Evaluation of the Influence of Raw Almonds on Appetite Control: Satiation, Satiety, Hedonics and Consumer Perceptions
Abstract
1. Introduction
2. Materials and Methods
2.1. Participants
2.2. Design
2.3. Measures
2.3.1. Resting Metabolic Rate, Anthropometrics and Body Composition
2.3.2. Subjective Appetite Sensations
2.3.3. Fixed Energy Breakfast
2.3.4. Mid-Morning Snack
2.3.5. Ad Libitum Energy Intake
2.3.6. Food Reward: Explicit Liking and Implicit Wanting for Food
2.3.7. Palatability Ratings and Consumer Perceptions of the Snack Foods
2.3.8. Satiety Quotient
2.4. Procedure
2.5. Data Analyses
3. Results
3.1. Overall Sample Characteristics
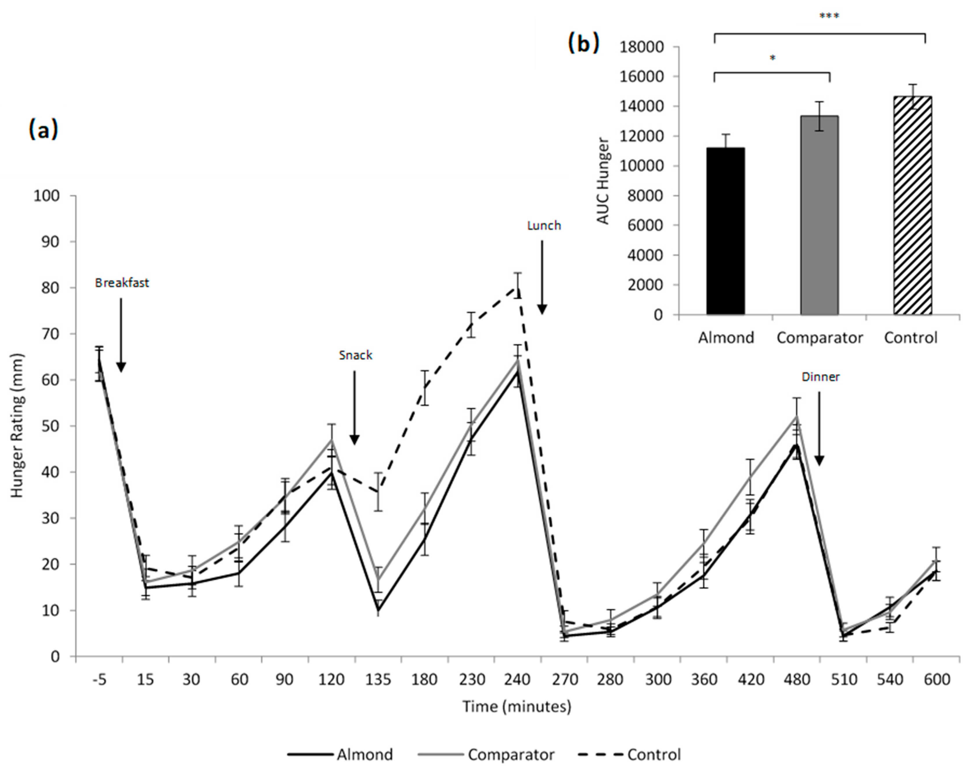
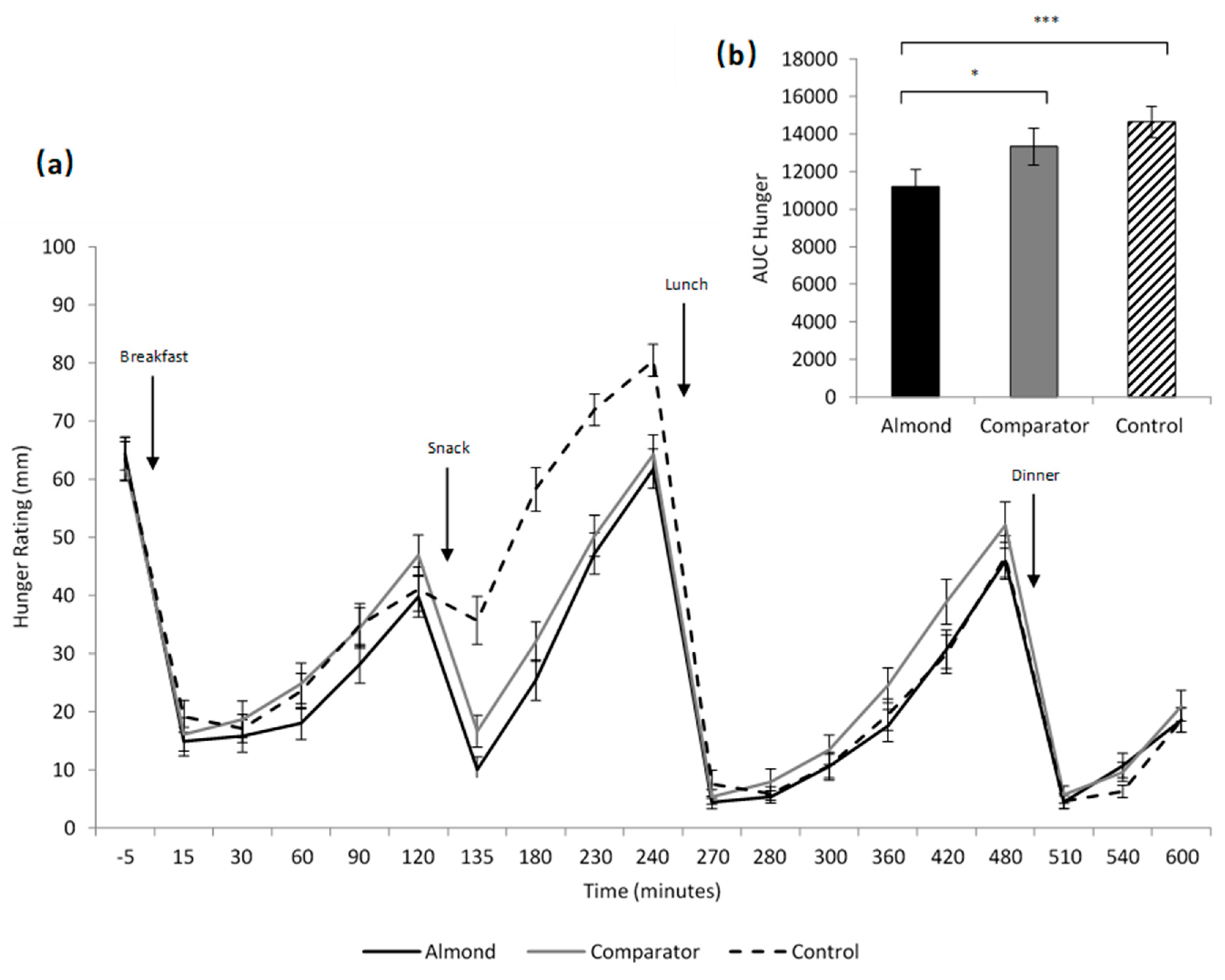
3.2. Subjective Appetite Sensations
3.3. Ad Libitum Energy Intake
3.4. Food Reward-Explicit Liking and Implicit Wanting: Fat Appeal Bias
3.5. Satiety Quotient
3.6. Palatability and Perceptions of the Mid-Morning Snack
4. Discussion
5. Conclusions
Supplementary Materials
Author Contributions
Funding
Conflicts of Interest
References
- Piernas, C.; Popkin, B.M. Snacking Increased among U.S. Adults between 1977 and 2006. J. Nutr. 2009, 140, 325–332. [Google Scholar] [CrossRef] [PubMed]
- Duffey, K.J.; Popkin, B.M. Energy density, portion size, and eating occasions: Contributions to increased energy intake in the United States, 1977–2006. PLoS Med. 2011, 8, e1001050. [Google Scholar] [CrossRef] [PubMed]
- Ortinau, L.C.; Hoertel, H.A.; Douglas, S.M.; Leidy, H.J. Effects of high-protein vs. high-fat snacks on appetite control, satiety, and eating initiation in healthy women. Nutr. J. 2014, 13, 97. [Google Scholar] [CrossRef] [PubMed]
- Zizza, C.A.; Xu, B. Snacking Is Associated with Overall Diet Quality among Adults. J. Acad. Nutr. Diet. 2012, 112, 291–296. [Google Scholar] [CrossRef] [PubMed]
- Miller, R.; Benelam, B.; Stanner, S.; Buttriss, J. Is snacking good or bad for health: An overview. Nutr. Bull. 2013, 38, 302–322. [Google Scholar] [CrossRef]
- Leidy, H.J.; Campbell, W.W. The effect of eating frequency on appetite control and food intake: Brief synopsis of controlled feeding studies. J. Nutr. 2010, 141, 154–157. [Google Scholar] [CrossRef] [PubMed]
- Hartmann, C.; Siegrist, M.; van der Horst, K. Snack frequency: Associations with healthy and unhealthy food choices. Public Health Nutr. 2013, 16, 1487–1496. [Google Scholar] [CrossRef] [PubMed]
- Tremblay, A.; Bellisle, F. Nutrients, satiety, and control of energy intake. Appl. Physiol. Nutr. Metab. 2015, 40, 971–979. [Google Scholar] [CrossRef]
- Blundell, J.; Rogers, P.; Hill, A. Evaluating the satiating power of foods: Implications for acceptance and consumption. In Chemical Composition and Sensory Properties of Food and their Influence on Nutrition; Solms, J., Ed.; Academic Press: London, UK, 1987. [Google Scholar]
- Halford, J.C.; Harrold, J.A. Satiety-enhancing products for appetite control: Science and regulation of functional foods for weight management. Proc. Nutr. Soc. 2012, 71, 350–362. [Google Scholar] [CrossRef]
- Holt, S.; Brand Miller, J.; Petocz, P.; Farmakalidis, E. A satiety index of common foods. Eur. J. Clin. Nutr. 1995, 49, 675–690. [Google Scholar]
- Blundell, J.E.; MacDiarmid, J.I. Fat as a risk factor for overconsumption: Satiation, satiety, and patterns of eating. J. Am. Diet. Assoc. 1997, 97, S63–S69. [Google Scholar] [CrossRef]
- Paddon-Jones, D.; Westman, E.; Mattes, R.D.; Wolfe, R.R.; Astrup, A.; Westerterp-Plantenga, M. Protein, weight management, and satiety. Am. J. Clin. Nutr. 2008, 87, 1558S–1561S. [Google Scholar] [CrossRef] [PubMed]
- Clark, M.J.; Slavin, J.L. The effect of fiber on satiety and food intake: A systematic review. J. Am. Coll. Nutr. 2013, 32, 200–211. [Google Scholar] [CrossRef] [PubMed]
- Rolls, B.J.; Drewnowski, A.; Ledikwe, J.H. Changing the Energy Density of the Diet as a Strategy for Weight Management. J. Am. Diet. Assoc. 2005, 105, 98–103. [Google Scholar] [CrossRef] [PubMed]
- Chambers, L. Food texture and the satiety cascade. Nutr. Bull. 2016, 41, 277–282. [Google Scholar] [CrossRef]
- Campbell, C.L.; Wagoner, T.B.; Foegeding, E.A. Designing foods for satiety: The roles of food structure and oral processing in satiation and satiety. Food Struct. 2017, 13, 1–12. [Google Scholar] [CrossRef]
- Buckland, N.J.; Dalton, M.; Stubbs, R.J.; Hetherington, M.M.; Blundell, J.E.; Finlayson, G. Associations between nutritional properties of food and consumer perceptions related to weight management. Food Qual. Prefer. 2015, 45, 18–25. [Google Scholar] [CrossRef]
- Novotny, J.A.; Gebauer, S.K.; Baer, D.J. Discrepancy between the Atwater factor predicted and empirically measured energy values of almonds in human diets. Am. J. Clin. Nutr. 2012, 96, 296–301. [Google Scholar] [CrossRef]
- Fromentin, G.; Darcel, N.; Chaumontet, C.; Marsset-Baglieri, A.; Nadkarni, N.; Tomé, D. Peripheral and central mechanisms involved in the control of food intake by dietary amino acids and proteins. Nutr. Res. Rev. 2012, 25, 29–39. [Google Scholar] [CrossRef]
- Fraser, G.E.; Bennett, H.W.; Jaceldo, K.B.; Sabaté, J. Effect on body weight of a free 76 kilojoule (320 calorie) daily supplement of almonds for six months. J. Am. Coll. Nutr. 2002, 21, 275–283. [Google Scholar] [CrossRef]
- Sabaté, J. Nut consumption and body weight. Am. J. Clin. Nutr. 2003, 78, 647S–650S. [Google Scholar] [CrossRef] [PubMed]
- Hollis, J.; Mattes, R. Effect of chronic consumption of almonds on body weight in healthy humans. Br. J. Nutr. 2007, 98, 651–656. [Google Scholar] [CrossRef] [PubMed]
- Tan, S.Y.; Mattes, R.D. Appetitive, dietary and health effects of almonds consumed with meals or as snacks: A randomized, controlled trial. Eur. J. Clin. Nutr. 2013, 67, 1205–1214. [Google Scholar] [CrossRef] [PubMed]
- Dhillon, J.; Thorwald, M.; De La Cruz, N.; Vu, E.; Asghar, S.A.; Kuse, Q.; Diaz Rios, L.K.; Ortiz, R.M. Glucoregulatory and Cardiometabolic Profiles of Almond vs. Cracker Snacking for 8 Weeks in Young Adults: A Randomized Controlled Trial. Nutrients 2018, 10, 960. [Google Scholar] [CrossRef] [PubMed]
- Jenkins, D.J.; Kendall, C.W.; Josse, A.R.; Salvatore, S.; Brighenti, F.; Augustin, L.S.; Ellis, P.R.; Vidgen, E.; Rao, A.V. Almonds decrease postprandial glycemia, insulinemia, and oxidative damage in healthy individuals. J. Nutr. 2006, 136, 2987–2992. [Google Scholar] [CrossRef]
- Josse, A.R.; Kendall, C.W.; Augustin, L.S.; Ellis, P.R.; Jenkins, D.J. Almonds and postprandial glycemia—A dose-response study. Metabolism 2007, 56, 400–404. [Google Scholar] [CrossRef]
- Mori, A.M.; Considine, R.V.; Mattes, R.D. Acute and second-meal effects of almond form in impaired glucose tolerant adults: A randomized crossover trial. Nutr. Metab. 2011, 8, 6. [Google Scholar] [CrossRef]
- Hull, S.; Re, R.; Chambers, L.; Echaniz, A.; Wickham, M.S. A mid-morning snack of almonds generates satiety and appropriate adjustment of subsequent food intake in healthy women. Eur. J. Nutr. 2015, 54, 803–810. [Google Scholar] [CrossRef]
- Gibbons, C.; Caudwell, P.; Finlayson, G.; King, N.; Blundell, J. Validation of a new hand-held electronic data capture method for continuous monitoring of subjective appetite sensations. Int. J. Behav. Nutr. Phys. Act. 2011, 8, 57. [Google Scholar] [CrossRef]
- Finlayson, G.; King, N.; Blundell, J. The role of implicit wanting in relation to explicit liking and wanting for food: Implications for appetite control. Appetite 2008, 50, 120–127. [Google Scholar] [CrossRef]
- Dalton, M.; Finlayson, G. Psychobiological examination of liking and wanting for fat and sweet taste in trait binge eating females. Physiol. Behav. 2014, 136, 128–134. [Google Scholar] [CrossRef] [PubMed]
- Green, S.; Delargy, H.; Joanes, D.; Blundell, J. A satiety quotient: A formulation to assess the satiating effect of food. Appetite 1997, 29, 291–304. [Google Scholar] [CrossRef] [PubMed]
- Drapeau, V.; King, N.; Hetherington, M.; Doucet, E.; Blundell, J.; Tremblay, A. Appetite sensations and satiety quotient: Predictors of energy intake and weight loss. Appetite 2007, 48, 159–166. [Google Scholar] [CrossRef] [PubMed]
- Dalton, M.; Hollingworth, S.; Blundell, J.; Finlayson, G. Weak satiety responsiveness is a reliable trait associated with hedonic risk factors for overeating among women. Nutrients 2015, 7, 7421–7436. [Google Scholar] [CrossRef] [PubMed]
- Merrill, A.L. Energy Value of Foods; DIANE Publishing: Collingdale, PA, USA, 1973; Volume 74. [Google Scholar]
- Cassady, B.A.; Hollis, J.H.; Fulford, A.D.; Considine, R.V.; Mattes, R.D. Mastication of almonds: Effects of lipid bioaccessibility, appetite, and hormone response. Am. J. Clin. Nutr. 2009, 89, 794–800. [Google Scholar] [CrossRef] [PubMed]
- Maljaars, P.; Peters, H.; Mela, D.; Masclee, A. Ileal brake: A sensible food target for appetite control. A review. Physiol. Behav. 2008, 95, 271–281. [Google Scholar] [CrossRef] [PubMed]
- Mandalari, G.; Faulks, R.M.; Rich, G.T.; Lo Turco, V.; Picout, D.R.; Lo Curto, R.B.; Bisignano, G.; Dugo, P.; Dugo, G.; Waldron, K.W. Release of protein, lipid, and vitamin E from almond seeds during digestion. J. Agric. Food Chem. 2008, 56, 3409–3416. [Google Scholar] [CrossRef] [PubMed]
- Dalton, M.; Blundell, J.; Finlayson, G.S. Examination of food reward and energy intake under laboratory and free-living conditions in a trait binge eating subtype of obesity. Front. Psychol. 2013, 4, 757. [Google Scholar] [CrossRef]
- Cassady, B.A.; Considine, R.V.; Mattes, R.D. Beverage consumption, appetite, and energy intake: What did you expect? Am. J. Clin. Nutr. 2012, 95, 587–593. [Google Scholar] [CrossRef]
- Brunstrom, J.M. The control of meal size in human subjects: A role for expected satiety, expected satiation and premeal planning. Proc. Nutr. Soc. 2011, 70, 155–161. [Google Scholar] [CrossRef]
- Hogenkamp, P.S.; Schiöth, H.B. Effect of oral processing behaviour on food intake and satiety. Trends Food Sci. Technol. 2013, 34, 67–75. [Google Scholar] [CrossRef]
- Kong, F.; Singh, R.P. Digestion of Raw and Roasted Almonds in Simulated Gastric Environment. Food Biophys. 2009, 4, 365–377. [Google Scholar] [CrossRef]
- Tan, S.Y.; Dhillon, J.; Mattes, R.D. A review of the effects of nuts on appetite, food intake, metabolism, and body weight. Am. J. Clin. Nutr. 2014, 100, 412S–422S. [Google Scholar] [CrossRef] [PubMed]
- Frecka, J.M.; Hollis, J.H.; Mattes, R.D. Effects of appetite, BMI, food form and flavor on mastication: Almonds as a test food. Eur. J. Clin. Nutr. 2007, 62, 1231–1238. [Google Scholar] [CrossRef] [PubMed]
- Varela, P.; Salvador, A.; Fiszman, S. On the assessment of fracture in brittle foods: The case of roasted almonds. Food Res. Int. 2008, 41, 544–551. [Google Scholar] [CrossRef]
- Foster, G.D.; Shantz, K.L.; Vander Veur, S.S.; Oliver, T.L.; Lent, M.R.; Virus, A.; Szapary, P.O.; Rader, D.J.; Zemel, B.S.; Gilden-Tsai, A. A randomized trial of the effects of an almond-enriched, hypocaloric diet in the treatment of obesity. Am. J. Clin. Nutr. 2012, 96, 249–254. [Google Scholar] [CrossRef] [PubMed]
- Spiller, G.A.; Miller, A.; Olivera, K.; Reynolds, J.; Miller, B.; Morse, S.J.; Dewell, A.; Farquhar, J.W. Effects of Plant-Based Diets High in Raw or Roasted Almonds, or Roasted Almond Butter on Serum Lipoproteins in Humans. J. Am. Coll. Nutr. 2003, 22, 195–200. [Google Scholar] [CrossRef]
- Blundell, J.E.; Gillett, A. Control of food intake in the obese. Obes. Res. 2001, 9, 263S–270S. [Google Scholar] [CrossRef]
- Cornier, M.-A.; Grunwald, G.K.; Johnson, S.L.; Bessesen, D.H. Effects of short-term overfeeding on hunger, satiety, and energy intake in thin and reduced-obese individuals. Appetite 2004, 43, 253–259. [Google Scholar] [CrossRef]
- Jebb, S.A.; Siervo, M.; Frühbeck, G.; Goldberg, G.R.; Murgatroyd, P.R.; Prentice, A.M. Variability of appetite control mechanisms in response to 9 weeks of progressive overfeeding in humans. Int. J. Obes. 2006, 30, 1160–1162. [Google Scholar] [CrossRef][Green Version]
- Akhlaghi, M.; Ghobadi, S.; Zare, M.; Foshati, S. Effect of nuts on energy intake, hunger, and fullness, a systematic review and meta-analysis of randomized clinical trials. Crit. Rev. Food Sci. Nutr. 2018, 1–10. [Google Scholar] [CrossRef] [PubMed]
- Sayer, R.D.; Dhillon, J.; Tamer, G.G.; Cornier, M.-A.; Chen, N.; Wright, A.J.; Campbell, W.W.; Mattes, R.D. Consuming Almonds vs. Isoenergetic Baked Food Does Not Differentially Influence Postprandial Appetite or Neural Reward Responses to Visual Food Stimuli. Nutrients 2017, 9, 807. [Google Scholar] [CrossRef] [PubMed]




| Item | KCAL/100 g | FAT/100 g (%) | CHO/100 g (%) | PRO/100 g (%) |
|---|---|---|---|---|
| Almonds | 595 | 49.9 (75.5) | 9.1 (5.7) | 21.2 (14.2) |
| Savoury Crackers | 581 | 40.6 (62.9) | 38.3 (24.7) | 14.2 (9.8) |
| Mean (Standard Deviation) | |
|---|---|
| Age (years) | 26.0 (7.9) |
| Weight (kg) | 58.5 (6.1) |
| BMI (kg/m2) | 22 (2.0) |
| Waist (cm) | 73.5 (5.6) |
| Fat Mass (kg) | 15.4 (5.0) |
| Fat Free Mass (kg) | 43.0 (4.1) |
| Body Fat (%) | 26.0 (6.7) |
| TFEQ Restraint | 9.4 (4.8) |
| TFEQ Disinhibition | 7.6 (2.8) |
| TFEQ Hunger | 6.1 (3.2) |
| Mean (Standard Deviation) | |
|---|---|
| Explicit liking | |
| Almond | 7.8 (17.2) |
| Comparator | 6.6 (18.3) |
| Control | 11.7 (17.3) |
| Implicit wanting | |
| Almond | 10.6 (30.6) |
| Comparator | 5.5 (40.1) |
| Control | 20.3 (27.7) |
| Almond | Comparator | p value | |
|---|---|---|---|
| How strong is your desire to eat more? | 2.4 (2.2) | 3.6 (2.4) | p < 0.01 |
| How difficult was it to consume the snack? | 5.1 (2.6) | 2.7 (1.9) | p < 0.001 |
| How suitable was the portion size? | 7.4 (1.4) | 6.6 (1.5) | p < 0.01 |
| How much more could you eat of the snack? | 2.2 (1.6) | 2.8 (1.7) | p < 0.05 |
| How often do you consume this kind of snack? | 3.1 (1.4) | 2.8 (1.1) | p = 0.24 |
| How pleasant was the taste of the snack? | 4.7 (1.7) | 5.2 (1.5) | p = 0.12 |
| How sweet was the snack? | 2.8 (1.5) | 1.8 (1.2) | p < 0.001 |
| How intense was the snack? | 3.8 (1.5) | 4.5 (1.4) | p < 0.05 |
| To what extent do you think the snack is healthy? | 6.0 (1.0) | 2.4 (1.3) | p < 0.001 |
| To what extent do you think the snack is high fat? | 4.3 (2.1) | 5.1 (1.5) | p < 0.05 |
| To what extent do you think the snack is high calorie? | 4.5 (2.1) | 5.2 (1.5) | p < 0.05 |
| How filling do you consider the snack to be? | 5.4 (1.2) | 4.2 (1.4) | p < 0.001 |
| To what extent do you associate this snack with successful weight management? | 5.2 (1.6) | 2.1 (1.3) | p < 0.001 |
| To what extent do you associate this snack with consuming too much? | 3.1 (1.9) | 4.9 (1.7) | p < 0.001 |
© 2019 by the authors. Licensee MDPI, Basel, Switzerland. This article is an open access article distributed under the terms and conditions of the Creative Commons Attribution (CC BY) license (http://creativecommons.org/licenses/by/4.0/).
Share and Cite
Hollingworth, S.; Dalton, M.; Blundell, J.E.; Finlayson, G. Evaluation of the Influence of Raw Almonds on Appetite Control: Satiation, Satiety, Hedonics and Consumer Perceptions. Nutrients 2019, 11, 2030. https://doi.org/10.3390/nu11092030
Hollingworth S, Dalton M, Blundell JE, Finlayson G. Evaluation of the Influence of Raw Almonds on Appetite Control: Satiation, Satiety, Hedonics and Consumer Perceptions. Nutrients. 2019; 11(9):2030. https://doi.org/10.3390/nu11092030
Chicago/Turabian StyleHollingworth, Sophie, Michelle Dalton, John E. Blundell, and Graham Finlayson. 2019. "Evaluation of the Influence of Raw Almonds on Appetite Control: Satiation, Satiety, Hedonics and Consumer Perceptions" Nutrients 11, no. 9: 2030. https://doi.org/10.3390/nu11092030
APA StyleHollingworth, S., Dalton, M., Blundell, J. E., & Finlayson, G. (2019). Evaluation of the Influence of Raw Almonds on Appetite Control: Satiation, Satiety, Hedonics and Consumer Perceptions. Nutrients, 11(9), 2030. https://doi.org/10.3390/nu11092030

