False-Alarm-Controllable Detection of Marine Small Targets via Improved Concave Hull Classifier
Abstract
1. Introduction
2. Extraction of Three Well-Designed Features and Analysis of Their Complementary
2.1. Description of Radar Detection Problem
2.2. Feature Extraction in Time Domain
2.3. Feature Extraction in Frequency Domain
2.4. Complementarity Analysis of Three Features
3. Novelty Detection Using Improved Concave Hull Classifier in 3D Feature Space
3.1. Novelty Detection in 3D Feature Space
3.2. Improved Concave Hull Classifier with Controllable False Alarm Rate
3.2.1. Traditional α-Shape Concave Hull Algorithm
3.2.2. Improved Concave Hull Classifier Using Two-Stage Parameter Search
3.3. Uniqueness of Concave Hull Decision Region
4. Experimental Results and Evaluation
4.1. IPIX Database
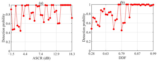
4.2. Influence of Decision Regions and Features
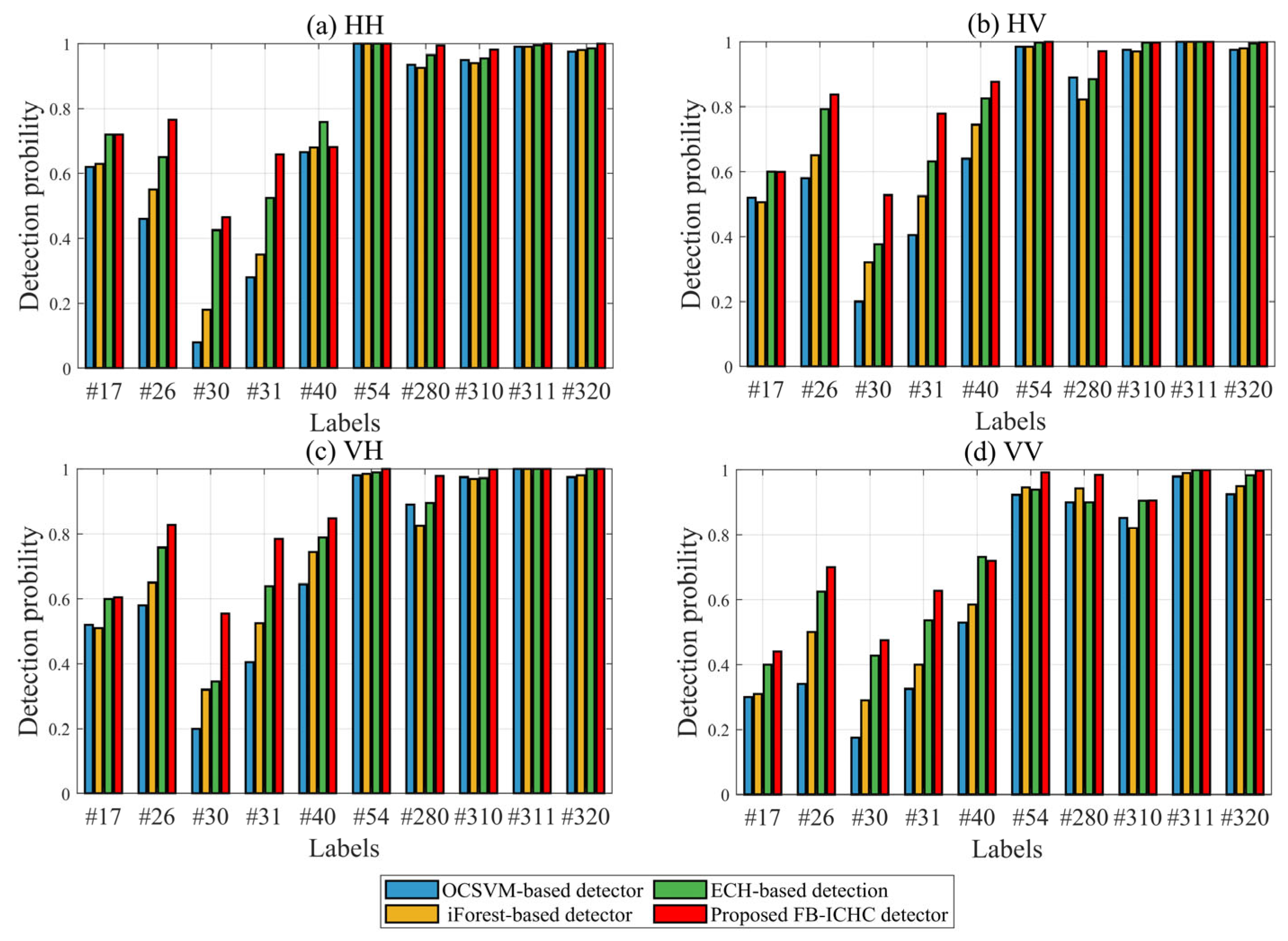
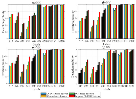
4.3. Performance Comparison Using Real Datasets
4.4. Performance Comparison with Single-Class Detectors
5. Conclusions
Author Contributions
Funding
Data Availability Statement
Conflicts of Interest
References
- Xu, S.W.; Niu, X.Q.; Ru, H.T.; Chen, X.L. Classification of small targets on sea surface based on improved residual fusion network and complex time-frequency spectra. Remote Sens. 2024, 16, 3387. [Google Scholar] [CrossRef]
- Shi, S.N.; Jiang, L.; Cao, D.; Zhang, Y.T. Sea-surface small target detection using entropy features with dual-domain clutter suppression. Remote Sens. Lett. 2022, 13, 1142–1152. [Google Scholar] [CrossRef]
- Shi, S.N.; Shui, P.L.; Liang, X.; Li, T. Small target detection based on noncoherent radial velocity spectrum of high-resolution sea clutter. IEEE J. Sel. Top. Appl. Earth Observ. Remote Sens. 2022, 15, 8719–8733. [Google Scholar] [CrossRef]
- Hu, J.; Tung, W.W.; Gao, J. Detection of low observable targets within sea clutter by structure function based multifractal analysis. IEEE Trans. Antennas Propag. 2006, 54, 136–143. [Google Scholar] [CrossRef]
- Xu, X.K. Low observable targets detection by joint fractal properties of sea clutter: An experimental study of IPIX OHGR datasets. IEEE Trans. Antennas Propag. 2010, 58, 1425–1429. [Google Scholar]
- Fan, Y.; Tao, M.; Su, J.; Wang, L. Weak target detection based on whole-scale Hurst exponent of autoregressive spectrum in sea clutter background. Digit. Signal Process. 2020, 101, 102714. [Google Scholar] [CrossRef]
- Guo, Z.; Shui, P.; Bai, X. Small target detection in sea clutter using all-dimensional Hurst exponents of complex time sequence. Digit. Signal Process. 2020, 101, 102707. [Google Scholar] [CrossRef]
- Mou, X.; Chen, X.; Guan, J.; Dong, Y.; Liu, N. Sea clutter suppression for radar PPI images based on SCS-GAN. IEEE Geosci. Remote Sens. Lett. 2021, 18, 1886–1890. [Google Scholar] [CrossRef]
- Wen, L.; Ding, J.; Xu, Z. Multiframe detection of sea-surface small target using deep convolutional neural network. IEEE Trans. Geosci. Remote Sens. 2021, 60, 1–16. [Google Scholar] [CrossRef]
- Chen, X.; Su, N.; Huang, Y.; Guan, J. False-alarm-controllable radar detection for marine target based on multi-features fusion via CNNs. IEEE Sens. J. 2021, 21, 9099–9111. [Google Scholar] [CrossRef]
- Shi, Y.; Guo, Y.; Yao, T.; Liu, Z. Sea-surface small floating target recurrence plots FAC classification based on CNN. IEEE Trans. Geosci. Remote Sens. 2022, 60, 5115713. [Google Scholar] [CrossRef]
- Su, N.; Chen, X.; Guan, J. Radar maritime target detection via spatial-temporal feature attention graph convolutional network. IEEE Trans. Geosci. Remote Sens. 2024, 62, 5102615. [Google Scholar] [CrossRef]
- Yan, K.; Bai, Y.; Wu, H.; Zhang, X. Robust target detection within sea clutter based on graphs. IEEE Trans. Geosci. Remote Sens. 2019, 57, 7093–7103. [Google Scholar] [CrossRef]
- Shui, P.; Li, D.; Xu, S. Tri-feature-based detection of floating small targets in sea clutter. IEEE Trans. Aerosp. Electron. Syst. 2014, 50, 1416–1430. [Google Scholar] [CrossRef]
- Guo, Z.; Bai, X.; Shui, P.; Wang, L.; Su, J. Fast dual trifeature-based detection of small targets in sea clutter by using median normalized Doppler amplitude spectra. IEEE J. Sel. Topics Appl. Earth Observ. Remote Sens. 2023, 16, 4050–4063. [Google Scholar] [CrossRef]
- Shi, S.; Shui, P. Sea-surface floating small target detection by one-class classifier in time-frequency feature space. IEEE Trans. Geosci. Remote Sens. 2018, 56, 6395–6411. [Google Scholar] [CrossRef]
- Fan, Y.; Chen, D.; Chen, S.; Su, J.; Tao, M.; Guo, Z.; Wang, L. Weak target detection based on full-polarization scattering features under sea clutter background. Remote Sens. 2024, 16, 2987. [Google Scholar] [CrossRef]
- Chen, S.; Luo, F.; Luo, X. Multiview feature-based sea surface small target detection in short observation time. IEEE Geosci. Remote Sens. Lett. 2021, 18, 1189–1193. [Google Scholar] [CrossRef]
- Xie, J.; Xu, X. Phase-feature-based detection of small targets in sea clutter. IEEE Geosci. Remote Sens. Lett. 2022, 19, 3507405. [Google Scholar] [CrossRef]
- Guan, J.; Jiang, X.; Liu, N.; Ding, H.; Dong, Y.; Liu, T. Target detection in sea clutter based on feature re-expression using Spearman’s correlation. IEEE Sens. J. 2024, 24, 30435–30450. [Google Scholar] [CrossRef]
- Gu, T. Detection of small floating targets on the sea surface based on multi-features and principal component analysis. IEEE Geosci. Remote Sens. Lett. 2020, 17, 809–813. [Google Scholar] [CrossRef]
- Shui, P.; Guo, Z.; Shi, S. Feature-compression-based detection of sea-surface small targets. IEEE Access 2020, 8, 8371–8385. [Google Scholar] [CrossRef]
- Li, Y.; Xie, P.; Tang, Z.; Jiang, T.; Qi, P. SVM-based sea-surface small target detection: A false-alarm-rate-controllable approach. IEEE Geosci. Remote Sens. Lett. 2019, 16, 1225–1229. [Google Scholar] [CrossRef]
- Xu, S.; Zhu, J.; Jiang, J.; Shui, P. Sea-surface floating small target detection by multifeature detector based on isolation forest. IEEE J. Sel. Top. Appl. Earth Observ. Remote Sens. 2020, 14, 704–715. [Google Scholar] [CrossRef]
- Guo, Z.; Shui, P. Anomaly based sea-surface small target detection using K-nearest neighbor classification. IEEE Trans. Aerosp. Electron. Syst. 2020, 56, 4947–4964. [Google Scholar] [CrossRef]
- Guo, Z.; Bai, X.; Li, J.; Shui, P.-L.; Su, J.; Wang, L. Small target detection in sea clutter using dominant clutter tree based on anomaly detection framework. Signal Process. 2024, 219, 109399. [Google Scholar] [CrossRef]
- Shi, Y.; Hu, Y. mRMR-tri-concavehull detector for floating small targets in sea clutter. IEEE J. Sel. Top. Appl. Earth Obs. Remote Sens. 2023, 16, 6799–6811. [Google Scholar] [CrossRef]
- Ward, K.D.; Tough, R.J.A.; Watts, S. Sea Clutter: Scattering, the K Distribution and Radar Performance, 2nd ed.; IET: London, UK, 2013. [Google Scholar]
- Haykin, S. The McMaster IPIX Radar Sea Clutter Database. 2001. Available online: http://soma.ece.mcmaster.ca/ipix/ (accessed on 1 January 2025).
- Yan, Z.; Liu, R.; Cheng, L.; Zhou, X.; Ruan, X.; Xiao, Y. A concave hull methodology for calculating the crown volume of individual trees based on vehicle-borne LiDAR data. Remote Sens. 2019, 11, 623. [Google Scholar] [CrossRef]
- Martin, R.K. Using alpha shapes to approximate signal strength based positioning performance. IEEE Signal Process. Lett. 2011, 18, 741–744. [Google Scholar] [CrossRef]
- Wind, H.J.D.; Cilliers, J.E.; Herselman, P.L. Dataware: Sea clutter and small boat radar reflectivity databases. IEEE Signal Process. Mag. 2010, 27, 145–148. [Google Scholar] [CrossRef]

















| Detectors | OT | HH | HV | VH | VV |
|---|---|---|---|---|---|
| ADHE detector [7] | 0.128 s | 0.340 | 0.402 | 0.394 | 0.252 |
| 0.256 s | 0.429 | 0.507 | 0.504 | 0.373 | |
| 0.512 s | 0.516 | 0.577 | 0.586 | 0.474 | |
| 1.024 s | 0.606 | 0.682 | 0.684 | 0.549 | |
| Tri-feature-based detector [14] | 0.128 s | 0.429 | 0.501 | 0.502 | 0.403 |
| 0.256 s | 0.501 | 0.585 | 0.577 | 0.505 | |
| 0.512 s | 0.525 | 0.597 | 0.597 | 0.515 | |
| 1.024 s | 0.583 | 0.670 | 0.654 | 0.553 | |
| TF-feature-based detector [16] | 0.128 s | 0.640 | 0.638 | 0.640 | 0.537 |
| 0.256 s | 0.673 | 0.661 | 0.663 | 0.566 | |
| 0.512 s | 0.702 | 0.707 | 0.700 | 0.615 | |
| 1.024 s | 0.757 | 0.771 | 0.755 | 0.702 | |
| Phase-feature-based detector [19] | 0.128 s | 0.476 | 0.552 | 0.544 | 0.457 |
| 0.256 s | 0.562 | 0.633 | 0.623 | 0.538 | |
| 0.512 s | 0.630 | 0.693 | 0.683 | 0.615 | |
| 1.024 s | 0.705 | 0.758 | 0.761 | 0.698 | |
| KNN-based detector [25] | 0.128 s | 0.653 | 0.687 | 0.704 | 0.593 |
| 0.256 s | 0.729 | 0.748 | 0.770 | 0.679 | |
| 0.512 s | 0.785 | 0.814 | 0.811 | 0.737 | |
| 1.024 s | 0.840 | 0.861 | 0.860 | 0.796 | |
| Proposed FB-ICHC detector | 0.128 s | 0.740 | 0.766 | 0.764 | 0.648 |
| 0.256 s | 0.793 | 0.823 | 0.828 | 0.725 | |
| 0.512 s | 0.827 | 0.859 | 0.860 | 0.784 | |
| 1.024 s | 0.892 | 0.903 | 0.896 | 0.837 |
Disclaimer/Publisher’s Note: The statements, opinions and data contained in all publications are solely those of the individual author(s) and contributor(s) and not of MDPI and/or the editor(s). MDPI and/or the editor(s) disclaim responsibility for any injury to people or property resulting from any ideas, methods, instructions or products referred to in the content. |
© 2025 by the authors. Licensee MDPI, Basel, Switzerland. This article is an open access article distributed under the terms and conditions of the Creative Commons Attribution (CC BY) license (https://creativecommons.org/licenses/by/4.0/).
Share and Cite
Shi, S.; Wang, J.; Wang, J.; Li, T. False-Alarm-Controllable Detection of Marine Small Targets via Improved Concave Hull Classifier. Remote Sens. 2025, 17, 1808. https://doi.org/10.3390/rs17111808
Shi S, Wang J, Wang J, Li T. False-Alarm-Controllable Detection of Marine Small Targets via Improved Concave Hull Classifier. Remote Sensing. 2025; 17(11):1808. https://doi.org/10.3390/rs17111808
Chicago/Turabian StyleShi, Sainan, Jiajun Wang, Jie Wang, and Tao Li. 2025. "False-Alarm-Controllable Detection of Marine Small Targets via Improved Concave Hull Classifier" Remote Sensing 17, no. 11: 1808. https://doi.org/10.3390/rs17111808
APA StyleShi, S., Wang, J., Wang, J., & Li, T. (2025). False-Alarm-Controllable Detection of Marine Small Targets via Improved Concave Hull Classifier. Remote Sensing, 17(11), 1808. https://doi.org/10.3390/rs17111808

