Effects of Vitamin D Status and Supplements on Anthropometric and Biochemical Indices in a Clinical Setting: A Retrospective Study
Abstract
1. Introduction
2. Study Design and Population
Biochemistry
3. Statistical Analysis
4. Results
4.1. Subject Characteristics
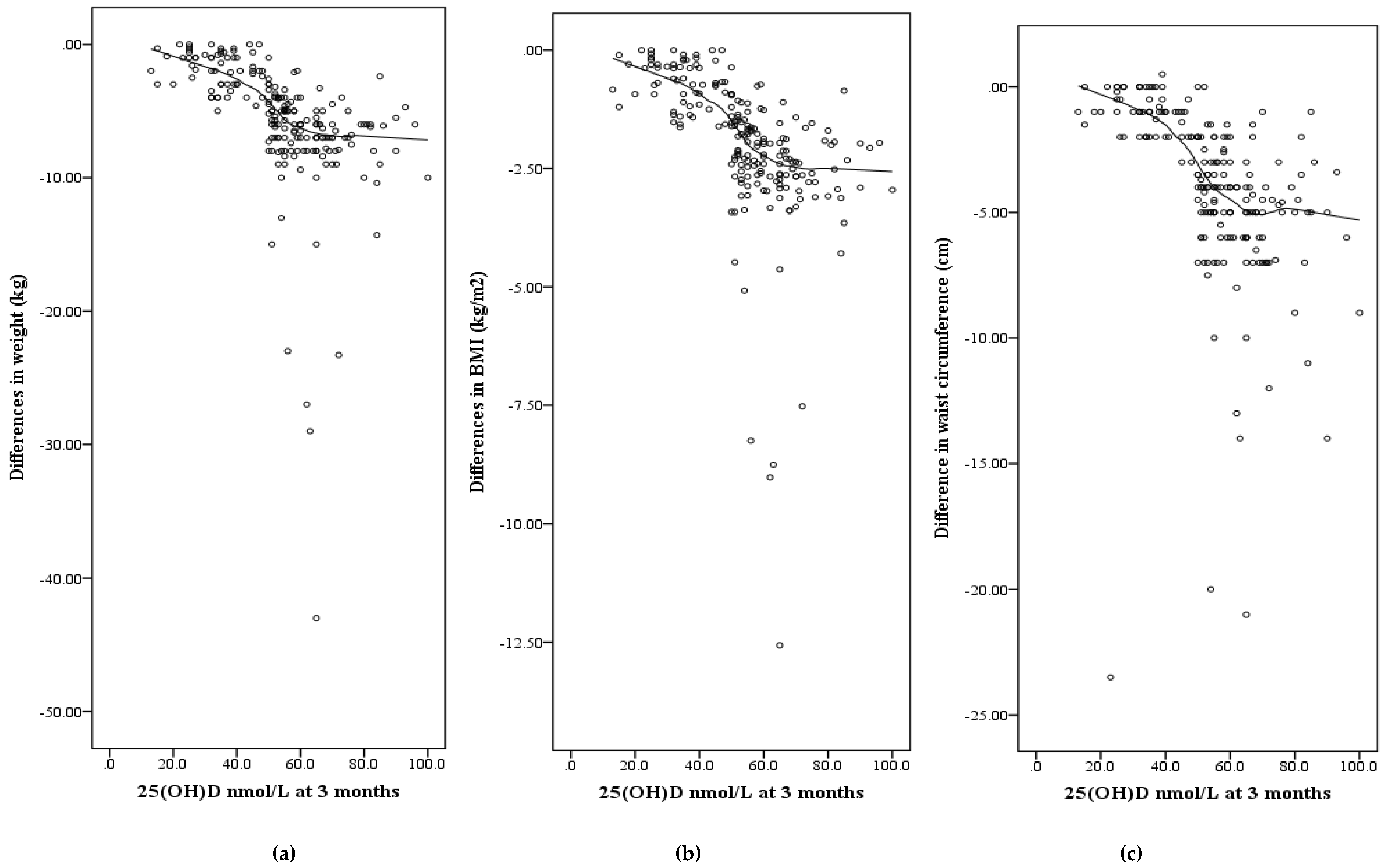
4.2. Effect of Vitamin D Status and Supplementation on Anthropomorphic Measures and Other Parameters
5. Discussion
Supplementary Materials
Author Contributions
Funding
Acknowledgments
Conflicts of Interest
References
- Bouillon, R.; Marcocci, C.; Carmeliet, G.; Bikle, D.; White, J.; Dawson-Hughes, B.; Lips, P. Skeletal and extra-skeletal actions of vitamin D: Current evidence and outstanding questions. Endocr. Rev. 2019, 40. [Google Scholar] [CrossRef] [PubMed]
- Ding, C.; Gao, D.; Wilding, J.; Trayhurn, P.; Bing, C. Vitamin D signalling in adipose tissue. Br. J. Nutr. 2012, 108, 1915–1923. [Google Scholar] [CrossRef] [PubMed]
- Gouni-Berthold, I.; Krone, W.; Berthold, H.K. Vitamin D and cardiovascular disease. Curr. Vasc. Pharmacol. 2009, 7, 414–422. [Google Scholar] [CrossRef] [PubMed]
- Mawer, E.B.; Backhouse, J.; Lumb, G.A.; Stanbury, S.W. Evidence for formation of 1,25-dihydroxycholecalciferol during metabolism of vitamin D in man. Nat. New Biol. 1971, 232, 188–189. [Google Scholar] [CrossRef] [PubMed]
- Hewison, M. Vitamin D and the immune system: New perspectives on an old theme. Endocrinol. Metab. Clin. N. Am. 2010, 39, 365–379. [Google Scholar] [CrossRef] [PubMed]
- Renehan, A.G.; Roberts, D.L.; Dive, C. Obesity and cancer: Pathophysiological and biological mechanisms. Arch. Physiol. Biochem. 2008, 114, 71–83. [Google Scholar] [CrossRef] [PubMed]
- Johnson, A.R.; Milner, J.J.; Makowski, L. The inflammation highway: Metabolism accelerates inflammatory traffic in obesity. Immunol. Rev. 2012, 249, 218–238. [Google Scholar] [CrossRef]
- Arredondo, A.; Azar, A.; Recamán, A.L. Diabetes, a global public health challenge with a high epidemiological and economic burden on health systems in Latin America. Glob. Public Health 2018, 13, 780–787. [Google Scholar] [CrossRef]
- Wang, Y.; Beydoun, M.A.; Liang, L.; Caballero, B.; Kumanyika, S.K. Will all Americans become overweight or obese? estimating the progression and cost of the US obesity epidemic. Obesity (Silver Spring) 2008, 16, 2323–2330. [Google Scholar] [CrossRef]
- Vaes, A.M.M.; Tieland, M.; de Regt, M.F.; Wittwer, J.; van Loon, L.J.C.; de Groot, L.C.P.G.M. Dose-response effects of supplementation with calcifediol on serum 25-hydroxyvitamin D status and its metabolites: A randomized controlled trial in older adults. Clin. Nutr. 2018, 37, 808–814. [Google Scholar] [CrossRef]
- Wortsman, J.; Matsuoka, L.Y.; Chen, T.C.; Lu, Z.; Holick, M.F. Decreased bioavailability of vitamin D in obesity. Am. J. Clin. Nutr. 2000, 72, 690–693. [Google Scholar] [CrossRef]
- Ortega, R.M.; Lopez-Sobaler, A.M.; Aparicio, A.; Bermejo, L.M.; Rodriguez-Rodriguez, E.; Perea, J.M.; Andres, P. Vitamin D status modification by two slightly hypocaloric diets in young overweight/obese women. Int. J. Vitam. Nutr. Res. 2009, 79, 71–78. [Google Scholar] [CrossRef]
- Vimaleswaran, K.S.; Berry, D.J.; Lu, C.; Tikkanen, E.; Pilz, S.; Hiraki, L.T.; Cooper, J.D.; Dastani, Z.; Li, R.; Houston, D.K.; et al. Causal relationship between obesity and vitamin D status: Bi-directional Mendelian randomization analysis of multiple cohorts. PLoS Med. 2013, 10, e1001383. [Google Scholar] [CrossRef]
- Zittermann, A.; Frisch, S.; Berthold, H.K.; Gotting, C.; Kuhn, J.; Kleesiek, K.; Stehle, P.; Koertke, H.; Koerfer, R. Vitamin D supplementation enhances the beneficial effects of weight loss on cardiovascular disease risk markers. Am. J. Clin. Nutr. 2009, 89, 1321–1327. [Google Scholar] [CrossRef]
- Nagpal, J.; Pande, J.N.; Bhartia, A. A double-blind, randomized, placebo-controlled trial of the short-term effect of vitamin D3 supplementation on insulin sensitivity in apparently healthy, middle-aged, centrally obese men. Diabet. Med. 2009, 26, 19–27. [Google Scholar] [CrossRef]
- Mason, C.; Xiao, L.; Imayama, I.; Duggan, C.; Wang, C.Y.; Korde, L.; McTiernan, A. Vitamin D3 supplementation during weight loss: A double-blind randomized controlled trial. Am. J. Clin. Nutr. 2014, 99, 1015–1025. [Google Scholar] [CrossRef]
- Health AGDo. Chronic Disease Management (formerly Enhanced Primary Care or EPC)—GP services. 2014. Available online: http://www.health.gov.au/internet/main/publishing.nsf/content/mbsprimarycare-chronicdiseasemanagement (accessed on 10 March 2014).
- Japur, C.C.; Penaforte, F.R.; Chiarello, P.G.; Monteiro, J.P.; Vieira, M.N.; Basile-Filho, A. Harris-Benedict equation for critically ill patients: Are there differences with indirect calorimetry? J. Crit. Care 2009, 24, 628.e621–628.e625. [Google Scholar] [CrossRef]
- Nowson, C.A.; McGrath, J.; Ebeling, P.R.; Haikerwal, A.; Daly, R.M.; Sanders, K.; Seibel, M.J.; Mason, R.S. Vitamin D and Health in Adults in Australia and New Zealand: A position statement. Med. J. Aust. 2012, 196, 686–687. [Google Scholar] [CrossRef]
- Farrell, C.J.; Martin, S.; McWhinney, B.; Straub, I.; Williams, P.; Herrmann, M. State-of-the-art vitamin D assays: A comparison of automated immunoassays with liquid chromatography-tandem mass spectrometry methods. Clin. Chem. 2012, 58, 531–542. [Google Scholar] [CrossRef]
- Cleveland, W.S.; Devlin, S.J. Locally Weighted Regression—An Approach to Regression-Analysis by Local Fitting. J. Am. Stat. Assoc. 1988, 83, 596–610. [Google Scholar] [CrossRef]
- Soares, M.J.; Chan She Ping-Delfos, W.; Ghanbari, M.H. Calcium and vitamin D for obesity: A review of randomized controlled trials. Eur. J. Clin. Nutr. 2011, 65, 994–1004. [Google Scholar] [CrossRef]
- Soares, M.J.; Pathak, K. Vitamin D Supplementation for Obesity: Potential Mechanisms of Action and an Update of Randomized Controlled Trials. Curr. Nutr. Food Sci. 2014, 10, 29–35. [Google Scholar] [CrossRef]
- Bassatne, A.; Chakhtoura, M.; Saad, R.; Fuleihan, G.E. Vitamin D supplementation in obesity and during weight loss: A review of randomized controlled trials. Metabolism 2019. [Google Scholar] [CrossRef]
- Sneve, M.; Figenschau, Y.; Jorde, R. Supplementation with cholecalciferol does not result in weight reduction in overweight and obese subjects. Eur. J. Endocrinol. 2008, 159, 675–684. [Google Scholar] [CrossRef]
- Scott, D.; Mousa, A.; Naderpoor, N.; De Courten, M.; De Courten, B. Vitamin D supplementation improves waist-to-hip ratio and fasting blood glucose in vitamin D deficient, overweight or obese Asians: A pilot secondary analysis of a randomised controlled trial. J. Steroid Biochem. Mol. Biol. 2019, 186, 136–141. [Google Scholar] [CrossRef]
- Shahar, D.R.; Schwarzfuchs, D.; Fraser, D.; Vardi, H.; Thiery, J.; Fiedler, G.M.; Bluher, M.; Stumvoll, M.; Stampfer, M.J.; Shai, I.; et al. Dairy calcium intake, serum vitamin D, and successful weight loss. Am. J. Clin. Nutr. 2010, 92, 1017–1022. [Google Scholar]
- Ortega, R.M.; Aparicio, A.; Rodriguez-Rodriguez, E.; Bermejo, L.M.; Perea, J.M.; Lopez-Sobaler, A.M.; Ruiz-Roso, B.; Andres, P. Preliminary data about the influence of vitamin D status on the loss of body fat in young overweight/obese women following two types of hypocaloric diet. Br. J. Nutr. 2008, 100, 269–272. [Google Scholar] [CrossRef]
- Lourenco, B.H.; Qi, L.; Willett, W.C.; Cardoso, M.A.; Team, A.S. FTO genotype, vitamin D status, and weight gain during childhood. Diabetes 2014, 63, 808–814. [Google Scholar] [CrossRef]
- Autier, P.; Boniol, M.; Pizot, C.; Mullie, P. Vitamin D status and ill health: A systematic review. Lancet Diabetes Endocrinol. 2014, 2, 76–89. [Google Scholar] [CrossRef]
- Lopes, T.S.; Luiz, R.R.; Hoffman, D.J.; Ferriolli, E.; Pfrimer, K.; Moura, A.S.; Sichieri, R.; Pereira, R.A. Misreport of energy intake assessed with food records and 24-h recalls compared with total energy expenditure estimated with DLW. Eur. J. Clin. Nutr. 2016, 70, 1259–1264. [Google Scholar] [CrossRef]
- Tam, K.W.; Veerman, J.L. Prevalence and characteristics of energy intake under-reporting among Australian adults in 1995 and 2011 to 2012. Nutr. Diet. 2019, 76, 546–559. [Google Scholar] [CrossRef]
- Lappe, J.M.; Heaney, R.P. Why randomized controlled trials of calcium and vitamin D sometimes fail. Derm.-Endocrinol. 2012, 4, 95–100. [Google Scholar] [CrossRef]
- Zemel, M.B.; Shi, H.; Greer, B.; Dirienzo, D.; Zemel, P.C. Regulation of adiposity by dietary calcium. FASEB J. 2000, 14, 1132–1138. [Google Scholar] [CrossRef]
- Friedewald, W.T.; Levy, R.I.; Fredrickson, D.S. Estimation of the concentration of low-density lipoprotein cholesterol in plasma, without use of the preparative ultracentrifuge. Clin. Chem. 1972, 18, 499–502. [Google Scholar]
- Abboud, M.; Gordon-Thomson, C.; Hoy, A.J.; Balaban, S.; Rybchyn, M.S.; Cole, L.; Su, Y.; Brennan-Speranza, T.C.; Fraser, D.R.; Mason, R.S. Uptake of 25-hydroxyvitamin D by muscle and fat cells. J. Steroid Biochem. Mol. Biol. 2013, 144, 232–236. [Google Scholar] [CrossRef]
- Wong, K.E.; Szeto, F.L.; Zhang, W.; Ye, H.; Kong, J.; Zhang, Z.; Sun, X.J.; Li, Y.C. Involvement of the vitamin D receptor in energy metabolism: Regulation of uncoupling proteins. Am. J. Physiol. Endocrinol. Metab. 2009, 296, E820–E828. [Google Scholar] [CrossRef]
- Eyles, D.W.; Smith, S.; Kinobe, R.; Hewison, M.; McGrath, J.J. Distribution of the vitamin D receptor and 1 alpha-hydroxylase in human brain. J. Chem. Neuroanat. 2005, 29, 21–30. [Google Scholar] [CrossRef]
- Camozzi, V.; Frigo, A.C.; Zaninotto, M.; Sanguin, F.; Plebani, M.; Boscaro, M.; Schiavon, L.; Luisetto, G. 25-Hydroxycholecalciferol response to single oral cholecalciferol loading in the normal weight, overweight, and obese. Osteoporos. Int. 2016, 27, 2593–2602. [Google Scholar] [CrossRef]
- Ish-Shalom, S.; Segal, E.; Salganik, T.; Raz, B.; Bromberg, I.L.; Vieth, R. Comparison of daily, weekly, and monthly vitamin D3 in ethanol dosing protocols for two months in elderly hip fracture patients. J. Clin. Endocrinol. Metab. 2008, 93, 3430–3435. [Google Scholar] [CrossRef]

| Baseline N = 205 | Follow Up N = 205 | ||
|---|---|---|---|
| Parameters | Mean ± SD | Mean ± SD | p value |
| Weight, kg | 88.5 ± 18.3 | 82.9 ± 17.6 | <0.001 |
| BMI, kg/m2 | 31 ± 5.3 | 29.1 ± 5.2 | <0.001 |
| Waist circumference, cm | 97.7 ± 14.1 | 93.7 ± 13.8 | <0.001 |
| 25(OH)D, mmol/L | 45.2 ± 18.7 | 54.0 ± 16.8 | <0.001 |
| BP systolic, mm Hg | 126.1 ± 14.3 | 122.9 ± 11.4 | <0.001 |
| BP diastolic, mm Hg | 77.8 ± 10.4 | 78.0 ± 8.5 | NS |
| Total cholesterol, mmol/L | 5.7 ± 3.7 | 5.1 ± 0.9 | 0.02 |
| LDL, mmol/L | 3.2 ± 0.9 | 2.9 ± 0.8 | <0.001 |
| HDL, mmol/L | 1.5 ± 0.4 | 1.4 ± 0.3 | NS |
| Triglycerides, mmol/L | 1.6 ± 1.1 | 1.4 ± 0.8 | <0.001 |
| Sufficient at Baseline | Insufficient at Baseline | ANOVA p-Value # | |||
|---|---|---|---|---|---|
| Parameters | Suf | Total | Non-Supplemented (Insuf-NonSup) | Supplemented (Insuf-Sup) | |
| N | 82 | 123 | 48 | 75 | |
| Age (years) | 37 ± 8.2 | 38 ± 7.5 | 37 ± 7.4 | 38 ± 7.6 | 0.485 |
| % Female | 60% | 70% | 67% | 73% | |
| Weight, kg | 89 ± 17 | 88 ± 19 | 88 ± 17 | 87 ± 21 | 0.764 |
| BMI, kg/m2 | 31 ± 5 | 31 ± 5 | 31 ± 4 | 31 ± 6 | 0.534 |
| Waist, cm | 97 ± 14 | 98 ± 14 | 98 ± 13 | 98 ± 15 | 0.922 |
| Baseline 25(OH)D nmol/L | 64 ± 11 a,b | 33 ± 10 | 34 ± 10 | 32 ± 10 | <0.001 |
| Follow-up 25(OH)Dnmol/L | 62 ± 11 a,b | 49 ± 18 | 35 ± 11 | 57 ± 16 c | <0.001 |
| BP-systolic, mmHg | 126 ± 14 | 126 ± 15 | 127 ± 13 | 125 ± 16 | 0.793 |
| BP-diastolic mmHg | 77 ± 10 | 78 ± 11 | 78 ± 10 | 78 ± 11 | 0.908 |
| Total cholesterol mmol/L | 5.9 ± 5.8 | 5.5 ± 1.1 | 5.5 ± 1.2 | 5.5 ± 1.0 | 0.704 |
| LDL mmol/L | 3.2 ± 0.8 | 3.2 ± 1.0 | 3.1 ± 1.1 | 3.3 ± 0.9 | 0.647 |
| HDL mmol/L | 1.5 ± 0.4 | 1.5 ± 0.4 | 1.5 ± 0.5 | 1.5 ± 0.4 | 0.950 |
| triglyceride mmol/L | 1.4 ± 0.9 | 1.7 ± 1.2 | 1.8 ± 1.4 | 1.6 ± 1.1 | 0.203 |
| Sufficient at Baseline | Insufficient at Baseline | ANOVA p-Value # | |||
|---|---|---|---|---|---|
| Change (Δ) in Parameters | Suf | Total | Non-Supplemented (Insuf-NonSup) | Supplemented (Insuf-Sup) | |
| N | 82 | 123 | 48 | 75 | |
| Δ25(OH)D, mmol/L | −1.7 ± 7 b | 16 ± 17 | 1.0 ± 4.8 | 25 ± 16 c | <0.001 |
| Δweight, kg | −7.7 ± 5.9 a,b | −4.2 ± 3.3 | −2.3 ± 1.6 | −5.3 ± 3.6 c | <0.001 |
| ΔBMI, kg/m2 | −2.6 ± 1.8 a,b | −1.5 ± 1.1 | −0.8 ± 0.6 | −1.9 ± 1.2 c | <0.001 |
| Δwaist circum-ference, cm | −5.2 ± 3.5 a | −3.1 ± 3.1 | −1.3 ± 1.3 | −4.2 ± 3.4 c | <0.001 |
| Δsystolic BP, mmHg | −4.8 ± 9.2 | −2.2 ± 11 | −3.1 ± 8.4 | −1.6 ± 12 | 0.165 |
| Δdiastolic BP, mmHg | −0.2 ± 8.6 | 0.4 ± 9.1 | 1.4 ± 8.2 | −0.2 ± 9.6 | 0.553 |
| ΔTotal Cholesterol mmol/L | −1.0 ± 5.6 | −0.3 ± 0.5 | −0.2 ± 0.4 | −0.4 ± 0.5 | 0.378 |
| ΔLDL mmol/L | −0.4 ± 0.4 a | −0.26 ± 0.5 | −0.1 ± 0.4 | −0.4 ± 0.5 c | 0.002 |
| ΔHDL mmol/L | −0.1 ± 0.2 | −0.1 ± 0.2 | −0.1 ± 0.2 | −0.1 ± 0.2 | 0.380 |
| Δtriglycerides mmol/L | −0.2 ± 0.4 | −0.2 ± 0.7 | −0.2 ± 0.9 | −0.2 ± 0.5 | 0.920 |
| Insufficient at Baseline N = 123 | All Subjects N = 205 | |||
|---|---|---|---|---|
| Change (Δ) in Parameters over 3 Months | Non-Supplemented (Insuf-NonSup) | Supplemented (Insuf-Sup) | Non-Supplemented | Supplemented |
| N | 48 | 75 | 130 | 75 |
| Δweight, kg | −0.45 *** | −0.61 *** | −0.47 *** | −0.60 *** |
| ΔBMI, kg/m2 | −0.45 *** | −0.63 *** | −0.46 *** | −0.63 *** |
| Δwaist circumference, cm | −0.75 *** | −0.29 *** | −0.55 *** | −0.29 *** |
© 2019 by the authors. Licensee MDPI, Basel, Switzerland. This article is an open access article distributed under the terms and conditions of the Creative Commons Attribution (CC BY) license (http://creativecommons.org/licenses/by/4.0/).
Share and Cite
Abboud, M.; Liu, X.; Fayet-Moore, F.; Brock, K.E.; Papandreou, D.; Brennan-Speranza, T.C.; Mason, R.S. Effects of Vitamin D Status and Supplements on Anthropometric and Biochemical Indices in a Clinical Setting: A Retrospective Study. Nutrients 2019, 11, 3032. https://doi.org/10.3390/nu11123032
Abboud M, Liu X, Fayet-Moore F, Brock KE, Papandreou D, Brennan-Speranza TC, Mason RS. Effects of Vitamin D Status and Supplements on Anthropometric and Biochemical Indices in a Clinical Setting: A Retrospective Study. Nutrients. 2019; 11(12):3032. https://doi.org/10.3390/nu11123032
Chicago/Turabian StyleAbboud, Myriam, Xiaoying Liu, Flavia Fayet-Moore, Kaye E. Brock, Dimitrios Papandreou, Tara C. Brennan-Speranza, and Rebecca S. Mason. 2019. "Effects of Vitamin D Status and Supplements on Anthropometric and Biochemical Indices in a Clinical Setting: A Retrospective Study" Nutrients 11, no. 12: 3032. https://doi.org/10.3390/nu11123032
APA StyleAbboud, M., Liu, X., Fayet-Moore, F., Brock, K. E., Papandreou, D., Brennan-Speranza, T. C., & Mason, R. S. (2019). Effects of Vitamin D Status and Supplements on Anthropometric and Biochemical Indices in a Clinical Setting: A Retrospective Study. Nutrients, 11(12), 3032. https://doi.org/10.3390/nu11123032

