Replicability of Digital Terrain Models and Canopy Height Models Derived from Drone Photogrammetry
Highlights
- We report the presence of critical dense matching resolution thresholds that affect the replicability of DTM performance in fully vegetated terrain. In our study area, accurate DTMs are most likely when source imagery is acquired with a spatial resolution of ≤1.5 cm, side-lap is greater than 80%, and point density is at least 170 m−3.
- Critical dense matching resolution thresholds also exist for CHM metrics, which for Arctic shrublands can be robustly derived across source imagery resolutions <1.5 cm if point clouds are produced at full-scale dense matching, filtered to retrieve the lowest points using simple Triangular Irregular Networks, and have a minimum density of 3219 m−3.
- Hardware and software factors have considerable potential to negatively affect the consistency and replicability of DTM and CHM models in vegetated terrain, challenging the separability of real environmental change from time-series noise.
- Replicability issues have the potential to introduce systematic shifts in estimated properties, influencing conclusions inferred from multi-temporal observations by either overestimating the true changes or making changes undetectable.
Abstract
1. Introduction
- How stable are DTMs (as measured by VVA) produced with varying systems, sensors, point cloud densities and bare ground classifiers in vegetated terrain?
- What is the effect of point cloud density on DTM VVA, and is there an important dense matching scale threshold for shrublands beyond which DTM generation degrades considerably?
- What is the replicability of shrubland CHMs if DTM stability and other survey parameters are not accounted for?
2. Materials and Methods
2.1. Study Area
2.2. Data Acquisition
2.3. Data Processing
2.3.1. Photogrammetry
2.3.2. Ground Filtering
2.3.3. Canopy Height Models and Shrub Statistics
2.4. Experimental Design and Validation
3. Results
3.1. DTM Replicability
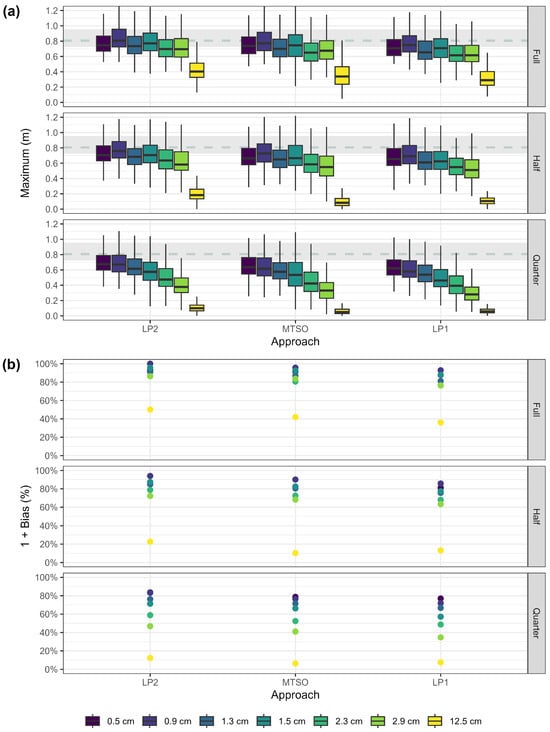
3.2. CHM and Height Metric Replicability
4. Discussion
4.1. DTM Replicability
4.2. CHM Replicability
4.3. Future Work
5. Conclusions
Supplementary Materials
Author Contributions
Funding
Data Availability Statement
Acknowledgments
Conflicts of Interest
References
- Cunliffe, A.M.; Brazier, R.E.; Anderson, K. Ultra-Fine Grain Landscape-Scale Quantification of Dryland Vegetation Structure with Drone-Acquired Structure-from-Motion Photogrammetry. Remote Sens. Environ. 2016, 183, 129–143. [Google Scholar] [CrossRef]
- Fraser, R.H.; Van der Sluijs, J.; Hall, R. Calibrating Satellite-Based Indices of Burn Severity from UAV-Derived Metrics of a Burned Boreal Forest in NWT, Canada. Remote Sens. 2017, 9, 279. [Google Scholar] [CrossRef]
- Macander, M.J.; Palm, E.C.; Frost, G.V.; Herriges, J.D.; Nelson, P.R.; Roland, C.; Russell, K.L.M.; Suitor, M.J.; Bentzen, T.W.; Joly, K.; et al. Lichen Cover Mapping for Caribou Ranges in Interior Alaska and Yukon. Environ. Res. Lett. 2020, 15, 055001. [Google Scholar] [CrossRef]
- Van der Sluijs, J.; Kokelj, S.V.; Fraser, R.H.; Tunnicliffe, J.; Lacelle, D. Permafrost Terrain Dynamics and Infrastructure Impacts Revealed by UAV Photogrammetry and Thermal Imaging. Remote Sens. 2018, 10, 1734. [Google Scholar] [CrossRef]
- Hugenholtz, C.H.; Whitehead, K.; Brown, O.W.; Barchyn, T.E.; Moorman, B.J.; LeClair, A.; Riddell, K.; Hamilton, T. Geomorphological Mapping with a Small Unmanned Aircraft System (sUAS): Feature Detection and Accuracy Assessment of a Photogrammetrically-Derived Digital Terrain Model. Geomorphology 2013, 194, 16–24. [Google Scholar] [CrossRef]
- Whitehead, K.; Hugenholtz, C.H. Remote Sensing of the Environment with Small Unmanned Aircraft Systems (UASs), Part 1: A Review of Progress and Challenges. J. Unmanned Veh. Syst. 2014, 2, 69–85. [Google Scholar] [CrossRef]
- Nex, F.; Armenakis, C.; Cramer, M.; Cucci, D.A.; Gerke, M.; Honkavaara, E.; Kukko, A.; Persello, C.; Skaloud, J. UAV in the Advent of the Twenties: Where We Stand and What Is Next. ISPRS J. Photogramm. Remote Sens. 2022, 184, 215–242. [Google Scholar] [CrossRef]
- Eltner, A.; Kaiser, A.; Castillo, C.; Rock, G.; Neugirg, F.; Abellán, A. Image-Based Surface Reconstruction in Geomorphometry—Merits, Limits and Developments. Earth Surf. Dyn. 2016, 4, 359–389. [Google Scholar] [CrossRef]
- Van der Sluijs, J.; Saiet, E.; Bakelaar, C.N.; Wentworth, A.; Fraser, R.H.; Kokelj, S.V. Beyond Visual-Line-of-Sight (BVLOS) Drone Operations for Environmental and Infrastructure Monitoring: A Case Study in Northwestern Canada. Drone Syst. Appl. 2023, 11, 1–15. [Google Scholar] [CrossRef]
- Zmarz, A.; Rodzewicz, M.; Dąbski, M.; Karsznia, I.; Korczak-Abshire, M.; Chwedorzewska, K.J. Application of UAV BVLOS Remote Sensing Data for Multi-Faceted Analysis of Antarctic Ecosystem. Remote Sens. Environ. 2018, 217, 375–388. [Google Scholar] [CrossRef]
- Van der Sluijs, J.; Saiet, E.; Fraser, R.H.; Kokelj, S.V.; Bakelaar, C.N. Validation of beyond Visual-Line-of-Sight Drone Photogrammetry for Terrain and Canopy Height Applications. Remote Sens. Appl. Soc. Environ. 2024, 35, 101266. [Google Scholar] [CrossRef]
- Frey, J.; Kovach, K.; Stemmler, S.; Koch, B. UAV Photogrammetry of Forests as a Vulnerable Process. A Sensitivity Analysis for a Structure from Motion RGB-Image Pipeline. Remote Sens. 2018, 10, 912. [Google Scholar] [CrossRef]
- Howe, C.; Tullis, J.A. Context for Reproducibility and Replicability in Geospatial Unmanned Aircraft Systems. Remote Sens. 2022, 14, 4304. [Google Scholar] [CrossRef]
- Alonzo, M.; Dial, R.J.; Schulz, B.K.; Andersen, H.-E.; Lewis-Clark, E.; Cook, B.D.; Morton, D.C. Mapping Tall Shrub Biomass in Alaska at Landscape Scale Using Structure-from-Motion Photogrammetry and Lidar. Remote Sens. Environ. 2020, 245, 111841. [Google Scholar] [CrossRef]
- Cunliffe, A.M.; Assmann, J.J.; Daskalova, G.N.; Kerby, J.T.; Myers-Smith, I.H. Aboveground Biomass Corresponds Strongly with Drone-Derived Canopy Height but Weakly with Greenness (NDVI) in a Shrub Tundra Landscape. Environ. Res. Lett. 2020, 15, 125004. [Google Scholar] [CrossRef]
- Orndahl, K.M.; Ehlers, L.P.W.; Herriges, J.D.; Pernick, R.E.; Hebblewhite, M.; Goetz, S.J. Mapping Tundra Ecosystem Plant Functional Type Cover, Height, and Aboveground Biomass in Alaska and Northwest Canada Using Unmanned Aerial Vehicles. Arct. Sci. 2022, 8, 1165–1180. [Google Scholar] [CrossRef]
- Travers-Smith, H.; Coops, N.C.; Lantz, T.C.; Hamp, M.; Ignace, D.; Wulder, M.A.; Van der Sluijs, J. Vegetation Structure and Soil Organic Carbon Storage across Northern Forest-Tundra Ecotones in Continuous Permafrost. Arct. Sci. 2025, 11, 1–18. [Google Scholar] [CrossRef]
- Humphries, J.K.; Van der Sluijs, J.; Morse, P.D.; Kokelj, S.V. Embankment Evolution of a Gravel Road on Permafrost Terrain Five Years after Construction: The Inuvik-Tuktoyaktuk Highway. In Proceedings of the 12th International Conference on Permafrost (ICOP2024), Whitehorse, YT, Canada, 16–20 June 2024; International Permafrost Association: Potsdam, Germany, 2024. [Google Scholar]
- Dai, C.; Howat, I.M.; Van der Sluijs, J.; Liljedahl, A.K.; Higman, B.; Freymueller, J.T.; Ward Jones, M.K.; Kokelj, S.V.; Boike, J.; Walker, B.; et al. Applications of ArcticDEM for Measuring Volcanic Dynamics, Landslides, Retrogressive Thaw Slumps, Snowdrifts, and Vegetation Heights. Sci. Remote Sens. 2024, 9, 100130. [Google Scholar] [CrossRef]
- Fraser, R.H.; Leblanc, S.; Prevost, C.; Van der Sluijs, J. Towards Precise Drone-Based Measurement of Elevation Change in Permafrost Terrain Experiencing Thaw and Thermokarst. Drone Syst. Appl. 2022, 10, 406–426. [Google Scholar] [CrossRef]
- Bjorkman, A.D.; Myers-Smith, I.H.; Elmendorf, S.C.; Normand, S.; Rüger, N.; Beck, P.S.A.; Blach-Overgaard, A.; Blok, D.; Cornelissen, J.H.C.; Forbes, B.C.; et al. Plant Functional Trait Change across a Warming Tundra Biome. Nature 2018, 562, 57–62. [Google Scholar] [CrossRef]
- Myers-Smith, I.H.; Grabowski, M.M.; Thomas, H.J.D.; Angers-Blondin, S.; Daskalova, G.N.; Bjorkman, A.D.; Cunliffe, A.M.; Assmann, J.J.; Boyle, J.S.; McLeod, E.; et al. Eighteen Years of Ecological Monitoring Reveals Multiple Lines of Evidence for Tundra Vegetation Change. Ecol. Monogr. 2019, 89, e01351. [Google Scholar] [CrossRef]
- IPCC. Summary for Policymakers. In Climate Change 2022: Impacts, Adaptation and Vulnerability; Contribution of Working Group II to the Sixth Assessment Report of the Intergovernmental Panel on Climate Change; Cambridge University Press: Cambridge, UK; New York, NY, USA, 2022. [Google Scholar]
- Burn, C.R.; Bartsch, A.; Chakraborty, E.; Das, S.; Frauenfelder, R.; Gärtner-Roer, I.; Gisnås, K.G.; Herring, T.; Jones, B.M.; Kokelj, S.V.; et al. Developments in Permafrost Science and Engineering in Response to Climate Warming in Circumpolar and High Mountain Regions, 2019–2024. Permafr. Periglac. Process. 2025, 36, 167–188. [Google Scholar] [CrossRef]
- James, M.R.; Robson, S.; d’Oleire-Oltmanns, S.; Niethammer, U. Optimising UAV Topographic Surveys Processed with Structure-from-Motion: Ground Control Quality, Quantity and Bundle Adjustment. Geomorphology 2017, 280, 51–66. [Google Scholar] [CrossRef]
- Tonkin, T.; Midgley, N. Ground-Control Networks for Image Based Surface Reconstruction: An Investigation of Optimum Survey Designs Using UAV Derived Imagery and Structure-from-Motion Photogrammetry. Remote Sens. 2016, 8, 786. [Google Scholar] [CrossRef]
- Wiseman, D.; Van der Sluijs, J. Alternative Methods for Developing and Assessing the Accuracy of UAV-Derived DEMs. Int. J. Appl. Geospat. Res. 2015, 6, 58–77. [Google Scholar] [CrossRef]
- Martínez-Carricondo, P.; Agüera-Vega, F.; Carvajal-Ramírez, F.; Mesas-Carrascosa, F.-J.; García-Ferrer, A.; Pérez-Porras, F.-J. Assessment of UAV-Photogrammetric Mapping Accuracy Based on Variation of Ground Control Points. Int. J. Appl. Earth Obs. Geoinf. 2018, 72, 1–10. [Google Scholar] [CrossRef]
- Sanz-Ablanedo, E.; Chandler, J.H.; Rodríguez-Pérez, J.R.; Ordóñez, C. Accuracy of Unmanned Aerial Vehicle (UAV) and SfM Photogrammetry Survey as a Function of the Number and Location of Ground Control Points Used. Remote Sens. 2018, 10, 1606. [Google Scholar] [CrossRef]
- Anders, N.; Valente, J.; Masselink, R.; Keesstra, S. Comparing Filtering Techniques for Removing Vegetation from UAV-Based Photogrammetric Point Clouds. Drones 2019, 3, 61. [Google Scholar] [CrossRef]
- Şerifoğlu Yilmaz, C.; Yilmaz, V.; Güngör, O. Investigating the Performances of Commercial and Non-Commercial Software for Ground Filtering of UAV-Based Point Clouds. Int. J. Remote Sens. 2018, 39, 5016–5042. [Google Scholar] [CrossRef]
- Štroner, M.; Urban, R.; Línková, L. Multidirectional Shift Rasterization (MDSR) Algorithm for Effective Identification of Ground in Dense Point Clouds. Remote Sens. 2022, 14, 4916. [Google Scholar] [CrossRef]
- Cunliffe, A.M.; Anderson, K.; Boschetti, F.; Brazier, R.E.; Graham, H.A.; Myers-Smith, I.H.; Astor, T.; Boer, M.M.; Calvo, L.G.; Clark, P.E.; et al. Global Application of an Unoccupied Aerial Vehicle Photogrammetry Protocol for Predicting Aboveground Biomass in Non-Forest Ecosystems. Remote Sens. Ecol. Conserv. 2022, 8, 57–71. [Google Scholar] [CrossRef] [PubMed]
- Graham, A.N.V.; Coops, N.C.; Tompalski, P.; Plowright, A.; Wilcox, M. Effect of Ground Surface Interpolation Methods on the Accuracy of Forest Attribute Modelling Using Unmanned Aerial Systems-Based Digital Aerial Photogrammetry. Int. J. Remote Sens. 2020, 41, 3287–3306. [Google Scholar] [CrossRef]
- Fraser, R.H.; Olthof, I.; Lantz, T.C.; Schmitt, C. UAV Photogrammetry for Mapping Vegetation in the Low-Arctic. Arct. Sci. 2016, 2, 79–102. [Google Scholar] [CrossRef]
- Ecosystem Classification Group. Ecological Regions of the Northwest Territories—Southern Arctic; Government of the Northwest Territories: Yellowknife, NT, Canada, 2012; pp. 1–170.
- Burn, C.R.; Kokelj, S.V. The Environment and Permafrost of the Mackenzie Delta Area. Permafr. Periglac. Process. 2009, 20, 83–105. [Google Scholar] [CrossRef]
- Lantz, T.C.; Gergel, S.E.; Kokelj, S.V. Spatial Heterogeneity in the Shrub Tundra Ecotone in the Mackenzie Delta Region, Northwest Territories: Implications for Arctic Environmental Change. Ecosystems 2010, 13, 194–204. [Google Scholar] [CrossRef]
- Myers-Smith, I.H.; Hik, D.S.; Kennedy, C.; Cooley, D.; Johnstone, J.F.; Kenney, A.J.; Krebs, C.J. Expansion of Canopy-Forming Willows Over the Twentieth Century on Herschel Island, Yukon Territory, Canada. Ambio 2011, 40, 610–623. [Google Scholar] [CrossRef]
- Axelsson, P.; Fritsch, D.; Molenaar, M. DEM Generation from Laser Scanner Data Using Adaptive TIN Models. Int. Arch. Photogramm. Remote Sens. 2000, 33, 110–117. [Google Scholar]
- Zhang, K.; Chen, S.-C.; Whitman, D.; Shyu, M.-L.; Yan, J.; Zhang, C. A Progressive Morphological Filter for Removing Nonground Measurements from Airborne LIDAR Data. IEEE Trans. Geosci. Remote Sens. 2003, 41, 872–882. [Google Scholar] [CrossRef]
- Pingel, T.J.; Clarke, K.C.; McBride, W.A. An Improved Simple Morphological Filter for the Terrain Classification of Airborne LIDAR Data. ISPRS J. Photogramm. Remote Sens. 2013, 77, 21–30. [Google Scholar] [CrossRef]
- Zhang, W.; Qi, J.; Wan, P.; Wang, H.; Xie, D.; Wang, X.; Yan, G. An Easy-to-Use Airborne LiDAR Data Filtering Method Based on Cloth Simulation. Remote Sens. 2016, 8, 501. [Google Scholar] [CrossRef]
- St-Onge, B.; Vega, C.; Fournier, R.A.; Hu, Y. Mapping Canopy Height Using a Combination of Digital Stereo-photogrammetry and Lidar. Int. J. Remote Sens. 2008, 29, 3343–3364. [Google Scholar] [CrossRef]
- Popescu, S.C.; Wynne, R.H. Seeing the Trees in the Forest. Photogramm. Eng. Remote Sens. 2004, 70, 589–604. [Google Scholar] [CrossRef]
- American Society for Photogrammetry and Remote Sensing. ASPRS Positional Accuracy Standards for Geospatial Data, Edition 2, Version 1.0. Photogramm. Eng. Remote Sens. 2023, 89, 589–592. [Google Scholar] [CrossRef]
- Hugenholtz, C.; Brown, O.; Walker, J.; Barchyn, T.; Nesbit, P.; Kucharczyk, M.; Myshak, S. Spatial Accuracy of UAV-Derived Orthoimagery and Topography: Comparing Photogrammetric Models Processed with Direct Geo-Referencing and Ground Control Points. Geomatica 2016, 70, 21–30. [Google Scholar] [CrossRef]
- Fraser, R.H.; Lantz, T.C.; McFarlane-Winchester, M.; Van der Sluijs, J.; Prévost, C.L. Testing the Potential of UAV Photogrammetry for Deriving Bare Earth Models in Arctic Shrublands; Geomatics Canada Open File 54; Natural Resources Canada: Ottawa, ON, Canada, 2020; p. 20. [Google Scholar]
- Wallace, L.; Lucieer, A.; Malenovský, Z.; Turner, D.; Vopěnka, P. Assessment of Forest Structure Using Two UAV Techniques: A Comparison of Airborne Laser Scanning and Structure from Motion (SfM) Point Clouds. Forests 2016, 7, 62. [Google Scholar] [CrossRef]
- Lovitt, J.; Rahman, M.M.; McDermid, G.J. Assessing the Value of UAV Photogrammetry for Characterizing Terrain in Complex Peatlands. Remote Sens. 2017, 9, 715. [Google Scholar] [CrossRef]
- Salach, A.; Bakuła, K.; Pilarska, M.; Ostrowski, W.; Górski, K.; Kurczyński, Z. Accuracy Assessment of Point Clouds from LiDAR and Dense Image Matching Acquired Using the UAV Platform for DTM Creation. ISPRS Int. J. Geo-Inf. 2018, 7, 342. [Google Scholar] [CrossRef]
- Anders, K.; Marx, S.; Boike, J.; Herfort, B.; Wilcox, E.J.; Langer, M.; Marsh, P.; Höfle, B. Multitemporal Terrestrial Laser Scanning Point Clouds for Thaw Subsidence Observation at Arctic Permafrost Monitoring Sites. Earth Surf. Process. Landf. 2020, 45, 1589–1600. [Google Scholar] [CrossRef]
- Jensen, J.L.R.; Mathews, A.J. Assessment of Image-Based Point Cloud Products to Generate a Bare Earth Surface and Estimate Canopy Heights in a Woodland Ecosystem. Remote Sens. 2016, 8, 50. [Google Scholar] [CrossRef]
- Kokelj, S.V.; Burn, C.R.; Tarnocai, C. The Structure and Dynamics of Earth Hummocks in the Subarctic Forest near Inuvik, Northwest Territories, Canada. Arct. Antarct. Alp. Res. 2007, 39, 99–109. [Google Scholar] [CrossRef]
- Smith, M.W.; Carrivick, J.L.; Quincey, D.J. Structure from Motion Photogrammetry in Physical Geography. Prog. Phys. Geogr. Earth Environ. 2016, 40, 247–275. [Google Scholar] [CrossRef]
- Rose, A. (Ed.) Human Vision. In Vision: Human and Electronic; Springer: Boston, MA, USA, 1973; pp. 29–53. [Google Scholar]
- Castilla, G.; Filiatrault, M.; McDermid, G.J.; Gartrell, M. Estimating Individual Conifer Seedling Height Using Drone-Based Image Point Clouds. Forests 2020, 11, 924. [Google Scholar] [CrossRef]
- Chen, S.; McDermid, G.J.; Castilla, G.; Linke, J. Measuring Vegetation Height in Linear Disturbances in the Boreal Forest with UAV Photogrammetry. Remote Sens. 2017, 9, 1257. [Google Scholar] [CrossRef]
- Mestre-Runge, C.; Ludwig, M.; Sebastià, M.T.; Plaixats, J.; Lobo, A. Optimizing Drone-Based Surface Models for Prescribed Fire Monitoring. Fire 2023, 6, 419. [Google Scholar] [CrossRef]
- Dandois, J.P.; Baker, M.; Olano, M.; Parker, G.G.; Ellis, E.C. What Is the Point? Evaluating the Structure, Color, and Semantic Traits of Computer Vision Point Clouds of Vegetation. Remote Sens. 2017, 9, 355. [Google Scholar] [CrossRef]
- James, M.R.; Robson, S. Mitigating Systematic Error in Topographic Models Derived from UAV and Ground-Based Image Networks. Earth Surf. Process. Landf. 2014, 39, 1413–1420. [Google Scholar] [CrossRef]
- Díaz, G.M.; Mohr-Bell, D.; Garrett, M.; Muñoz, L.; Lencinas, J.D. Customizing Unmanned Aircraft Systems to Reduce Forest Inventory Costs: Can Oblique Images Substantially Improve the 3D Reconstruction of the Canopy? Int. J. Remote Sens. 2020, 41, 3480–3510. [Google Scholar] [CrossRef]
- Wallace, L.; Bellman, C.; Hally, B.; Hernandez, J.; Jones, S.; Hillman, S. Assessing the Ability of Image Based Point Clouds Captured from a UAV to Measure the Terrain in the Presence of Canopy Cover. Forests 2019, 10, 284. [Google Scholar] [CrossRef]
- Tan, Y.; Wang, S.; Xu, B.; Zhang, J. An Improved Progressive Morphological Filter for UAV-Based Photogrammetric Point Clouds in River Bank Monitoring. ISPRS J. Photogramm. Remote Sens. 2018, 146, 421–429. [Google Scholar] [CrossRef]
- Brodu, N.; Lague, D. 3D Terrestrial Lidar Data Classification of Complex Natural Scenes Using a Multi-Scale Dimensionality Criterion: Applications in Geomorphology. ISPRS J. Photogramm. Remote Sens. 2012, 68, 121–134. [Google Scholar] [CrossRef]
- Diab, A.; Kashef, R.; Shaker, A. Deep Learning for LiDAR Point Cloud Classification in Remote Sensing. Sensors 2022, 22, 7868. [Google Scholar] [CrossRef]
- Fareed, N.; Flores, J.P.; Das, A.K. Analysis of UAS-LiDAR Ground Points Classification in Agricultural Fields Using Traditional Algorithms and PointCNN. Remote Sens. 2023, 15, 483. [Google Scholar] [CrossRef]
- Gevaert, C.M.; Persello, C.; Nex, F.; Vosselman, G. A Deep Learning Approach to DTM Extraction from Imagery Using Rule-Based Training Labels. ISPRS J. Photogramm. Remote Sens. 2018, 142, 106–123. [Google Scholar] [CrossRef]





| ID 1 | Date (Time) 2 | Conditions | El (°) | AGL (m) | Res 3 (cm) | Photos (no.) | Overlap (For/Side) | System/Sensor | GCP | RMS 4 (m) | Pixel Error 4 |
|---|---|---|---|---|---|---|---|---|---|---|---|
| 1 | 31 July 2015 (16:43–16:53) | Mostly cloudy | 24 | 45 | 0.92 | 599 | 90/83 | Spyder PX8 Plus 1000, Sony a6000 (RGB) | 3 | 0.001 | 0.095 |
| 2 | 31 July 2015 (10:06–10:17) | Mostly cloudy | 36 | 90 | 1.72 | 531 | 85/83 | Spyder PX8 Plus 1000, Sony a6000 (RGB) | 3 | 0.002 | 0.137 |
| 3 | 29 July 2017 (17:29–17:39) | Sunny | 34 | 18 | 0.54 | 267 | 80/86 | DJI Phantom 4 Advanced (RGB), FC3610 | 6 | 0.002 | 0.122 |
| 4 | 29 July 2017 (15:15–15:54) | Sunny | 39 | 40 | 1.13 | 530 | 80/80 | DJI Phantom 4 Advanced (RGB), FC3610 | 11 | 0.004 | 0.086 |
| 5 | 29 July 2017 (16:13–16:31) | Sunny | 38 | 80 | 2.23 | 349 | 86/80 | DJI Phantom 4 Advanced (RGB), FC3610 | 13 | 0.005 | 0.115 |
| 6 | 27 August 2018 (13:35–13:55) | Overcast | 29 | 120 | 2.86 | 245 | 90/85 | Sensefly eBee Plus RTK, S.O.D.A (RGB) | 5 | 0.004 | 0.169 |
| 7 | 27 August 2018 (13:07–13:30) | Overcast | 28 | 117 | 12.47 | 764 | 80/80 | Sensefly eBee Plus RTK, Sequoia (multispectral) | 5 | 0.01 | 0.196 |
| ID 1 | I (m) | S 2 | Point Density Setting | D (m) | Observed Point Density (ρ; m−3) |
|---|---|---|---|---|---|
| 1 | 0.0092 | 1 | 4/(1) | 0.0368 | 15,075 |
| 1 | 0.0092 | 0.5 | 4/(0.5) | 0.0736 | 5961 |
| 1 | 0.0092 | 0.25 | 4/(0.25) | 0.1472 | 1787 |
| 2 | 0.0172 | 1 | 4/(1) | 0.0688 | 2816 |
| 2 | 0.0172 | 0.5 | 4/(0.5) | 0.1376 | 838 |
| 2 | 0.0172 | 0.25 | 4/(0.25) | 0.2752 | 267 |
| 3 | 0.0054 | 1 | 4/(1) | 0.0216 | 76,469 |
| 3 | 0.0054 | 0.5 | 4/(0.5) | 0.0432 | 22,312 |
| 3 | 0.0054 | 0.25 | 4/(0.25) | 0.0864 | 6668 |
| 4 | 0.0113 | 1 | 4/(1) | 0.0452 | 9311 |
| 4 | 0.0113 | 0.5 | 4/(0.5) | 0.0904 | 2701 |
| 4 | 0.0113 | 0.25 | 4/(0.25) | 0.1808 | 736 |
| 5 | 0.0223 | 1 | 4/(1) | 0.0892 | 1222 |
| 5 | 0.0223 | 0.5 | 4/(0.5) | 0.1784 | 353 |
| 5 | 0.0223 | 0.25 | 4/(0.25) | 0.3568 | 98 |
| 6 | 0.0286 | 1 | 4/(1) | 0.1144 | 569 |
| 6 | 0.0286 | 0.5 | 4/(0.5) | 0.2288 | 188 |
| 6 | 0.0286 | 0.25 | 4/(0.25) | 0.4576 | 49 |
| 7 | 0.1247 | 1 | 4/(1) | 0.4988 | 33 |
| 7 | 0.1247 | 0.5 | 4/(0.5) | 0.9976 | 8 |
| 7 | 0.1247 | 0.25 | 4/(0.25) | 1.9952 | 2 |
| Sum of Squares | df | Mean Square | F | p | |
|---|---|---|---|---|---|
| Vegetation cover (dense birch, dwarf shrub) | 0.91774 | 1 | 0.91774 | 501.077 | <0.001 |
| Source resolution | 2.99819 | 6 | 0.49970 | 272.829 | <0.001 |
| Dense matching setting (Full, half, quarter) | 0.26350 | 2 | 0.13175 | 71.935 | <0.001 |
| Dense scale resolution | 0.09865 | 1 | 0.09865 | 53.863 | <0.001 |
| Bare-earth approach | 0.64591 | 12 | 0.05383 | 29.388 | <0.001 |
| Residual | 0.95790 | 523 | 0.00183 | ||
| Total | 5.88189 | 545 |
Disclaimer/Publisher’s Note: The statements, opinions and data contained in all publications are solely those of the individual author(s) and contributor(s) and not of MDPI and/or the editor(s). MDPI and/or the editor(s) disclaim responsibility for any injury to people or property resulting from any ideas, methods, instructions or products referred to in the content. |
© 2026 by the authors. Licensee MDPI, Basel, Switzerland. This article is an open access article distributed under the terms and conditions of the Creative Commons Attribution (CC BY) license.
Share and Cite
Van der Sluijs, J.; Fraser, R.H.; Lantz, T.C. Replicability of Digital Terrain Models and Canopy Height Models Derived from Drone Photogrammetry. Remote Sens. 2026, 18, 627. https://doi.org/10.3390/rs18040627
Van der Sluijs J, Fraser RH, Lantz TC. Replicability of Digital Terrain Models and Canopy Height Models Derived from Drone Photogrammetry. Remote Sensing. 2026; 18(4):627. https://doi.org/10.3390/rs18040627
Chicago/Turabian StyleVan der Sluijs, Jurjen, Robert H. Fraser, and Trevor C. Lantz. 2026. "Replicability of Digital Terrain Models and Canopy Height Models Derived from Drone Photogrammetry" Remote Sensing 18, no. 4: 627. https://doi.org/10.3390/rs18040627
APA StyleVan der Sluijs, J., Fraser, R. H., & Lantz, T. C. (2026). Replicability of Digital Terrain Models and Canopy Height Models Derived from Drone Photogrammetry. Remote Sensing, 18(4), 627. https://doi.org/10.3390/rs18040627

