Evaluation of the Partition of Global Solar Radiation into UVA, PAR, and NIR Components in a Rural Environment
Abstract
Highlights
- Eight years of high-quality spectral measurements in Lindenberg (Germany) show that global solar radiation is partitioned into ~5% UVA, ~43% PAR, and ~26% NIR, expressed as energy fractions relative to Rs, with strong correlations (R2 > 0.90) between each component and Rs.
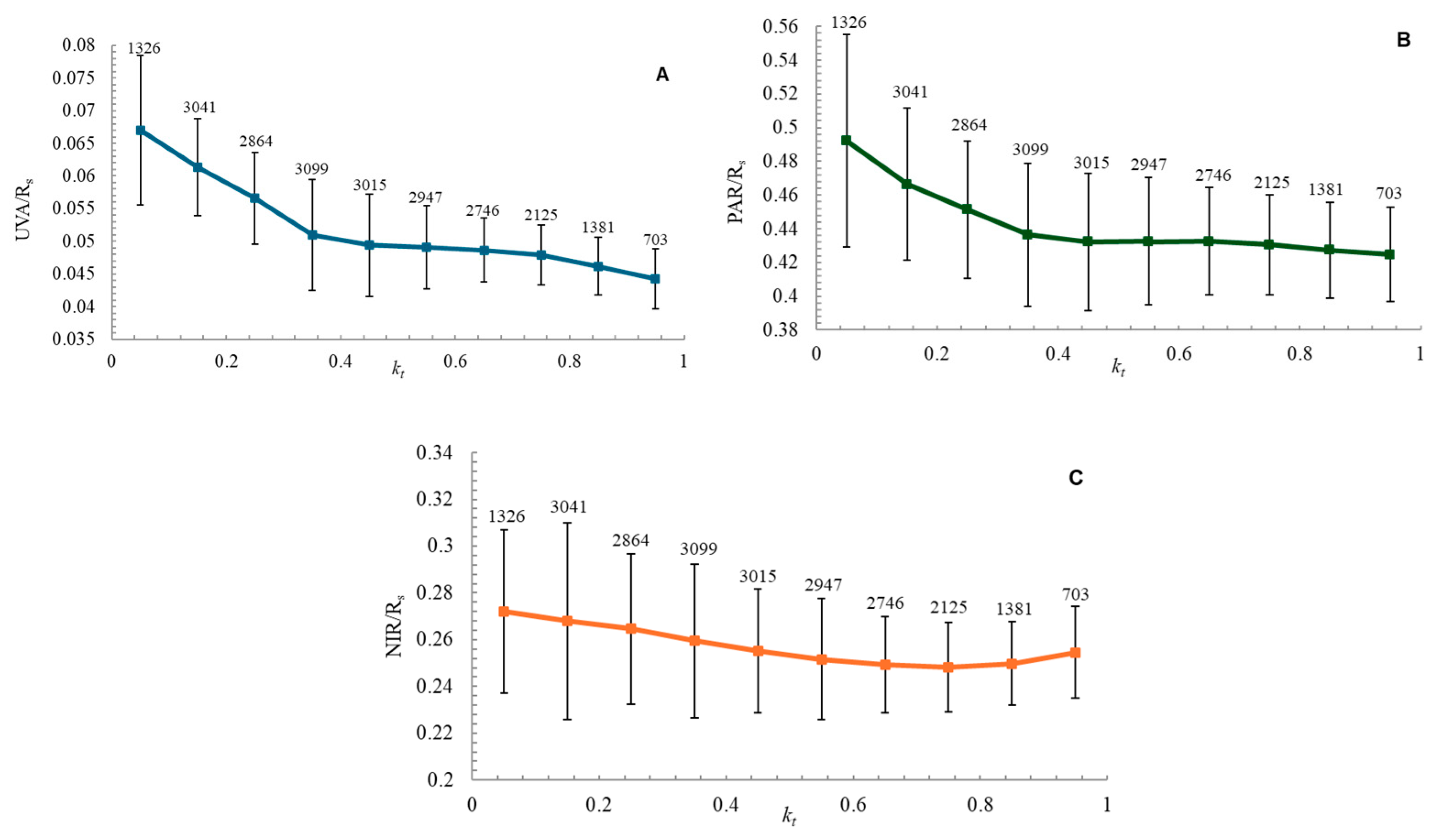
- Clear seasonal cycles and long-term decreasing trends were identified in all spectral fractions, particularly for UVA/Rs (−15%), largely modulated by cloud cover and atmospheric conditions.
- The spectral fractions of UVA, PAR, and NIR can be reliably estimated from global radiation (Rs) when direct spectral observations are unavailable.
- These results provide valuable inputs for climate and vegetation modeling, solar energy forecasting, and human exposure assessments, especially in underrepresented rural environments.
Abstract
1. Introduction
2. Materials and Methods
2.1. Study Area and Instrumentation
2.2. Data and Methodology
2.3. Statistical Analysis and Quality Control
3. Results
3.1. Energy Closure and Spectra-Broadband Agreement
3.2. Study of the Spectral Ratios: Annual and Monthly Analysis
3.3. Analysis of the UVA/Rs, PAR/Rs, and NIR/Rs Ratios Under Different Sky Conditions: Monthly and Seasonal Variability
3.4. Study of the Relationship Between the Ratios (UVA/Rs, PAR/Rs, NIR/Rs) and the Clearness Index (kt)
4. Discussion
4.1. Seasonal and Interannual Variability of Spectral Ratios
4.2. Relationship Between Global Radiation and Spectral Components
4.3. Influence of Sky Conditions (Clearness Index)
5. Conclusions
Supplementary Materials
Author Contributions
Funding
Data Availability Statement
Acknowledgments
Conflicts of Interest
List of Acronyms
| Acronym | Definition | Notes |
| Δλ | Spectral resolution of the PSR | Between 1.5 and 6 nm |
| Cfb | Köppen–Geiger temperate oceanic climate classification | Climate type at the study site |
| DWD | Deutscher Wetterdienst | German Meteorological Service |
| GCOS | Global Climate Observing System | — |
| GHI | Global Horizontal Irradiance | Equivalent to Rs |
| GRUAN | GCOS Reference Upper-Air Network | — |
| IPCC | Intergovernmental Panel on Climate Change | — |
| ISO | International Organization for Standardization | — |
| kt | Clearness index | Dimensionless; indicator of sky condition |
| λ | Wavelength | General spectral variable |
| MOL-RAO | Meteorologisches Observatorium Lindenberg—Richard Assmann Observatory | Study site |
| NIR | Near-Infrared Radiation (700–1025 nm) | Spectral band |
| NIR/Rs | Ratio of NIR to global radiation | Dimensionless |
| PAR | Photosynthetically Active Radiation (400–700 nm) | Spectral band |
| PAR/Rs | Ratio of PAR to global radiation | Dimensionless |
| PMOD/WRC | Physikalisch-Meteorologisches Observatorium Davos/World Radiation Center | — |
| PSR | Precision Solar Radiometer | Spectroradiometric instrument |
| Cfb | Köppen–Geiger temperate oceanic climate classification | Climate type at the study site |
| MOL-RAO | Meteorologisches Observatorium Lindenberg—Richard Assmann Observatory | Study site |
| R2 | Coefficient of determination | Used in regression analysis |
| Rs | Global solar radiation (Global Horizontal Irradiance) | Measured on a horizontal plane |
| UVA | Ultraviolet A radiation (315–400 nm) | Spectral band |
| UVA/ Rs | Ratio of UVA to global radiation | Dimensionless |
| WCRP | World Climate Research Programme | — |
| WMO | World Meteorological Organization | — |
| z | Solar zenith angle | Data filtered for z ≤ 80° |
References
- Intergovernmental Panel on Climate Change (IPCC). Climate Change 2021: The Physical Science Basis; Contribution of Working Group I to the Sixth Assessment Report of the Intergovernmental Panel on Climate Change; Cambridge University Press: Cambridge, UK, 2021; Available online: https://www.ipcc.ch/report/ar6/wg1/ (accessed on 18 March 2025).
- Echevarría-Lucas, L.; Senciales-González, J.M.; Rodrigo-Comino, J. Analysing the evidence of the effects of climate change, air pollutants, and occupational factors in the appearance of cataracts. Environments 2024, 11, 87. [Google Scholar] [CrossRef]
- Burattini, C.; Borra, M.; Vespasiano, F.; Bisegna, F. UV Solar Energy and Erythemal Exposure: Mathematical Models to Assess the Dose on Vertical and Inclined Planes in Different Sky Conditions. Energies 2024, 17, 5718. [Google Scholar] [CrossRef]
- Maffei, M.; Canova, D.; Bertea, C.M.; Scannerini, S. UV-A effects on photomorphogenesis and essential-oil composition in Mentha piperita. J. Photochem. Photobiol. B 1999, 52, 105–110. [Google Scholar] [CrossRef]
- Kang, S.; Zhang, Y.; Zhang, Y.; Zou, J.; Yang, Q.; Li, T. Ultraviolet-a radiation stimulates growth of indoor cultivated tomato (Solanum lycopersicum) seedlings. HortScience 2018, 53, 1429–1433. [Google Scholar] [CrossRef]
- Zhang, Y.; Kaiser, E.; Zhang, Y.; Zou, J.; Bian, Z.; Yang, Q.; Li, T. UVA radiation promotes tomato growth through morphological adaptation leading to increased light interception. Environ. Exp. Bot. 2020, 176, 104073. [Google Scholar] [CrossRef]
- Zhang, Y.; Xu, J.; Li, R.; Ge, Y.; Li, Y.; Li, R. Plants’ response to abiotic stress: Mechanisms and strategies. Int. J. Mol. Sci. 2023, 24, 10915. [Google Scholar] [CrossRef]
- Gopikrishnan, G.S.; Kuttippurath, J. Global tropical and extra-tropical tropospheric ozone trends and radiative forcing deduced from satellite and ozonesonde measurements for the period 2005–2020. Environ. Pollut. 2024, 361, 124869. [Google Scholar] [CrossRef] [PubMed]
- Singh, S.; Lodhi, N.K.; Mishra, A.K.; Jose, S.; Kumar, S.N.; Kotnala, R.K. Assessment of satellite-retrieved surface UVA and UVB radiation by comparison with ground-measurements and trends over Mega-city Delhi. Atmos. Environ. 2018, 188, 60–70. [Google Scholar] [CrossRef]
- Proutsos, N.; Alexandris, S.; Liakatas, A.; Nastos, P.; Tsiros, I.X. PAR and UVA composition of global solar radiation at a high altitude Mediterranean forest site. Atmos. Res. 2022, 269, 106039. [Google Scholar] [CrossRef]
- Howell, T.A.; Meek, D.W.; Hatfield, J.L. Relationship of photosynthetically active radiation to shortwave radiation in the San Joaquin Valley. Agric. Meteorol. 1983, 28, 157–175. [Google Scholar] [CrossRef]
- Yu, X.; Wu, Z.; Jiang, W.; Guo, X. Predicting daily photosynthetically active radiation from global solar radiation in the Contiguous United States. Energy Convers. Manag. 2015, 89, 71–82. [Google Scholar] [CrossRef]
- Foyo-Moreno, I.; Alados-Arboledas, L. A new conventional regression model to estimate hourly photosynthetic photon flux density under all sky conditions. Int. J. Climatol. 2017, 37, 890–898. [Google Scholar] [CrossRef]
- Ferrera-Cobos, F.; Vindel, J.M.; Valenzuela, R.X.; González, J.A. Models for estimating daily photosynthetically active radiation in oceanic and mediterranean climates and their improvement by site adaptation techniques. Adv. Space Res. 2020, 65, 1894–1909. [Google Scholar] [CrossRef]
- García-Rodríguez, J.A.; García, I.; García-Rodríguez, A.; Díez-Mediavilla, M.; Alonso-Tristán, C. Solar Ultraviolet Irradiance Characterization under All Sky Conditions in Burgos, Spain. Appl. Sci. 2022, 12, 10407. [Google Scholar] [CrossRef]
- Escobedo, J.F.; Gomes, E.N.; Oliveira, A.P.; Soares, J. Ratios of UV, PAR and NIR components to global solar radiation measured at Botucatu site in Brazil. Renew. Energy 2011, 36, 169–178. [Google Scholar] [CrossRef]
- Proutsos, N.; Liakatas, A.; Alexandris, S. Ratio of photosynthetically active to total incoming radiation above a Mediterranean deciduous oak forest. Theor. Appl. Climatol. 2019, 137, 2927–2939. [Google Scholar] [CrossRef]
- Pashiardis, S.; Kalogirou, S.A.; Pelengaris, A. Statistical analysis for the characterization of solar energy utilization and inter-comparison of solar radiation at two sites in Cyprus. Appl. Energy 2017, 190, 1138–1158. [Google Scholar] [CrossRef]
- Barolet, D.; Christiaens, F.; Hamblin, M.R. Infrared and skin: Friend or foe. J. Photochem. Photobiol. B 2016, 158, 224–227. [Google Scholar] [CrossRef]
- Kalopesa, E.; Tziolas, N.; Tsakiridis, N.L.; Safanelli, J.L.; Hengl, T.; Sanderman, J. Large-Scale Soil Organic Carbon Estimation via a Multisource Data Fusion Approach. Remote Sens. 2025, 17, 771. [Google Scholar] [CrossRef]
- Gröbner, J.; Kouremeti, N. The Precision Solar Spectroradiometer (PSR) for direct solar irradiance measurements. Sol. Energy 2019, 185, 199–210. [Google Scholar] [CrossRef]
- Alados, I.; Foyo-Moreno, I.; Alados Arboledas, L. Photosynthetically active radiation: Measurements and modelling. Agric. For. Meteorol. 1996, 78, 121–131. [Google Scholar] [CrossRef]
- ISO 9847:1992; Solar Energy—Calibration of Field Pyranometers by Comparison to a Reference Pyranometer. International Organization for Standardization: Geneva, Switzerland, 1992.
- Alkhatib, H.; Norton, B.; O’Sullivan, D.T.J.; Lemarchand, P. Calibration of solar pyranometers for accurate solar irradiance measurements: A data set from the pre- and post-calibration process. Data Brief 2025, 48, 111402. [Google Scholar] [CrossRef]
- Urraca, R.; Huld, T.; Gracia-Amillo, A.; Martinez-de-Pison, F.J.; Kaspar, F.; Sanz-Garcia, A. Evaluation of global horizontal irradiance estimates from satellite-based models and reanalyses over Spain. Renew. Energy 2018, 123, 70–83. [Google Scholar] [CrossRef]
- Polo, J.; Wilbert, S.; Ruiz-Arias, J.A.; Meyer, R.; Gueymard, C.; Suri, M.; Geuder, N. Preliminary survey on site-adaptation techniques for satellite-derived and reanalysis solar radiation datasets. Sol. Energy 2016, 132, 25–37. [Google Scholar] [CrossRef]
- Beck, H.E.; Zimmermann, N.E.; McVicar, T.R.; Vergopolan, N.; Berg, A.; Wood, E.F. Present and future Köppen-Geiger climate classification maps at 1-km resolution. Sci. Data 2018, 5, 180214. [Google Scholar] [CrossRef]
- WMO. WMO Measurement Lead Centre at MOL RAO. WMO 2024. Available online: https://community.wmo.int/en/activity-areas/imop/measurement-lead-centres/measurement-lead-centre-lindenberg-germany (accessed on 30 July 2025).
- ISO 9060:2018; Solar Energy—Specification and Classification of Instruments for Measuring Hemispherical Solar and Direct Solar Radiation. International Organization for Standardization: Geneva, Switzerland, 2018.
- McCree, K.J. Test of current definitions of photosynthetically active radiation against leaf photosynthesis data. Agric. Meteorol. 1972, 10, 443–453. [Google Scholar] [CrossRef]
- Jacovides, C.; Tymvios, F.; Asimakopoulos, D.; Theofilou, K.; Pashiardes, S. Global photosynthetically active radiation and its relationship with global solar radiation in the Eastern Mediterranean basin. Theor. Appl. Climatol. 2003, 74, 227–233. [Google Scholar] [CrossRef]
- Gueymard, C.A. An atmospheric transmittance model for the clear sky beam, diffuse and global photosynthetically active radiation. Agric. For. Meteorol. 1989, 45, 215–229. [Google Scholar] [CrossRef]
- Kopp, G.; Lean, J.L. A new, lower value of total solar irradiance: Evidence and climate significance. Geophys. Res. Lett. 2011, 38, L01706. [Google Scholar] [CrossRef]
- Spencer, J.W. Fourier Series Representation of the Position of the Sun. Search 1971, 2, 172. [Google Scholar]
- Foyo-Moreno, I.; Alados, I.; Olmo, F.J.; Alados-Arboledas, L. The influence of cloudiness on UV global irradiance (295–385 nm). Agric. For. Meteorol. 2003, 120, 101–111. [Google Scholar] [CrossRef]
- Navas-Guzmán, F.; Fernández-Gálvez, J.; Granados-Muñoz, M.J.; Guerrero-Rascado, J.L.; Bravo-Aranda, J.A.; Alados-Arboledas, L. Tropospheric water vapour and relative humidity profiles from lidar and microwave radiometry. Atmos. Meas. Tech. 2014, 7, 1201–1211. [Google Scholar] [CrossRef]
- Nagaraja Rao, C.R. Photosynthetically active components of global solar radiation: Measurements and model computations. Arch. Meteorol. Geophys. Bioclimatol. Ser. B 1984, 34, 353–364. [Google Scholar] [CrossRef]
- Seinfeld, J.H.; Pandis, S.N. Atmospheric Chemistry and Physics: From Air Pollution to Climate Change, 3rd ed.; Wiley: Hoboken, NJ, USA, 2016; ISBN 9781118947401. [Google Scholar]
- Gueymard, C.A. The sun’s total and spectral irradiance for solar energy applications and solar radiation models. Sol. Energy 2016, 169, 55–85. [Google Scholar] [CrossRef]
- Akitsu, T.; Kume, A.; Hirose, Y.; Ijima, O.; Nasahara, K.N. On the stability of radiometric ratios of photosynthetically active radiation to global solar radiation in Tsukuba, Japan. Agric. For. Meteorol. 2015, 209, 59–68. [Google Scholar] [CrossRef]
- Wang, L.; Gong, W.; Ma, Y.; Hu, B.; Zhang, M. Photosynthetically active radiation and its relationship with global solar radiation in Central China. Int. J. Biometeorol. 2014, 58, 1265–1277. [Google Scholar] [CrossRef] [PubMed]
- Mottus, M.; Ross, J.; Sulev, M. Experimental study of ratio of PAR to direct integral solar radiation under cloudless conditions. Agric. For. Meteorol. 2001, 109, 161–170. [Google Scholar] [CrossRef]
- Moosmüller, H.; Chakrabarty, R.K.; Arnott, W.P. Aerosol Light Absorption and Its Measurement: A Review. J. Quant. Spectrosc. Radiat. Transf. 2009, 110, 844–878. [Google Scholar] [CrossRef]
- Boucher, O.; Randall, D.; Artaxo, P.; Bretherton, C.; Feingold, G.; Forster, P.; Kerminen, V.M.; Kondo, Y.; Liao, H.; Lohmann, U.; et al. Clouds and Aerosols. In Climate Change 2013: The Physical Science Basis; Stocker, T.F., Qin, D., Plattner, G.-K., Tignor, M., Allen, S.K., Boschung, J., Eds.; Cambridge University Press: Cambridge, UK; New York, NY, USA, 2013. [Google Scholar]
- Yao, J.; Huang, J.; Luo, Y.; Chen, X.; Wang, Y.; Fu, Q. Can atmospheric reanalyses (CRA and ERA5) represent cloud spatiotemporal characteristics? Atmos. Res. 2020, 238, 105091. [Google Scholar] [CrossRef]
- Shi, C.; Letu, H.; Nakajima, T.Y.; Nakajima, T.; Wei, L.; Xu, R.; Lu, F.; Riedi, J.; Ichii, K.; Zeng, J.; et al. Near-global monitoring of surface solar radiation. Innovation 2025, 6, 100876. [Google Scholar] [CrossRef] [PubMed]







| Location (Reference) | Climate/Site Type | UVA/Rs | PAR/Rs | NIR/Rs |
|---|---|---|---|---|
| Botucatu, Brazil [16] | Subtropical, low-latitude | 0.02–0.05 (avg ~0.035) | ~0.49 | ~0.38 |
| Burgos, Spain [15] | Temperate, mid-latitude | 0.029–0.07 | ~0.44–0.46 | n/a |
| Greece, high-altitude forest [10] | Mediterranean | 0.04–0.05 | ~0.44–0.46 | 0.45–0.50 |
| Greece, oak forest [17] | Mediterranean | n/a | 0.44–0.48 | n/a |
| Cyprus [18] | Subtropical Mediterranean | n/a | ~0.44 | n/a |
| Year | N_Pairs | R2 (Spectral vs. Rs) | Bias (W/m2) | RMSE (W/m2) | Residual Mean | Residual Median |
|---|---|---|---|---|---|---|
| 2016 | 2657 | 0.843 | −63.9 | 84.6 | 0.229 | 0.235 |
| 2017 | 3661 | 0.855 | −61.6 | 84.3 | 0.203 | 0.213 |
| 2018 | 3331 | 0.764 | −86.7 | 109.8 | 0.267 | 0.274 |
| 2019 | 2801 | 0.808 | −83.6 | 105.6 | 0.229 | 0.236 |
| 2020 | 3673 | 0.775 | −85.3 | 109.7 | 0.260 | 0.268 |
| 2021 | 2473 | 0.787 | −83.2 | 105.4 | 0.247 | 0.252 |
| 2022 | 3338 | 0.723 | −96.4 | 119.3 | 0.283 | 0.289 |
| 2023 | 3795 | 0.765 | −85.5 | 110.8 | 0.277 | 0.282 |
Disclaimer/Publisher’s Note: The statements, opinions and data contained in all publications are solely those of the individual author(s) and contributor(s) and not of MDPI and/or the editor(s). MDPI and/or the editor(s) disclaim responsibility for any injury to people or property resulting from any ideas, methods, instructions or products referred to in the content. |
© 2025 by the authors. Licensee MDPI, Basel, Switzerland. This article is an open access article distributed under the terms and conditions of the Creative Commons Attribution (CC BY) license (https://creativecommons.org/licenses/by/4.0/).
Share and Cite
Moreno-Cuenca, L.; Navas-Guzmán, F.; Doppler, L.; Foyo Moreno, I. Evaluation of the Partition of Global Solar Radiation into UVA, PAR, and NIR Components in a Rural Environment. Remote Sens. 2025, 17, 3439. https://doi.org/10.3390/rs17203439
Moreno-Cuenca L, Navas-Guzmán F, Doppler L, Foyo Moreno I. Evaluation of the Partition of Global Solar Radiation into UVA, PAR, and NIR Components in a Rural Environment. Remote Sensing. 2025; 17(20):3439. https://doi.org/10.3390/rs17203439
Chicago/Turabian StyleMoreno-Cuenca, Lucía, Francisco Navas-Guzmán, Lionel Doppler, and Inmaculada Foyo Moreno. 2025. "Evaluation of the Partition of Global Solar Radiation into UVA, PAR, and NIR Components in a Rural Environment" Remote Sensing 17, no. 20: 3439. https://doi.org/10.3390/rs17203439
APA StyleMoreno-Cuenca, L., Navas-Guzmán, F., Doppler, L., & Foyo Moreno, I. (2025). Evaluation of the Partition of Global Solar Radiation into UVA, PAR, and NIR Components in a Rural Environment. Remote Sensing, 17(20), 3439. https://doi.org/10.3390/rs17203439

