Remote Sensing Assessment of Trophic State in Reservoir Tributary Embayments Based on Multi-Source Data Fusion
Abstract
1. Introduction
2. Study Area and Data Collection
2.1. Study Area
2.2. Data Collection
2.2.1. Water Quality Indicator Data
2.2.2. Remote Sensing Data
2.2.3. Meteorological Data
3. Methodology
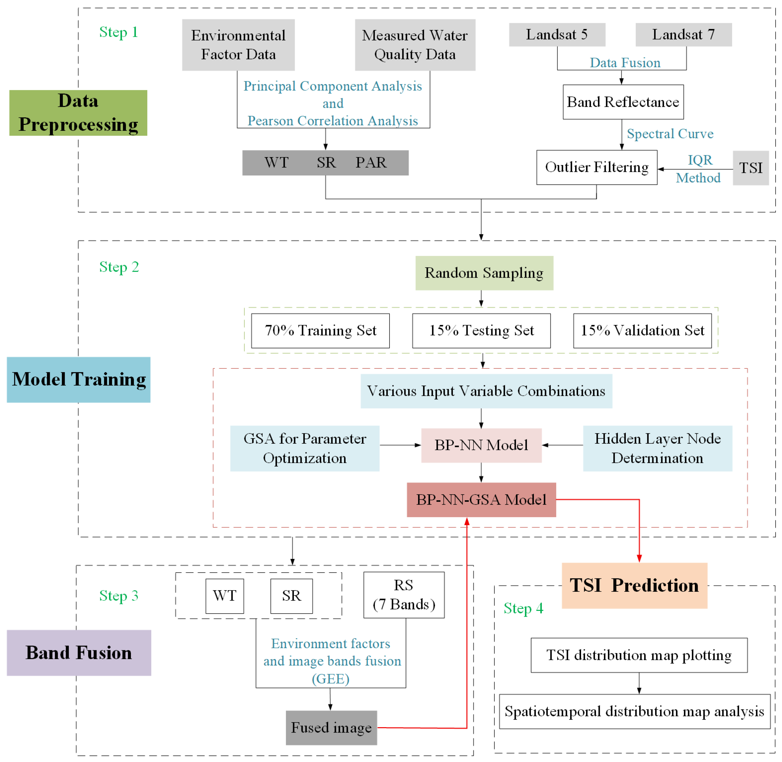
3.1. TSI Inversion Model Framework
3.2. Data Preprocessing
3.2.1. Meteorological and Water Quality Data Preprocessing
3.2.2. Preprocessing of the Trophic State Index (TSI)
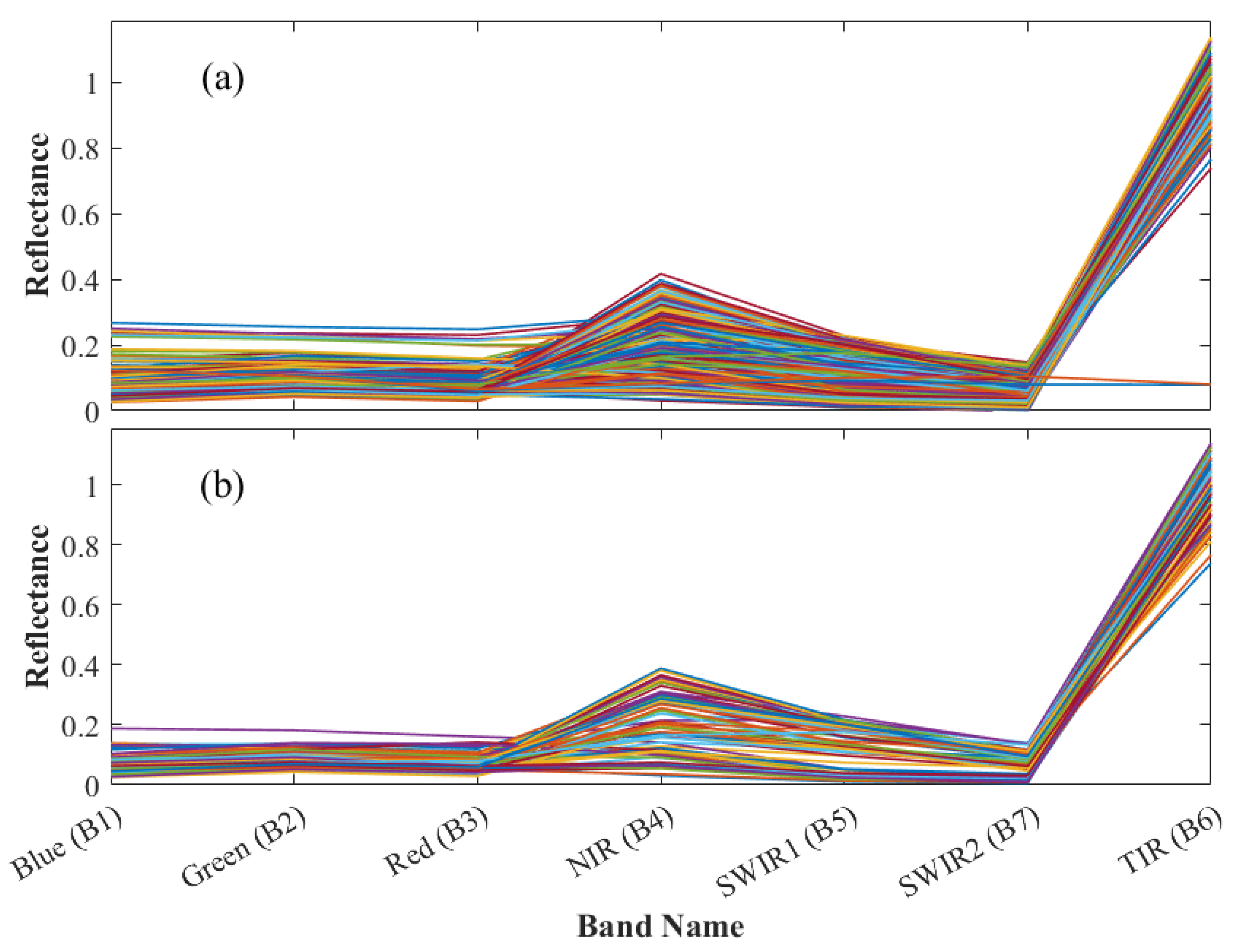
3.2.3. Preprocessing of Remote Sensing Image Data
3.3. TSI Inversion Prediction Model Based on BP-NN-GSA
3.3.1. Architecture of the Backpropagation Neural Network Model
3.3.2. Model Parameters
3.3.3. Performance Evaluation of the BP-NN-GSA Model
4. Results
4.1. Comparison of TSI Inversion Accuracy for Different Parameter Combinations
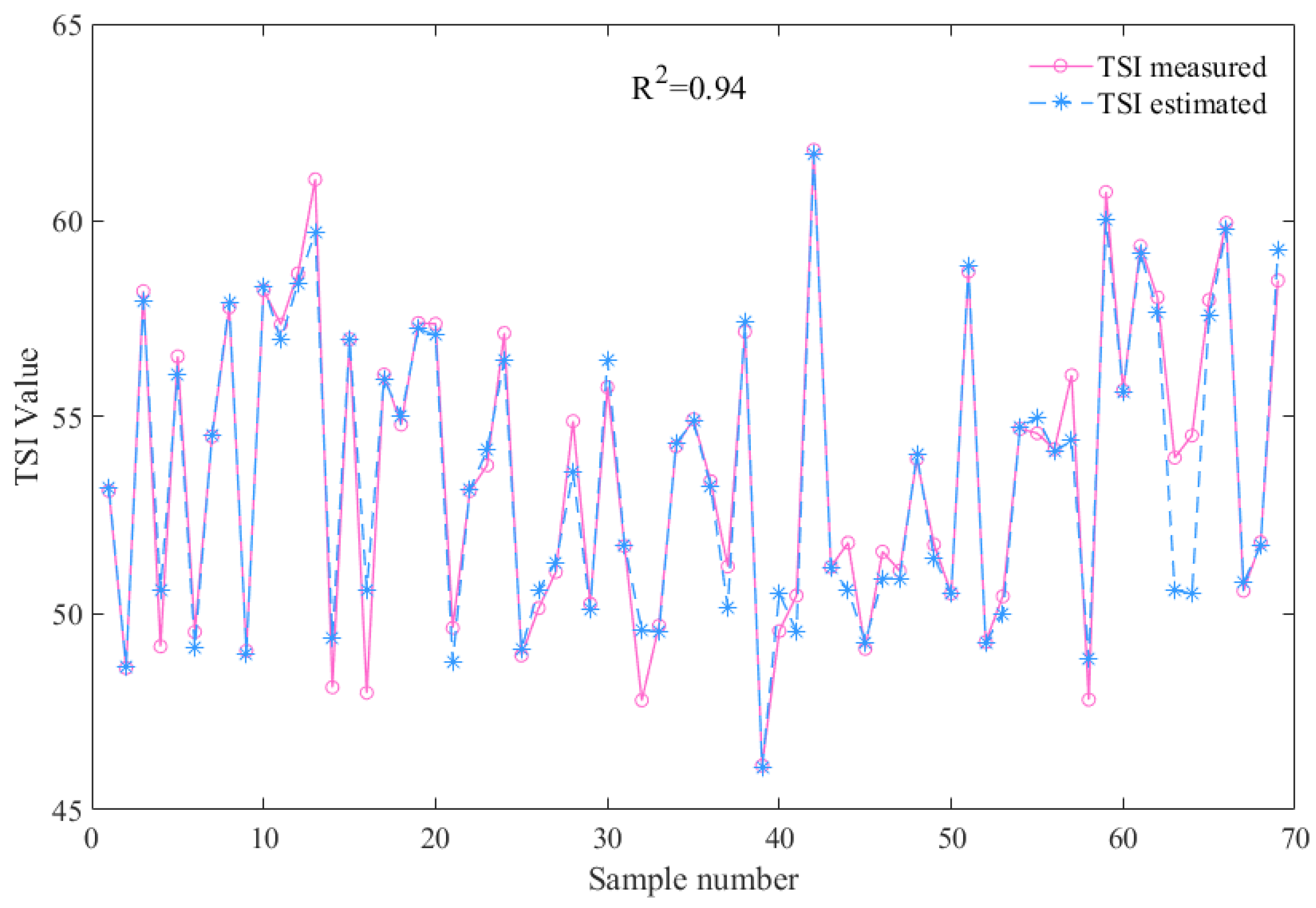
4.2. Evaluation of the Accuracy of the TSI Inversion Model
4.3. Prediction of Spatiotemporal Distribution of TSI
4.3.1. Prediction of TSI for 2009
4.3.2. TSI Prediction for 2019 and 2020
5. Discussion
6. Conclusions
Author Contributions
Funding
Data Availability Statement
Acknowledgments
Conflicts of Interest
References
- Zhao, C.M.; Dong, X.H.; Li, Z.H.; Bo, H.J.; Zhang, Q.Y.; Zhang, C.Y. Remote Sensing Retrieval of Water Quality in the East Tributary of Huangbaihe River Based on Neural Networks. Environ. Sci. Technol. 2022, 45, 195–202. [Google Scholar]
- Bricker, S.B.; Longstaff, B.; Dennison, W.; Jones, A.; Boicourt, K.; Wicks, C.; Woerner, J. Effects of Nutrient Enrichment in the Nation’s Estuaries: A Decade of Change. Harmful Algae 2008, 8, 21–32. [Google Scholar] [CrossRef]
- Le Gall, M.; Evrard, O.; Foucher, A.; Laceby, J.; Salvador-Blanes, S.; Thil, F.; Dapoigny, A.; Lefèvre, I.; Cerdan, O.; Ayrault, S. Quantifying Sediment Sources in a Lowland Agricultural Catchment Pond Using 137Cs Activities and Radiogenic 87Sr/86Sr Ratios. Sci. Total Environ. 2016, 566, 968–980. [Google Scholar] [CrossRef]
- Hallegraeff, G.; Enevoldsen, H.; Zingone, A. Global Harmful Algal Bloom Status Reporting. Harmful Algae 2021, 102, 101992. [Google Scholar] [CrossRef] [PubMed]
- Liu, X.; Huang, W.; Qi, Z.X.; Li, C.B.; Cheng, G.H.; Cai, Y.P. Seasonal Water Storage of Large Reservoirs Exacerbates Eutrophication Risk in the Fluctuating Backwater Zone: A Case Study of Three Gorges Reservoir, China. Ecol. Indic. 2025, 171, 113100. [Google Scholar] [CrossRef]
- Yang, L.; Liu, D.; Huang, Y.; Yang, Z.; Ji, D.; Song, L. Isotope Analysis of the Nutrient Supply in Xiangxi Bay of the Three Gorges Reservoir. Ecol. Eng. 2015, 77, 65–73. [Google Scholar] [CrossRef]
- Barnieh, B.A.; Davis, C. Monitoring Anthropogenic Impacts on Water Quality in Ghana with Remote Sensing. Nat. Rev. Earth Environ. 2025, 6, 378. [Google Scholar] [CrossRef]
- Pu, M.Y.; Xu, J.Q.; Hu, K.Y.; Peng, K.; Gong, Z.; Cai, Y.J.; Xiang, X.L. Community structure and driving factors of zooplankton in the littoral zone of Lake Hongze. J. Lake Sci. 2023, 35, 610–621. [Google Scholar] [CrossRef]
- Gordon, H.R.; Wang, M. Retrieval of Water-Leaving Radiance and Aerosol Optical Thickness over the Oceans with SeaWiFS: A Preliminary Algorithm. Appl. Opt. 1994, 33, 443. [Google Scholar] [CrossRef]
- Ramaraj, M.; Sivakumar, R. Remote Sensing and Nonlinear Auto-Regressive Neural Network (NARNET) Based Surface Water Chemical Quality Study: A Spatio-Temporal Hybrid Novel Technique (STHNT). Bull. Environ. Contam. Toxicol. 2022, 110, 28. [Google Scholar] [CrossRef]
- Qiao, Z.; Sun, S.Y.; Jiang, Q.O.; Xiao, L.; Wang, Y.Q.; Yan, H.M. Retrieval of Total Phosphorus Concentration in the Surface Water of Miyun Reservoir Based on Remote Sensing Data and Machine Learning Algorithms. Remote Sens. 2021, 13, 4662. [Google Scholar] [CrossRef]
- Zhang, F.; Xue, B.; Cai, Y.; Xu, H.; Zou, W. Utility of Trophic State Index in Lakes and Reservoirs in the Chinese Eastern Plains Ecoregion: The Key Role of Water Depth. Ecol. Indic. 2023, 148, 110029. [Google Scholar] [CrossRef]
- Palmer, C.J.; Kutser, T.; Hunter, P.D. Remote Sensing of Inland Waters: Challenges, Progress and Future Directions. Remote Sens. Environ. 2015, 157, 1–8. [Google Scholar] [CrossRef]
- Hu, M.; Wang, Y.; Sun, Z.; Su, Y.; Li, S.; Bao, Y.; Wen, J. Performance of Ensemble-Learning Models for Predicting Eutrophication in Zhuyi Bay, Three Gorges Reservoir. River Res. Appl. 2021, 37, 1104–1114. [Google Scholar] [CrossRef]
- Sun, Y.; Wang, D.H.; Li, L.; Ning, R.S.; Yu, S.; Gao, N.Y. Application of Remote Sensing Technology in Water Quality Monitoring: From Traditional Approaches to Artificial Intelligence. Water Res. 2024, 267, 122546. [Google Scholar] [CrossRef] [PubMed]
- Yang, H.B.; Kong, J.L.; Hu, H.H.; Du, Y.; Gao, M.Y.; Chen, F. A Review of Remote Sensing for Water Quality Retrieval: Progress and Challenges. Remote Sens. 2022, 14, 1770. [Google Scholar] [CrossRef]
- Ding, H.; Li, R.R.; Lin, H.; Wang, X. Monitoring and Evaluation on Water Quality of Hun River Based on Landsat Satellite Data. In Proceedings of the 2016 Progress in Electromagnetic Research Symposium (PIERS), Shanghai, China, 8–11 August 2016; IEEE: Shanghai, China, 2016; pp. 1532–1537. [Google Scholar]
- Tesfaye, M.; Breuer, L. Remote Sensing with Machine Learning for Multi-Decadal Surface Water Monitoring in Ethiopia. Sci. Rep. 2025, 15, 12444. [Google Scholar] [CrossRef]
- He, Y.H.; Gong, Z.J.; Zheng, Y.H.; Zhang, Y.B. Inland Reservoir Water Quality Inversion and Eutrophication Evaluation Using BP Neural Network and Remote Sensing Imagery: A Case Study of Dashahe Reservoir. Water 2021, 13, 2844. [Google Scholar] [CrossRef]
- Cao, Q.; Yu, G.L.; Sun, S.J.; Dou, Y.; Li, H.; Qiao, Z.Y. Monitoring Water Quality of the Haihe River Based on Ground-Based Hyperspectral Remote Sensing. Water 2022, 14, 22. [Google Scholar] [CrossRef]
- Wang, X.C.; Cui, J.; Xu, M.M. A Chlorophyll-a Concentration Inversion Model Based on Backpropagation Neural Network Optimized by an Improved Metaheuristic Algorithm. Remote Sens. 2024, 16, 1503. [Google Scholar] [CrossRef]
- Guo, Q.Z.; Wu, H.; Jin, H.Y.; Yang, G.; Wu, X.X. Remote Sensing Inversion of Suspended Matter Concentration Using a Neural Network Model Optimized by the Partial Least Squares and Particle Swarm Optimization Algorithms. Sustainability 2022, 14, 2221. [Google Scholar] [CrossRef]
- Meng, D.H.; Mao, J.Q.; Li, W.F.; Zhu, S.J.; Gao, H. An Integrated Framework for Remote Sensing Assessment of the Trophic State of Large Lakes. Remote Sens. 2023, 15, 4238. [Google Scholar] [CrossRef]
- Jiang, D.G.; Dai, H.C.; Wang, W.; Liu, W. Causing Analysis on Nutrients Spatial Difference in Xiangxi Bay of the Three Gorges Reservoir. J. Hydraul. Eng. 2013, 44, 562–569. [Google Scholar]
- Tang, H.; Yu, Y.; Yuan, S.; Li, Z.; Cao, H.; Jiang, C.; Gualtieri, C. Hydrodynamics and Sediment Transport in Poyang Lake under the Effects of Wind and Backflow. Hydrol. Res. 2023, 54, 1281–1298. [Google Scholar] [CrossRef]
- Deng, L.; Li, W.S.; Liu, X.J.; Wang, Y.Z.; Wang, L.Q. Landscape Patterns and Topographic Features Affect Seasonal River Water Quality at Catchment and Buffer Scales. Remote Sens. 2023, 15, 1438. [Google Scholar] [CrossRef]
- Zhou, B.; Shi, K.; Wang, W.; Zhang, D.; Qin, B.; Zhang, Y.; Dong, B.; Shang, M. Phytoplankton Succession Phenology Trends in the Backwaters of the Three Gorges Reservoir in China and Their Drivers: Results from Satellite Observations. Ecol. Indic. 2022, 143, 109435. [Google Scholar] [CrossRef]
- Hasan, B.M.S.; Abdulazeez, A.M. A Review of Principal Component Analysis Algorithm for Dimensionality Reduction. J. Soft Comput. Data Min. 2021, 2, 20–30. [Google Scholar] [CrossRef]
- Lu, W.K.; Yu, L.X.; Ou, X.K.; Li, F.L. Relationship between Occurrence Frequency of Cyanobacteria Bloom and Meteorological Factors in Lake Dianchi. J. Lake Sci. 2017, 29, 534–545. [Google Scholar] [CrossRef]
- Xenopoulos, M.; Frost, P.; Elser, J. Joint Effects of UV Radiation and Phosphorus Supply on Algal Growth Rate and Elemental Composition. Ecology 2002, 83, 423–435. [Google Scholar] [CrossRef]
- Ni, M.F.; Ge, Q.S.; Li, S.Y.; Wang, Z.K.; Wu, Y.J. Trophic State Index Linked to Partial Pressure of Aquatic Carbon Dioxide in a Typical Karst Plateau Lake. Ecol. Indic. 2021, 120, 106912. [Google Scholar] [CrossRef]
- Efimova, T.; Churilova, T.; Skorokhod, E.; Buchelnikova, V.; Buchelnikov, A.; Moiseeva, N.; Salyuk, P.; Stepochkin, I.; Melnik, A. Effect of Water Trophic Status on Bio-Optical Properties and Productive Characteristics of Phytoplankton of the Black Sea Coastal Waters near Sevastopol. Mar. Biol. Res. 2023, 19, 81–93. [Google Scholar] [CrossRef]
- Wen, Z.; Song, K.; Fang, C.; Yang, Q.; Liu, G.; Shang, Y.; Wang, X. Estimation of Kd(PAR) in Inland Waters across China in Relation to the Light Absorption of Optically Active Components. Environ. Sci. Pollut. Res. 2019, 26, 30098–30111. [Google Scholar] [CrossRef]
- Zhu, S.J.; Mao, J.Q. A Machine Learning Approach for Estimating the Trophic State of Urban Waters Based on Remote Sensing and Environmental Factors. Remote Sens. 2021, 13, 2498. [Google Scholar] [CrossRef]
- Koda, S.; Zeggada, A.; Melgani, F.; Nishii, R. Spatial and Structured SVM for Multilabel Image Classification. IEEE Trans. Geosci. Remote Sens. 2018, 56, 5948–5960. [Google Scholar] [CrossRef]
- Xue, K.; Zhang, Y.C.; Duan, H.T.; Ma, R.H. Variability of Light Absorption Properties in Optically Complex Inland Waters of Lake Chaohu, China. J. Great Lakes Res. 2017, 43, 17–31. [Google Scholar] [CrossRef]
- Shu, Y. Comparative Analysis on Outlier Elimination Methods for GPS Coordinate Time Series. J. Navig. Position. 2021, 9, 79–85. [Google Scholar]
- Yue, H.; Li, Y.; Qian, J.X.; Liu, Y. A New Accuracy Evaluation Method for Water Body Extraction. Int. J. Remote Sens. 2020, 41, 7311–7342. [Google Scholar] [CrossRef]
- Shi, K.; Li, Y.M.; Li, L.; Lu, H. Absorption Characteristics of Optically Complex Inland Waters: Implications for Water Optical Classification. J. Geophys. Res. Biogeosci. 2013, 118, 860–874. [Google Scholar] [CrossRef]
- Meng, D.H.; Mao, J.Q.; Li, W.F.; Gao, H.; Sheng, L.Y. Remote Sensing Assessment of Trophic State of Large Lakes by Integrating Multi-Source Information. J. Hydroelectr. Eng. 2024, 43, 13–23. [Google Scholar]
- Wen, B.W.; Dong, W.H.; Xie, W.J.; Ma, J. Parameter Optimization Method for Random Forest Based on Improved Grid Search Algorithm. Comput. Eng. Appl. 2018, 54, 154–157. [Google Scholar]
- Wang, J.; Shi, T.; Yu, D.; Teng, D.; Ge, X.; Zhang, Z.; Yang, X.; Wang, H.; Wu, G. Ensemble Machine-Learning-Based Framework for Estimating Total Nitrogen Concentration in Water Using Drone-Borne Hyperspectral Imagery of Emergent Plants: A Case Study in an Arid Oasis, NW China. Environ. Pollut. 2020, 266, 115412. [Google Scholar] [CrossRef]
- Guan, Q.; Tang, J.; Feng, L.; Olin, S.; Schurgers, G. Long-Term Changes of Nitrogen Leaching and the Contributions of Terrestrialnutrient Sources to Lake Eutrophication Dynamics on the Yangtze Plain of China. Biogeosciences 2023, 20, 1635–1648. [Google Scholar] [CrossRef]
- Wang, D.Y.; Feng, X.Z.; Zhou, L.G.; Hao, J.Y.; Xu, X.X. Relationship between Blue Algal Bloom and Water Temperature in Lake Taihu Based on MODIS. Sci. Limnol. Sin. 2008, 20, 173–178. [Google Scholar]
- Jiang, D.G.; Dai, H.C.; Liu, W. Temporal and Spatial Distributions of Nutrients in Xiangxi Bay of the Three Gorges Reservoir under the Influence of Temperature Density Current. J. Basic Sci. Eng. 2013, 21, 20–31. [Google Scholar]
- Zhang, J.; Ye, D.; Zhu, H.T.; Hu, S.; Wang, Y.C.; Tang, J.F.; Zhou, Z. Characteristics of Spring Algal Blooms under Different Impounded Levels in Tributaries of the Three Gorges Reservoir. Acta Hydrobiol. Sin. 2019, 43, 884–891. [Google Scholar]
- Baban, S.M.J. Trophic Classification and Ecosystem Checking of Lakes Using Remotely Sensed Information. Hydrol. Sci. J. 1996, 41, 939–957. [Google Scholar] [CrossRef]
- Xiong, G.L.; Mao, J.Q.; Cai, H.B.; Zhang, H.Q. Optimal Reservoir Operation for Transport Timescales Using an Integrated Methodology. Environ. Res. Lett. 2023, 18, 114025. [Google Scholar] [CrossRef]
- Li, R.; Tang, X.; Wang, D.; Chen, W.; Liu, X.; Yang, W. Nitrogen and Phosphorus Dynamics during Medium and Small Flood Regulation in the Xiangxi River Bay of the Three Gorges Reservoir: Implications for Tributary Eutrophication. Environ. Monit Assess 2025, 197, 855. [Google Scholar] [CrossRef]
- Lin, J.; Karangan, A.; Huang, Y.; Kang, S. Eutrophication Factor Analysis Using Carlson Trophic State Index (CTSI) towards Non-Algal Impact Reservoirs in Taiwan. Sustain. Environ. Res. 2022, 32, 25. [Google Scholar] [CrossRef]
- Cunha, D.; Finkler, N.; Lamparelli, M.; Calijuri, M.; Dodds, W.; Carlson, R. Characterizing Trophic State in Tropical/Subtropical Reservoirs: Deviations among Indexes in the Lower Latitudes. Environ. Manag. 2021, 68, 491–504. [Google Scholar] [CrossRef]
- Tu, M.C.; Smith, P.; Filippi, A.M. Hybrid Forward-Selection Method-Based Water-Quality Estimation via Combining Landsat TM, ETM+, and OLI/TIRS Images and Ancillary Environmental Data. PLoS ONE 2018, 13, e0201255. [Google Scholar] [CrossRef]
- Krstajic, D.; Buturovic, L.; Leahy, D.; Thomas, S. Cross-Validation Pitfalls When Selecting and Assessing Regression and Classification Models. J. Cheminform. 2014, 6, 10. [Google Scholar] [CrossRef] [PubMed]
- Crosetto, M.; Ruiz, J.; Crippa, B. Uncertainty Propagation in Models Driven by Remotely Sensed Data. Remote Sens. Environ. 2001, 76, 373–385. [Google Scholar] [CrossRef]
- Rignot, E.; Salas, W.; Skole, D. Mapping Deforestation and Secondary Growth in Rondonia, Brazil, Using Imaging Radar and Thematic Mapper Data. Remote Sens. Environ. 1997, 59, 167–179, Corrigenda in Remote Sens. Environ. 1997, 61, 179–180. [Google Scholar] [CrossRef]
- Nickmilder, C.; Tedde, A.; Dufrasne, I.; Lessire, F.; Tychon, B.; Curnel, Y.; Bindelle, J.; Soyeurt, H. Development of Machine Learning Models to Predict Compressed Sward Height in Walloon Pastures Based on Sentinel-1, Sentinel-2 and Meteorological Data Using Multiple Data Transformations. Remote Sens. 2021, 13, 408. [Google Scholar] [CrossRef]














Disclaimer/Publisher’s Note: The statements, opinions and data contained in all publications are solely those of the individual author(s) and contributor(s) and not of MDPI and/or the editor(s). MDPI and/or the editor(s) disclaim responsibility for any injury to people or property resulting from any ideas, methods, instructions or products referred to in the content. |
© 2025 by the authors. Licensee MDPI, Basel, Switzerland. This article is an open access article distributed under the terms and conditions of the Creative Commons Attribution (CC BY) license (https://creativecommons.org/licenses/by/4.0/).
Share and Cite
Shi, Y.; Mao, J.; Liu, X.; Meng, D.; Zhu, J.; Gao, H.; Wang, K. Remote Sensing Assessment of Trophic State in Reservoir Tributary Embayments Based on Multi-Source Data Fusion. Remote Sens. 2025, 17, 2886. https://doi.org/10.3390/rs17162886
Shi Y, Mao J, Liu X, Meng D, Zhu J, Gao H, Wang K. Remote Sensing Assessment of Trophic State in Reservoir Tributary Embayments Based on Multi-Source Data Fusion. Remote Sensing. 2025; 17(16):2886. https://doi.org/10.3390/rs17162886
Chicago/Turabian StyleShi, Yangjie, Jingqiao Mao, Xinbo Liu, Dinghua Meng, Jianing Zhu, Huan Gao, and Kang Wang. 2025. "Remote Sensing Assessment of Trophic State in Reservoir Tributary Embayments Based on Multi-Source Data Fusion" Remote Sensing 17, no. 16: 2886. https://doi.org/10.3390/rs17162886
APA StyleShi, Y., Mao, J., Liu, X., Meng, D., Zhu, J., Gao, H., & Wang, K. (2025). Remote Sensing Assessment of Trophic State in Reservoir Tributary Embayments Based on Multi-Source Data Fusion. Remote Sensing, 17(16), 2886. https://doi.org/10.3390/rs17162886

