 9 (7–10) |
| Low (1–5) | 38 (8) |
| Medium (6–9) | 308 (63) |
| High (10–13) | 146 (30) |
| Highest level of education | 195 (40) |
| Primary school or less | 297 (61) |
| High school leaving certificate | |
| Household size (number of people) | 6 (4–8) |
| 1–4 | 154 (32) |
| 5–10 | 269 (56) |
| >10 | 57 (12) |
| Parity | |
| Nulliparous | 253 (51) |
| Primiparous | 192 (39) |
| Multiparous | 47 (10) |
| Biomarker | Median (IQR) or n (%) |
|---|---|
| CRP (mg/L) | 1.41 (0.44–3.84) |
| AGP (g/L) | 0.86 (0.72–1.02) |
| Inflammatory status | |
| No inflammation (CRP ≤ 5 mg/L and AGP ≤ 1 g/L) | 327 (67) |
| Incubation (CRP >5 mg/L and AGP ≤ 1 g/L) | 57 (12) |
| Early convalescence (CRP > 5 mg/L and AGP > 1 g/L) | 41 (8) |
| Late convalescence (CRP ≤ 5 mg/L and AGP > 1 g/L) | 67 (14) |
| Inflammation-adjusted ferritin (µg/L) 1 | 25.9 (8.0–55.1) |
| Non-ID (ferritin ≥ 15 µg/L) | 307 (63) |
| ID (ferritin < 15 µg/L) | 185 (38) |
| Unadjusted ferritin (µg/L) | 28.2 (9.3–62.9) |
| Non-ID (ferritin ≥ 30 µg/L) | 238 (48) |
| ID (ferritin < 30 µg/L) | 254 (52) |
| Non-ID (ferritin ≥ 15 µg/L) | 314 (64) |
| ID (ferritin < 15 µg/L) | 178 (36) |
| sTfR (mg/L) | 7.5 (5.7–10.5) |
| Non-IDE (sTfR ≤ 8.3 mg/L) | 288 (59) |
| IDE (sTfR > 8.3 mg/L) | 204 (42) |
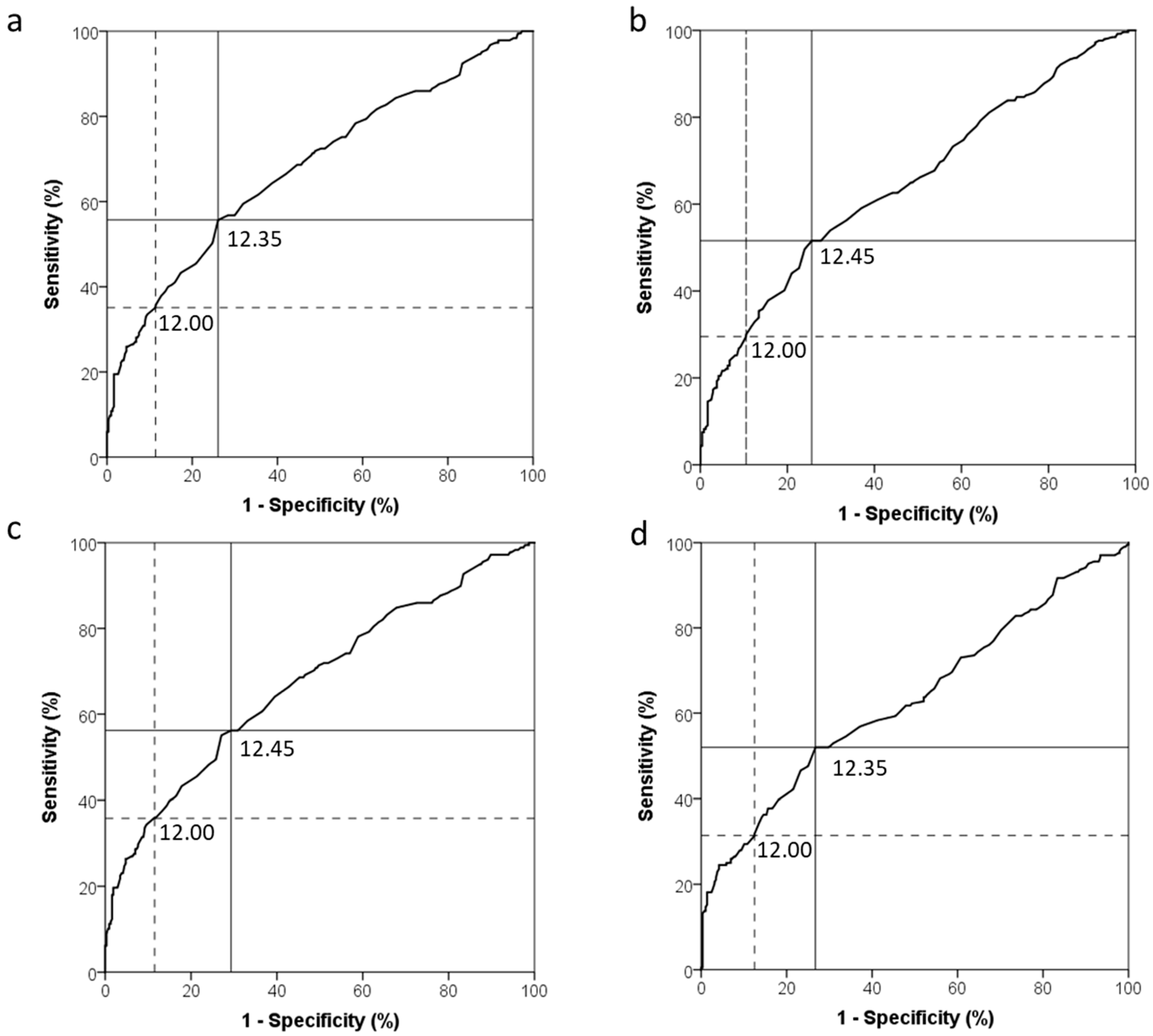
| Diagnostic Performance of Hb Cut-off Points to Detect ID | ||||||||
|---|---|---|---|---|---|---|---|---|
| Total Anaemia (n [%]) | IDA (n [%]) | Anaemia without ID (n [%]) | ID without Anaemia (n [%]) | Non-ID & Non-Anaemic (n [%]) | Sensitivity (%) | Specificity (%) | Youden Index | |
| Hb <12.00 g/dL (As currently used in SA primary health care clinics to diagnose ID [inflammation-adjusted ferritin <15 µg/L]) | 91 (18.5) | 62 (12.6) | 29 (5.9) | 123 (25.0) | 278 (56.5) | 35.1 | 88.6 | 0.24 |
| Hb <12.35 g/dL (ROC-curve-determined to diagnose ID [inflammation-adjusted ferritin <15 µg/L]) | 183 (37.2) | 103 (20.9) | 80 (16.3) | 82 (16.7) | 227 (46.1) | 55.7 | 73.9 | 0.30 |
| Hb <12.45 g/dL (ROC-curve-determined to diagnose ID [unadjusted ferritin <30 µg/L]) | 192 (39.0) | 131 (26.6) | 61 (12.4) | 132 (25.0) | 177 (36.0) | 51.6 | 74.4 | 0.26 |
| Hb <12.45 g/dL (ROC-curve-determined to diagnose ID [unadjusted ferritin <15 µg/L]) | 192 (39.0) | 100 (20.3) | 92 (18.7) | 72 (14.6) | 228 (46.3) | 56.2 | 70.7 | 0.27 |
| Hb <12.50 g/dL (Altitude-adjusted based on WHO recommendations to diagnose ID [inflammation-adjusted ferritin <15 µg/L]) | 192 (39.0) | 105 (21.3) | 87 (17.7) | 80 (16.3) | 220 (44.7) | 56.8 | 70.8 | 0.27 |
© 2020 by the authors. Licensee MDPI, Basel, Switzerland. This article is an open access article distributed under the terms and conditions of the Creative Commons Attribution (CC BY) license (http://creativecommons.org/licenses/by/4.0/).
Share and Cite
Silubonde, T.M.; Baumgartner, J.; Ware, L.J.; Malan, L.; Smuts, C.M.; Norris, S. Adjusting Haemoglobin Values for Altitude Maximizes Combined Sensitivity and Specificity to Detect Iron Deficiency among Women of Reproductive Age in Johannesburg, South Africa. Nutrients 2020, 12, 633. https://doi.org/10.3390/nu12030633
Silubonde TM, Baumgartner J, Ware LJ, Malan L, Smuts CM, Norris S. Adjusting Haemoglobin Values for Altitude Maximizes Combined Sensitivity and Specificity to Detect Iron Deficiency among Women of Reproductive Age in Johannesburg, South Africa. Nutrients. 2020; 12(3):633. https://doi.org/10.3390/nu12030633
Chicago/Turabian StyleSilubonde, Takana Mary, Jeannine Baumgartner, Lisa Jayne Ware, Linda Malan, Cornelius Mattheus Smuts, and Shane Norris. 2020. "Adjusting Haemoglobin Values for Altitude Maximizes Combined Sensitivity and Specificity to Detect Iron Deficiency among Women of Reproductive Age in Johannesburg, South Africa" Nutrients 12, no. 3: 633. https://doi.org/10.3390/nu12030633
APA StyleSilubonde, T. M., Baumgartner, J., Ware, L. J., Malan, L., Smuts, C. M., & Norris, S. (2020). Adjusting Haemoglobin Values for Altitude Maximizes Combined Sensitivity and Specificity to Detect Iron Deficiency among Women of Reproductive Age in Johannesburg, South Africa. Nutrients, 12(3), 633. https://doi.org/10.3390/nu12030633

