Abstract
Stem volume is a critical factor in managing and evaluating forest resources. At present, stem volume is commonly estimated indirectly by constructing a taper model that utilizes sampling, diameter at breast height (DBH), and tree height. However, these estimates are constrained by errors arising from spatial and stand environment variations as well as uncertainties in height measurements. To address these issues, this study aimed to accurately estimate stem volume using light detection and ranging (LiDAR) technology, a key tool in modern precision forestry. LiDAR data were used to build comprehensive three-dimensional models of forests with multi-platform LiDAR systems. This approach allowed for precise measurements of tree heights and stem diameters at various heights, effectively mitigating the limitations of earlier measurement methods. Based on these data, a Kozak taper curve was developed at the individual tree level using LiDAR-derived tree height and diameter estimates. Integrating this curve with LiDAR data enabled a hybrid approach to estimating stem volume, facilitating the calculation of diameters at points not directly identifiable from LiDAR data alone. The proposed method was implemented and evaluated for two economically significant tree species in Korea: Pinus koraiensis and Larix kaempferi. The RMSE comparison between the taper curve-based approach and the hybrid volume estimation method showed that, for Pinus koraiensis, the RMSE was 0.11 m3 using the taper curve-based approach and 0.07 m3 for the hybrid method, while for Larix kaempferi, the RMSE was 0.13 m3 and 0.05 m3, respectively. The estimation error of the hybrid method was approximately half that of the taper curve-based approach. Consequently, the hybrid volume estimation method, which integrates LiDAR and the taper model, overcomes the limitations of conventional taper curve-based approaches and contributes to improving the accuracy of forest resource monitoring.
1. Introduction
Forests provide numerous ecological, social, and economic services, including climate change mitigation, sustainable ecosystem management, biodiversity conservation, forest product and pharmaceutical provision, recreational opportunities, water resource conservation, and soil protection [1,2]. Over the past three decades, terrestrial ecosystems have absorbed approximately 20% of the carbon dioxide emitted from fossil fuel use and industrial activities, with forests significantly contributing to this absorption [3]. Therefore, forests are essential carbon sinks for mitigating climate change and integral to implementing diverse carbon neutrality strategies. The 2015 Paris Agreement, established by the United Nations, was designed to address various challenges caused by climate change resulting from the greenhouse effect. This agreement encourages all countries to limit global warming to below 2.0 °C, with the additional objectives of achieving carbon neutrality by 2050 and restricting the global temperature change to below 1.5 °C [4]. In this context, accurately assessing and managing the carbon storage capacity of forests has become a central component of climate change mitigation strategies. In particular, estimating forest carbon stocks and monitoring their changes are crucial for implementing forest management strategies to achieve carbon neutrality [5]. Furthermore, the accuracy of these carbon stock estimations depends on the precision of stem volume assessments [6].
Accurate stem volume estimation typically requires a destructive sampling approach, which is time-consuming and costly. Consequently, empirically derived taper models are frequently employed for volume estimation [7]. Stem volume is typically estimated by applying diameter at breast height (DBH) and tree height to volume tables derived from taper models. Therefore, refining taper models is essential for ensuring accurate volume estimation. Researchers employ statistical techniques to develop precise taper models, including multiple linear regression, ordinary nonlinear least squares, and nonlinear mixed-effects modeling [8,9,10,11]. In Korea, the “Standard Volume Table and Biomass Expansion Factors” provide parameter estimates for 14 variations on the Kozak model tailored to different regions and tree species [12,13].
However, previous studies have indicated that estimating stem volume using these tables may result in underestimations owing to the rounding of DBH and limited availability of species-specific tables [14]. Furthermore, the design of the volume tables for nationwide application in Korea may result in errors when applied to specific regions. Consequently, research has been conducted to create region-specific volume tables to minimize spatial discrepancies [15,16]. Developing taper models and estimating their parameters for precise stem volume estimation requires substantial resources and effort. Therefore, a non-destructive approach is required to improve the efficiency and accuracy of volume estimation.
Recent data collection and processing technology advancements have prompted considerable research endeavors to integrate Forestry 4.0 and precision forestry into forest management [17,18,19]. In particular, applying remote sensing technology has substantially altered forest resource monitoring, with light detection and ranging (LiDAR) technology playing a pivotal role. LiDAR facilitates the non-destructive acquisition of three-dimensional information from trees, effectively capturing previously difficult data. Numerous studies have been conducted to apply various platforms, including satellites, aircraft, drones, and vehicles, as well as multi-platform approaches in forestry to optimize the potential of LiDAR [20,21,22,23,24]. Terrestrial laser scanning (TLS) produces precise three-dimensional data, achieving precision levels of up to one millimeter by scanning from a fixed ground position. However, TLS has certain limitations, particularly in occlusion, where data collection is hindered by terrain and obstacles. Multi-scan techniques, involving scanning from multiple positions, can partially mitigate these issues; however, the upper parts of tree stems may still be obscured by canopy cover, resulting in the potential underestimation of tree height [25]. In contrast, unmanned aerial vehicle laser scanning (ULS) collects data from above the canopy, enabling precise delineation of treetops. However, this approach has inherent limitations in collecting data from the lower parts of the forest, including the ground and understory, particularly in areas with dense canopy coverage [26,27].
Recent research intends to enhance conventional volume estimation methods, which have typically relied on indirect approaches, by leveraging the advantages of LiDAR technology. Kurdi et al. [28] proposed an automated methodology for 3D modeling of tree trunks using airborne laser scanning (ALS) and airborne laser scanning (TLS). Gao et al. [29] proposed a methodology for constructing volume tables utilizing point cloud data (PCD) acquired from ULS and ground backpack laser scanning, offering a non-destructive alternative to conventional destructive sampling approaches. Furthermore, You et al. [30] employed TLS data and a tetrahedron model to develop 3D representations of stems and estimate their volume. Furthermore, Ibrahim et al. [31] developed the forest stem extraction and modeling framework for automatic detection and diameter measurement of tree stems using MLS data. However, these studies remain focused on constructing volume tables and inadequately address the issue of missing upper stem segments due to LiDAR occlusion, which limits their ability to accurately estimate the complete stem volume of individual trees [32,33,34].
The novelty of this study lies in its innovative integration of conventional taper models into LiDAR technology for precise individual tree volume estimation. While previous studies have utilized either taper models or LiDAR data separately, our approach uniquely combines these methods to overcome their individual limitations. By integrating the mathematical precision of taper models with the detailed three-dimensional measurements from multi-platform LiDAR, we enable complete and accurate volume estimation at the individual tree level. This novel hybrid methodology addresses a critical gap in current forest measurement techniques, where volume estimates are often limited by either the generalized nature of taper models or the partial stem measurements from LiDAR alone. Our approach allows for precise diameter measurements at various heights through LiDAR data, while employing taper models to estimate diameters in areas where direct LiDAR measurements are challenging, particularly in the upper crown sections. This integration represents a significant advancement in precision forestry, offering a more comprehensive and accurate method for stem volume estimation than previously available techniques.
Accordingly, this study aimed to construct volume tables based on taper curve models and overcome the limitations of conventional volume estimation methods that depend on DBH and tree height; this was achieved by utilizing LiDAR data to estimate stem volume with enhanced precision at the individual tree level. The specific objectives of this study were as follows: (a) to compare conventional height measurement methods with LiDAR-based height measurements; (b) to estimate diameters at various stem heights and validate the resulting individual tree-level taper curves; and (c) to estimate stem volume and evaluate the accuracy using reference tree data, conventional volume estimation methods, and LiDAR-based approaches.
2. Materials and Methods
This section describes the experimental design, data collection, and analytical methods employed in this study. Emphasis is placed on accurately estimating individual tree taper curves and calculating stem volume by integrating multi-platform LiDAR with an empirical taper model. The section begins with the selection of the study site and reference trees, followed by the acquisition and preprocessing of TLS and ULS data, and the methodology for combining LiDAR-derived measurements with the taper model. Finally, the accuracy of individual tree taper curve estimation and stem volume calculation was validated using reference tree data.
2.1. Study Site and Selection of Reference Trees
The study site was situated within the experimental forest of Kangwon National University, Gangwon Province, Republic of Korea (37°45′–37°51′N, 127°47′–127°52′W). Rectangular plots measuring 100 m × 100 m were established for each species, namely Pinus koraiensis and Larix kaempferi. The P. koraiensis plot contained 736 trees, whereas the L. kaempferi plot contained 480 trees, indicating a higher stand density in the P. koraiensis plot. The mean DBH was 28.6 cm for P. koraiensis and 28.3 cm for L. kaempferi. The slope of the P. koraiensis plot was 19°, whereas that of the L. kaempferi plot was 24°. L. kaempferi stands exhibited lower canopy and stand densities than P. koraiensis. Owing to its species characteristics, L. kaempferi allowed for greater light penetration through the canopy, resulting in enhanced development of understory vegetation (Table 1, Figure 1).
Table 1.
Statistics for each study area using conventional in situ measurements.
Figure 1.
Location of the study area: academic forest of Kangwon National University (Kangwon-do, Republic of Korea).
Ten reference trees were selected for each species. The reference trees were used as evaluation standards, with diameters measured at varying stem heights after felling. Reference trees were selected to represent an even distribution of DBH and height to ensure the assessment encompassed a diverse range of tree characteristics. The selection process was based on procedures used in Korean forest practices to identify reference trees. The trees were categorized by diameter class (2 cm increments) and height class (1 m increments), with random sampling performed within each group. If selected reference trees were located close to one another, they were excluded to account for felling logistics, and a new random sample was generated. This process ensured that the selected reference trees were evenly distributed regarding DBH, height, and spatial position within the study site (Figure 2).
Figure 2.
Selection and spatial distribution of reference trees by species considering diameter at breast height and height.
2.2. Method
This study employed LiDAR data to calculate taper curves and stem volume for ten individual P. koraiensis and L. kaempferi trees and evaluate these estimates against conventional stem volume estimation methods. The data collected for this study were classified into three principal categories: (1) standard data (SD), consisting of DBH and height measurements obtained using conventional methods; (2) LiDAR data (LD), encompassing PCD generated at the individual tree level using multi-platform LiDAR; and (3) reference tree data (RTD), comprising stem diameter measurements recorded at 1-m intervals after tree felling. The taper curve based on SD was estimated using parameters from the standard volume table the Korea Forest Service provided. The taper curve based on LD was optimized using tree height and stem diameter measurements at 20 cm intervals. For the RTD, the parameters were optimized using field-measured data. Finally, stem volume was calculated from the taper curves derived for each tree, and the results from the two methods were compared and evaluated against the RTD (Figure 3).
Figure 3.
Flowchart for advancing stem volume estimation using multi-platform LiDAR and taper model integration [13].
2.3. Data Collection for Reference Trees
SD were collected using conventional measurement methods currently employed in forest fieldwork to obtain DBH and tree height information. DBH was determined using a diameter tape, whereas tree height was assessed using a Vertex device (Vertex Laser Geo, Haglof, Långsele, Sweden). Tree height was measured on five occasions using the Vertex device, and the mean of the three measurements, excluding the minimum and maximum values, was used as the final result.
Multi-platform LiDAR data were acquired using TLS and ULS with unmanned aerial vehicles (UAVs). TLS data were collected using a BLK 360 (Leica Geosystem, Heerbrugg, Switzerland), a compact and relatively affordable TLS device known for its portability. The BLK 360 can collect data with an accuracy of 4 mm at a distance of 10 m [35]. To obtain the requisite data for this study, TLS data were generated by scanning 121 times at 10-m intervals across the 1-ha study site. The ULS data were obtained using a Hovermap (Emesent Pty Ltd., Brisbane, Australia) and Matrice 300 RTK (DJI, Shenzhen, China). The Hovermap could collect data with an accuracy of 30 mm. To obtain the required data, the study site was scanned from 30 m above the canopy, as determined using the digital surface model (DSM). The flight speed was set at 2 m/s, with an area covered by approximately seven to eight cross-patterned flights (Table 2).
Table 2.
Specifications and performance of the BLK360 and Hovermap LiDAR.
The scanning performed using TLS and ULS resulted in data being constructed in the form of PCD. PCD represents the external surface of objects or terrain as a set of points in a 3D coordinate system, accurately reflecting the shape and spatial information of the target [36]. The PCD collected by each platform was georeferenced using ground control points (GCPs) established before data collection. Two Trimble R12i (Trimble, Westminster, CO, USA) devices were configured, and a real-time kinematic (RTK) system was used to obtain precise location coordinates. This process enabled the creation of PCD with a georeferencing root mean square error (RMSE) of less than 5 cm. Finally, 10 reference trees were manually identified and extracted for each species, constructing multi-platform LiDAR data for 20 reference trees (Table 3, Figure 4).
Table 3.
RMSE of alignment and georeferencing errors during LiDAR data construction for each platform and species.
Figure 4.
Comparison of TLS and ULS LiDAR data collection results for P. koraiensis and L. kaempferi.
Data for reference trees were collected by measuring the diameters at various stem heights and directly measuring the actual tree height after felling. The stem diameters were marked and measured at 1-m intervals using a diameter tape. The actual heights of the trees were determined by measuring the heights of the stumps and stems using a measuring tape and summing these measurements. If a treetop was broken during felling, the actual tree height was calculated by adding the stump height, stem height, and broken treetop height (Figure 5).
Figure 5.
Reference tree data collection.
2.4. Estimation of Tree Height in SD, LD, and RTD
The estimation of tree volume depends on the accurate measurement of tree height. Notably, taper curve models, commonly utilized in forestry for volume estimation, rely on DBH and tree height to estimate diameters at various relative heights [10,37,38,39]. Consequently, errors in height measurements (in meters) can affect the conversion of stem diameters (in centimeters) at different heights into relative height diameters, potentially leading to significant errors in volume estimation (in cubic meters). Consequently, precise height measurements are crucial for ensuring the reliability of volume estimation.
In this study, the tree height was measured using three distinct methodologies. Initially, SD height information was gathered using conventional measurement techniques. SD height was measured on five occasions using a Vertex device. After the minimum and maximum values were excluded, the average of the remaining three measurements was used as the final result. Subsequently, the LD height measurements were performed. LD heights were obtained by merging the TLS and ULS data to extract the PCD at the individual tree level. The vertical height from the ground to the treetop was then visually interpreted and directly measured using CloudCompare (v2.13.1). The RTD height was measured after felling. RTD height was directly measured by summing the stump height, stem height, and any missing treetop height. The SD, LD, and RTD heights were compared and evaluated against the RTD heights as a reference by calculating the RMSE and coefficient of determination (R2) values (Equation (1)).
2.5. Estimation of Stem Diameter at Different Heights Using LD
We developed an algorithm to estimate the stem diameters at different heights of individual trees using LiDAR data. Previous studies have employed various algorithms to estimate DBH accurately [40,41]. However, the objective of this study was not only to estimate DBH but also to develop a methodology for continuously estimating diameters at varying heights along the stem, thereby facilitating more precise volume estimation at the individual tree level.
Extracting stem points was a necessary preliminary step in stem diameter estimation at varying heights. Stem points were identified manually through visual interpretation to reduce the potential for errors in diameter estimation owing to the presence of leaves and branches. When branches were present, the largest branch diameter was selected for stem point construction. The height intervals for diameter estimation commenced at 20 cm above the minimum z-value of the extracted stem points and were set at regular 20 cm intervals (Figure 6).
Figure 6.
Schematic of stem data construction and diameter estimation at various heights using LiDAR data.
When determining the interval for diameter estimation, it is crucial to balance capturing detailed variations in stem diameter with avoiding an overly simplified representation of tree morphology. Although taper equations typically show a gradual decrease in stem diameter as relative height increases, excessively small intervals may amplify local fluctuations in the data, thereby reducing the accuracy of curve fitting. Accordingly, through iterative testing, this study set the interval at 20 cm to ensure both an appropriate depiction of stem shape and stable fitting performance.
The diameter at each specified stem height was estimated using a circle-fitting method based on ordinary least squares (OLS). OLS-based circle fitting is an intuitive and accurate approach for estimating diameters distributed in a circular pattern, as evidenced by its widespread use in previous studies for DBH estimation [42,43]. This method calculates the diameters by minimizing the sum of the squared distances between the points and the fitted circle. Optimal circle fitting was performed by solving normal equations, enabling diameter estimation at each height [44]. The entire process was conducted using Python (version 3.11.7).
2.6. Estimation of Individual Tree Taper Curves Using the Kozak Model
The taper curve equation describes the variation in diameter along the stem relative to height, enabling the estimation of diameters at any given height based on the derived taper curve [8]. Most current volume estimation methods employ measured DBH and tree height, converted into standard increments and then applied to volume tables published by national or research institutions. The Korea Forest Service provides volume tables that include diameter- and height-based volume information for different tree species using taper equations, particularly the Kozak model [13]. Therefore, the Kozak model was used in this study to estimate individual tree taper curves for comparison with existing volume tables (Equation (2)).
We estimated and compared the taper volumes of individual trees using three datasets: SD, LD, and RTD. Taper curve estimation using SD was conducted through conventional measurement techniques, incorporating DBH, tree height, and parameters from the Kozak model derived from existing volume tables. Taper curve estimation using LD was based on diameter data collected at multiple stem heights. Taper curve estimation using RTD utilized diameter measurements obtained at various stem heights after tree felling. The parameters for the taper curves based on LD and RTD were estimated using the OLS method, as outlined by Garber and Maguire [45] and He et al. [46]. During the OLS optimization process, parameter ranges were restricted to ±0.1 from the Kozak model parameters specified in the volume tables to ensure realistic stem shape estimation and maintain model stability at the unmeasured upper parts of the stem in the LD.
To validate the fit of the taper curves estimated using LD and RTD, the estimated diameter data from the taper curves were compared with the respective diameter data from the LD and RTD at various stem heights. Based on these comparisons, the RMSE and R2 were calculated to evaluate the fit of the taper curves estimated for each tree using the different methods (Equation (1)) [47]. The entire process was conducted using Python (version 3.11.7).
2.7. Estimation of Stem Volume Using Individual Tree Taper Curves
The stem volume was estimated using taper curves following the methodology described in the volume tables. Following the instructions outlined in the volume tables, stem volume was calculated by dividing the entire stem into 10 cm intervals, estimating the volume for each segment, and subsequently summing these values. When divided into 10-cm segments, the portion below the inflection point was treated as a frustum of a neiloid, the portion above the inflection point was treated as a frustum of a paraboloid, and the top section was treated as a cone. Subsequently, the volumes of these sections were calculated and summed to derive the total stem volume (Equation (3)). The inflection point, which marks the change in the curvature of the taper curve, was set according to the values provided in the volume tables for all three methods. The inflection point, as defined in the volume table for P. koraiensis, was 0.3, whereas that for L. kaempferi was 0.25 [13].
Accordingly, stem volume was estimated using the taper curves derived from the SD, LD, and RTD. The accuracy of the stem volume estimation was evaluated by comparing the volumes derived from SD and LD with those obtained from RTD as a reference, employing RMSE and R2 as evaluation metrics. Furthermore, statistical tests were conducted to ascertain whether significant differences existed in the population through the various measurement methods. The Shapiro–Wilk test was employed to assess the normality of the data across the three sets of volume estimates. Additionally, paired t-tests were utilized to statistically evaluate the differences between RTD and SD and between RTD and LD, using a significance level of 0.05 [48,49].
3. Results
This section presents the results of estimating individual tree stem volume by integrating LiDAR and an empirical taper model. The analysis begins with an accuracy assessment of LiDAR-based height measurements compared to conventional measurement methods. Next, individual tree taper curves were generated using LiDAR data and validated against reference tree data. Finally, a comparative analysis between the conventional taper model-based method and the hybrid volume estimation method highlights the superior performance and accuracy of the proposed approach.
3.1. Comparison of Tree Height in SD, LD, and RTD
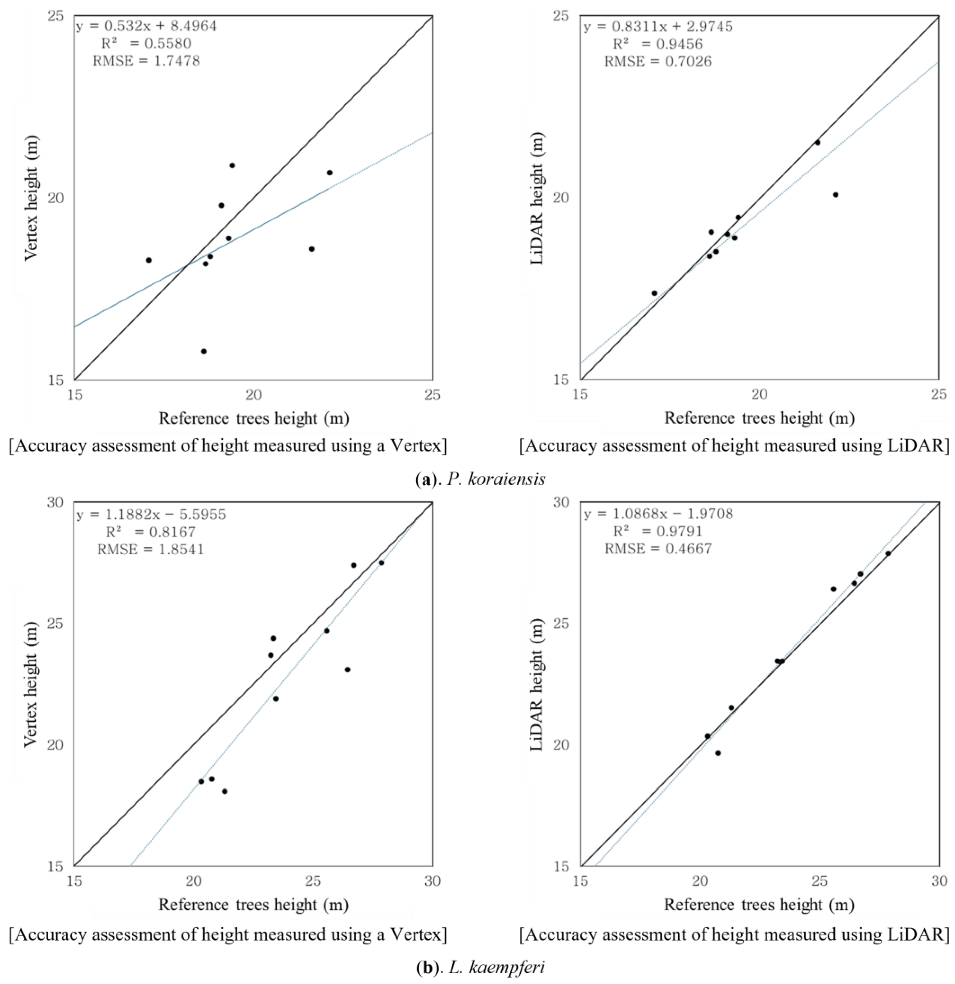
To assess the precision of height measurements obtained through disparate methodologies, the accuracy of the SD and LD height measurements was gauged against those of the RTD, which served as the reference. For P. koraiensis, the RMSE of the SD height measurements obtained using the Vertex device was 1.75 m, whereas the RMSE of the LD height measurements was 0.70 m. A similar trend was observed in L. kaempferi. The RMSE of SD height was 1.85 m, whereas the RMSE of LD height was 0.47 m, indicating that LiDAR-based measurements were more accurate than Vertex-based measurements for both species.
Moreover, R2 revealed a more robust correlation between LD and RTD heights. For P. koraiensis, the R2 value for the LiDAR-based height was 0.95, which was approximately 0.4 higher than that of 0.56 for the Vertex-based height. For L. kaempferi, the R2 value for the LiDAR-based height was 0.98, which was higher than that of 0.82 for the Vertex-based height. These results indicate that LiDAR-based height measurements provided more consistent predictions and higher accuracy than conventional trigonometric-based height measurement methods for both species (Figure 7).
Figure 7.
Comparison of accuracy between Vertex-measured height and LiDAR-based height relative to reference tree data.
3.2. Validation of Individual Tree Taper Curve Derived from LD and RTD
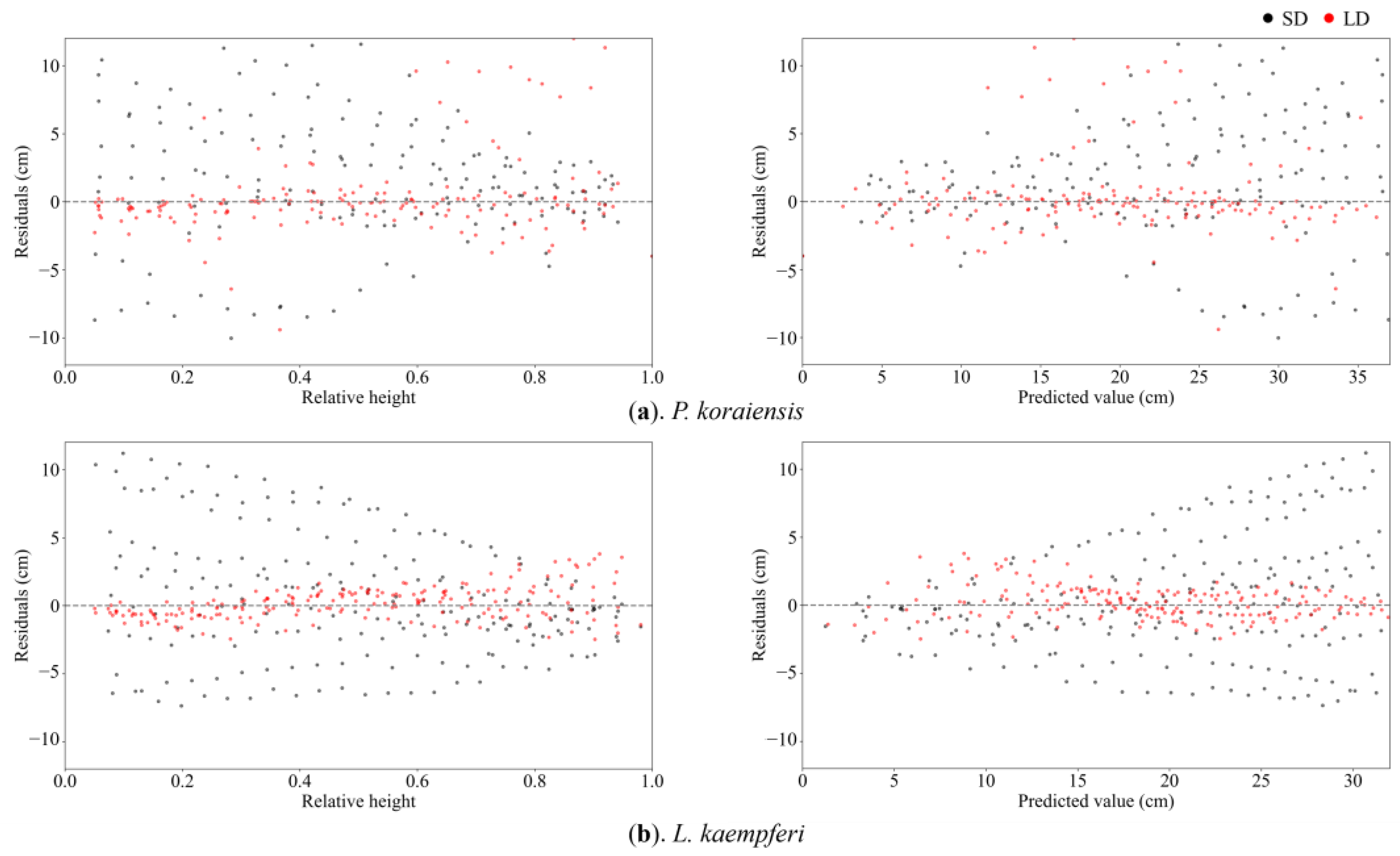
The fit of the taper curves, estimated using stem diameter measurements at different heights from the RTD and LD, was evaluated. The average R2 values exceeded 0.95 for both P. koraiensis and L. kaempferi, indicating that the taper curves were well fitted. In particular, the mean R2 values for the RTD were 0.9733 for P. koraiensis and 0.9958 for L. kaempferi, indicating a high degree of accuracy; this indicated that the parameters for both the RTD and LD taper curves were effectively optimized (Table A1 and Table A2).
The residuals of the stem diameter at different heights were analyzed for each species using the estimated taper curves, with the RTD taper curve serving as the reference. The RMSE values of stem diameter at different heights, calculated against the RTD, were 5.55 cm for SD and 2.97 cm for LD in P. koraiensis and 4.48 cm for SD and 1.18 cm for LD in L. kaempferi; this suggests that the accuracy of the diameter estimation was greater for L. kaempferi, which had a more linear stem and fewer branches than P. koraiensis. Concerning the data type, LD demonstrated superior performance compared to SD.
Notably, the residuals of diameter estimation for LD showed a significant increase beyond a relative height of 0.6 for P. koraiensis, likely owing to the influence of tree forks in the middle to upper sections of the main trunk. For L. kaempferi, diameter estimates derived from LD were overestimated beyond a relative height of 0.8. This overestimation is likely due to the inherent limitations of LiDAR technology in collecting stem points in the upper parts of the stem, thereby affecting the accuracy of diameter estimation. However, because the predicted diameter values tended to decrease at relative heights above 0.8, the impact on the volume estimation was expected to be minimal. LD provided more accurate diameter estimates than SD regardless of the species, particularly when the predicted diameter values were high (Figure 8).
Figure 8.
Distribution of diameter residuals by relative height and predicted diameter for each species: comparison between LiDAR-based taper model (LD) and standard volume table-based taper model (SD).
3.3. Comparison of Stem Volume in SD, LD, and RTD
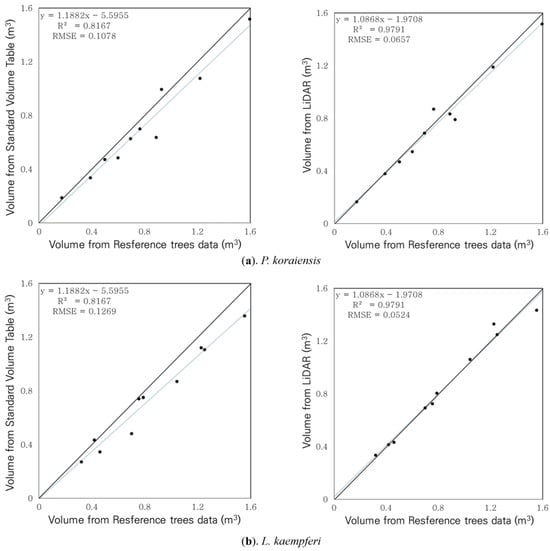
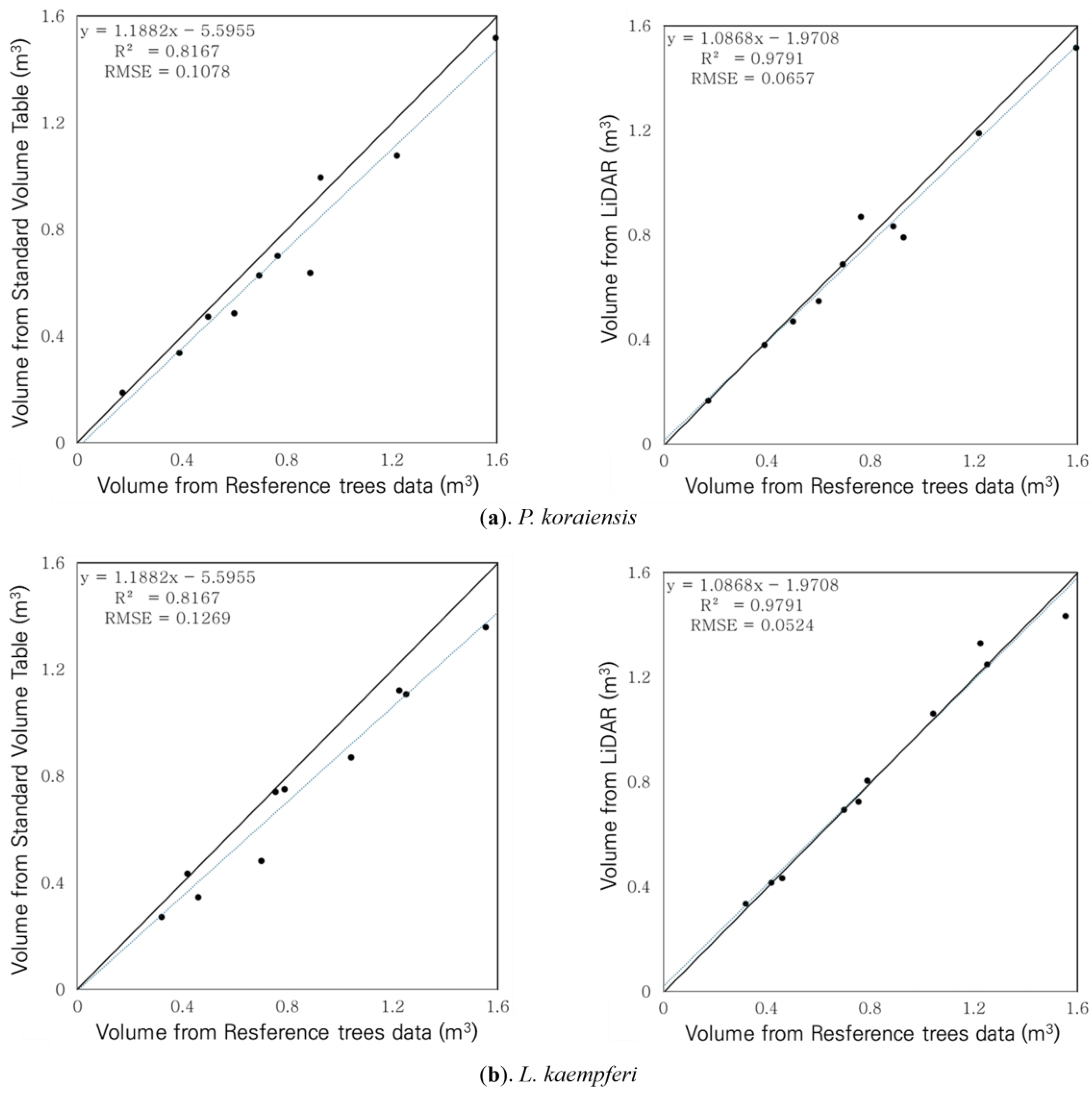
The precision of stem volume estimation was evaluated using SD and LD datasets. The RTD was used as the benchmark for comparison. For P. koraiensis, the R2 for the SD-derived stem volume estimation was 0.8167 with an RMSE of 0.11 m3. Conversely, the R2 for the LD-derived stem volume estimation was 0.9791 with an RMSE of 0.07 m3. For L. kaempferi, the R2 for SD-based stem volume was 0.9676 with an RMSE of 0.13 m. Conversely, the R2 for the LD-based stem volume estimation was 0.9817 with an RMSE of 0.05 m3. The RMSE for the LD-based stem volume estimation was approximately half that of the SD-based stem volume estimation, indicating that the LD-based stem volume estimation was more accurate than the SD-based estimation (Figure 9).
Figure 9.
Evaluation of stem volume estimation accuracy using standard and LiDAR methods.
A Shapiro–Wilk normality test was initially conducted to assess statistical normality. The results confirmed normality in all cases involving both species and the three types of data (p > 0.05). Subsequently, a paired t-test was conducted to compare the volumes estimated using the LD and SD against those estimated using the RTD. In the case of P. koraiensis, no significant difference was observed between the RTD and LD (p = 0.19). However, a significant difference was observed between the RTD and SD groups (p = 0.03). A similar trend was observed in L. kaempferi. Notably, the absolute mean difference was lower for LD than for SD, with P. koraiensis and L. kaempferi showing differences of 0.04 m3 and 0.10 m3, respectively (Table 4 and Table 5).
Table 4.
Shapiro–Wilk normality test results with additional metrics.
Table 5.
Paired t-test results with confidence intervals.
Overall, the LD-based stem volume estimation method using LiDAR yielded more precise results than the conventional SD-based taper curve method. Furthermore, the LD-based estimation was especially efficacious for L. kaempferi, which possesses a more linear stem with fewer branches, facilitating a more exact volume estimation.
4. Discussion
4.1. Comparison of Stem Volume Using Volume Tables, Reference Trees, and LiDAR
This study demonstrated that height measurements derived from LD were more accurate than those derived from conventional Vertex-based methods. This study’s RMSE values for LiDAR-based height measurement were 0.70 m for P. koraiensis and 0.47 m for L. kaempferi. As reported by Liu et al. [50], the RMSE values for height measurements using TLS ranged from 0.54 m to 1.23 m. These findings support the conclusion that LiDAR-based measurements are more accurate than conventional indirect methods. This finding is consistent with previous studies and suggests that LiDAR offers greater accuracy than conventional height estimation methods that use clinometers or laser rangefinders. Tree height measurements are generally more uncertain than DBH measurements, with variations affected by the position and expertise of the observer [51]. Moreover, conventional trigonometric height measurements necessitate precise identification of the trunk base and treetop, leading to increased error rates in densely canopied environments, such as those of P. koraiensis [52]. Conversely, integrating TLS and ULS via a multi-platform approach proved to be an effective method for enhancing the accuracy of LiDAR-based height measurements. TLS effectively captured detailed information from the ground to the lower sections of tree stems, whereas ULS provided accurate data for the upper canopy and treetops. By integrating data from these two platforms, we could mitigate each occlusion effect, thereby collecting precise data for the upper and lower sections of trees without gaps [53]. In conclusion, the multi-platform LiDAR method that integrates TLS and ULS demonstrated greater consistency and accuracy than conventional trigonometric height measurement methods and proved highly effective for height measurements across diverse tree environments.
The LiDAR-based method proposed in this study also demonstrated superior stem volume estimation accuracy compared to the conventional method that utilizes volume tables. Current methodologies for estimating tree volume utilize taper curves and volume tables developed from data collected from sampled trees. Consequently, the reliability of these volume tables depends on the sampling method and selected trees. Furthermore, as the spatial scope of sampling increases, the number of factors influencing tree volume and growth increases, leading to an increased risk of estimation errors [54]. Consequently, conventional volume estimation is inherently variable and error-prone regarding tree location and individual characteristics [55].
Furthermore, volume tables use 2-cm DBH and 1-m height intervals to convert these measurements into corresponding volume values, which can lead to underestimation [56]. In contrast, the LiDAR-based stem volume estimation method developed in this study digitized each tree’s characteristics of stem shapes. When data were absent due to LiDAR occlusion effects, the Kozak taper curve was employed to estimate the upper parts of the stems based on the lower stem diameter estimates. This approach enabled the accurate estimation of tree volume by considering the unique characteristics of each tree. This approach addresses the limitations of conventional volume table-based methods, which demonstrate increased errors as the spatial range of sampling expands. Specifically, for both P. koraiensis and L. kaempferi, volume estimates derived from taper curve models in volume tables tended to underestimate actual volume as it increased. In contrast, the LiDAR-based volume estimation provided consistent and accurate results regardless of the volume size.
In conclusion, the LiDAR-based volume estimation method exhibited superior precision and reliability for measuring tree height and volume compared to conventional trigonometry or volume table methods; this indicates that precise volume estimation using LiDAR may result in a transformative approach to forest management.
4.2. Comparison of the LiDAR-Based Stem Volume Estimation Model in P. koraiensis and L. kaempferi
This study aimed to evaluate the applicability of a LiDAR-based stem volume estimation model for two species: P. koraiensis and L. kaempferi. The two species exhibit disparate stand environmental characteristics, and this study analyzed the impact of these traits on taper curve estimation and volume calculation.
First, P. koraiensis was characterized by high stand density and a closed canopy. In these environments, conventional height measurement methods face challenges owing to the dense canopy, making it difficult to identify treetops and resulting in elevated errors in height estimation. Furthermore, P. koraiensis typically exhibits a high degree of branching and tree forks, resulting in an irregular distribution of stem diameters; this is characterized by a temporary increase at the branching points, followed by a sharp decrease. These irregular changes in stem shape present challenges for precise modeling using conventional taper equations. However, the LiDAR-based diameter data at different stem heights effectively captured these distinctive diameter variations for each tree, thereby enabling more precise volume estimation than conventional methods that rely exclusively on DBH and height using volume tables.
In contrast, L. kaempferi exhibited a lower stand density and straighter stems, rendering it more conducive to timber production. Although small L. kaempferi trees were occasionally underestimated using conventional methods, their heights were measured more accurately than those of P. koraiensis. The stem diameters of L. kaempferi exhibited a consistent decreasing pattern with increasing height, resulting in minimal errors in the taper curve estimation. Consequently, applying LiDAR-based taper curves to L. kaempferi allowed for highly accurate volume estimation because of the species’ reduced branching and regular diameter changes.
Nevertheless, the LiDAR-based volume estimation model presented in this study was exclusively tested on specific species, particularly conifers, highlighting the need for further validation across a broader range of species. Nevertheless, the findings of this study demonstrate that the LiDAR-based model is highly effective for accurately estimating the volume of trees with straight stem shapes suitable for timber production.
4.3. Applicability of the LiDAR-Based Stem Volume Estimation Method
This study’s LiDAR-based volume estimation method offers several advantages over conventional volume estimation methods. Conventional methodologies for estimating stem volume rely on a restricted range of data, predominantly utilizing DBH and tree height measurements obtained by surveyors. In contrast, the LiDAR-based method can precisely measure the entire shape of the stem through 3D PCD, facilitating a more reliable volume estimation.
The LiDAR-based method offers a notable advantage in accurately estimating the stem volume of individual trees without the need for felling. Information on the lower portion of the stem, crucial for timber production, can be directly measured using LiDAR data, yielding greater volume estimation precision than conventional methods [57]; this enables precise forecasting of timber yields before harvesting, which is vital for effective forest management planning.
Furthermore, LiDAR-based forest resource monitoring offers the substantial benefit of facilitating the development of extensive datasets. Conventional resource surveys and monitoring techniques are limited in reviewing completed datasets, whereas LiDAR-collected data allows for ongoing review and application [58]. Moreover, conventional methods yield results that vary depending on the surveyor’s expertise, whereas LiDAR-based monitoring ensures consistently collected data [59,60]. Furthermore, this study revealed that LiDAR-based height measurements were more accurate than those obtained using a Vertex device, underscoring the considerable effectiveness of LiDAR-based forest resource monitoring [61].
Most current research on volume estimation employs indirect methodologies, such as taper curves and machine learning [62,63]. The hybrid volume estimation method developed in this study employs PCD from LiDAR to estimate the diameters of the lower stem, facilitating more precise volume estimation than conventional methods. As prior research shows, stem volume represents a considerable portion of forest carbon storage, accounting for approximately 50–70% or more [64,65]. However, conventional volume estimation methods employing taper curves tend to underestimate the volume of large trees and the diameter of the lower stem [66,67]; this may underestimate forest carbon storage. In contrast, the LiDAR-based stem volume estimation method offers enhanced accuracy, facilitating more precise assessments of carbon storage
4.4. Limitations and Future Work
This study presents a novel methodology for estimating stem volume through LiDAR data; however, several limitations exist. First, although the reference tree selection process was designed to include various diameter and height classes, the limited sample size of 10 trees per species restricted statistical reliability, including R2 values, which highlights the limitations of the analysis. Second, decreasing point density with increasing relative height reduced diameter estimation accuracy, particularly in areas where branches developed, leading to ambiguity between the main stem and branches. Third, the conventional Kozak model exhibited limitations in accurately presenting complex stem structures [66,67]. Additionally, validation was solely conducted for P. koraiensis and L. kaempferi, resulting in unevaluated applicability across various forest environments.
Furthermore, in this study, the stem extraction process was performed manually. However, numerous studies have focused on automating this process to improve efficiency and accuracy. Integrating the proposed methodology with such automated stem extraction algorithms could facilitate full automation in future stem volume estimation systems.
Improvements in data quality and methodological advancements are essential to overcome these limitations. Future research should secure sufficient samples that reflect various diameter and height classes to improve statistical reliability and validate the methodology under different growth conditions. Furthermore, establishing an appropriate relative height range for LD data utilization while accounting for upper diameter estimation errors may enhance the accuracy of volume estimations. Developing stem volume estimation models based on machine learning and deep learning artificial intelligence (AI) technologies is also in progress. Consequently, AI technologies with LiDAR-derived diameter information at different stem heights are expected to be effectively applied [68,69].
Finally, long-term validation of the robustness of this methodology across various species and stand conditions is required. This validation can facilitate growth estimation and carbon storage assessment applications through time-series data construction.
5. Conclusions
In this study, a model for estimating individual tree taper curves and stem volume was developed using multi-platform LD and evaluated against conventional volume estimation methods. LiDAR-based stem volume estimation exhibited superior accuracy compared to the conventional volume table-based approach, enabling a more precise estimation of stem volume that reflected the unique characteristics of individual trees. The LiDAR-based method demonstrated superior R2 and RMSE values for both P. koraiensis and L. kaempferi, confirming its reliability in estimating tree volume compared with conventional methods. Notably, the LiDAR-based method was able to estimate the stem volume of L. kaempferi with high precision owing to the straight-stem shape of the species, which renders it particularly suitable for timber production; this indicates that the method can be applied to various tree species used for timber production. The LiDAR-based hybrid volume estimation method proposed in this study offers greater accuracy than conventional methods, making it suitable for forest management and timber yield prediction. Future research should focus on validating this method in various environments and across different tree species. It should also expand its application to include forest resource monitoring and carbon sequestration assessment using time-series data.
Author Contributions
Conceptualization, Y.L. and J.L.; methodology, Y.L. and J.L.; software, Y.L.; validation, Y.L. and J.L.; formal analysis, Y.L.; investigation, Y.L.; resources, Y.L.; data curation, Y.L.; writing—original draft preparation, Y.L.; writing—review and editing, J.L.; visualization, Y.L.; supervision, J.L.; project administration, J.L.; funding acquisition, J.L. All authors have read and agreed to the published version of the manuscript.
Funding
This research was funded by the Korea Forest Service (Korea Forestry Promotion Institute), Grant No.: 2021359A00-2223-BD01.
Data Availability Statement
The data used to support the findings of this study are available from the corresponding author upon request.
Conflicts of Interest
The authors declare no conflicts of interest.
Appendix A
Table A1.
Parameter estimates for taper models [30] based on datasets.
Table A1.
Parameter estimates for taper models [30] based on datasets.
| Species | No. Tree | Method | a0 | a1 | a2 | b1 | b2 | b3 | b4 | b5 |
|---|---|---|---|---|---|---|---|---|---|---|
| P. koraiensis | 1 | RTD | 0.9796 | 0.9677 | 0.9971 | 0.4749 | −0.0067 | 0.4104 | −0.0838 | 0.2238 |
| LD | 1.0339 | 0.9379 | 1.0008 | 0.7094 | −0.1470 | 0.9178 | −0.4670 | 0.1270 | ||
| 2 | RTD | 1.0343 | 0.9379 | 1.0005 | 0.6641 | −0.1440 | 0.9178 | −0.4670 | 0.1464 | |
| LD | 1.0338 | 0.9375 | 1.0003 | 0.6729 | −0.1662 | 1.1178 | −0.3720 | −0.0372 | ||
| 3 | RTD | 1.0337 | 0.9374 | 1.0001 | 0.5748 | −0.1577 | 1.1178 | −0.3874 | −0.0048 | |
| LD | 1.0341 | 0.9374 | 1.0006 | 0.5748 | −0.1384 | 0.9178 | −0.4670 | 0.0999 | ||
| 4 | RTD | 1.0335 | 0.9375 | 1.0005 | 0.5748 | −0.1307 | 0.9178 | −0.4670 | 0.1165 | |
| LD | 1.0335 | 0.9372 | 1.0004 | 0.7748 | −0.1546 | 0.9178 | −0.2917 | −0.0372 | ||
| 5 | RTD | 1.0334 | 0.9374 | 1.0002 | 0.7748 | −0.1659 | 0.9178 | −0.3012 | −0.0372 | |
| LD | 1.0354 | 0.9384 | 1.0012 | 0.5748 | −0.1205 | 0.9356 | −0.4670 | 0.1628 | ||
| 6 | RTD | 1.0339 | 0.9371 | 1.0003 | 0.5748 | −0.1250 | 0.9513 | −0.4670 | 0.1628 | |
| LD | 1.0331 | 0.9374 | 1.0007 | 0.5748 | −0.1649 | 0.9178 | −0.4670 | 0.0310 | ||
| 7 | RTD | 1.0333 | 0.9375 | 1.0005 | 0.7675 | −0.1923 | 0.9178 | −0.4670 | 0.0039 | |
| LD | 1.0329 | 0.9369 | 0.9998 | 0.5748 | −0.0816 | 1.1178 | −0.3906 | 0.1628 | ||
| 8 | RTD | 1.0335 | 0.9370 | 0.9995 | 0.5748 | −0.0964 | 1.1178 | −0.4126 | 0.1628 | |
| LD | 1.0353 | 0.9372 | 0.9997 | 0.7748 | −0.1528 | 0.9367 | −0.2670 | −0.0372 | ||
| 9 | RTD | 1.0336 | 0.9372 | 1.0000 | 0.7748 | −0.1718 | 0.9178 | −0.3102 | −0.0372 | |
| LD | 1.0320 | 0.9364 | 0.9993 | 0.5748 | −0.1553 | 0.9178 | −0.4670 | 0.1459 | ||
| 10 | RTD | 1.0315 | 0.9355 | 0.9984 | 0.5748 | −0.2015 | 0.9178 | −0.4670 | 0.1169 | |
| LD | 1.0316 | 0.9362 | 0.9991 | 0.5748 | −0.0891 | 1.1178 | −0.3747 | 0.1628 | ||
| SD | 1.0332 | 0.9370 | 0.9998 | 0.6748 | −0.1551 | 1.0178 | −0.3670 | 0.0628 | ||
| L. kaempferi | 1 | RTD | 0.9816 | 0.9691 | 0.9990 | 0.4749 | −0.0523 | 0.3310 | −0.1934 | 0.2238 |
| LD | 0.9832 | 0.9699 | 0.9998 | 0.6749 | −0.1045 | 0.4104 | −0.1328 | 0.0238 | ||
| 2 | RTD | 0.9838 | 0.9698 | 0.9998 | 0.4749 | −0.0357 | 0.2104 | −0.1511 | 0.2238 | |
| LD | 0.9824 | 0.9692 | 0.9987 | 0.4749 | −0.0685 | 0.2946 | −0.1934 | 0.2238 | ||
| 3 | RTD | 0.9819 | 0.9693 | 0.9991 | 0.4749 | −0.0660 | 0.2739 | −0.1934 | 0.2238 | |
| LD | 0.9822 | 0.9695 | 0.9991 | 0.6749 | −0.0703 | 0.2104 | −0.0247 | 0.0238 | ||
| 4 | RTD | 0.9811 | 0.9691 | 0.9990 | 0.6749 | −0.0686 | 0.2104 | −0.0151 | 0.0238 | |
| LD | 0.9816 | 0.9689 | 0.9988 | 0.4749 | −0.0635 | 0.4104 | −0.0673 | 0.0408 | ||
| 5 | RTD | 0.9817 | 0.9689 | 0.9987 | 0.4749 | −0.0606 | 0.4104 | −0.0467 | 0.0330 | |
| LD | 0.9827 | 0.9695 | 0.9992 | 0.4749 | −0.0580 | 0.2658 | −0.1934 | 0.2238 | ||
| 6 | RTD | 0.9824 | 0.9694 | 0.9991 | 0.4749 | −0.0576 | 0.2774 | −0.1934 | 0.2238 | |
| LD | 0.9820 | 0.9694 | 0.9991 | 0.4749 | −0.0843 | 0.3162 | −0.1934 | 0.1207 | ||
| 7 | RTD | 0.9819 | 0.9694 | 0.9991 | 0.4749 | −0.0459 | 0.2216 | −0.1934 | 0.2238 | |
| LD | 0.9783 | 0.9674 | 0.9978 | 0.5013 | −0.1857 | 0.2104 | −0.1934 | 0.1612 | ||
| 8 | RTD | 0.9800 | 0.9677 | 0.9975 | 0.4749 | −0.1857 | 0.3549 | −0.1934 | 0.0848 | |
| LD | 0.9816 | 0.9690 | 0.9989 | 0.6749 | −0.0974 | 0.2104 | −0.0348 | 0.0238 | ||
| 9 | RTD | 0.9813 | 0.9690 | 0.9988 | 0.6749 | −0.0794 | 0.2104 | −0.0054 | 0.0238 | |
| LD | 0.9827 | 0.9702 | 0.9997 | 0.6749 | −0.0936 | 0.4104 | −0.1041 | 0.0238 | ||
| 10 | RTD | 0.9831 | 0.9702 | 0.9998 | 0.4749 | −0.0730 | 0.4104 | −0.0672 | 0.0238 | |
| LD | 0.9819 | 0.9690 | 0.9990 | 0.4749 | −0.0625 | 0.2986 | −0.1934 | 0.2238 | ||
| SD | 0.9817 | 0.9690 | 0.9988 | 0.5749 | −0.0857 | 0.3104 | −0.0934 | 0.1238 | ||
Table A2.
Summary of fit statistics for taper models by species.
Table A2.
Summary of fit statistics for taper models by species.
| Species | No. Tree | Taper Models of RTD | Taper Models of LD | ||
|---|---|---|---|---|---|
| R2 | RMSE (cm) | R2 | RMSE (cm) | ||
| P. koraiensis | 1 | 0.9933 | 0.4747 | 0.9893 | 0.3128 |
| 2 | 0.9924 | 0.6736 | 0.9884 | 0.3439 | |
| 3 | 0.9528 | 2.0538 | 0.9792 | 0.3961 | |
| 4 | 0.9963 | 0.6288 | 0.9935 | 0.3892 | |
| 5 | 0.9822 | 0.6097 | 0.9711 | 0.3636 | |
| 6 | 0.9655 | 1.9848 | 0.9790 | 0.3070 | |
| 7 | 0.9646 | 2.3904 | 0.9430 | 1.8416 | |
| 8 | 0.9791 | 1.9937 | 0.9809 | 0.7501 | |
| 9 | 0.9512 | 1.7653 | 0.9399 | 0.8133 | |
| 10 | 0.9552 | 2.5033 | 0.9218 | 1.9101 | |
| Mean | 0.9733 | 1.5078 | 0.9686 | 0.7428 | |
| L. kaempferi | 1 | 0.9981 | 0.4177 | 0.9855 | 0.2835 |
| 2 | 0.9969 | 0.2534 | 0.9800 | 0.1656 | |
| 3 | 0.9983 | 0.2879 | 0.9858 | 0.2274 | |
| 4 | 0.9938 | 0.4078 | 0.9792 | 0.3274 | |
| 5 | 0.9939 | 0.5492 | 0.9601 | 0.5786 | |
| 6 | 0.9911 | 0.4080 | 0.9688 | 0.2722 | |
| 7 | 0.9976 | 0.3597 | 0.9636 | 0.7092 | |
| 8 | 0.9984 | 0.4582 | 0.9657 | 0.7519 | |
| 9 | 0.9973 | 0.5641 | 0.9735 | 0.3970 | |
| 10 | 0.9930 | 0.7243 | 0.9713 | 0.5395 | |
| Mean | 0.9958 | 0.4430 | 0.9734 | 0.4252 | |
References
- Lal, R. Forest soils and carbon sequestration. For. Ecol. Manag. 2005, 220, 242–258. [Google Scholar] [CrossRef]
- Brockerhoff, E.G.; Barbaro, L.; Castagneyrol, B.; Forrester, D.I.; Gardiner, B.; González-Olabarria, J.R.; Lyver, P.O.; Meurisse, N.; Oxbrough, A.; Taki, H.; et al. Forest biodiversity, ecosystem functioning, and the provision of ecosystem services. Biodivers. Conserv. 2017, 26, 3005–3035. [Google Scholar] [CrossRef]
- Pan, Y.; Birdsey, R.A.; Fang, J.; Houghton, R.; Kauppi, P.E.; Kurz, W.A.; Phillips, O.L.; Shvidenko, A.; Lewis, S.L.; Canadell, J.G.; et al. A large and persistent carbon sink in the world’s forests. Science 2011, 333, 988–993. [Google Scholar] [CrossRef] [PubMed]
- Wang, F.; Harindintwali, J.D.; Yuan, Z.; Wang, M.; Wang, F.; Li, S.; Yin, Z.; Huang, L.; Fu, Y.; Li, L.; et al. Technologies and perspectives for achieving carbon neutrality. Innovation 2021, 2, 100180. [Google Scholar] [CrossRef]
- Smith, J.E.; Heath, L.S.; Woodbury, P.B. How to estimate forest carbon for large areas from inventory data. J. For. 2004, 102, 25–31. [Google Scholar] [CrossRef]
- Shin, J.; Han, H.; Ko, C.; Kang, J.; Kim, Y. Applying nonlinear mixed-effects models to taper equations: A case study of Pinus densiflora in Gangwon Province, Republic of Korea. J. Korean For. Soc. 2022, 111, 136–149. [Google Scholar] [CrossRef]
- McTague, J.P.; Weiskittel, A. Evolution, history, and use of stem taper equations: A review of their development, application, and implementation [Application]. Can. J. For. Res. 2021, 51, 210–235. [Google Scholar] [CrossRef]
- Kozak, A.; Munro, D.D.; Smith, J.H.G. Taper functions and their application in forest inventory. For. Chron. 1969, 45, 278–283. [Google Scholar] [CrossRef]
- Max, T.A.; Burkhart, H.E. Segmented polynomial regression applied to taper equations. For. Sci. 1976, 22, 283–289. [Google Scholar]
- Jiang, L.; Brooks, J.R.; Wang, J. Compatible taper and volume equations for yellow-poplar in West Virginia. For. Ecol. Manag. 2005, 213, 399–409. [Google Scholar] [CrossRef]
- Şenyurt, M.; Ercanlı, I.; Bolat, F. Taper equations based on nonlinear mixed effect modeling approach for Pinus nigra in Çankırı forests. Bosque 2017, 38, 545–554. [Google Scholar] [CrossRef]
- Lee, D.; Seo, Y.; Lee, J.; Choi, J. Estimation and validation of taper equations for three major coniferous species in Gangwon and north Gyeongsang provinces of South Korea. J. For. Environ. Sci. 2017, 33, 315–321. [Google Scholar] [CrossRef]
- Korea Forest Service and National Institute of Forest Science. Tree Volume, Biomass, and Stand Yield Table, 6th ed.; National Institute of Forest Science: Seoul, Republic of Korea, 2021; pp. 318–323. [Google Scholar]
- Filho, A.F.; Schaaf, L.B. Comparison between predicted volumes estimated by taper equations and true volumes obtained by the water displacement technique (xylometer). Can. J. For. Res. 1999, 29, 451–461. [Google Scholar] [CrossRef]
- Kang, J.T.; Son, Y.M.; Kim, S.W.; Park, H.; Hwang, J.S. Development of local stem volume table for Larix kaempferi using Kozak’s stem taper model. J. Agirc. Life Sci. 2014, 48, 119–131. [Google Scholar] [CrossRef]
- Kang, J.T.; Son, Y.M.; Kim, S.W.; Lee, S.J.; Park, H. Development of local stem volume table for Pinus densiflora S. et Z. using tree stem taper model. Korean J. Agric. For. Meteorol. 2014, 16, 327–335. [Google Scholar] [CrossRef]
- Šumarstvo, P.; Pripadajuće, D.I. Precision forestry—Definition and technologies 2. Scope of Research—Problematika istraživanja. Forestry 2010, 11, 603–611. [Google Scholar]
- Venanzi, R.; Latterini, F.; Civitarese, V.; Picchio, R. Recent applications of smart technologies for monitoring the sustainability of forest operations. Forests 2023, 14, 1503. [Google Scholar] [CrossRef]
- Araújo, A.G.; Pizzino, C.A.; Couceiro, M.S.; Rocha, R.P. A Multi-Drone System Proof of Concept for Forestry Applications. Drones 2025, 9, 80. [Google Scholar] [CrossRef]
- Guan, H.; Su, Y.; Hu, T.; Wang, R.; Ma, Q.; Yang, Q.; Sun, X.; Li, Y.; Jin, S.; Zhang, J.; et al. A Novel Framework to Automatically Fuse Multiplatform LiDAR Data in Forest Environments Based on Tree Locations. IEEE Trans. Geosci. Remote Sens. 2020, 58, 2165–2177. [Google Scholar] [CrossRef]
- Dubayah, R.; Blair, J.B.; Goetz, S.; Fatoyinbo, L.; Hansen, M.; Healey, S.; Hofton, M.; Hurtt, G.; Kellner, J.; Luthcke, S.; et al. The Global Ecosystem Dynamics Investigation: High-resolution laser ranging of the Earth’s forests and topography. Sci. Remote Sens. 2020, 1, 100002. [Google Scholar] [CrossRef]
- Neuville, R.; Bates, J.S.; Jonard, F. Estimating forest structure from UAV-mounted LiDAR point cloud using machine learning. Remote Sens. 2021, 13, 352. [Google Scholar] [CrossRef]
- Lin, Y.C.; Shao, J.; Shin, S.Y.; Saka, Z.; Joseph, M.; Manish, R.; Fei, S.; Habib, A. Comparative analysis of multi-platform, multi-resolution, multi-temporal LiDAR data for forest inventory. Remote Sens. 2022, 14, 649. [Google Scholar] [CrossRef]
- Ren, Y.; Guan, H.; Yang, H.; Su, Y.; Tao, S.; Cheng, K.; Li, W.; Yang, Z.; Huang, G.; Li, C.; et al. Discovering and measuring giant trees through the integration of multi-platform lidar data. Methods. Ecol. Evol. 2024, 15, 1889–1905. [Google Scholar] [CrossRef]
- Király, G.; Brolly, G. Tree height estimation methods for terrestrial laser scanning in a forest reserve. Int. Arch. Photogramm. Remote Sens. Spat. Inf. Sci. 2007, 36, 211–215. [Google Scholar]
- Wang, Y.; Kukko, A.; Hyyppä, E.; Hakala, T.; Pyörälä, J.; Lehtomäki, M.; El Issaoui, A.; Yu, X.; Kaartinen, H.; Liang, X.; et al. Seamless integration of above- and under-canopy unmanned aerial vehicle laser scanning for forest investigation. For. Ecosyst. 2021, 8, 10. [Google Scholar] [CrossRef]
- Lindberg, E.; Holmgren, J. Individual Tree Crown Methods for 3D Data from Remote Sensing. Curr. For. Rep. 2017, 3, 19–31. [Google Scholar] [CrossRef]
- Tarsha Kurdi, F.; Gharineiat, Z.; Lewandowicz, E.; Shan, J. Modeling the Geometry of Tree Trunks Using LiDAR Data. Forests 2024, 15, 368. [Google Scholar] [CrossRef]
- Gao, S.; Zhang, Z.; Cao, L. Individual tree structural parameter extraction and volume table creation based on near-field LiDAR data: A case study in a subtropical planted forest. Sensors 2021, 21, 8162. [Google Scholar] [CrossRef]
- You, L.; Chang, X.; Sun, Y.; Pang, Y.; Feng, Y.; Song, X. Volume estimation of stem segments based on a tetrahedron model using terrestrial laser scanning data. Remote Sens. 2023, 15, 5060. [Google Scholar] [CrossRef]
- Ibrahim, M.; Wang, H.; Iqbal, I.A.; Miao, Y.; Albaqami, H.; Blom, H.; Mian, A. Forest Stem Extraction and Modeling (FoSEM): A LiDAR-Based Framework for Accurate Tree Stem Extraction and Modeling in Radiata Pine Plantations. Remote Sens. 2025, 17, 445. [Google Scholar] [CrossRef]
- Henning, J.G.; Radtke, P.J. Detailed stem measurements of standing trees from ground-based scanning lidar. For. Sci. 2006, 52, 67–80. [Google Scholar] [CrossRef]
- Xi, Z.; Hopkinson, C.; Chasmer, L. Automating plot-level stem analysis from terrestrial laser scanning. Forests 2016, 7, 252. [Google Scholar] [CrossRef]
- Balestra, M.; Marselis, S.; Sankey, T.T.; Cabo, C.; Liang, X.; Mokroš, M.; Peng, X.; Singh, A.; Stereńczak, K.; Vega, C.; et al. LiDAR Data Fusion to Improve Forest Attribute Estimates: A Review. Curr. For. Rep. 2024, 10, 281–297. [Google Scholar] [CrossRef]
- Anderson, C.T.; Dietz, S.L.; Pokswinski, S.M.; Jenkins, A.M.; Kaeser, M.J.; Hiers, J.K.; Pelc, B.D. Conventional field metrics and terrestrial LiDAR predict plant richness in southern pine forests. For. Ecol. Manag. 2021, 491, 119118. [Google Scholar] [CrossRef]
- Li, L.; Wang, R.; Zhang, X. A tutorial review on point cloud registrations: Principle, classification, comparison, and technology challenges. Math. Probl. Eng. 2021, 2021, 9953910. [Google Scholar] [CrossRef]
- Bruce, D.; Curtis, R.O.; Vancoevering, C. Development of a system of taper and volume tables for red alder. For. Sci. 1968, 14, 339–350. [Google Scholar]
- Kozak, A. A variable-exponent taper equation. Can. J. For. Res. 1988, 18, 1363–1368. [Google Scholar] [CrossRef]
- Fang, Z.; Bailey, R.L. Compatible volume and taper models with coefficients for tropical species on Hainan Island in Southern China. For. Sci. 1999, 45, 85–100. [Google Scholar] [CrossRef]
- Cabo, C.; Del Pozo, S.; Rodríguez-Gonzálvez, P.; Ordóñez, C.; González-Aguilera, D. Comparing terrestrial laser scanning (TLS) and wearable laser scanning (WLS) for individual tree modeling at plot level. Remote Sens. 2018, 10, 540. [Google Scholar] [CrossRef]
- Ye, W.; Qian, C.; Tang, J.; Liu, H.; Fan, X.; Liang, X.; Zhang, H. Improved 3D stem mapping method and elliptic hypothesis-based DBH estimation from terrestrial laser scanning data. Remote Sens. 2020, 12, 352. [Google Scholar] [CrossRef]
- You, L.; Wei, J.; Liang, X.; Lou, M.; Pang, Y.; Song, X. Comparison of numerical calculation methods for stem diameter retrieval using terrestrial laser data. Remote Sens. 2021, 13, 1780. [Google Scholar] [CrossRef]
- Fan, W.; Liu, H.; Xu, Y.; Lin, W. Comparison of estimation algorithms for individual tree diameter at breast height based on hand-held mobile laser scanning. Scand. J. For. Res. 2021, 36, 460–473. [Google Scholar] [CrossRef]
- Gander, W.; Golub, G.H.; Strebel, R. Least-squares fitting of circles and ellipses. BIT Numer. Math. 1994, 34, 558–578. [Google Scholar] [CrossRef]
- Garber, S.M.; Maguire, D.A. Modeling stem taper of three central Oregon species using nonlinear mixed effects models and autoregressive error structures. For. Ecol. Manag. 2003, 179, 507–522. [Google Scholar] [CrossRef]
- He, P.; Hussain, A.; Khurram Shahzad, M.K.; Jiang, L.; Li, F. Evaluation of four regression techniques for stem taper modeling of Dahurian larch (Larix gmelinii) in Northeastern China. For. Ecol. Manag. 2021, 494, 119336. [Google Scholar] [CrossRef]
- Li, D.; Guo, H.; Jia, W.; Wang, F. Analysis of taper functions for Larix olgensis using mixed models and TLS. Forests 2021, 12, 196. [Google Scholar] [CrossRef]
- Panagiotidis, D.; Abdollahnejad, A.; Slavík, M. Assessment of stem volume on plots using terrestrial laser scanner: A precision forestry application. Sensors 2021, 21, 301. [Google Scholar] [CrossRef]
- Gyawali, A.; Aalto, M.; Peuhkurinen, J.; Villikka, M.; Ranta, T. Comparison of individual tree height estimated from LiDAR and digital aerial photogrammetry in young forests. Sustainability 2022, 14, 3720. [Google Scholar] [CrossRef]
- Liu, G.; Wang, J.; Dong, P.; Chen, Y.; Liu, Z. Estimating individual tree height and diameter at breast height (DBH) from terrestrial laser scanning (TLS) data at plot level. Forests 2018, 9, 398. [Google Scholar] [CrossRef]
- Luoma, V.; Saarinen, N.; Wulder, M.A.; White, J.C.; Vastaranta, M.; Holopainen, M.; Hyyppä, J. Assessing precision in conventional field measurements of individual tree attributes. Forests 2017, 8, 38. [Google Scholar] [CrossRef]
- Martin, A.J. Accuracy and precision in urban forestry tools for estimating total tree height. Arboric. Urban For. 2022, 48, 319–332. [Google Scholar] [CrossRef]
- Wang, Y.; Lehtomäki, M.; Liang, X.; Pyörälä, J.; Kukko, A.; Jaakkola, A.; Liu, J.; Feng, Z.; Chen, R.; Hyyppä, J. Is field-measured tree height as reliable as believed–A comparison study of tree height estimates from field measurement, airborne laser scanning and terrestrial laser scanning in a boreal forest. ISPRS J. Photogramm. 2019, 147, 132–145. [Google Scholar] [CrossRef]
- Case, B.S.; Hall, R.J. Assessing prediction errors of generalized tree biomass and volume equations for the boreal forest region of west-central Canada. Can. J. For. Res. 2008, 38, 878–889. [Google Scholar] [CrossRef]
- Yang, S.I.; Burkhart, H.E. Comparison of volume and stand table estimates with alternate methods for selecting measurement trees in point samples. For. Int. J. Forest Res. 2019, 92, 42–51. [Google Scholar] [CrossRef]
- Shin, J.H.; Han, H.; Kim, Y.H.; Yim, J.S.; Chang, Y.S. Uncertainty in estimating forest growing stock from volume estimation of a standing tree by stem volume table and the resulting bias in carbon stock estimation: A case study in Hongcheon-Gun, Republic of Korea. J. Clim. Change Res. 2022, 13, 355–364. [Google Scholar] [CrossRef]
- de Oliveira, X.M.; Scolforo, H.F.; McTague, J.P.; Dobner Junior, M.D.; Scolforo, J.R.S. Impact of the inclusion of the sociological position and upper-stem diameter in the taper modeling of Pinus taeda trees, subjected to different thinning regimes. Trees For. People 2022, 8, 100251. [Google Scholar] [CrossRef]
- Michez, A.; Bauwens, S.; Bonnet, S.; Lejeune, P. Characterization of forests with LiDAR technology. In Land Surface Remote Sensing in Agriculture and Forest; Elsevier: Amsterdam, The Netherlands, 2016; pp. 331–362. [Google Scholar] [CrossRef]
- Jakubowski, M.K.; Guo, Q.; Kelly, M. Tradeoffs between lidar pulse density and forest measurement accuracy. Remote Sens. Environ. 2013, 130, 245–253. [Google Scholar] [CrossRef]
- Stereńczak, K.; Mielcarek, M.; Wertz, B.; Bronisz, K.; Zajączkowski, G.; Jagodziński, A.M.; Ochał, W.; Skorupski, M. Factors influencing the accuracy of ground-based tree-height measurements for major European tree species. J. Environ. Manag. 2019, 231, 1284–1292. [Google Scholar] [CrossRef]
- Campos, M.B.; Litkey, P.; Wang, Y.; Chen, Y.; Hyyti, H.; Hyyppä, J.; Puttonen, E. A long-term terrestrial laser scanning measurement station to continuously monitor structural and phenological dynamics of boreal forest canopy. Front. Plant Sci. 2020, 11, 606752. [Google Scholar] [CrossRef] [PubMed]
- Beyene, S.M.; Hussin, Y.A.; Kloosterman, H.E.; Ismail, M.H. Forest inventory and aboveground biomass estimation with terrestrial LiDAR in the tropical forest of Malaysia. Can. J. Remote Sens. 2020, 46, 130–145. [Google Scholar] [CrossRef]
- Sandoval, S.; Acuña, E. Stem taper estimation using artificial neural networks for Nothofagus trees in natural forest. Forests 2022, 13, 2143. [Google Scholar] [CrossRef]
- Ponette, Q.; Ranger, J.; Ottorini, J.M.; Ulrich, E. Aboveground biomass and nutrient content of five Douglas-fir stands in France. For. Ecol. Manag. 2001, 142, 109–127. [Google Scholar] [CrossRef]
- Noh, N.; Son, Y.; Kim, J.; Kim, R.; Seo, K.; Seo, K.; Koo, J.; Kyung, J.; Park, I.; Lee, Y. A study on estimation of biomass, stem density and biomass expansion factor for stand age classes of Japanese larch (Larix leptolepis) stands in Gapyeong area. J. Korea For. Energy 2006, 25, 1–8. [Google Scholar]
- Muhairwe, C.K. Taper equations for Eucalyptus pilularis and Eucalyptus grandis for the north coast in New South Wales, Australia. For. Ecol. Manag. 1999, 113, 251–269. [Google Scholar] [CrossRef]
- Lejeune, G.; Ung, C.H.; Fortin, M.; Guo, X.J.; Lambert, M.C.; Ruel, J.C. A simple stem taper model with mixed effects for boreal black spruce. Eur. J. Forest Res. 2009, 128, 505–513. [Google Scholar] [CrossRef]
- Salekin, S.; Catalán, C.H.; Boczniewicz, D.; Phiri, D.; Morgenroth, J.; Meason, D.F.; Mason, E.G. Global tree taper modelling: A review of applications, methods, functions, and their parameters. Forests 2021, 12, 913. [Google Scholar] [CrossRef]
- Ercanlı, İ. Deep learning algorithms for addressing overfitting and biological realism in tree taper and volume predictions. Can. J. Forest Res. 2024, 54, 1500–1518. [Google Scholar] [CrossRef]
Disclaimer/Publisher’s Note: The statements, opinions and data contained in all publications are solely those of the individual author(s) and contributor(s) and not of MDPI and/or the editor(s). MDPI and/or the editor(s) disclaim responsibility for any injury to people or property resulting from any ideas, methods, instructions or products referred to in the content. |
© 2025 by the authors. Licensee MDPI, Basel, Switzerland. This article is an open access article distributed under the terms and conditions of the Creative Commons Attribution (CC BY) license (https://creativecommons.org/licenses/by/4.0/).








