An Ensemble Learning Approach for Landslide Susceptibility Assessment Considering Spatial Heterogeneity Partitioning and Feature Selection
Abstract
1. Introduction
2. Study Area and Materials
2.1. Study Area
2.2. Landslide Inventory Map
2.3. Landslide Conditioning Factors
3. Methodology
3.1. StaMPS/SBAS-InSAR
3.2. Frequency Ratio Method
3.3. Spatial Heterogeneity Partitioning Method
3.3.1. t-SNE Algorithm
3.3.2. ISO Algorithm
3.4. Feature Selection Method
3.5. Deep Learning Models
3.5.1. CNN Model
3.5.2. DNN Model
3.5.3. MLP Model
3.6. Stacking Ensemble Learning
3.7. Model Evaluation Metrics
4. Results
4.1. Dynamic Factors Results
4.2. Spatial Heterogeneity Partitioning
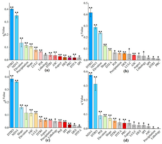
4.3. Feature Selection
4.4. LSM Based on the Stacking Ensemble Model
5. Discussion
5.1. Evaluation of Model Accuracy and Predictive Capability
5.2. Comparison of LSM for Typical Landslide Areas
6. Conclusions
- (1)
- Using the LCFs and inventory data from the study area, three DL models—CNN, DNN, and MLP—were developed. Utilizing the stacking ensemble method to integrate these models, we compared seven EMs, including AUC, OA, precision, and recall. The findings indicate that the stacking ensemble approach outperforms each individual model in terms of prediction accuracy;
- (2)
- The t-SNE-ISO algorithm was employed to implement SHP within the study area. Simultaneously, feature selection strategies were applied to optimize the feature combinations, resulting in the construction of the HF-stacking model. This model effectively mitigates the biases in predictions caused by spatial heterogeneity and feature redundancy. The HF-stacking model consistently outperformed other models across multiple subregions, with notable enhancements in key performance metrics compared to the standard stacking approach;
- (3)
- The F-stacking model significantly outperforms the traditional stacking model, with improvements of 1.62% in OA, 1.63% in precision, 1.57% in recall, and 1.65% in F1 score. Additionally, the kappa coefficient and MCC increased by 3.20% and 3.15%, respectively. Furthermore, the HF-stacking model exhibited comprehensive improvements compared to the H-stacking model, with all EMs significantly enhanced;
- (4)
- These findings provide strong evidence that establishing an SHP framework and implementing feature selection strategies can effectively reduce the effects of spatial heterogeneity and feature redundancy, thereby significantly improving the accuracy and predictive performance of LSA.
Author Contributions
Funding
Data Availability Statement
Acknowledgments
Conflicts of Interest
References
- Gu, T.; Duan, P.; Wang, W.; Li, J.; Li, S. Review of methods for landslide susceptibility assessment. J. Nat. Disasters 2024, 33, 1–16. [Google Scholar]
- Wang, J.; Wang, Y.; Li, M.; Qi, Z.; Li, C.; Qi, H.; Zhang, X. Improved landslide susceptibility assessment: A new negative sample collection strategy and a comparative analysis of zoning methods. Ecol. Indic. 2024, 169, 112948. [Google Scholar] [CrossRef]
- Yu, H.; Pei, W.; Zhang, J.; Chen, G. Landslide Susceptibility Mapping and Driving Mechanisms in a Vulnerable Region Based on Multiple Machine Learning Models. Remote Sens. 2023, 15, 1886. [Google Scholar] [CrossRef]
- Mersha, T.; Meten, M. GIS-based landslide susceptibility mapping and assessment using bivariate statistical methods in Simada area, northwestern Ethiopia. Geoenviron. Disasters 2020, 7, 20. [Google Scholar] [CrossRef]
- Wu, Y.; Li, W.; Wang, Q.; Liu, Q.; Yang, D.; Xing, M.; Pei, Y.; Yan, S. Landslide susceptibility assessment using frequency ratio, statistical index and certainty factor models for the Gangu County, China. Arab. J. Geosci. 2016, 9, 84. [Google Scholar] [CrossRef]
- Tang, Y.; Feng, F.; Guo, Z.; Feng, W.; Li, Z.; Wang, J.; Sun, Q.; Ma, H.; Li, Y. Integrating principal component analysis with statistically-based models for analysis of causal factors and landslide susceptibility mapping: A comparative study from the loess plateau area in Shanxi (China). J. Clean. Prod. 2020, 277, 124159. [Google Scholar] [CrossRef]
- Qin, Y.; Zhao, Z.; Zhou, D.; Chang, K.; Mou, Q.; Yang, Y.; Hu, Y. Landslide Susceptibility Assessment in Yulong County Using Contribution Degree Clustering Method and Stacking Ensemble Coupled Model Based on Certainty Factor. Remote Sens. 2024, 16, 3582. [Google Scholar] [CrossRef]
- Wubalem, A. Landslide susceptibility mapping using statistical methods in Uatzau catchment area, northwestern Ethiopia. Geoenviron. Disasters 2021, 8, 1. [Google Scholar] [CrossRef]
- Vaka, D.S.; Yaragunda, V.R.; Perdikou, S.; Papanicolaou, A. InSAR Integrated Machine Learning Approach for Landslide Susceptibility Mapping in California. Remote Sens. 2024, 16, 3574. [Google Scholar] [CrossRef]
- Agboola, G.; Beni, L.H.; Elbayoumi, T.; Thompson, G. Optimizing landslide susceptibility mapping using machine learning and geospatial techniques. Ecol. Inf. 2024, 81, 102583. [Google Scholar] [CrossRef]
- Wang, Y.; Fang, Z.; Hong, H. Comparison of convolutional neural networks for landslide susceptibility mapping in Yanshan County, China. Sci. Total Environ. 2019, 666, 975–993. [Google Scholar] [CrossRef] [PubMed]
- Hussain, M.A.; Chen, Z.; Zheng, Y.; Zhou, Y.; Daud, H. Deep Learning and Machine Learning Models for Landslide Susceptibility Mapping with Remote Sensing Data. Remote Sens. 2023, 15, 4703. [Google Scholar] [CrossRef]
- Meghanadh, D.; Kumar Maurya, V.; Tiwari, A.; Dwivedi, R. A multi-criteria landslide susceptibility mapping using deep multi-layer perceptron network: A case study of Srinagar-Rudraprayag region (India). Adv. Space Res. 2022, 69, 1883–1893. [Google Scholar] [CrossRef]
- Gao, B.; He, Y.; Chen, X.; Chen, H.; Yang, W.; Zhang, L. A Deep Neural Network Framework for Landslide Susceptibility Mapping by Considering Time-Series Rainfall. IEEE J. Sel. Top. Appl. Earth Obs. Remote Sens. 2024, 17, 5946–5969. [Google Scholar] [CrossRef]
- Wang, J.; Wang, Y.; Li, C.; Li, Y.; Qi, H. Landslide susceptibility evaluation based on landslide classification and ANN-NFR modelling in the Three Gorges Reservoir area, China. Ecol. Indic. 2024, 160, 111920. [Google Scholar] [CrossRef]
- Zhang, Q.; He, Y.; Zhang, Y.; Lu, J.; Zhang, L.; Huo, T.; Tang, J.; Fang, Y.; Zhang, Y. A Graph–Transformer Method for Landslide Susceptibility Mapping. IEEE J. Sel. Top. Appl. Earth Obs. Remote Sens. 2024, 17, 14556–14574. [Google Scholar] [CrossRef]
- Aslam, B.; Zafar, A.; Khalil, U. Comparative analysis of multiple conventional neural networks for landslide susceptibility mapping. Nat. Hazard. 2023, 115, 673–707. [Google Scholar] [CrossRef]
- Zhang, S.; Bai, L.; Li, Y.; Li, W.; Xie, M. Comparing Convolutional Neural Network and Machine Learning Models in Landslide Susceptibility Mapping: A Case Study in Wenchuan County. Front. Environ. Sci. 2022, 10, 886841. [Google Scholar] [CrossRef]
- Gao, B.; He, Y.; Chen, X.; Zheng, X.; Zhang, L.; Zhang, Q.; Lu, J. Landslide Risk Evaluation in Shenzhen Based on Stacking Ensemble Learning and InSAR. IEEE J. Sel. Top. Appl. Earth Obs. Remote Sens. 2023, 16, 1–18. [Google Scholar] [CrossRef]
- He, Y.; Huo, T.; Gao, B.; Zhu, Q.; Jin, L.; Chen, J.; Zhang, Q.; Tang, J. Thaw Slump Susceptibility Mapping Based on Sample Optimization and Ensemble Learning Techniques in Qinghai-Tibet Railway Corridor. IEEE J. Sel. Top. Appl. Earth Obs. Remote Sens. 2024, 17, 5443–5459. [Google Scholar] [CrossRef]
- Hong, H. Assessing landslide susceptibility based on hybrid Best-first decision tree with ensemble learning model. Ecol. Indic. 2023, 147, 109968. [Google Scholar] [CrossRef]
- Wu, X.; Wang, J. Application of Bagging, Boosting and Stacking Ensemble and EasyEnsemble Methods for Landslide Susceptibility Mapping in the Three Gorges Reservoir Area of China. Int. J. Environ. Res. Public Health 2023, 20, 4977. [Google Scholar] [CrossRef]
- Zhou, C.; Gan, L.; Wang, Y.; Wu, H.; Yu, J.; Cao, Y.; Yin, K. Landslide Susceptibility Prediction based on Non-Landslide Samples Selection and Heterogeneous Ensemble Machine Learning. J. Geo-Inf. Sci. 2023, 25, 1570–1585. [Google Scholar]
- Wu, L.; Zeng, T.; Liu, X.; Guo, Z.; Liu, Z.; Yin, K. Landslide Susceptibility Assessment Based on Ensemble Learning Modeling. Earth Sci. 2024, 49, 3841–3854. [Google Scholar]
- Wang, Y.; Cao, Y.; Xu, F.; Zhou, C.; Yu, L.; Wu, L.; Wang, Y.; Yin, K. Reservoir Landslide Susceptibility Prediction Considering Non-Landslide Sampling and Ensemble Machine Learning Methods. Earth Sci. 2024, 49, 1619–1635. [Google Scholar]
- Zhu, S.; Kong, R.; Luo, X.; Xu, Z.; Zhu, F. An improved potential landslide hazard points evaluating method considering the heterogeneity of environmental features. Int. J. Environ. Sci. Technol. 2023, 20, 7951–7968. [Google Scholar] [CrossRef]
- Chang, Z.; Catani, F.; Huang, F.; Liu, G.; Meena, S.R.; Huang, J.; Zhou, C. Landslide susceptibility prediction using slope unit-based machine learning models considering the heterogeneity of conditioning factors. J. Rock Mech. Geotech. Eng. 2023, 15, 1127–1143. [Google Scholar] [CrossRef]
- Liu, Y.; Chen, C. Landslide susceptibility evaluation method considering spatial heterogeneity and feature selection. Acta Geod. Et Cartogr. Sin. 2024, 53, 1417–1428. [Google Scholar]
- Aggarwal, C.C.; Yu, P.S.; Han, J.; Wang, J. A Framework for Clustering Evolving Data Streams. In Proceedings of the Proceedings 2003 VLDB Conference, Berlin, Germany, 9–12 September 2003; pp. 81–92. [Google Scholar]
- Althuwaynee, O.F.; Aydda, A.; Hwang, I.-T.; Lee, Y.-K.; Kim, S.-W.; Park, H.-J.; Lee, M.-S.; Park, Y. Uncertainty Reduction of Unlabeled Features in Landslide Inventory Using Machine Learning t-SNE Clustering and Data Mining Apriori Association Rule Algorithms. Appl. Sci. 2021, 11, 556. [Google Scholar] [CrossRef]
- Chen, X.; Chen, W. GIS-based landslide susceptibility assessment using optimized hybrid machine learning methods. CATENA 2021, 196, 104833. [Google Scholar] [CrossRef]
- Shen, Z.; Wang, D.; Arabameri, A.; Santosh, M.; Egbueri, J.C.; Arora, A. Landslide susceptibility assessment and mapping using new ensemble model. Adv. Space Res. 2024, 74, 2859–2882. [Google Scholar] [CrossRef]
- Lu, J.; Yi, H.; Lifeng, Z.; Qing, Z.; Binghai, G.; Hesheng, C.; Fang, Y. Ensemble learning landslide susceptibility assessment with optimized non-landslide samples selection. Geomat. Nat. Hazards Risk 2024, 15, 2378176. [Google Scholar] [CrossRef]
- Wen, H.; Liu, B.; Di, M.; Li, J.; Zhou, X. A SHAP-enhanced XGBoost model for interpretable prediction of coseismic landslides. Adv. Space Res. 2024, 74, 3826–3854. [Google Scholar] [CrossRef]
- Gu, T.; Li, J.; Wang, M.; Duan, P.; Zhang, Y.; Cheng, L. Study on landslide susceptibility mapping with different factor screening methods and random forest models. PLoS ONE 2023, 18, e0292897. [Google Scholar] [CrossRef] [PubMed]
- Wang, Y.; Wu, X.; Chen, Z.; Ren, F.; Feng, L.; Du, Q. Optimizing the Predictive Ability of Machine Learning Methods for Landslide Susceptibility Mapping Using SMOTE for Lishui City in Zhejiang Province, China. Int. J. Environ. Res. Public Health 2019, 16, 368. [Google Scholar] [CrossRef]
- Lv, J.; Zhang, R.; Shama, A.; Hong, R.; He, X.; Wu, R.; Bao, X.; Liu, G. Exploring the spatial patterns of landslide susceptibility assessment using interpretable Shapley method: Mechanisms of landslide formation in the Sichuan-Tibet region. J. Environ. Manag. 2024, 366, 121921. [Google Scholar] [CrossRef]
- Zhang, L.; Guo, Z.; Qi, S.; Zhao, T.; Wu, B.; Li, P. Landslide susceptibility evaluation and determination of critical influencing factors in eastern Sichuan mountainous area, China. Ecol. Indic. 2024, 169, 112911. [Google Scholar] [CrossRef]
- Youssef, K.; Shao, K.; Moon, S.; Bouchard, L.S. Landslide susceptibility modeling by interpretable neural network. Commun. Earth Environ. 2023, 4, 162. [Google Scholar] [CrossRef]
- Cao, C.; Zhu, K.; Xu, P.; Shan, B.; Yang, G.; Song, S. Refined landslide susceptibility analysis based on InSAR technology and UAV multi-source data. J. Clean. Prod. 2022, 368, 133146. [Google Scholar] [CrossRef]
- Li, J.; Zhou, C. Appropriate Grid Size for Terrain Based Landslide Risk Assessment in Lantau Island, Hong Kong. J. Remote Sens. 2003, 7, 86–92+161. [Google Scholar] [CrossRef]
- Wang, Y.; Feng, L.; Li, S.; Ren, F.; Du, Q. A hybrid model considering spatial heterogeneity for landslide susceptibility mapping in Zhejiang Province, China. CATENA 2020, 188, 104425. [Google Scholar] [CrossRef]
- Hooper, A.; Zebker, H.; Segall, P.; Kampes, B. A new method for measuring deformation on volcanoes and other natural terrains using InSAR persistent scatterers. Geophys. Res. Lett. 2004, 31, L23611. [Google Scholar] [CrossRef]
- Van der Maaten, L.; Hinton, G. Viualizing data using t-SNE. J. Mach. Learn. Res. 2008, 9, 2579–2605. [Google Scholar]
- Rane, P.R.; Vincent, S. Landslide Susceptibility Mapping Using Machine Learning Algorithms for Nainital, India. Eng. Sci. 2022, 17, 142–155. [Google Scholar] [CrossRef]
- Zhou, X.; Wen, H.; Zhang, Y.; Xu, J.; Zhang, W. Landslide susceptibility mapping using hybrid random forest with GeoDetector and RFE for factor optimization. Geosci. Front. 2021, 12, 101211. [Google Scholar] [CrossRef]
- Wang, Y.; Wen, H.; Sun, D.; Li, Y. Quantitative Assessment of Landslide Risk Based on Susceptibility Mapping Using Random Forest and GeoDetector. Remote Sens. 2021, 13, 2625. [Google Scholar] [CrossRef]
- Cun, Y.L.; Boser, B.; Denker, J.S.; Henderson, D.; Jackel, L.D. Handwritten digit recognition with a back-propagation network. Adv. Neural Inf. Process. Syst. 1990, 2, 396–404. [Google Scholar]
- Chen, Y.; Ming, D.; Yu, J.; Xu, L.; Ma, Y.; Li, Y.; Ling, X.; Zhu, Y. Susceptibility-Guided Landslide Detection Using Fully Convolutional Neural Network. IEEE J. Sel. Top. Appl. Earth Obs. Remote Sens. 2023, 16, 998–1018. [Google Scholar] [CrossRef]
- Zhao, Z.; Chen, T.; Dou, J.; Liu, G.; Plaza, A. Landslide Susceptibility Mapping Considering Landslide Local-Global Features Based on CNN and Transformer. IEEE J. Sel. Top. Appl. Earth Obs. Remote Sens. 2024, 17, 7475–7489. [Google Scholar] [CrossRef]
- Jiang, Z.; Wang, M.; Liu, K. Comparisons of Convolutional Neural Network and Other Machine Learning Methods in Landslide Susceptibility Assessment: A Case Study in Pingwu. Remote Sens. 2023, 15, 798. [Google Scholar] [CrossRef]
- Zhao, Z.; He, Y.; Yao, S.; Yang, W.; Wang, W.; Zhang, L.; Sun, Q. A comparative study of different neural network models for landslide susceptibility mapping. Adv. Space Res. 2022, 70, 383–401. [Google Scholar] [CrossRef]
- Yang, Z.; Xu, C.; Shao, X.; Ma, S.; Li, L. Landslide susceptibility mapping based on CNN-3D algorithm with attention module embedded. Bull. Eng. Geol. Environ. 2022, 81, 412. [Google Scholar] [CrossRef]
- Hinton, G.E.; Osindero, S.; Teh, Y.-W. A Fast Learning Algorithm for Deep Belief Nets. Neural Comput. 2006, 18, 1527–1554. [Google Scholar] [CrossRef] [PubMed]
- Mwakapesa, D.S.; Lan, X.; Mao, Y. Landslide susceptibility assessment using deep learning considering unbalanced samples distribution. Heliyon 2024, 10, e30107. [Google Scholar] [CrossRef] [PubMed]
- Ma, W.; Dong, J.; Wei, Z.; Peng, L.; Wu, Q.; Wang, X.; Dong, Y.; Wu, Y. Landslide susceptibility assessment using the certainty factor and deep neural network. Front. Earth Sci. 2023, 10, 1091560. [Google Scholar] [CrossRef]
- Dou, J.; Yunus, A.P.; Merghadi, A.; Shirzadi, A.; Nguyen, H.; Hussain, Y.; Avtar, R.; Chen, Y.; Pham, B.T.; Yamagishi, H. Different sampling strategies for predicting landslide susceptibilities are deemed less consequential with deep learning. Sci. Total Environ. 2020, 720, 137320. [Google Scholar] [CrossRef] [PubMed]
- Wang, Y.; Zhou, C.; Cao, Y.; Meena, S.R.; Feng, Y.; Wang, Y. Utilizing deep learning approach to develop landslide susceptibility mapping considering landslide types. Bull. Eng. Geol. Environ. 2024, 83, 430. [Google Scholar] [CrossRef]
- Liu, X.K.; Shao, S.; Shao, S.J. Landslide susceptibility prediction and mapping in Loess Plateau based on different machine learning algorithms by hybrid factors screening: Case study of Xunyi County, Shaanxi Province, China. Adv. Space Res. 2024, 74, 192–210. [Google Scholar] [CrossRef]
- Song, Y.; Song, Y.X.; Wang, C.N.; Wu, L.W.; Wu, W.C.; Li, Y.; Li, S.C.; Chen, A.Q. Landslide susceptibility assessment through multi-model stacking and meta-learning in Poyang County, China. Geomat. Nat. Hazards Risk 2024, 15, 2354499. [Google Scholar] [CrossRef]
- Yu, L.; Wang, Y.; Pradhan, B. Enhancing landslide susceptibility mapping incorporating landslide typology via stacking ensemble machine learning in Three Gorges Reservoir, China. Geosci. Front. 2024, 15, 101802. [Google Scholar] [CrossRef]
- Mebirouk, N.; Amrane, M.; Messast, S. Optimizing Landslide Susceptibility Mapping in Oued Guebli Watershed: A Comparative Study of Deep Learning, Support Vector Machines, Logistic Regression with Spatial Validation and AUC-ROC Analysis. Iran. J. Sci. Technol.-Trans. Civ. Eng. 2025. [Google Scholar] [CrossRef]
















| LCFs | Values | Data Type | Data Sources | Resolution |
|---|---|---|---|---|
| Elevation (m) | [76, 3074] | Continuous | https://earthexplorer.usgs.gov/, accessed on 11 December 2024 | 30 m |
| Slope (°) | [0, 75.1] | Continuous | Generated using elevation | 30 m |
| Aspect (°) | [−1, 360] | Continuous | Generated using elevation | 30 m |
| PLC | [0, 76.2] | Continuous | Generated using elevation | 30 m |
| PRC | [0, 45.3] | Continuous | Generated using elevation | 30 m |
| TWI | [1.9, 31.2] | Continuous | Generated using elevation | 30 m |
| SPI | [−8.5, 18.4] | Continuous | Generated using elevation | 30 m |
| DTFA (m) | 5 types | Discrete | http://dnr.yn.gov.cn/, accessed on 11 December 2024 | 30 m |
| Lithology | 9 types | Discrete | http://dnr.yn.gov.cn/, accessed on 15 December 2024 | 30 m |
| DTRI (m) | 6 types | Discrete | https://www.webmap.cn/, accessed on 11 December 2024 | 30 m |
| DTRO (m) | 5 types | Discrete | https://www.webmap.cn/, accessed on 11 December 2024 | 30 m |
| LULC | 7 types | Discrete | https://esa-worldcover.org/, accessed on 11 December 2024 | 10 m |
| Precipitation (mm) | [1392.4, 1787.0] | Continuous | http://www.geodata.cn/, accessed on 15 December 2024 | 1 km |
| NDVI | [0, 1] | Continuous | https://www.resdc.cn/, accessed on 11 December 2024 | 30 m |
| POI kernel density | [0, 60.1] | Continuous | https://download.geofabrik.de/, accessed on 19 December 2024 | 30 m |
| Basic Parameters | Sentinel-1A |
|---|---|
| Data sources | https://search.asf.alaska.edu/, accessed on 20 December 2024 |
| Orbital direction | Ascending/Descending |
| Spatial resolution (m) | 5 × 20 |
| Incidence angle (°) | 39.14/39.38 |
| Polarization mode | VV |
| Band | C |
| Beam mode | IW |
| Radar wavelength (cm) | 5.6 |
| Acquisition time | 2 January 2019 to 29 December 2021; 4 January 2019 to 19 December 2021 |
| Number of images | 182/154 |
| EMs | AUC | OA | Precision | Recall | F1 Score | Kappa | MCC | |
|---|---|---|---|---|---|---|---|---|
| Models | ||||||||
| CNN | 90.67 ± 0.80 | 83.56 ± 0.90 | 93.13 ± 3.64 | 73.54 ± 3.68 | 82.08 ± 1.68 | 67.27 ± 1.86 | 69.01 ± 1.87 | |
| DNN | 89.98 ± 1.15 | 82.46 ± 1.73 | 92.66 ± 5.55 | 72.09 ± 3.06 | 80.95 ± 2.14 | 65.18 ± 3.57 | 67.15 ± 4.10 | |
| MLP | 88.83 ± 5.82 | 81.68 ± 1.99 | 94.32 ± 4.73 | 68.55 ± 3.53 | 79.31 ± 2.79 | 63.54 ± 4.17 | 66.24 ± 4.74 | |
| Stacking | 91.67 ± 0.26 | 83.69 ± 0.96 | 91.38 ± 1.62 | 75.03 ± 3.12 | 82.35 ± 1.58 | 67.43 ± 1.91 | 68.62 ± 1.59 | |
Disclaimer/Publisher’s Note: The statements, opinions and data contained in all publications are solely those of the individual author(s) and contributor(s) and not of MDPI and/or the editor(s). MDPI and/or the editor(s) disclaim responsibility for any injury to people or property resulting from any ideas, methods, instructions or products referred to in the content. |
© 2025 by the authors. Licensee MDPI, Basel, Switzerland. This article is an open access article distributed under the terms and conditions of the Creative Commons Attribution (CC BY) license (https://creativecommons.org/licenses/by/4.0/).
Share and Cite
Jiang, X.; Yang, Z.; Mei, H.; Zheng, M.; Yuan, J.; Wang, L. An Ensemble Learning Approach for Landslide Susceptibility Assessment Considering Spatial Heterogeneity Partitioning and Feature Selection. Remote Sens. 2025, 17, 2875. https://doi.org/10.3390/rs17162875
Jiang X, Yang Z, Mei H, Zheng M, Yuan J, Wang L. An Ensemble Learning Approach for Landslide Susceptibility Assessment Considering Spatial Heterogeneity Partitioning and Feature Selection. Remote Sensing. 2025; 17(16):2875. https://doi.org/10.3390/rs17162875
Chicago/Turabian StyleJiang, Xiangchao, Zhen Yang, Hongbo Mei, Meinan Zheng, Jiajia Yuan, and Lei Wang. 2025. "An Ensemble Learning Approach for Landslide Susceptibility Assessment Considering Spatial Heterogeneity Partitioning and Feature Selection" Remote Sensing 17, no. 16: 2875. https://doi.org/10.3390/rs17162875
APA StyleJiang, X., Yang, Z., Mei, H., Zheng, M., Yuan, J., & Wang, L. (2025). An Ensemble Learning Approach for Landslide Susceptibility Assessment Considering Spatial Heterogeneity Partitioning and Feature Selection. Remote Sensing, 17(16), 2875. https://doi.org/10.3390/rs17162875

