Evaluation of the Ability of Diet-Tracking Mobile Applications to Estimate Energy and Nutrient Intake in Japan
Abstract
1. Introduction
2. Materials and Methods
2.1. Selection of Diet-Tracking Applications
2.2. Data Extraction
2.3. Comparison of Dietary Intake between a Paper-Based Dietary Record and Applications
2.3.1. Dietary Record Data
2.3.2. Sample Size
2.3.3. Input of Dietary Record Data into Applications
2.4. Assessing the Energy and Nutrient Content of Food Items in the Database of Applications
2.5. Data Analysis
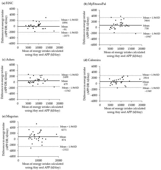
3. Results
3.1. Characteristics of the Selected Diet-Tracking Applications
3.2. Comparison of Dietary Intake between the Applications and the Dietary Record
3.3. Energy and Nutrient Content of Four Food Items
4. Discussion
4.1. Summary of Results
4.2. Food Composition Databases
4.3. Portion Size Estimation
4.4. Other Features
4.5. Limitations
5. Conclusions
Supplementary Materials
Author Contributions
Funding
Acknowledgments
Conflicts of Interest
References
- Shriver, B.J.; Roman-Shriver, C.R.; Long, J.D. Technology-based methods of dietary assessment: Recent developments and considerations for clinical practice. Curr. Opin. Clin. Nutr. Metab. Care 2010, 13, 548–551. [Google Scholar] [CrossRef]
- Cade, J.E. Measuring diet in the 21st century: Use of new technologies. Proc. Nutr. Soc. 2017, 76, 276–282. [Google Scholar] [CrossRef] [PubMed]
- Fallaize, R.; Franco, R.Z.; Pasang, J.; Hwang, F.; Lovegrove, J.A. Popular nutrition-related mobile apps: An agreement assessment against a UK reference method. J. Med. Internet Res. 2019, 21, 1–13. [Google Scholar] [CrossRef] [PubMed]
- Sharp, D.B.; Allman-Farinelli, M. Feasibility and validity of mobile phones to assess dietary intake. Nutrition 2014, 30, 1257–1266. [Google Scholar] [CrossRef] [PubMed]
- Illner, A.K.; Freisling, H.; Boeing, H.; Huybrechts, I.; Crispim, S.P.; Slimani, N. Review and evaluation of innovative technologies for measuring diet in nutritional epidemiology. Int. J. Epidemiol. 2012, 41, 1187–1203. [Google Scholar] [CrossRef] [PubMed]
- Ngo, J.; Engelen, A.; Molag, M.; Roesle, J.; García-Segovia, P.; Serra-Majem, L. A review of the use of information and communication technologies for dietary assessment. Br. J. Nutr. 2009, 101, S102–S112. [Google Scholar] [CrossRef]
- Eldridge, A.L.; Piernas, C.; Illner, A.-K.; Gibney, M.J.; Gurinović, M.A.; de Vries, J.H.M.; Cade, J.E. Evaluation of new technology-based tools for dietary intake—An ILSI Europe Dietary Intake and Exposure Task Force evaluation. Nutrients 2018, 11, 55. [Google Scholar] [CrossRef]
- Turner-McGrievy, G.M.; Beets, M.W.; Moore, J.B.; Kaczynski, A.T.; Barr-Anderson, D.J.; Tate, D.F. Comparison of traditional versus mobile app self-monitoring of physical activity and dietary intake among overweight adults participating in an mHealth weight loss program. J. Am. Med. Inform. Assoc. 2013, 20, 513–518. [Google Scholar] [CrossRef]
- Chen, J.; Lieffers, J.; Bauman, A.; Hanning, R.; Allman-Farinelli, M. The use of smartphone health apps and other mobile health (mHealth) technologies in dietetic practice: A three country study. J. Hum. Nutr. Diet. 2017, 30, 439–452. [Google Scholar] [CrossRef]
- Sauceda, A.; Frederico, C.; Pellechia, K.; Starin, D. Results of the Academy of Nutrition and Dietetics’ Consumer Health Informatics Work Group’s 2015 Member App Technology Survey. J. Acad. Nutr. Diet. 2016, 116, 1336–1338. [Google Scholar] [CrossRef]
- Martin, C.K.; Han, H.; Coulon, S.M.; Allen, H.R.; Champagne, C.M.; Anton, S.D. A novel method to remotely measure food intake of free-living individuals in real time: The remote food photography method. Br. J. Nutr. 2009, 101, 446–456. [Google Scholar] [CrossRef]
- Carter, M.C.; Burley, V.J.; Nykjaer, C.; Cade, J.E. Adherence to a smartphone application for weight loss compared to website and paper diary: Pilot randomized controlled trial. J. Med. Internet Res. 2013, 15, 1–17. [Google Scholar] [CrossRef]
- Ipjian, M.L.; Johnston, C.S. Smartphone technology facilitates dietary change in healthy adults. Nutrition 2017, 33, 343–347. [Google Scholar] [CrossRef] [PubMed]
- Ambrosini, G.L.; Hurworth, M.; Giglia, R.; Trapp, G.; Strauss, P. Feasibility of a commercial smartphone application for dietary assessment in epidemiological research and comparison with 24-h dietary recalls. Nutr. J. 2018, 17, 5. [Google Scholar] [CrossRef]
- Hutchesson, M.J.; Rollo, M.E.; Callister, R.; Collins, C.E. Self-monitoring of dietary intake by young women: Online food records completed on computer or smartphone are as accurate as paper-based food records but more acceptable. J. Acad. Nutr. Diet. 2015, 115, 87–94. [Google Scholar] [CrossRef] [PubMed]
- Khazen, W.; Jeanne, J.F.; Demaretz, L.; Schäfer, F.; Fagherazzi, G. Rethinking the use of mobile apps for dietary assessment in medical research. J. Med. Internet Res. 2020, 22, e15619. [Google Scholar] [CrossRef] [PubMed]
- Bardus, M.; van Beurden, S.B.; Smith, J.R.; Abraham, C. A review and content analysis of engagement, functionality, aesthetics, information quality, and change techniques in the most popular commercial apps for weight management. Int. J. Behav. Nutr. Phys. Act. 2016, 13, 1–9. [Google Scholar] [CrossRef]
- Tang, J.; Abraham, C.; Stamp, E.; Greaves, C. How can weight-loss app designers’ best engage and support users? A qualitative investigation. Br. J. Health Psychol. 2015, 20, 151–171. [Google Scholar] [CrossRef]
- Griffiths, C.; Harnack, L.; Pereira, M.A. Assessment of the accuracy of nutrient calculations of five popular nutrition tracking applications. Public Health Nutr. 2018, 21, 1495–1502. [Google Scholar] [CrossRef]
- Carter, M.C.; Burley, V.J.; Nykjaer, C.; Cade, J.E. My Meal Mate (MMM): Validation of the diet measures captured on a smartphone application to facilitate weight loss. Br. J. Nutr. 2013, 109, 539–546. [Google Scholar] [CrossRef]
- Teixeira, V.; Voci, S.M.; Mendes-Netto, R.S.; da Silva, D.G. The relative validity of a food record using the smartphone application MyFitnessPal. Nutr. Diet. 2018, 75, 219–225. [Google Scholar] [CrossRef] [PubMed]
- Maringer, M.; Wisse-Voorwinden, N.; Van’T Veer, P.; Geelen, A. Food identification by barcode scanning in the Netherlands: A quality assessment of labelled food product databases underlying popular nutrition applications. Public Health Nutr. 2019, 22, 1215–1222. [Google Scholar] [CrossRef] [PubMed]
- Braz, V.N.; de Moraes Lopes, M.H.B. Evaluation of mobile applications related to nutrition. Public Health Nutr. 2019, 22, 1209–1214. [Google Scholar] [CrossRef] [PubMed]
- Chen, J.; Cade, J.E.; Allman-Farinelli, M. The most popular smartphone apps for weight loss: A quality assessment. JMIR mHealth uHealth 2015, 3, e104. [Google Scholar] [CrossRef] [PubMed]
- Ferrara, G.; Kim, J.; Lin, S.; Hua, J.; Seto, E. A focused review of smartphone diet-tracking apps: Usability, functionality, coherence with behavior change theory, and comparative validity of nutrient intake and energy estimates. JMIR mHealth uHealth 2019, 7, 1–16. [Google Scholar] [CrossRef]
- Rangan, A.M.; Connor, S.O.; Giannelli, V.; Yap, M.L.H.; Ming, L.; Hon, B.C.S.; Roy, R.; Chun, J.; Louie, Y.; Hebden, L.; et al. Electronic Dietary Intake Assessment (e-DIA): Comparison of a mobile phone digital entry app for dietary data collection with 24-hour dietary recalls. JMIR mHealth uHealth 2015, 3, e98. [Google Scholar] [CrossRef]
- iTunes Search API. Available online: https://affiliate.itunes.apple.com/resources/documentation/itunes-store-web-service-search-api/ (accessed on 4 August 2020).
- Nikolaou, C.K.; Lean, M.E.J. Mobile applications for obesity and weight management: Current market characteristics. Int. J. Obes. 2017, 41, 200–202. [Google Scholar] [CrossRef]
- Li, Y.; Ding, J.; Wang, Y.; Tang, C.; Zhang, P. Nutrition-related mobile apps in the China app store: Assessment of functionality and quality. JMIR mHealth uHealth 2019, 7, 1–11. [Google Scholar] [CrossRef]
- Maringer, M.; Van’T Veer, P.; Klepacz, N.; Verain, M.C.D.; Normann, A.; Ekman, S.; Timotijevic, L.; Raats, M.M.; Geelen, A. User-documented food consumption data from publicly available apps: An analysis of opportunities and challenges for nutrition research. Nutr. J. 2018, 17, 59. [Google Scholar] [CrossRef]
- Schoeppe, S.; Alley, S.; Rebar, A.L.; Hayman, M.; Bray, N.A.; Van Lippevelde, W.; Gnam, J.P.; Bachert, P.; Direito, A.; Vandelanotte, C. Apps to improve diet, physical activity and sedentary behaviour in children and adolescents: A review of quality, features and behaviour change techniques. Int. J. Behav. Nutr. Phys. Act. 2017, 14, 1–10. [Google Scholar] [CrossRef]
- Xu, W.; Liu, Y. mHealthApps: A repository and database of mobile health apps. JMIR mHealth uHealth 2015, 3, e28. [Google Scholar] [CrossRef]
- Zaidan, S.; Roehrer, E. Popular mobile phone apps for diet and weight loss: A content analysis. JMIR mHealth uHealth 2016, 4, e80. [Google Scholar] [CrossRef]
- Schumer, H.; Amadi, C.; Joshi, A. Evaluating the dietary and nutritional apps in the google play store. Healthc. Inform. Res. 2018, 24, 38–45. [Google Scholar] [CrossRef]
- Franco, R.Z.; Fallaize, R.; Lovegrove, J.A.; Hwang, F. Popular nutrition-related mobile apps: A feature assessment. JMIR mHealth uHealth 2016, 4, e85. [Google Scholar] [CrossRef]
- Asakura, K.; Uechi, K.; Sasaki, Y.; Masayasu, S.; Sasaki, S. Estimation of sodium and potassium intakes assessed by two 24 h urine collections in healthy Japanese adults: A nationwide study. Br. J. Nutr. 2014, 112, 1195–1205. [Google Scholar] [CrossRef] [PubMed]
- Asakura, K.; Uechi, K.; Masayasu, S.; Sasaki, S. Sodium sources in the Japanese diet: Difference between generations and sexes. Public Health Nutr. 2016, 19, 2011–2023. [Google Scholar] [CrossRef]
- Shinozaki, N.; Murakami, K.; Masayasu, S.; Sasaki, S. Development and simulated validation of a dish composition database for estimating food group and nutrient intakes in Japan. Public Health Nutr. 2019, 22, 2367–2380. [Google Scholar] [CrossRef] [PubMed]
- Council for Science and Technology; Ministry of Education, Culture, Sports Science and Technology, Japan. Standard Tables of Food Composition in Japan 2015, 7th revised ed.; Official Gazette Co-Operation of Japan: Tokyo, Japan, 2015. [Google Scholar]
- Whybrow, S.; Horgan, G.W.; Macdiarmid, J.I. Self-reported food intake decreases over recording period in the National Diet and Nutrition Survey. Br. J. Nutr. 2020, 124, 586–590. [Google Scholar] [CrossRef]
- Mela, D.J.; MWoolner, E. Perspective: Total, added, or free? What kind of sugars should we be talking about? Adv. Nutr. 2018, 9, 63–69. [Google Scholar] [CrossRef] [PubMed]
- Bland, J.M.; Altman, D.G. Comparing methods of measurement: Why plotting difference against standard method is misleading. Lancet 1995, 346, 1085–1087. [Google Scholar] [CrossRef]
- Giavarina, D. Understanding Bland Altman analysis. Biochem. Med. 2015, 25, 141–151. [Google Scholar]
- Chen, J.; Berkman, W.; Bardouh, M.; Ng, C.Y.K.; Allman-Farinelli, M. The use of a food logging app in the naturalistic setting fails to provide accurate measurements of nutrients and poses usability challenges. Nutrition 2019, 57, 208–216. [Google Scholar]
- Dietary Reference Intake for Japanese. 2020. Available online: https://www.mhlw.go.jp/content/10904750/000586553.pdf (accessed on 3 September 2020).
- Food Labeling Act. Available online: https://www.caa.go.jp/policies/policy/food_labeling/food_labeling_act/ (accessed on 15 September 2020).
- Shinozaki, N.; Murakami, K.; Masayasu, S.; Sasaki, S. Validity of a dish composition database for estimating protein, sodium and potassium intakes against 24 h urinary excretion: Comparison with a standard food composition database. Public Health Nutr. 2020, 23, 1297–1306. [Google Scholar] [PubMed]
- Amoutzopoulos, B.; Page, P.; Roberts, C.; Roe, M.; Cade, J.; Steer, T.; Baker, R.; Hawes, T.; Galloway, C.; Yu, D.; et al. Portion size estimation in dietary assessment: A systematic review of existing tools, their strengths and limitations. Nutr. Rev. 2020, 78, 885–900. [Google Scholar] [PubMed]
- Beasley, J.; Riley, W.T.; Jean-Mary, J. Accuracy of a PDA-based dietary assessment program. Nutrition 2005, 21, 672–677. [Google Scholar] [PubMed]
- Hernández, T.; Wilder, L.; Kuehn, D.; Rubotzky, K.; Moser-Veillon, P.; Godwin, S.; Thompson, C.; Wang, C. Portion size estimation and expectation of accuracy. J. Food Compos. Anal. 2006, 19, 14–21. [Google Scholar]
- Lieffers, J.R.L.; Arocha, J.F.; Grindrod, K.; Hanning, R.M. Experiences and perceptions of adults accessing publicly available nutrition behavior-change mobile apps for weight management. J. Acad. Nutr. Diet. 2018, 118, 229–239.e3. [Google Scholar]
- Azar, K.M.J.; Lesser, L.I.; Laing, B.Y.; Stephens, J.; Aurora, M.S.; Burke, L.E.; Palaniappan, L.P. Mobile applications for weight management: Theory-based content analysis. Am. J. Prev. Med. 2013, 45, 583–589. [Google Scholar]
- White Paper Information and Communications in Japan. Available online: https://www.soumu.go.jp/johotsusintokei/whitepaper/ja/r02/pdf/index.html (accessed on 26 October 2020).


| Function | FiNC | MyFitnessPal | Asken | Calomiru | Mogutan |
|---|---|---|---|---|---|
| Food items available in the database | |||||
| General foods and dishes | ✓ | ✓ | ✓ | ✓ | ✓ |
| Restaurant meals | ✓ | ✓ | ✓ | ✓ | None |
| Branded food products | ✓ | ✓ | ✓ | ✓ | Only four items |
| Number of food items | No information | ≥4,000,000 | ≥100,000 | About 4000 for general foods/about 15,000 for restaurant meals and branded food products | 278 |
| Sources of nutrient content of foods | |||||
| Food manufacturers | No information | ✓ | ✓ | ✓ | No information |
| Estimation by application vendors | No information | ✓ | ✓ | ✓ | No information |
| National nutrient databases | No information | USDA SR Crowd-sourced database b | STFCJ 2015 | Not specified c | No information |
| User-generated data | None | ✓ | None | None | None |
| Input of eating occasion | |||||
| Eating occasion category | Breakfast/lunch/dinner/snack | Customizable up to six categories | Breakfast/lunch/dinner/snack | Breakfast/lunch/dinner/snack | Breakfast/lunch/dinner/snack |
| Time of eating | ✓ | ✓ | ✓ | ✓ | None |
| Input methods of food intake | |||||
| Food images | ✓ | None | ✓ d | ✓ | None |
| Text search from food databases | ✓ | ✓ | ✓ | ✓ | None |
| Barcode scanner | None | ✓ | None | None | None |
| Original recipes or foods | None | ✓ | None | ✓ | ✓ |
| Other | None | None | None | None | Select from food stickers |
| Quantification of food intake | Percentage to standard serving sizes (unit: 10%) | Percentage to standard serving sizes (unit: 1%) or amount (gram/milliliter/cup/ounce) | Percentage to standard serving sizes (unit: any percentages) or energy content | Percentage to standard serving sizes (unit: 1%) | Three PS categories: all/half/a little or energy content |
| Methods to calculate nutrient intake | |||||
| Manual calculation by dietitians | None | None | None | ✓ | None |
| Automated calculation from inputted food intake | ✓ | ✓ | ✓ | ✓ | ✓ |
| Semiautomatic image analysis | ✓ | None | None | ✓ | None |
| Output of dietary variables (shown as intake values) | Energy and 15 nutrients (+sugar for the premium version) | Energy and 12 nutrients | Energy (+13 nutrients for the premium version) | Energy and 5 nutrients | Energy |
| Validation studies | None | Two studies | None | None | None |
| Paper-based DR a | FiNC b,c | MyFitnessPal b | Asken b,d | Calomiru b | Mogutan b | ||||||||||||||||||
|---|---|---|---|---|---|---|---|---|---|---|---|---|---|---|---|---|---|---|---|---|---|---|---|
| Variables | Median | P25 | P75 | Median | P25 | P75 | Pe | Median | P25 | P75 | Pe | Median | P25 | P75 | Pe | Median | P25 | P75 | Pe | Median | P25 | P75 | Pe |
| Energy (kJ/day) | 8556 | 6514 | 10,095 | 8512 | 6853 | 10,887 | 0.77 | 10,170 | 6936 | 11784 | 0.003 | 9065 | 6732 | 11,891 | 0.02 | 9010 | 7376 | 11,803 | 0.001 | 9525 | 7092 | 11,724 | 0.004 |
| Protein (g/day) | 69.2 | 61.7 | 80.9 | 72.5 | 56.0 | 83.0 | 0.83 | 65.3 | 53.3 | 86.2 | 0.88 | 75.2 | 56.6 | 97.9 | 0.06 | 74.8 | 62.6 | 100.0 | 0.0004 | - | - | - | - |
| Total fat (g/day) | 59.1 | 34.2 | 74.8 | 58.0 | 39.0 | 88.0 | 0.33 | 56.1 | 39.9 | 79.9 | 0.46 | 61.0 | 42.6 | 80.4 | 0.09 | 60.7 | 38.3 | 85.9 | 0.06 | - | - | - | - |
| Saturated fatty acid (g/day) | 14.6 | 9.6 | 23.3 | - | - | - | - | 2.1 | 0.4 | 6.0 | <0.0001 | 17.1 | 11.0 | 23.8 | 0.99 | - | - | - | - | - | - | - | - |
| Monounsaturated fatty acid (g/day) | 20.9 | 11.9 | 27.8 | - | - | - | - | 2.7 | 0.0 | 4.7 | <0.0001 | - | - | - | - | - | - | - | - | - | - | - | - |
| Polyunsaturated fatty acid (g/day) | 10.9 | 7.7 | 14.3 | - | - | - | - | 1.6 | 0.4 | 3.3 | <0.0001 | - | - | - | - | - | - | - | - | - | - | - | - |
| Trans fatty acid (g/day) | - | - | - | - | - | - | - | 0.0 | 0.0 | 0.0 | - | - | - | - | - | - | - | - | - | - | - | - | - |
| Cholesterol (mg/day) | 338 | 219 | 549 | - | - | - | - | 8 | 0 | 23 | <0.0001 | - | - | - | - | - | - | - | - | - | - | - | - |
| Carbohydrate (g/day) | 274.3 | 207.5 | 338.0 | 267.5 | 209.0 | 342.0 | 0.74 | 282.3 | 192.7 | 345.8 | 0.45 | 292.4 | 207.1 | 346.9 | 0.03 | 304.7 | 202.8 | 354.7 | 0.008 | - | - | - | - |
| Sugar f (g/day) | - | - | - | 254.5 | 199.0 | 326.0 | - | 5.5 | 0.0 | 16.9 | - | - | - | - | - | 291.2 | 196.2 | 342.6 | - | - | - | - | - |
| Total dietary fiber (g/day) | 12.7 | 8.4 | 16.2 | 12.5 | 9.0 | 16.0 | 0.24 | 6.8 | 3.1 | 10.5 | 0.0002 | 20.5 | 10.6 | 25.5 | <0.0001 | 13.1 | 9.4 | 16.8 | 0.10 | - | - | - | - |
| Sodium g (mg/day) | 3994 | 2700 | 4644 | 3780 | 2953 | 4803 | 0.64 | 2893 | 2039 | 4215 | 0.03 | 4213 | 3346 | 5591 | 0.004 | 4750 | 3839 | 5264 | <0.0001 | - | - | - | - |
| Potassium (mg/day) | 2484 | 2032 | 2981 | 2501 | 2026 | 2945 | 0.46 | 1033 | 331 | 1580 | <0.0001 | - | - | - | - | - | - | - | - | - | - | - | - |
| Calcium (mg/day) | 447 | 312 | 664 | 437 | 320 | 720 | 0.46 | - h | - | - | - | 501 | 389 | 640 | 0.002 | - | - | - | - | - | - | - | - |
| Magnesium (mg/day) | 270 | 227 | 314 | 274 | 214 | 330 | 0.45 | - | - | - | - | - | - | - | - | - | - | - | - | - | - | - | - |
| Iron (mg/day) | 7.3 | 5.6 | 8.8 | 7.4 | 6.0 | 9.3 | 0.20 | - h | - | - | - | 8.2 | 5.9 | 10.2 | 0.03 | - | - | - | - | - | - | - | - |
| Vitamin A i (µg/day) | 391 | 255 | 628 | - | - | - | - | - h | - | - | - | 450 | 220 | 807 | 0.07 | - | - | - | - | - | - | - | - |
| Vitamin D (µg/day) | 4.0 | 1.7 | 8.4 | 2.6 | 1.5 | 5.6 | 0.07 | - | - | - | - | - | - | - | - | - | - | - | - | - | - | - | - |
| α-Tocopherol (mg/day) | 6.4 | 4.0 | 8.3 | - | - | - | - | - | - | - | - | 8.6 | 5.6 | 11.0 | 0.0001 | - | - | - | - | - | - | - | - |
| Thiamin (mg/day) | 0.95 | 0.64 | 1.32 | 1.00 | 0.70 | 1.60 | 0.10 | - | - | - | - | 1.03 | 0.64 | 1.33 | 0.23 | - | - | - | - | - | - | - | - |
| Riboflavin (mg/day) | 1.24 | 1.02 | 1.51 | 1.40 | 0.90 | 1.70 | 0.33 | - | - | - | - | 1.42 | 0.97 | 1.66 | 0.86 | - | - | - | - | - | - | - | - |
| Niacin (mg/day) | 17.7 | 13.0 | 21.5 | 32.5 | 23.0 | 39.0 | <0.0001 | - | - | - | - | - | - | - | - | - | - | - | - | - | - | - | - |
| Vitamin B-12 (µg/day) | 3.3 | 2.6 | 7.0 | 4.9 | 2.9 | 9.0 | 0.06 | - | - | - | - | - | - | - | - | - | - | - | - | - | - | - | - |
| Vitamin C (mg/day) | 81 | 44 | 121 | 94 | 48 | 130 | 0.35 | - h | - | - | - | 90 | 49 | 125 | 0.27 | - | - | - | - | - | - | - | - |
| FiNC | MyFitnessPal | Asken | Calomiru | Mogutan | |
|---|---|---|---|---|---|
| Variables | r | r | r | r | r |
| Energy (kJ/day) | 0.96 | 0.90 | 0.95 | 0.93 | 0.76 |
| Protein (g/day) | 0.93 | 0.74 | 0.84 | 0.88 | - |
| Total fat (g/day) | 0.87 | 0.81 | 0.89 | 0.88 | - |
| Saturated fatty acid (g/day) | - | 0.26 | 0.86 | - | - |
| Monounsaturated fatty acid (g/day) | - | 0.33 | - | - | - |
| Polyunsaturated fatty acid (g/day) | - | 0.49 | - | - | - |
| Cholesterol (mg/day) | - | 0.23 | - | - | - |
| Carbohydrate (g/day) | 0.95 | 0.82 | 0.95 | 0.92 | - |
| Total dietary fiber (g/day) | 0.93 | 0.55 | 0.89 | 0.85 | - |
| Sodium (mg/day) | 0.81 | 0.47 | 0.73 | 0.76 | - |
| Potassium (mg/day) | 0.92 | 0.51 | - | - | - |
| Calcium (mg/day) | 0.92 | - | 0.84 | - | - |
| Magnesium (mg/day) | 0.91 | - | - | - | - |
| Iron (mg/day) | 0.85 | - | 0.80 | - | - |
| Vitamin A b (μg/day) | - | - | 0.65 | - | - |
| Vitamin D (μg/day) | 0.92 | - | - | - | - |
| α-Tocopherol (mg/day) | - | - | 0.76 | - | - |
| Thiamin (mg/day) | 0.67 | - | 0.72 | - | - |
| Riboflavin (mg/day) | 0.71 | - | 0.55 | - | - |
| Niacin (mg/day) | 0.82 | - | - | - | - |
| Vitamin B-12 (μg/day) | 0.70 | - | - | - | - |
| Vitamin C (mg/day) | 0.73 | - | 0.75 | - | - |
| Dietary Tracking Applications | ||||||||||||
|---|---|---|---|---|---|---|---|---|---|---|---|---|
| FiNC | MyFitnessPal | Asken | Calomiru | Mogutan | ||||||||
| Food items | Reference b | Value | Relative Difference (%) c | Value | Relative Difference (%) c | Value | Relative Difference (%) c | Value | Relative Difference (%) c | Value | Relative Difference (%) c | |
| Pocky Chocolate, Glico, 1 pack | ||||||||||||
| Number of search results d | - | 2 | - | >500 | - | 70 | - | 3 | - | NA | - | |
| Energy (kJ) | 761 | 732 | −4 | 761 | 0 | 732 | −4 | 761 | 0 | 318 | −58 | |
| Protein (g) | 3.0 | 3.1 | 3 | 3.0 | 0 | 3.1 | 3 | 3.1 | 3 | - | - | |
| Total Fat (g) | 8.2 | 7.6 | −7 | 8.2 | 0 | 7.6 | −7 | 8.2 | 0 | - | - | |
| Carbohydrate (g) | 24.0 | 23.5 | −2 | 24.0 | 0 | 23.5 | −2 | 23.9 | 0 | - | - | |
| Stewed chicken curry (pork source), CURRY HOUSE CoCo ICHIBANYA, 1 serving | ||||||||||||
| Number of search results e | - | 2 | - | 22 | - | 3 | - | 2 | - | NA | - | |
| Energy (kJ) | 3661 | 3561 | −3 | 3661 | 0 | 3561 | −3 | 3661 | 0 | 2720 f | −26 f | |
| Protein (g) | 22.7 | 24.2 | 6 | 22.7 | 0 | 24.2 | 7 | 22.7 | 0 | - | - | |
| Total Fat (g) | 28.3 | 25.2 | −11 | 28.3 | 0 | 25.2 | −11 | 28.3 | 0 | - | - | |
| Carbohydrate (g) | 126.7 | 125.4 | −1 | 126.7 | 0 | 125.4 | −1 | 126.7 | 0 | - | - | |
| White rice, cooked, 100 g | ||||||||||||
| Number of search results g | - | 35 | - | 432 | - | 26 | - | >500 | - | NA | - | |
| Energy (kJ) | 703 | 728 h | 4 | 1063 | 51 | 703 | 0 | 698 | -1 | 983 | 40 | |
| Protein (g) | 2.5 | 2.6 h | 4 | 6.1 | 144 | 2.5 | 0 | 2.5 | 0 | - | - | |
| Total Fat (g) | 0.3 | 0.3 h | 0 | 0.9 | 200 | 0.3 | 0 | 0.3 | 0 | - | - | |
| Carbohydrate (g) | 37.1 | 38.6 h | 4 | 77.1 | 108 | 37.1 | 0 | 37.1 | 0 | - | - | |
| Tonjiru (miso soup with pork and vegetables), 1 serving | ||||||||||||
| Number of search results i | - | 163 | - | >500 | - | 104 | - | 237 | - | NA | - | |
| Energy (kJ) | 351 | 849 | 142 | 1100 | 213 | 611 | 74 | 841 | 139 | 1059 | 201 | |
| Protein (g) | 4.7 | 10.6 | 127 | 12.6 | 170 | 9.1 | 95 | 9.4 | 102 | - | - | |
| Total Fat (g) | 4.7 | 11.9 | 155 | 17.0 | 264 | 7.5 | 61 | 12.6 | 170 | - | - | |
| Carbohydrate (g) | 6.2 | 12.7 | 104 | 15.2 | 144 | 10.3 | 66 | 11.9 | 91 | - | - | |
Publisher’s Note: MDPI stays neutral with regard to jurisdictional claims in published maps and institutional affiliations. |
© 2020 by the authors. Licensee MDPI, Basel, Switzerland. This article is an open access article distributed under the terms and conditions of the Creative Commons Attribution (CC BY) license (http://creativecommons.org/licenses/by/4.0/).
Share and Cite
Shinozaki, N.; Murakami, K. Evaluation of the Ability of Diet-Tracking Mobile Applications to Estimate Energy and Nutrient Intake in Japan. Nutrients 2020, 12, 3327. https://doi.org/10.3390/nu12113327
Shinozaki N, Murakami K. Evaluation of the Ability of Diet-Tracking Mobile Applications to Estimate Energy and Nutrient Intake in Japan. Nutrients. 2020; 12(11):3327. https://doi.org/10.3390/nu12113327
Chicago/Turabian StyleShinozaki, Nana, and Kentaro Murakami. 2020. "Evaluation of the Ability of Diet-Tracking Mobile Applications to Estimate Energy and Nutrient Intake in Japan" Nutrients 12, no. 11: 3327. https://doi.org/10.3390/nu12113327
APA StyleShinozaki, N., & Murakami, K. (2020). Evaluation of the Ability of Diet-Tracking Mobile Applications to Estimate Energy and Nutrient Intake in Japan. Nutrients, 12(11), 3327. https://doi.org/10.3390/nu12113327

