Passive Commuting and Higher Sedentary Time Is Associated with Vitamin D Deficiency in Adult and Older Women: Results from Chilean National Health Survey 2016–2017
Abstract
1. Introduction
2. Material and Methods
2.1. Study Population
2.2. Survey and Sample
2.3. Serum Vitamin D Levels
2.4. Physical Activity
2.5. Leisure-Time Physical Activity
2.6. Commute Mode
2.7. Sedentary Time
2.8. Covariates
2.9. Statistical Analysis
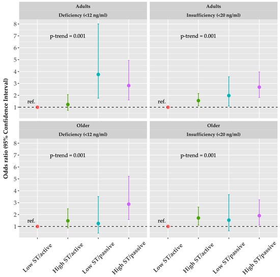
3. Results
3.1. Adults
3.2. Older
4. Discussion
5. Conclusions
Supplementary Materials
Author Contributions
Funding
Acknowledgments
Conflicts of Interest
References
- Gil, Á.; Plaza-Díaz, J.; Mesa, M.D. Vitamin D: Classic and Novel Actions. Ann. Nutr. Metab. 2018, 72, 87–95. [Google Scholar] [CrossRef] [PubMed]
- Holick, M.F. Vitamin D Deficiency. N. Engl. J. Med. 2007, 357, 266–281. [Google Scholar] [CrossRef] [PubMed]
- Aghajafari, F.; Letourneau, N.; Mahinpey, N.; Cosic, N.; Giesbrecht, G. Vitamin D Deficiency and Antenatal and Postpartum Depression: A Systematic Review. Nutrients 2018, 10, 10. [Google Scholar] [CrossRef] [PubMed]
- Pilz, S.; Zittermann, A.; Obeid, R.; Hahn, A.; Pludowski, P.; Trummer, C.; Lerchbaum, E.; Pérez-López, F.R.; Karras, S.N.; März, W. The Role of Vitamin D in Fertility and during Pregnancy and Lactation: A Review of Clinical Data. Int. J. Environ. Res. Public Health 2018, 15, 2241. [Google Scholar] [CrossRef] [PubMed]
- Visser, M.; Deeg, D.J.H.; Lips, P. Low Vitamin D and High Parathyroid Hormone Levels as Determinants of Loss of Muscle Strength and Muscle Mass (Sarcopenia): The Longitudinal Aging Study Amsterdam. J. Clin. Endocrinol. Metab. 2003, 88, 5766–5772. [Google Scholar] [CrossRef] [PubMed]
- Mathieu, S.-V.; Fischer, K.; Dawson-Hughes, B.; Freystaetter, G.; Beuschlein, F.; Schietzel, S.; Egli, A.; Bischoff-Ferrari, H.A. Association between 25-Hydroxyvitamin D Status and Components of Body Composition and Glucose Metabolism in Older Men and Women. Nutrients 2018, 10, 1826. [Google Scholar] [CrossRef] [PubMed]
- Cameron, I.D.; Dyer, S.M.; Panagoda, C.E.; Murray, G.R.; Hill, K.D.; Cumming, R.G.; Kerse, N. Interventions for preventing falls in older people in care facilities and hospitals. Cochrane Database Syst. Rev. 2018, 9, CD005465. [Google Scholar] [CrossRef]
- Zhang, R.; Naughton, D.P. Vitamin D in health and disease: Current perspectives. Nutr. J. 2010, 9, 65. [Google Scholar] [CrossRef]
- Agostini, D.; Zeppa, S.D.; Lucertini, F.; Annibalini, G.; Gervasi, M.; Marini, C.F.; Piccoli, G.; Stocchi, V.; Barbieri, E.; Sestili, P. Muscle and Bone Health in Postmenopausal Women: Role of Protein and Vitamin D Supplementation Combined with Exercise Training. Nutrients 2018, 10, 1103. [Google Scholar] [CrossRef]
- Mouratidou, T.; Vicente-Rodríguez, G.; Gracia-Marco, L.; Huybrechts, I.; Sioen, I.; Widhalm, K.; Valtueña, J.; González-Gross, M.; Moreno, L.A.; HELENA Study Group. Associations of Dietary Calcium, Vitamin D, Milk Intakes, and 25-Hydroxyvitamin D With Bone Mass in Spanish Adolescents: The HELENA Study. J. Clin. Densitom. 2013, 16, 110–117. [Google Scholar] [CrossRef]
- Zgaga, L.; Theodoratou, E.; Farrington, S.M.; Agakov, F.; Tenesa, A.; Walker, M.; Knox, S.; Wallace, A.M.; Cetnarskyj, R.; McNeill, G.; et al. Diet, Environmental Factors, and Lifestyle Underlie the High Prevalence of Vitamin D Deficiency in Healthy Adults in Scotland, and Supplementation Reduces the Proportion That Are Severely Deficient. J. Nutr. 2011, 141, 1535–1542. [Google Scholar] [CrossRef] [PubMed]
- Scragg, R.; Rahman, J.; Thornley, S. Association of sun and UV exposure with blood pressure and cardiovascular disease: A systematic review. J. Steroid Biochem. Mole. Biol. 2018. [Google Scholar] [CrossRef] [PubMed]
- Pilz, S.; März, W.; Cashman, K.D.; Kiely, M.E.; Whiting, S.J.; Holick, M.F.; Grant, W.B.; Pludowski, P.; Hiligsmann, M.; Trummer, C.; et al. Rationale and Plan for Vitamin D Food Fortification: A Review and Guidance Paper. Front. Endocrinol. 2018, 9, 373. [Google Scholar] [CrossRef] [PubMed]
- Brito, A.; Cori, H.; Olivares, M.; Mujica, M.F.; Cediel, G.; De Romaña, D.L. Less than Adequate Vitamin D Status and Intake in Latin America and the Caribbean: A Problem of Unknown Magnitude. Food Nutr. Bull. 2013, 34, 52–64. [Google Scholar] [CrossRef] [PubMed]
- Rodríguez, P.J.A.; Valdivia, C.G.; Trincado, M.P. Vertebral fractures, osteoporosis and vitamin D levels in Chilean postmenopausal women. Rev. Méd. Chile 2007, 135, 31–36. [Google Scholar]
- Holick, M.F.; Binkley, N.C.; Bischoff-Ferrari, H.A.; Gordon, C.M.; Hanley, D.A.; Heaney, R.P.; Murad, M.H.; Weaver, C.M. Evaluation, Treatment, and Prevention of Vitamin D Deficiency: An Endocrine Society Clinical Practice Guideline. J. Clin. Endocrinol. Metab. 2011, 96, 1911–1930. [Google Scholar] [CrossRef]
- Ross, A.C.; Taylor, C.L.; Yaktine, A.L.; Del Valle, H.B. (Eds.) Dietary Reference Intakes for Calcium and Vitamin D; National Academies Press: Washington, DC, USA, 2011. [Google Scholar]
- Schweitzer, D.; Amenabar, P.P.; Botello, E.; Lopez, M.; Saavedra, Y.; Klaber, I. Vitamin d levels among chilean older subjects with low energy hip fracture. Rev. Med. Chile 2016, 144, 175–180. [Google Scholar] [CrossRef]
- Carrasco, G.M.; De Dominguez, L.A.; Martinez, F.G.; Ihle, S.S.; Rojas, A.V.; Foradori, C.A.; Marin, L.P. Vitamin d levels in older healthy chilean adults and their association with functional performance. Rev. Med. Chile 2014, 142, 1385–1391. [Google Scholar]
- Piercy, K.L.; Troiano, R.P.; Ballard, R.M.; Carlson, S.A.; Fulton, J.E.; Galuska, D.A.; George, S.M.; Olson, R.D. The Physical Activity Guidelines for Americans. JAMA 2018, 320, 2020–2028. [Google Scholar] [CrossRef]
- Foster, C.; Moore, J.B.; Singletary, C.R.; Skelton, J.A. Physical activity and family-based obesity treatment: A review of expert recommendations on physical activity in youth. Clin. Obes. 2017, 8, 68–79. [Google Scholar] [CrossRef]
- Da Silva, A.C.M.; Cureau, F.V.; De Oliveira, C.L.; Giannini, D.T.; Bloch, K.V.; Kuschnir, M.C.C.; Dutra, E.S.; Schaan, B.D.; De Carvalho, K.M.B. Physical activity but not sedentary time is associated with vitamin D status in adolescents: Study of cardiovascular risk in adolescents (ERICA). Eur. J. Clin. Nutr. 2018, 1. [Google Scholar] [CrossRef] [PubMed]
- Hill, R.L.; Heesch, K.C. The Problem of Physical Inactivity Worldwide Among Older People; Springer: Berlin, Germany, 2018; pp. 25–41. [Google Scholar]
- Mañas, A.; Del Pozo-Cruz, B.; Guadalupe-Grau, A.; Marín-Puyalto, J.; Alfaro-Acha, A.; Rodriguez-Mañas, L.; García-García, F.J.; Ara, I. Reallocating Accelerometer-Assessed Sedentary Time to Light or Moderate- to Vigorous-Intensity Physical Activity Reduces Frailty Levels in Older Adults: An Isotemporal Substitution Approach in the TSHA Study. J. Am. Med. Dir. Assoc. 2018, 19, 185.e1–185.e6. [Google Scholar]
- Warburton, D.E.; Bredin, S.S. Lost in Translation: What Does the Physical Activity and Health Evidence Actually Tell Us? In Lifestyle in Heart Health and Disease; Elsevier: Amsterdam, The Netherland, 2018; pp. 175–186. [Google Scholar]
- Gerdhem, P.; Ringsberg, K.A.M.; Obrant, K.J.; Åkesson, K. Association between 25-hydroxy vitamin D levels, physical activity, muscle strength and fractures in the prospective population-based OPRA Study of Elderly Women. Osteoporos. Int. 2005, 16, 1425–1431. [Google Scholar] [CrossRef] [PubMed]
- Wicherts, I.S.; Van Schoor, N.M.; Boeke, A.J.P.; Visser, M.; Deeg, D.J.H.; Smit, J.; Knol, D.L.; Lips, P. Vitamin D Status Predicts Physical Performance and Its Decline in Older Persons. J. Clin. Endocrinol. Metab. 2007, 92, 2058–2065. [Google Scholar] [CrossRef]
- Van den Heuvel, E.G.H.M.; Van Schoor, N.; De Jongh, R.T.; Visser, M.; Lips, P. Cross-sectional study on different characteristics of physical activity as determinants of vitamin D status; inadequate in half of the population. Eur. J. Clin. Nutr. 2013, 67, 360–365. [Google Scholar] [CrossRef] [PubMed]
- De Rui, M.; Toffanello, E.D.; Veronese, N.; Zambon, S.; Bolzetta, F.; Sartori, L.; Musacchio, E.; Corti, M.C.; Baggio, G.; Crepaldi, G.; et al. Vitamin D Deficiency and Leisure Time Activities in the Elderly: Are All Pastimes the Same? PLoS ONE 2014, 9, e94805. [Google Scholar] [CrossRef] [PubMed]
- Van Schoor, N.M.; Lips, P. Worldwide vitamin D status. Best Pract. Res. Clin. Endocrinol. Metab. 2011, 25, 671–680. [Google Scholar] [CrossRef] [PubMed]
- Encuesta nacional de salud. Encuesta Nacional de Salud (e.N.S) 2016-2017. Primeros Resultados; Encuesta Nacional de Salud: Santiago, Chile, 2018. [Google Scholar]
- Vogeser, M.; Parhofer, K. Liquid Chromatography Tandem-mass Spectrometry (LC-MS/MS) - Technique and Applications in Endocrinology. Exp. Clin. Endocrinol. Diabetes 2007, 115, 559–570. [Google Scholar] [CrossRef]
- Ministerio de Salud. Results Report of Vitamin D; MINSAL: Santiago, Chile, 2018.
- Gatti, D.; El Ghoch, M.; Viapiana, O.; Ruocco, A.; Chignola, E.; Rossini, M.; Giollo, A.; Idolazzi, L.; Adami, S.; Grave, R.D.; et al. Strong relationship between vitamin D status and bone mineral density in anorexia nervosa. Bone 2015, 78, 212–215. [Google Scholar] [CrossRef]
- Orces, C.H. Association between leisure-time aerobic physical activity and vitamin D concentrations among US older adults: The NHANES 2007–2012. Aging Clin. Exp. Res. 2018, 1–9. [Google Scholar] [CrossRef]
- Armstrong, T.; Bull, F. Development of the World Health Organization Global Physical Activity Questionnaire (GPAQ). J. Public Health 2006, 14, 66–70. [Google Scholar] [CrossRef]
- Díaz-Martínez, X.; Steell, L.; Martínez, M.A.; Leiva, A.M.; Salas-Bravo, C.; Labraña, A.M.; Durán, E.; Cristi-Montero, C.; Livingstone, K.M.; Garrido-Méndez, Á.; et al. Higher levels of self-reported sitting time is associated with higher risk of type 2 diabetes independent of physical activity in Chile. J. Public Health 2017, 40, 501–507. [Google Scholar] [CrossRef] [PubMed]
- Chen, H.; Cohen, P.; Chen, S. How Big is a Big Odds Ratio? Interpreting the Magnitudes of Odds Ratios in Epidemiological Studies. Commun. Stat. Simul. Comput. 2010, 39, 860–864. [Google Scholar] [CrossRef]
- Manios, Y.; Moschonis, G.; Lambrinou, C.P.; Mavrogianni, C.; Tsirigoti, L.; Hoeller, U.; Roos, F.F.; Bendik, I.; Eggersdorfer, M.; Celis-Morales, C.; et al. Associations of vitamin D status with dietary intakes and physical activity levels among adults from seven European countries: The Food4Me study. Eur. J. Nutr. 2017, 57, 1357–1368. [Google Scholar] [CrossRef]
- MacLaughlin, J.; Holick, M. Aging decreases the capacity of human skin to produce vitamin D3. J. Clin. Investig. 1985, 76, 1536–1538. [Google Scholar] [CrossRef] [PubMed]
- Lips, P.; Van Ginkel, F.C.; Jongen, M.J.; Rubertus, F.; Van Der Vijgh, W.J.; Netelenbos, J.C. Determinants of vitamin D status in patients with hip fracture and in elderly control subjects. Am. J. Clin. Nutr. 1987, 46, 1005–1010. [Google Scholar] [CrossRef] [PubMed]
- Hilger, J.; Friedel, A.; Herr, R.; Rausch, T.; Roos, F.; Wahl, D.A.; Pierroz, D.D.; Weber, P.; Hoffmann, K. A systematic review of vitamin D status in populations worldwide. Br. J. Nutr. 2013, 111, 23–45. [Google Scholar] [CrossRef]
- Cashman, K.D.; Dowling, K.G.; Škrabáková, Z.; González-Gross, M.; Valtueña, J.; De Henauw, S.; Moreno, L.; Damsgaard, C.T.; Michaelsen, K.F.; Mølgaard, C.; et al. Vitamin D deficiency in Europe: Pandemic? Am. J. Clin. Nutr. 2016, 103, 1033–1044. [Google Scholar] [CrossRef]
- Casey, C.; Woodside, J.V.; McGinty, A.; Young, I.S.; McPeake, J.; Chakravarthy, U.; Rahu, M.; Seland, J.; Soubrane, G.; Tomazzoli, L.; et al. Factors associated with serum 25-hydroxyvitamin D concentrations in older people in Europe: The EUREYE study. Eur. J. Clin. Nutr. 2018, 1. [Google Scholar] [CrossRef]
- Jerome, S.P.; Sticka, K.D.; Schnurr, T.M.; Mangum, S.J.; Reynolds, A.J.; Dunlap, K.L. 25(oh)d levels in trained versus sedentary university students at 64 degrees north. Int. J. Circumpolar Health 2017, 76, 1314414. [Google Scholar] [CrossRef]
- Yang, L.; Toriola, A.T. Leisure-time physical activity and circulating 25-hydroxyvitamin D levels in cancer survivors: A cross-sectional analysis using data from the US National Health and Nutrition Examination Survey. BMJ Open 2017, 7, e016064. [Google Scholar] [CrossRef] [PubMed]
- Touvier, M.; Deschasaux, M.; Montourcy, M.; Sutton, A.; Charnaux, N.; Kesse-Guyot, E.; Assmann, K.E.; Fezeu, L.; Latino-Martel, P.; Druesne-Pecollo, N.; et al. Determinants of Vitamin D Status in Caucasian Adults: Influence of Sun Exposure, Dietary Intake, Sociodemographic, Lifestyle, Anthropometric, and Genetic Factors. J. Investig. Dermatol. 2015, 135, 378–388. [Google Scholar] [CrossRef] [PubMed]
- Wanner, M.; Richard, A.; Martin, B.; Linseisen, J.; Rohrmann, S. Associations between objective and self-reported physical activity and vitamin D serum levels in the US population. Cancer Causes Control 2015, 26, 881–891. [Google Scholar] [CrossRef] [PubMed]
- Hibler, E.A.; Molmenti, C.L.S.; Dai, Q.; Kohler, L.N.; Anderson, S.W.; Jurutka, P.W.; Jacobs, E.T. Physical activity, sedentary behavior, and vitamin D metabolites. Bone 2016, 83, 248–255. [Google Scholar] [CrossRef] [PubMed]
- Andersen, L.B. Active commuting is beneficial for health. BMJ 2017, 357, 1740. [Google Scholar] [CrossRef] [PubMed]
- Rasmussen, M.G.; Grøntved, A.; Blond, K.; Overvad, K.; Tjønneland, A.; Jensen, M.K.; Østergaard, L. Associations between Recreational and Commuter Cycling, Changes in Cycling, and Type 2 Diabetes Risk: A Cohort Study of Danish Men and Women. PLoS Med. 2016, 13, e1002076. [Google Scholar] [CrossRef] [PubMed]
- Celis-Morales, C.A.; Lyall, D.M.; Welsh, P.; Anderson, J.; Steell, L.; Guo, Y.; Maldonado, R.; Mackay, D.F.; Pell, J.P.; Sattar, N.; et al. Association between active commuting and incident cardiovascular disease, cancer, and mortality: Prospective cohort study. BMJ 2017, 357, j1456. [Google Scholar] [CrossRef]
- Cristi-Montero, C.; Steell, L.; Petermann, F.; Garrido-Méndez, A.; Díaz-Martínez, X.; Salas-Bravo, C.; Ramirez-Campillo, R.; Alvarez, C.; Rodriguez, F.; Aguilar-Farias, N.; et al. Joint effect of physical activity and sedentary behaviour on cardiovascular risk factors in Chilean adults. J. Public Health 2017, 40, 485–492. [Google Scholar] [CrossRef]
- Foley, L.; Panter, J.; Heinen, E.; Prins, R.; Ogilvie, D. Changes in active commuting and changes in physical activity in adults: A cohort study. Int. J. Behav. Nutr. Phys. Act. 2015, 12, 161. [Google Scholar] [CrossRef]
- Millen, A.E.; Wactawski-Wende, J.; Pettinger, M.; Melamed, M.L.; Tylavsky, F.A.; Liu, S.; Robbins, J.; Lacroix, A.Z.; LeBoff, M.S.; Jackson, R.D.; et al. Predictors of serum 25-hydroxyvitamin D concentrations among postmenopausal women: The Women’s Health Initiative Calcium plus Vitamin D Clinical Trial. Am. J. Clin. Nutr. 2010, 91, 1324–1335. [Google Scholar] [CrossRef]
- Muscogiuri, G. Vitamin D: Past, present and future perspectives in the prevention of chronic diseases. Eur. J. Clin. Nutr. 2018, 72, 1221–1225. [Google Scholar] [CrossRef] [PubMed]
- Mayor, S. Public Health England recommends vitamin D supplements in autumn and winter. BMJ 2016, 354, 4061. [Google Scholar] [CrossRef] [PubMed]
- Bunout, D.; Barrera, G.; Leiva, L.; Gattás, V.; De La Maza, M.P.; Avendaño, M.; Hirsch, S. Effects of vitamin D supplementation and exercise training on physical performance in Chilean vitamin D deficient elderly subjects. Exp. Gerontol. 2006, 41, 746–752. [Google Scholar] [CrossRef] [PubMed]
- Zhao, J.-G.; Zeng, X.-T.; Wang, J.; Liu, L. Association Between Calcium or Vitamin D Supplementation and Fracture Incidence in Community-Dwelling Older Adults: A Systematic Review and Meta-analysis. JAMA 2017, 318, 2466–2482. [Google Scholar] [CrossRef] [PubMed]
- Bolland, M.J.; Grey, A.; Avenell, A. Effects of vitamin D supplementation on musculoskeletal health: A systematic review, meta-analysis, and trial sequential analysis. Lancet Diabetes Endocrinol. 2018, 6, 847–858. [Google Scholar] [CrossRef]
- Rodríguez-Gómez, I.; Mañas, A.; Losa-Reyna, J.; Rodríguez-Mañas, L.; Chastin, S.F.M.; Alegre, L.M.; García-García, F.J.; Ara, I. Associations between sedentary time, physical activity and bone health among older people using compositional data analysis. PLoS ONE 2018, 13, e0206013. [Google Scholar] [CrossRef] [PubMed]
- O’hern, S.; Oxley, J. Understanding travel patterns to support safe active transport for older adults. J. Transp. Health 2015, 2, 79–85. [Google Scholar] [CrossRef]
- Musselwhite, C.; Holland, C.; Walker, I. The role of transport and mobility in the health of older people. J. Transp. Health 2015, 2, 1–4. [Google Scholar] [CrossRef]
- Kluczynski, M.A.; LaMonte, M.J.; Mares, J.A.; Wactawski-Wende, J.; Smith, A.W.; Engelman, C.D.; Andrews, C.A.; Snetselaar, L.G.; Sarto, G.E.; Millen, A.E.; et al. Duration of Physical Activity and Serum 25-hydroxyvitamin D Status of Postmenopausal Women. Ann. Epidemiol. 2011, 21, 440–449. [Google Scholar] [CrossRef]
- Al-Musharaf, S.; Krishnaswamy, S.; Yusuf, D.S.; Alkharfy, K.M.; Al-Saleh, Y.; Al-Attas, O.S.; Alokail, M.S.; Moharram, O.; Sabico, S.; Al-Othman, A.; et al. Effect of physical activity and sun exposure on vitamin D status of Saudi children and adolescents. BMC Pediatr. 2012, 12, 92. [Google Scholar]
- Wortsman, J.; Matsuoka, L.Y.; Chen, T.C.; Lu, Z.; Holick, M.F. Decreased bioavailability of vitamin D in obesity. Am. J. Clin. Nutr. 2000, 72, 690–693. [Google Scholar] [CrossRef] [PubMed]
- Scott, D.; Blizzard, L.; Fell, J.; Ding, C.; Winzenberg, T.; Jones, G. A prospective study of the associations between 25-hydroxy-vitamin D, sarcopenia progression and physical activity in older adults. Clin. Endocrinol. 2010, 73, 581–587. [Google Scholar] [CrossRef] [PubMed]

| Variables, Mean ± SD | Adults Women (1245) | Older Women (686) |
|---|---|---|
| Age (years) | 35.4 ± 8.5 | 73.6 ± 6.6 |
| Body mass index (kg/m2) | 29.2 ± 5.7 | 29.3 ± 5.3 |
| Vitamin D levels (ng/mL) | 20.2 ± 8.0 | 18 ± 8.5 |
| Nutritional Status (n: %) | ||
| Underweight | 7 (0.6) | 6 (0.9) |
| Normal weight | 297 (23.9) | 139 (20.3) |
| Overweight | 455 (36.5) | 245 (35.7) |
| Obese | 486 (39.0) | 296 (43.1) |
| Physical activity (n: %) | ||
| Inactive | 532 (42.7) | 393 (57.3) |
| Active | 713 (57.3) | 293 (42.7) |
| Sedentary time (n: %) | ||
| Low Sedentary time | 868 (69.7) | 508 (74.1) |
| Middle Sedentary time | 260 (20.9) | 138 (20.1) |
| High Sedentary time | 117 (9.4) | 40 (5.8) |
| Leisure-time physical activity (n: %) | ||
| 30 min, 3 times per week | 153 (12.3) | 34 (5.0) |
| Less than 30 min, 3 times per week | 1092 (87.7) | 652 (95.0) |
| Commute mode (n: %) | ||
| Active Commuting | 291 (23.4) | 157 (22.9) |
| Passive Commuting | 954 (76.6) | 529 (77.1) |
| Educational Level (n: %) | ||
| Primary | 96 (7.7) | 415 (60.4) |
| Secondary | 725 (58.2) | 224 (32.7) |
| Beyond secondary | 424 (34.1) | 47 (6.9) |
| Dairy consumption (n: %) | ||
| Three times a day | 84 (6.7) | 46 (6.7) |
| Less than three times a day | 79 (6.3) | 55 (8) |
| Once a day | 428 (34.4) | 293 (42.7) |
| Every two days | 223 (17.9) | 124 (18.1) |
| At least once a week | 242 (19.4) | 104 (15.2) |
| At least once a month | 73 (5.9) | 22 (3.2) |
| Never | 116 (9.3) | 42 (6.1) |
| Menopausal status (n: %) | ||
| Yes | 48 (3.9) | 693 (93.1) |
| No | 1197 (96.1) | 47 (6.9) |
| Vitamin D deficiency (<12 ng/mL) (n: %) | ||
| <12 ng /mL | 204 (16.4) | 181 (26.4) |
| ≥12 ng /mL | 1041 (83.6) | 505 (73.6) |
| Vitamin D insufficiency (<20 ng/mL) (n: %) | ||
| <20 ng /mL | 642 (51.6) | 445 (64.9) |
| ≥20 ng /mL | 603 (48.4) | 241 (35.1) |
| Sunlight exposure (n: %) | ||
| Little | 722 (58) | 502 (73.2) |
| Much | 523 (42) | 184 (26.8) |
| Region (latitude *) (n: %) | ||
| XV. Arica y Parinacota (−18.474) | 94 (7.6) | 30 (4.4) |
| I. Tarapacá (−20.213) | 64 (5.1) | 27 (3.9) |
| II. Antofagasta (−23.652) | 57 (4.6) | 23 (3.4) |
| III. Atacama (−27.366) | 70 (5.6) | 20 (2.9) |
| IV. Coquimbo (−29.953) | 61 (4.9) | 45 (6.6) |
| V. Valparaíso (−33.035) | 125 (10) | 85 (12.4) |
| XIII. Metropolitana (−33.456) | 186 (14.9) | 104 (15.2) |
| VI. L. Bdo. O’Higgins (−34.170) | 74 (5.9) | 33 (4.8) |
| VII. Maule (−35.426) | 88 (7.1) | 60 (8.7) |
| VIII. Bíobío (−36.826) | 138 (11.1) | 59 (8.6) |
| IX. La Araucanía (−38.739) | 66 (5.3) | 27 (3.9) |
| XIV. Los Ríos (−39.814) | 56 (4.5) | 48 (7) |
| X. Los Lagos (−41.469) | 55 (4.4) | 40 (5.8) |
| XI. Aysén (−45.575) | 64 (5.1) | 38 (5.5) |
| XII. Magallanes y Antártica (−53.154) | 47 (3.8) | 47 (6.9) |
| Adults (1245) | Older (686) | |||||||||||
|---|---|---|---|---|---|---|---|---|---|---|---|---|
| Outcome | (<12 ng/mL) | (<20 ng/mL) | (<12 ng/mL) | (<20 ng/mL) | ||||||||
| OR | (95% CI) | p | OR | (95% CI) | p | OR | (95% CI) | p | OR | (95% CI) | p | |
| Sedentary time | ||||||||||||
| Low sedentary time | 1.0 | Ref. | 1.0 | Ref. | 1.0 | Ref. | 1.0 | Ref. | ||||
| Middle sedentary time | 2.4 | 1.6–3.6 | <0.001 | 1.7 | 1.2–2.3 | 0.001 | 1.9 | 1.2–2.9 | 0.004 | 1.152 | 0.8–1.7 | 0.505 |
| High sedentary time | 2.6 | 1.6–4.3 | <0.001 | 2.1 | 1.4–3.2 | 0.001 | 1.9 | 0.9–3.8 | 0.074 | 1.672 | 0.8–3.6 | 0.184 |
| Physical activity level | ||||||||||||
| Active | 1.0 | Ref. | 1.0 | Ref. | 1.0 | Ref. | 1.0 | Ref. | ||||
| Inactive | 0.9 | 0.7–1.3 | 0.6 | 1.0 | 0.8–1.3 | 0.795 | 1.2 | 0.8–1.7 | 0.393 | 1.2 | 0.9–1.7 | 0.207 |
| Leisure-time physical activity | ||||||||||||
| 30 min 3 times/week | 1.0 | Ref. | 1.0 | Ref. | 1.0 | Ref. | 1.0 | Ref. | ||||
| Less 30 min 3 times/week | 1.0 | 0.8–1.3 | 0.795 | 1.1 | 0.7–1.5 | 0.717 | 1.2 | 0.5–2.9 | 0.644 | 1.3 | 0.6–2.6 | 0.502 |
| Commuting | ||||||||||||
| Active commuting | 1.0 | Ref. | 1.0 | Ref. | 1.0 | Ref. | 1.0 | Ref. | ||||
| Passive commuting | 1.1 | 0.7–1.6 | 0.755 | 1.5 | 1.2–2.0 | 0.003 | 1.7 | 1.1–2.7 | 0.020 | 1.7 | 1.1–2.4 | 0.007 |
© 2019 by the authors. Licensee MDPI, Basel, Switzerland. This article is an open access article distributed under the terms and conditions of the Creative Commons Attribution (CC BY) license (http://creativecommons.org/licenses/by/4.0/).
Share and Cite
Solis-Urra, P.; Cristi-Montero, C.; Romero-Parra, J.; Zavala-Crichton, J.P.; Saez-Lara, M.J.; Plaza-Diaz, J. Passive Commuting and Higher Sedentary Time Is Associated with Vitamin D Deficiency in Adult and Older Women: Results from Chilean National Health Survey 2016–2017. Nutrients 2019, 11, 300. https://doi.org/10.3390/nu11020300
Solis-Urra P, Cristi-Montero C, Romero-Parra J, Zavala-Crichton JP, Saez-Lara MJ, Plaza-Diaz J. Passive Commuting and Higher Sedentary Time Is Associated with Vitamin D Deficiency in Adult and Older Women: Results from Chilean National Health Survey 2016–2017. Nutrients. 2019; 11(2):300. https://doi.org/10.3390/nu11020300
Chicago/Turabian StyleSolis-Urra, Patricio, Carlos Cristi-Montero, Javier Romero-Parra, Juan Pablo Zavala-Crichton, Maria Jose Saez-Lara, and Julio Plaza-Diaz. 2019. "Passive Commuting and Higher Sedentary Time Is Associated with Vitamin D Deficiency in Adult and Older Women: Results from Chilean National Health Survey 2016–2017" Nutrients 11, no. 2: 300. https://doi.org/10.3390/nu11020300
APA StyleSolis-Urra, P., Cristi-Montero, C., Romero-Parra, J., Zavala-Crichton, J. P., Saez-Lara, M. J., & Plaza-Diaz, J. (2019). Passive Commuting and Higher Sedentary Time Is Associated with Vitamin D Deficiency in Adult and Older Women: Results from Chilean National Health Survey 2016–2017. Nutrients, 11(2), 300. https://doi.org/10.3390/nu11020300

