Next Article in Journal
Probabilistic Site Adaptation for High-Accuracy Solar Radiation Datasets in the Western Sichuan Plateau
Previous Article in Journal
An Ultra-Wide Swath Synthetic Aperture Radar Imaging System via Chaotic Frequency Modulation Signals and a Random Pulse Repetition Interval Variation Strategy
Previous Article in Special Issue
Sparse Magnetization Vector Inversion Based on Modulus Constraints
 
 
Font Type:
Arial Georgia Verdana
Font Size:
Aa Aa Aa
Line Spacing:
Column Width:
Background:
Article

Prediction of the Morphological Characteristics of Asymmetric Thaw Plate of Qinghai–Tibet Highway Using Remote Sensing and Large-Scale Geological Survey Data

1
College of Geology Engineering and Geomatics, Chang’an University, Xi’an 710054, China
2
State Key Laboratory of Road Engineering Safety and Health in Cold and High-Altitude Regions, CCCC First Highway Consultants Co. Ltd., Xi’an 710065, China
*
Author to whom correspondence should be addressed.
Remote Sens. 2025, 17(10), 1718; https://doi.org/10.3390/rs17101718
Submission received: 20 February 2025 / Revised: 5 May 2025 / Accepted: 12 May 2025 / Published: 14 May 2025
(This article belongs to the Special Issue Multi-Data Applied to Near-Surface Geophysics (Second Edition))

Abstract

The sunny–shady slope effect (SSSE) disrupts the thermal balance of permafrost subgrades, resulting in asymmetric thaw plates that lead to structural deformations such as longitudinal cracking and slope instability along the Qinghai–Tibet Highway (QTH). This study proposes three morphological indicators—road shoulder thawing depth difference (RSTDD), offset distance (OD), and active layer thickness difference (ALTD)—to quantitatively characterize the asymmetry of thaw plates. Through integrating remote sensing data and large-scale geological survey results with an earth–atmosphere coupled numerical model and a random forest (RF) prediction framework, we assessed the spatial distribution of thaw asymmetry along the permafrost section of the QTH. The results indicate the following: (1) The ALTD values are overall very small and almost unaffected by the SSSE. The RSTDD increases with mean annual ground temperature (MAGT) before stabilizing, while the OD shows no significant response to the MAGT. The RSTDD and OD ranges are 0–3.38 m and 0–8.65 m, respectively, and they are greatly affected by the SSSE. (2) The RSTDD and OD show obvious spatial differences in different geographical regions of the QTH. An RSTDD greater than 2 m is concentrated in the Xidatan Faulted Basin and Chumar River High Plain. An OD greater than 3 m is mainly distributed from the Chumar River High Plain to the Tongtian River Basin. (4) The RSTDD and OD are most affected by subgrade orientation with importance values of 49.84% and 51.80%, respectively. The importance of the effect of mean average ground temperature (MAGT) on the active layer thickness is 80.58%.

1. Introduction

Due to the imbalance between energy budgets on both sides of a sunny–shady slope, a considerable section of the permafrost subgrade along the QTH has formed an asymmetrical thaw plate under the action of perennial freeze–thaw cycles. This asymmetrical thaw plate contributes to various engineering faults, including longitudinal cracks and slope collapses, which have worsened in recent years [1,2,3]. Therefore, research on the prediction and spatial zoning of asymmetric thaw plate characteristics under the influence of the sunny–shady slope effect (SSSE) is of great significance, which can provide critical technical references for the scientific design, quality improvement and renovation of the QTH.
Numerous studies have demonstrated the significant impact of the SSSE on permafrost temperature fields and freeze–thaw characteristics. Lan et al. [4] found that soil temperatures at various depths on the sunny slope were significantly higher than those on the shady slope. Hu et al. [5], through multi-section ground temperature monitoring, confirmed the significant influence of the SSSE on temperature fields in permafrost regions and its widespread occurrence. Song et al. [6] further identified pronounced asymmetry in roadbed temperature fields with the top surface of the permafrost on the sunny slope being lower than that on the shady slope [7]. Chou et al. [8] demonstrated that the temperature and thaw depth on the sunny slope were significantly higher than those on the shady slope with roadbed deformation lagging behind in terms of temperature changes. Ren et al. [9] revealed that the SSSE caused asymmetric freezing and thawing characteristics between the sunny and shady slopes due to differences in solar radiation. Chen et al. [10] summarized the effects of the sunny–shady slope phenomenon on roadbed heat flow and thaw characteristics, emphasizing its potential to cause asymmetric damage to road structures. Tai et al. [11] highlighted the critical roles of road orientation and the SSSE in influencing roadbed frost heave, thaw settlement, and temperature distribution, and they further proposed strategies to mitigate these effects.
Meanwhile, remote sensing technology has been widely used in permafrost research. Shi et al. [12] mapped the permafrost distribution across the Qinghai–Tibet Plateau by integrating a decision tree algorithm with critical environmental drivers, including topography and vegetation. Khan et al. [13] employed multi-source satellite imagery to quantify the extent of permafrost in the western Himalayas at a 30 m spatial resolution. In contrast, Oldenborger et al. [14] applied a supervised classification approach to assess thaw sensitivity in Nunavut’s Rankin Inlet, Canada, based on geological, topographical, and multispectral variables. Wang et al. [15] revealed the thermodynamic mechanism of thermokarst development in the Qinghai–Tibet Plateau and its coupling relationship with climate factors through the cooperative observation of optical and radar remote sensing. Shan et al. [16] integrated the SBAS-InSAR technology and the surface frost number model, and they successfully determined the spatio-temporal differentiation of surface deformation along the Beihei Highway using multi-time series remote sensing data. For long-term trend quantification, Zhao et al. [17] employed an earth system model, remote sensing datasets, and field observations to quantify the long-term changes in permafrost thickness on the Qinghai–Tibet Plateau from 1851 to 2100. Similarly, Gao et al. [18] combined remote sensing, GIS techniques, and numerical simulations to systematically analyze the feedback mechanisms between vegetation succession and permafrost temperature fields in the Mohe region. Zhang et al. [19] combined the climate-permafrost model with a machine learning scheme to invert the thickness of the active layer of Alaska based on high-resolution remote sensing data.
In summary, previous studies have revealed the significant impact of the SSSE on permafrost temperature fields and thawing processes, and they also have conducted in-depth investigations on the distribution of permafrost and its evolutionary characteristics by the use of remote sensing technology. However, quantitative analyses of the spatial distribution characteristics of the asymmetric thawing plate of the QTH caused by the SSSE remain limited. To this end, three indictors were proposed to depict the asymmetric thaw plate of the QTH in this work: road shoulder thawing depth difference (RSTDD), offset distance (OD), and active layer thickness difference (ALTD). Based on Moderate Resolution Imaging Spectrometer (MODIS) remote sensing data and large-scale geological survey data acquired by the project “Upgrading and Reconstruction of the G109 Section from Golmud to Nagqu on the QTH” [20], an earth–atmosphere coupled numerical model and a random forest (RF) method were employed to predict the morphological characteristic of an asymmetric thaw plate of permafrost subgrade. Then, the spatial distribution characteristics of morphological indictors along the QTH and the pattern of influence of engineering geological factors on the indictors were also analyzed.

2. Materials and Methods

A field investigation was conducted at section K2935+050 of the QTH to examine the characteristics of the permafrost subgrade. This site is located in the Chumar River High Plain with the subgrade oriented 18° east–northeast. The surface is sparsely vegetated, and the lithology is primarily composed of silty clay, marl, mudstone, and gravelly sandstone. The ice type is a soil–ice layer, and the subgrade exhibits moderate settlement. The morphology of the thaw plate was obtained using the seismic surface wave inversion method, as shown in Figure 1. In the testing results, the thaw plate of the permafrost subgrade under the action of a sunny–shady slope showed an obvious asymmetric distribution characteristic. The active layer thickness (ALT) was displaced greatly toward the sunny slope, and the thaw depth also exhibited a significant difference between the sunny and shady slopes. Therefore, three indictors were established in this work to evaluate the morphological patterns of the asymmetric thaw plate of the permafrost subgrade along the QTH as follows:
(1) RSTDD represents the difference in thaw depth between the sunny and shady slopes at the road shoulders. It reflects the disparity in heat transfer outcomes between the two slopes. The expression is
R S T D D = D s u n D s h a d e ,
where Dsun and Dshade represent the thaw depths at the sunny and shady slopes of the road shoulders, respectively;
(2) OD indicates the extent of displacement of the ALT toward the sunny slope, reflecting the asymmetry in the thaw plate shape. The expression is
O D = X M T D , s u n X center ,
where XALT,sun denotes the horizontal position of the ALT on the sunny slope, while Xcenter represents the center position of the roadbed;
(3) ALTD represents the difference in ALT between uniform and sunny–shady slope conditions. The expression is
A L T D = A L T s u n s h a d e A L T u n i f o r m ,
where ALTuniform and ALTsun-shade represent the ALT without and with sunny–shady slope conditions, respectively.
To predict the spatial distribution of morphological indicators of an asymmetric thaw plate along the QTH, an integrated evaluation framework combining data processing, numerical simulation, and an RF prediction model was developed in this work. As shown in Figure 2, the workflow comprises the following steps: (1) correlation analysis between predictors and target parameters (RSTDD, OD, and ALTD), involving screening and combining different predictor sets to determine the final predictor set; (2) collecting, downloading, and processing the remote sensing and geological survey data, providing an inversion dataset of 4 predictors with 20 m resolution; (3) determining a reasonable numerical calculation scheme through orthogonal design, calculating the morphological indicators of the asymmetric thawing plate of the permafrost subgrade at representative locations along the QTH, and obtaining a training sample set; and (4) establishing the RF prediction model and predicting the spatial distributions of RSTDD, OD, and ALTD, respectively.

2.1. Data Resource

Remote sensing and large-scale geological survey data, covering the entire 530 km permafrost area along the QTH, were collected to aid in predicting the spatial distribution characteristic of morphological indictors. The remote sensing data included surface temperature, normalized difference vegetation index (NDVI), digital elevation model (DEM), latitude and equivalent latitude, which were derived from the MODIS dataset. The geological survey data included field monitoring data, drilling data, survey data and QTH engineering design data. A detailed description of the dataset is given in Table 1. All datasets were subjected to downscaling and spatial resampling to ensure consistency and comparability in spatial resolution across different data sources. Ultimately, all data were uniformly processed and analyzed at a 20 m spatial resolution to support subsequent modeling and spatial analyses.
(1) Remote sensing data: The remote sensing data were downloaded from the Google Earth Engine (GEE) platform database (https://developers.google.cn/earth-engine, accessed on 18 May 2024). Among them, the surface temperature was obtained from the MODIS land surface temperature (LST) data product (MOD11A2 V6.1 dataset), using the effective value of daily average LST. The NDVI was used to reflect the vegetation growth condition, and it was obtained from Landsat optical remote sensing data products (Landsat 5, Landsat 7 and Landsat 8 dataset). The elevation data were extracted based on the MODIS SRTM DEM-V3 data product. Slope, slope direction and latitude data were calculated in the GEE platform with MODIS SRTM DEM-V3 data using the ee.Algorithms.Terrain function and pixelLonLat function, respectively. In addition, equivalent latitude is a long-term potential factor of direct solar radiation on the surface, which is calculated as shown below [21]:
φ = sin 1 ( sin k cos l cos φ + cos k sin φ ) ,
where k is the slope angle, l is the aspect, and φ refers to the latitude.
The data sources and resolutions of all six types of remote sensing data are shown in Table 2. These data were classified and preprocessed, and then they were used as the predictor dataset of MAGT.
(2) Field monitoring data: Ground temperature data were derived from long-term ground temperature monitoring sections along the QTH. The data monitoring period was from 2018 to 2024, with a total of 612 ground temperature data points, whose distributions are shown in Figure 3.
(3) Drilling data: The ice content data were determined with reference to the collected information of 2188 drilling boreholes along the QTH, which were obtained in March–October 2024. Considering that the ice content would be greatly changed under the action of long-term drastic heat transfer processes in the overlying subgrade structure, 1428 natural ground boreholes were selected from 2188 original drilling boreholes (Figure 4a). The classification of ice content followed the guidelines in [22], which include categories such as ice-poor, ice-rich, and ice-saturated soils based on the visual observation of segregated ice, ice films around particles, and ice layer thickness. Using the inverse distance weighting method in ArcGIS 10.8, a spatial distribution map of permafrost ice content was generated along the QTH, as shown in Figure 4b.
(4) Survey data and engineering design data: The embankment height data along the QTH were derived from the survey results of subgrade profile mapping work, which was conducted in 2024. Although the raw data of the subgrade cross-section were extracted at intervals of 5 m or 20 m, embankment height data were interpolated at 20 m intervals to unify the data sparsity. The probability distribution of embankment height along the QTH was calculated, as shown in Figure 5. The most probable embankment height along the QTH is 3 m. The subgrade orientation data were calculated based on the route design scheme of the QTH. Similarly, in order to unify the data resolution, the interval of the subgrade orientation data was also processed to be 20 m. A statistical rose diagram of the subgrade orientation along the QTH was obtained, as shown in Figure 6. It shows that west–south is the main subgrade orientation of the QTH, with WSW and SW being especially prevalent, accounting for 10.44% and 10.71%, respectively.

2.2. Numerical Approach of Asymmetric Thaw Plates’ Morphological Indicators

2.2.1. Numerical Model

The earth–atmosphere coupled numerical model [14] was employed to predict the morphological indicators of an asymmetric thaw plate of permafrost subgrade. The physical model of the permafrost subgrade was divided into four regions: the air zone, the asphalt layer, the embankment fill, and the underlying permafrost, as shown in Figure 7. Based on the field geological survey of the QTH subgrade, the width of the embankment was 10 m with bilateral 1.5 m soil shoulders, and the thickness of the asphalt layer was 0.3 m. The height of the upper air region was defined as 30 m, and the length of the bilateral natural permafrost was set as 60 m to avoid the influence of the external environment. Meanwhile, to enhance the model’s general applicability, the natural permafrost layer was simplified to a 30 m thick single soil type. According to ice content, the permafrost layer was divided into 5 types: less-ice permafrost (S), more-ice permafrost (D), ice-rich permafrost (F), ice-saturated permafrost (B), and the soil-ice layer (H) [22]. The physical parameters of the permafrost layer were calculated based on the empirical formula proposed by Xu et al. [23], using the average dry density and water content of specific soil types, as listed in Table 3. The physical parameters of the air region, asphalt pavement, and embankment fill were determined in [24].

2.2.2. Numerical Procedures

A 2D transient solver was adopted in the numerical calculation [22]. The standard κ - ε model was employed for turbulence simulation in the air region. Given that the air environment was introduced into the computational model, the corresponding boundary conditions needed to reflect the complex earth–atmosphere coupling heat transfer process. The detailed boundary conditions settings were devised as follows.
(1) The upper boundary of the air region was set as the temperature boundary condition. Global warming was considered by applying a warming rate of 0.022 °C·year−1 [22,24]. Meteorological station data from the national meteorological information center (NMIC) of China (https://data.cma.cn, accessed on 1 June 2024) were used to fit the empirical temperature variation formula,
T a i r = A + 11.41 sin ( 2 π t 365 + 2.16 ) + 0.022 T y e a r ,
where Tair is the ambient temperature; t is the day number, with August 20 set as t = 0; A is the average annual air temperature; and Tyear is the year corresponding to the calculation time.
(2) Left and right boundaries of the air region were set as the velocity inlet boundary conditions. The temperature setting was consistent with the upper boundary of the air region. A scheme program was used to dynamically adjust theind direction, and the adjustment timing was also based on local meteorological data. The wind speed (v) was modeled as a function of height (x) above the ground [24],
v = v r e f x / 10 0.14 ,
where vref is the wind speed at a reference height of 10 m, which is taken as the monthly average wind speed provided by the NMIC.
(3) The left and right boundaries of the permafrost region were set as adiabatic walls, while the bottom boundary was assigned a geothermal heat flux of 0.06 W·m−2 to account for geothermal influence [24].
(4) The surfaces of the embankment layers and natural ground were defined as coupled wall boundary conditions with a thickness of 0.1 m. The equation is
Q s = α k Q s u n X Q r a d Q e v a p ,
where Qsun, Qrad and Qevap are the total solar radiation projected to the surface, the long-wave radiation heat loss from the surface to the environment and the evaporation heat loss from the surface moisture, respectively; α is the surface absorption coefficient; X is the radiative angle factor; and k is the slope coefficient, taking account of the combined effects of direct solar radiation and diffused solar radiation, which can be calculated as [25]
k = 0 . 6 k d + 0 . 4 ,
where kd is the slope coefficient of direct solar radiation. For the sunny slope and shady slope, it can be calculated as follows [26]:
For   the   sunny   slope , k d = c t g α r o a d + c t g β · cos δ θ sin α r o a d .
For   the   shady   slope , k d = c t g α r o a d c t g β · cos δ θ sin α r o a d
where αroad is the subgrade slope angle; β is the solar elevation angle; δ is the subgrade orientation; and θ is the solar azimuth angle.
In order to obtain numerical results of the asymmetric thaw plate morphological indicators that are as abundant and representative as possible, the influencing factors such as subgrade orientation, embankment height, ice content and MAGT were considered in the numerical calculation scheme design. The level ranges of factors were determined based on field-measured data, except for MAGT, the range of which was defined according to the classification proposed by Cheng [27], as shown in Table 4. Furthermore, to reduce the number of computation cases while maximizing factor combinations, an orthogonal design strategy was adopted. Through the orthogonal design of the above influencing factors and levels, a total of 128 numerical cases were finally designed and calculated.
All numerical simulations were performed using ANSYS Fluent 2022 R1, which is a platform that has been widely adopted for earth–atmosphere coupled heat transfer modeling. The computational domain was discretized using an unstructured quadrilateral mesh, with local mesh refinement applied specifically in the vicinity of the embankment region, to accurately resolve steep thermal gradients. A second-order upwind scheme was employed for the discretization of convection–diffusion terms. Convergence was considered achieved when the residuals of the energy equations fell below 10−5 with a maximum of 200 iterations per time step imposed to ensure computational stability and numerical accuracy.

2.3. Random Forest Prediction Model of Asymmetric Thaw Plates Morphological Indicators

Considering the complex nonlinear relationships among environmental parameters along the QTH, traditional regression models struggle to capture multi-factor interactions. The RF method was selected as the core predictive tool in this study due to its high accuracy, strong noise resistance, and ability to mitigate overfitting [28]. In this paper, the Scikit-learn machine learning library (https://scikit-learn.org/) in Python was used as the foundational tool for model development. By employing bootstrapping, subsets were repeatedly extracted from the training dataset with replacement, and independent decision trees were trained on these subsets. Finally, the average result of the decision trees was calculated to estimate the outputs for RSTDD, OD, and ALTD. To ensure model validation, the dataset was randomly divided into training and testing sets in an 8:2 ratio. Specifically, RF regression models were developed to predict the talik, MAGT, RSTDD, OD, and ALTD.

2.3.1. RF Prediction Model of Talik Area and MAGT

The RF regression model was employed for predicting the talik area and MAGT along the QTH. As shown in Figure 8, the surface temperature, NDVI, DEM, latitude and equivalent latitude of these 612 data points were extracted as the feature variables, and the monitoring MAGT was used as the target variable. In addition, the identification of talik area was the premise of MAGT prediction. Therefore, a similar RF model and feature variable system were adopted for the identification of the talik area in this work, and we took “whether belongs to the Talik” as the binary classification target variable. Integrating 2800 data points (including 2188 items of drilling borehole data and 612 items of ground temperature monitoring data), the zoning map of the talik area and MAGT within 5 km along the QTH were predicted (Figure 9).

2.3.2. RF Prediction Model of RSTDD, OD and ALTD

In order to determine the predictor sets of RSTDD, OD and ALTD, we systematically analyzed the influencing factors that determine the morphology of the permafrost subgrade’s thaw plate [2,6,29,30,31]. Screening and correlation analyses between the influencing factors and target parameters were conducted, and the prediction effects of different combinations of predictor sets were compared. Finally, four factors were selected for evaluating the asymmetric thaw plates: subgrade orientation (angle relative to the east–west direction), embankment height, ice content, and MAGT. The scheme diagram of the RF model for RSTDD, OD and ALTD is given in Figure 10.

2.3.3. Prediction Accuracy of RF Model

To check the prediction accuracy of the proposed RF model, three error analysis indexes, namely, determination coefficient (R2), mean absolute error (MAE) and root mean square error (RMSE), were employed to evaluate the prediction results of MAGT, RSTDD, OD, and ALT. The calculation results are given in Figure 11. It can be seen that the R2 values for MAGT, RSTDD, OD, and ALT are 0.92, 0.97, 0.98 and 0.98, respectively, while the MAE is 0.2, 0.1, 0.4 and 0.24, and the RMSE is 0.33, 0.16, 0.75 and 0.3. The evaluation metrics of the RF model indicate its high reliability and good fitting effect for prediction of the spatial distribution characteristics of morphological indictors along the QTH.

3. Results

3.1. Spatial Distribution Characteristic of Morphological Indictors Along the QTH

Based on the proposed prediction model used for the morphological characteristics of a permafrost subgrade asymmetric thaw plate, the spatial distributions of morphological indictors were calculated and analyzed. Figure 12 shows the distribution of the ALTD along the QTH. It can be seen that the overall value of the ALTD is small, the maximum value is 0.51 m, and the average value is 0.11 m. The annual average basal heat flux results indicate that while the SSSE causes slight heat flux differences at the embankment shoulders, the central region shows minimal variation between the SSSE and non-SSSE conditions with a value of only 0.14 W/m2 (Figure 13). As the asphalt surface absorbs more solar radiation and lateral conduction offsets local differences, the cumulative thermal disturbance at depth remains similar. Thus, the ALT is mainly governed by vertical heat conduction and structural heat exchange with limited influence from slope-induced asymmetry. Therefore, in the subsequent analysis, the focus will be on the distributional characteristics of RSTDD and OD.
Figure 14 shows the zoning maps of the RSTDD and OD along the QTH. It exhibits that the RSTDD ranges from 0 to 3.38 m in the entire permafrost section of the QTH with an average of 0.89 m. Comparatively, the OD fluctuates more notably than the RSTDD, which ranges from 0 to 8.65 m, and its average value is 1.43 m. It is noted that there is an obvious spatially overlapping distribution between the RSTDD and OD. For the highway sections with a larger RSTDD (>1.0 m), 84.98% of their OD values are more than 1.0 m, while for the highway sections with a relatively small RSTDD (<1.0 m), 83.37% of their OD values are also less than 1.0 m. Additionally, it can still be seen that there are some non-thawing areas distributed along the QTH, which relate to the upward shift of the permafrost upper boundary beneath the roadbed relative to its initial state under conditions of high embankment and low ground temperature.
Table 5 shows the mean values of each factor of typical high and low RSTDD and OD sections of QTH. The pile number ranges for Sections 1, 2, 3, and 4 are K2969+380 to K2978+280, K2933+480 to K2943+280, K3347+740 to K3355+020, and K3046+180 to K3056+720, respectively. It shows an inverse relationship between RSTDD/OD values and subgrade orientation. It can be seen that the RSTDD and OD of road sections 1 and 2 are more than 2 m, and the average trend is 13°and 17°, respectively. Among these, although the trend difference between Section 2 and Section 1 is small, the OD of Section 2 is 2.19 m higher than that of Section 1, which is mainly because the roadbed height of Section 2 is 0.98 m greater on average than that of Section 1, and the higher roadbed relates to an expanded slope area and intensified asymmetric thawing of the thaw plate. However, the ice content and MAGT do not show obvious regularity, which may be because their influence is relatively small, and it is difficult to show significant characteristics given the dominant role of strike and subgrade height. The comparison between Section 3 and Section 4 shows that although the subgrade height of Section 4 is significantly higher than that of Section 3, the difference in OD is not significant. This is because the trend of both is large, and the SSSE is small. Compared with Sections 1, 2, 3 and 4, it can be seen that the trend has the greatest influence on the RSTDD and OD.
Figure 15 shows the lengths and proportions of RSTDD and OD along the QTH. Figure 15a exhibits that most RSTDD values are less than 0.5 m, with a total length of 163.16 km, accounting for 48.28%. RSTDD values between 1 and 2 m rank second with a length of 98.1 km and a proportion of 29.03%. Values greater than 2 m account for 12.86% with a total length of 43.48 km. In contrast, OD values greater than 3 m have a length of 35.8 km, accounting for 10.59%. OD values between 2 and 3 m and 1 and 2 m have total lengths of 40.38 km and 76.8 km, accounting for 11.95% and 22.72% of the total, respectively, as shown in Figure 15b.

3.2. Characteristics of Morphological Indictors in Typical Geographic Regions

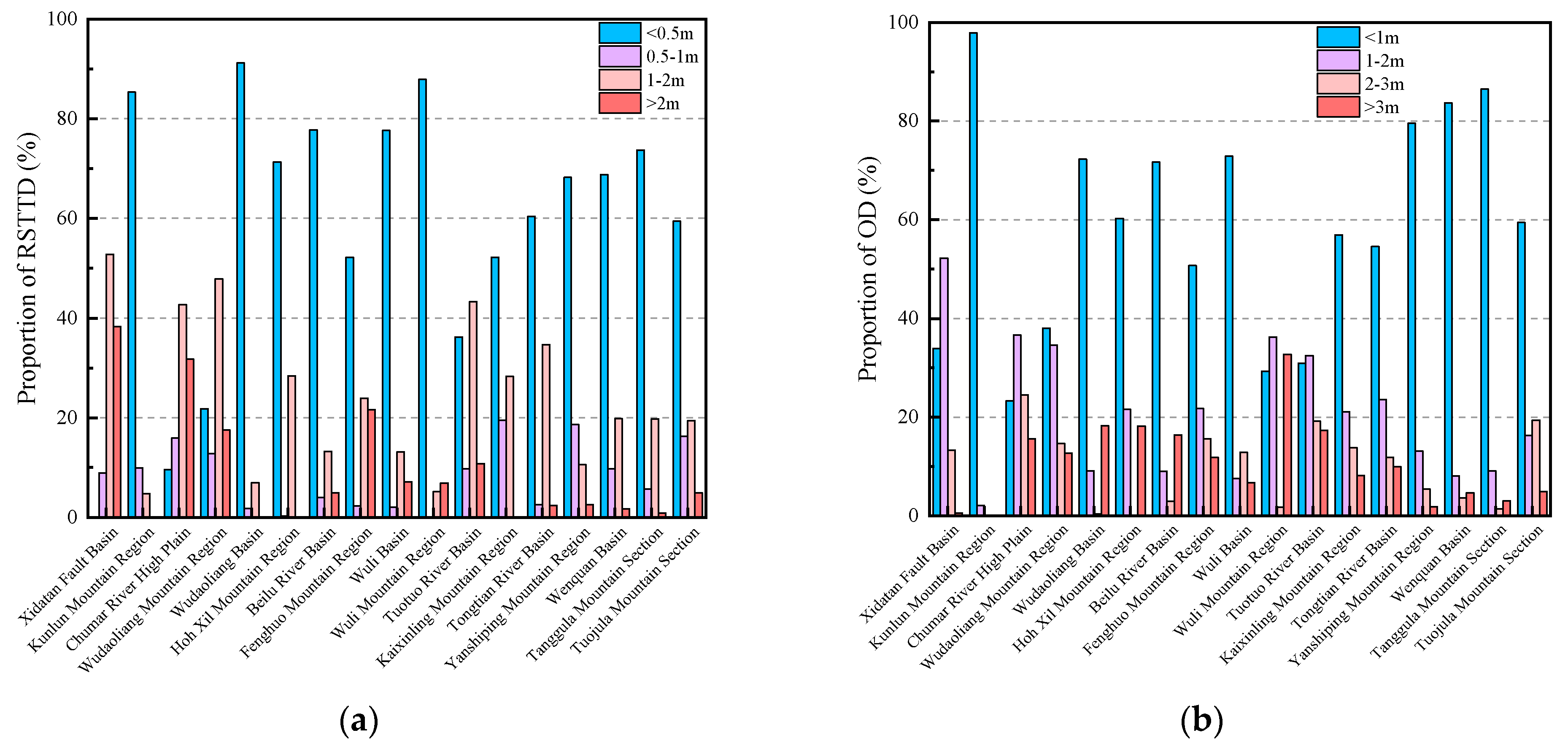
To investigate the distribution characteristics of morphological indictors in typical geographic regions, we divided the QTH into 17 typical segments. Figure 16 shows the proportions of different levels of RSTDD and OD for each section. As shown in Figure 16a, sections with RSTDD >2 m are most prominent in the Xidatan Faulted Basin, Chumar River High Plain, and Fenghuo Mountain Region, where the proportion exceeds 20%. The Wudaoliang Mountain Region also has a proportion above 15%. The RSTDD in the 1 to 2 m range exceeds 40% in the Xidatan Faulted Basin, Chumar River High Plain, Wudaoliang Mountain Region, and Tuotuo River Basin. In contrast, the proportion in the 0.5–1 m range is much lower: generally below 20%.
As shown in Figure 16b, sections with OD >3 m are primarily concentrated in the central part of the QTH particularly between the Chumar River High Plain and the Tongtian River Basin. The Wuli Mountain Region has the highest proportion of OD >3 m at 36.21%. An OD in the 1–2 m range is relatively high in the Xidatan Faulted Basin, reaching 52.22%, while the 2–3 m range is most prominent in the Chumar River High Plain. An OD <1 m is most prominent in the Kunlun Mountain Region, Wenquan Basin, and Tanggula Mountain Section, with proportions exceeding 80%.

3.3. Proportional Analysis of RSTDD and OD Across Factors

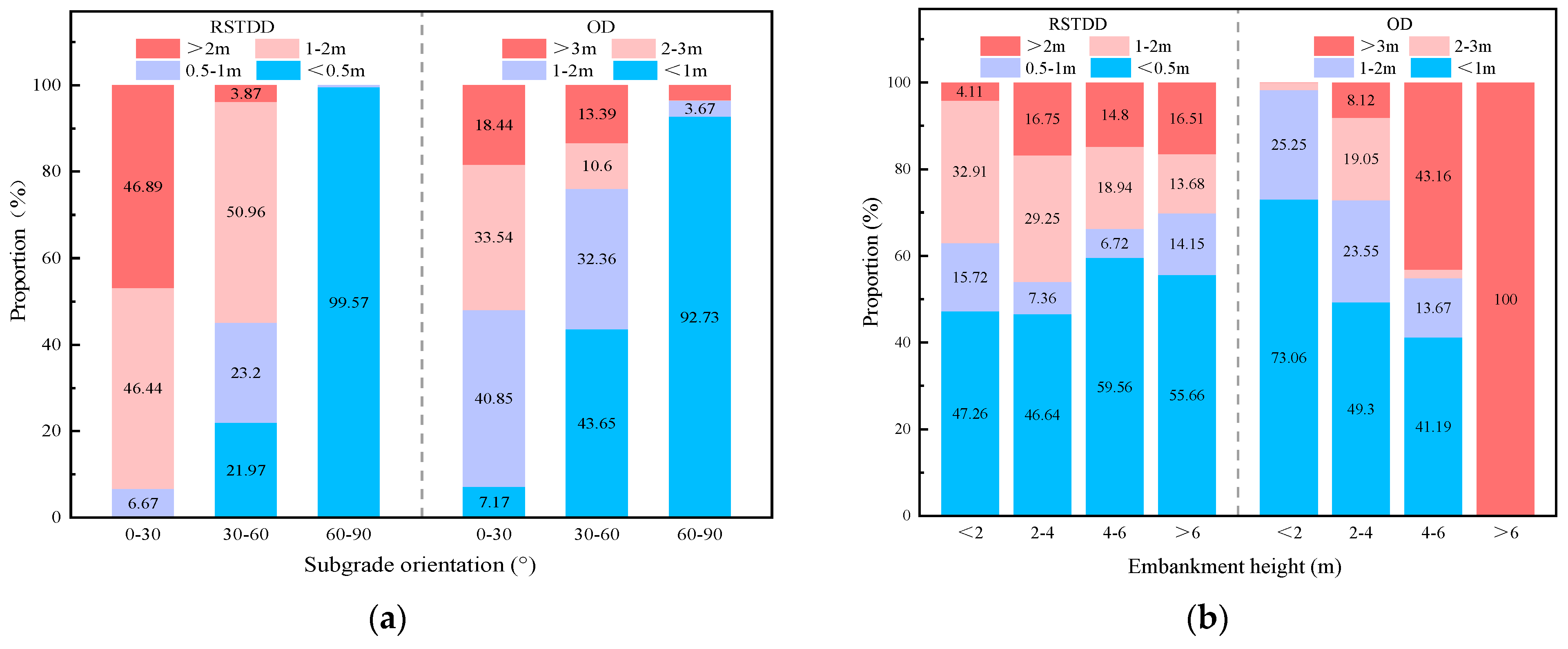
Figure 17 shows the distribution characteristics of RSTDD and OD under the influence of different ranges of factors. As shown in Figure 17a, the subgrade orientation has a significant controlling effect on RSTDD and OD. For subgrade orientations of 0–30°, 30–60°, and 60–90°, the proportions of RSTDD >1 m are 93.3%, 54.8%, and 0%, respectively. In the 60–90° range, the proportion of RSTDD <0.5 m reaches 99.57%, indicating minimal thawing differences in this range. For orientations of 0–30°, 30–60°, and 60–90°, the proportions of OD >2 m are 51.98%, 23.99%, and 3.6%, respectively.
The relationship between OD and embankment height is particularly notable. Specifically, when the embankment height is <2 m, the proportion of OD >3 m is only 0.04%. For embankment heights of 2–4 m, 4–6 m, and >6 m, the proportions increase to 8.12%, 43.16%, and 100%, respectively. In contrast, RSTDD is less affected by embankment height, as shown in Figure 17b. From Figure 17c, we can see that increasing ice content reduces the proportion of high RSTDD, while its effect on OD is weaker. For example, the proportion of OD >2 m consistently ranges between 19.18% and 24.43%. From 16d, we see that as MAGT increases, the proportions of high-RSTDD and high-OD areas grow, peaking in the −1.5 °C to −0.5 °C range.

4. Discussion

4.1. Analysis of RSTDD, OD, and ALTD Patterns and Mechanisms

Figure 18 illustrates the effects of subgrade orientation, embankment height, ice content, and MAGT on the three key indicators under standard working conditions with all other factors held constant. The standard working conditions were defined based on the most representative factor combinations observed along the highway, including a prevalent 3 m embankment height, more-ice permafrost, an MAGT of −1 °C, and an east–west orientation (0°), which demonstrated the most pronounced SSSE.
According to Figure 18a, both the RSTDD and OD decrease as the subgrade orientation increases. Specifically, the RSTDD remains relatively stable at approximately 2.6 m within the 0–15° range; however, beyond 15°, its decline rate significantly accelerates, approaching zero at 75°. The OD reaches its maximum (4 m) at 0°, decreases rapidly with increasing orientation, and stabilizes beyond 75°. This is because the orientation directly regulates the differential solar radiation reception on sunny and shady slopes (Equations (4) and (5)). When the orientation is 0°, the maximum difference in heat reception between the sunny and shady slopes can reach 190 × 106 J. As orientation increases, this thermal contrast diminishes significantly, decreasing to 4 × 106 J at 75° and −0.1 × 106 J at 90°. Consequently, the SSSE becomes negligible.
According to Figure 18b, both RSTDD and OD increase with embankment height, but their growth rate slows beyond 4 m, while OD exhibits a sharp increase at 6 m. This trend occurs because higher embankments increase the slope surface area, thereby amplifying the thermal disparity between the sunny and shady slopes. For example, compared to a 1 m embankment, a 6 m embankment results in a 23 × 106 J increase in the 20-year average thermal difference, corresponding to a 24.21% increase. However, the excessively high embankment height hinders the heat transfer to the deeper layers, resulting in the greatest thaw depth near the foot of the sunny slopes, so the offset varies drastically [32,33].
According to Figure 18c, the RSTDD slightly decreases with increasing ice content, whereas the OD remains largely unaffected by ice content. The reason for this is that under natural conditions, high-ice-content permafrost exhibits a greater specific heat capacity; however, its lower natural density and higher thermal conductivity act as compensatory factors. This dynamic balance leads to relatively small variations in thermal diffusivity across different ice content levels. Consequently, the thermal response becomes more uniform, thereby weakening the influence of ice content on the morphological development of sunny–shady slope asymmetry.
As can be seen in Figure 18d, the RSTDD shows a tendency of increasing and then decreasing with the increase in MAGT, and it reaches the maximum value at about −1.5 °C. This result is consistent with those from a previous study [34]. In contrast, OD is not significantly affected by MAGT, likely because OD and ALTD are more influenced by local heat input heterogeneity and localized heat transfer processes, whereas MAGT does not directly modify the local solar radiation distribution or heat flux differentials.
In contrast, the ALTD remains relatively stable and is largely insensitive to these environmental factors. This stability can be attributed to the lateral heat diffusion and latent heat buffering effect of phase transitions [35], which collectively limit heat penetration into deeper layers, thereby keeping ALTD at a consistently low level.

4.2. Impact Factors Weight Analysis

Table 6 ranks the importance of subgrade orientation, embankment height, ice content, and MAGT using the RF method. As shown in the table, subgrade orientation has the most significant impact on RSTDD with an importance of 49.84%. MAGT and embankment height also play crucial roles with importance values of 26.48% and 17.56%, respectively. MAGT is particularly influential in determining ALT with an importance as high as 80.58%, indicating that ground temperature is the primary controlling factor for ALT. The second most influential factor is embankment height with an importance of 10.44%. In contrast, OD is mainly influenced by subgrade orientation and embankment height with importance values of 51.80% and 35.82%, respectively.
To further validate the independence of model predictors, Pearson correlation analysis was conducted among subgrade orientation, embankment height, ice content, and MAGT. The results (Table 7) show that while some predictors exhibit statistically significant correlations (e.g., embankment height and MAGT, r = –0.24, p < 0.01), the overall correlation strength is weak (|r| < 0.30), indicating limited interdependence. Variance inflation factor (VIF) values for all variables are below 2 (Table 6), confirming the absence of multicollinearity. From a thermophysical perspective, although predictors may interact through processes such as solar radiation redistribution, thermal buffering, and latent heat absorption, these interactions appear to be mitigated or canceled at the spatial and thermal resolution used. Therefore, treating the predictors as independent in the model structure is reasonable and does not compromise interpretability.

4.3. Limitations

Despite the valuable insights provided by this study, several limitations should be acknowledged, primarily concerning data quality, model assumptions, and the scope of simulation scenarios. The spatial resolution of the remote sensing data used, particularly MODIS land surface temperature with a resolution of 1000 m, is insufficient to resolve fine-scale thermal variations along the embankment slopes. This limits the model’s ability to accurately capture localized asymmetries in heat absorption and distribution, especially in terrains with strong microclimatic differences. Although terrain correction and calibration were applied, such coarse resolution may still overlook subtle but critical heterogeneities. Furthermore, ice content—a key parameter influencing permafrost thermal and mechanical behavior—was derived from the interpolation of borehole measurements. In regions with sparse sampling density, this may introduce considerable uncertainty, affecting the reliability of simulation outputs.
Another important limitation lies in the modeling framework adopted. While the two-dimensional earth–atmosphere coupled numerical model, integrated with an RF regression algorithm, demonstrated good predictive performance for asymmetric thaw morphology, it inevitably imposes simplifications on physical processes. The model does not explicitly resolve three-dimensional heat transfer or lateral moisture migration during freeze–thaw cycles, which are known to play important roles in permafrost degradation and thaw-induced deformation. Moreover, the RF model, being purely data-driven, lacks intrinsic physical interpretability, making it difficult to directly relate output importance rankings to governing thermodynamic mechanisms. Although useful for large-scale predictions, such limitations constrain the model’s ability to simulate process-based feedbacks or extrapolate to non-observed boundary conditions.
The scope of simulation scenarios considered in this study was also restricted. The numerical experiments were based on idealized embankment geometries and assumed a linear climate warming trend without incorporating the effects of variable snow cover, surface water pooling, or engineered interventions such as insulation layers or heat pipes. Furthermore, extreme climate events—such as rapid warming pulses or intense precipitation—were not accounted for, although they can have significant short-term and long-term impacts on permafrost stability. These simplifications, while necessary to ensure computational tractability and isolate key mechanisms, limit the model’s applicability under future climate variability and diverse engineering conditions.
Future research should aim to overcome these limitations by incorporating high-resolution datasets derived from UAV thermal infrared surveys, advanced satellite imagery, and dense ground-based monitoring networks to improve model fidelity. Extending the existing 2D framework into 3D coupled thermo-hydro-mechanical models would enable the more realistic simulation of lateral heat fluxes and deformation patterns. Moreover, the inclusion of more comprehensive boundary conditions—such as transient meteorological forcing, engineered subgrade treatments, and stochastic climate perturbations—will enhance the model’s robustness and practical applicability to infrastructure resilience planning in permafrost regions.

5. Conclusions

In this work, based on remote sensing and large-scale geological survey data combined with the earth–atmosphere coupled numerical model, RF models were developed to predict the morphological characteristics of the asymmetric thaw plate of permafrost subgrade along the QTH. The main conclusions are as follows:
(1)
The values of ALTD are overall very small and almost unaffected by the SSSE. The RSTDD ranges from 0 to 3.38 m with an average value of 0.89 m, and the offset ranges from 0 to 8.65 m with an average value of 1.43 m, which is greatly affected by the SSSE;
(2)
The asymmetry thaw indictors show obvious spatial differences in different geographical regions of the QTH. The length of the RSTDD greater than 2 m is 43.48 km, accounting for 12.86%, which is concentrated in the Xidatan Faulted Basin, Chumar River High Plain, and Fenghuo Mountain Region. The length with an OD greater than 3 m is 35.8 km, accounting for 10.59%, which is mainly distributed in the middle of the QTH, especially in the area from the Chumar River High Plain to the Tongtian River Basin;
(3)
The RSTDD and OD decrease first and then tend to become stable with the increase in the subgrade orientation, and they increase with the increase in the embankment height. With the increase in MAGT, the RSTDD first increases and then tends to be stable, while the OD is not significantly affected by MAGT. The ALTD is less affected by each influencing factor, and the variation range is limited;
(4)
RSTDD is most affected by subgrade orientation with an importance of 49.84%. The OD is mainly affected by subgrade orientation and embankment height with importance values of 51.80% and 35.82%, respectively. The influence of MAGT on the ALT is particularly significant with an importance of 80.58%.

Author Contributions

Conceptualization, J.H. and F.C.; methodology, J.H., Z.L., F.C. and J.C.; writing—original draft, J.H., Z.Z. and X.L.; writing—review and editing, F.C., Z.L., X.L. and Z.Z.; investigation, J.C. and Z.L.; resources, J.C., Z.L. and F.C.; data curation, J.H., J.L. and Z.Z.; formal analysis, J.H., W.L. and J.L.; validation, F.C. and W.L. All authors have read and agreed to the published version of the manuscript.

Funding

This research was supported by the National Science Foundation of China (Grant No. 42371149, 42230712) and the open fund of National Key Laboratory of Green and Long-Life Road Engineering in Extreme Environment (YGY2021KFKT03).

Institutional Review Board Statement

Not applicable.

Informed Consent Statement

Not applicable.

Data Availability Statement

The data presented in this study are available on request from the corresponding author.

Conflicts of Interest

Author Jianbing Chen was employed by the company CCCC First Highway Consultants Co. Ltd. The remaining authors declare that the research was conducted in the absence of any commercial or financial relationships that could be construed as a potential conflict of interest.

References

  1. Yang, K.F. Study on the Thermal Effect and Treatment Measures of Sunny–shady Slope on the Permafrost Embankment Along the Qinghai–Tibet Highway. Master’s Thesis, Lanzhou University of Technology, Lanzhou, China, 2018. [Google Scholar]
  2. Yu, Q.H.; Fan, K.; You, Y.H.; Guo, L.; Yuan, C. Comparative analysis of temperature variation characteristics of permafrost roadbeds with different widths. Cold Reg. Sci. Technol. 2015, 117, 12–18. [Google Scholar] [CrossRef]
  3. Liu, Z.Y.; Wang, S.W.; Jiang, Z.Y.; Dong, Y.H.; Chen, J.B.; Cui, F.Q. Study on the coupling thermal effect of thermokarst lake and high sunny slope on permafrost embankment. Transp. Geotech. 2023, 41, 101024. [Google Scholar] [CrossRef]
  4. Lan, A.Y.; Lin, Z.J.; Fan, X.W.; Yao, M.M. Differences of surface energy and shallow soil temperature and humidity at sunny and shady slopes in permafrost region, Beiluhe Basin, Qinghai–Tibet Plateau. Adv. Earth Sci. 2021, 36, 962–979. [Google Scholar] [CrossRef]
  5. Hu, D.; Yu, W.B.; Yi, X.; Han, F.L. Boundary temperature features of the embankment in Qumar River region along the Qinghai–Tibet transportation engineering corridor. J. Glaciol. Geocryol. 2016, 38, 1332–1339. [Google Scholar] [CrossRef]
  6. Song, Y.; Jin, L.; Peng, H.; Liu, H. Development of thermal and deformation stability of Qinghai–Tibet Highway under sunny–shady slope effect in southern Tanglha region in recent decade. Soils Found. 2020, 60, 342–355. [Google Scholar] [CrossRef]
  7. Liu, G.; Fan, K.; Zhu, D.P.; Zhang, J.Z. Research of subgrade damages caused by the thaw settlement offset and their disposal measures in permafrost regions. Highway 2008, 324–327. [Google Scholar]
  8. Chou, Y.; Sheng, Y.; Li, Y.W.; Wei, Z.M.; Zhu, Y.P.; Li, J.P. Sunny-shady slope effect on the thermal and deformation stability of the highway embankment in warm permafrost regions. Cold Reg. Sci. Technol. 2010, 63, 78–86. [Google Scholar] [CrossRef]
  9. Ren, J.J.; Zhang, K.Y.; Zheng, J.L.; Wei, H.; Zhang, Y.C.; Du, W.; Ye, W.L. Railway subgrade thermal-hydro-mechanical behavior and track irregularity under the sunny–shady slopes effect in seasonal frozen regions. J. Cent. South Univ. 2022, 29, 3793–3810. [Google Scholar] [CrossRef]
  10. Chen, L.; Yu, W.B.; Zhang, T.Q.; Yi, X. Asymmetric Talik formation beneath the embankment of Qinghai–Tibet Highway triggered by the sunny–shady effect. Energy 2023, 266, 126472. [Google Scholar] [CrossRef]
  11. Tai, B.W.; Liu, J.K.; Yue, Z.R.; Liu, J.Y.; Tian, Y.H.; Wang, T.F. Effect of sunny–shady slopes and strike on thermal regime of subgrade along a high-speed railway in cold regions, China. Eng. Geol. 2018, 232, 182–191. [Google Scholar] [CrossRef]
  12. Chou, Y.L.; Sheng, Y.; Ma, W. Study on the effect of the thermal regime differences in roadbed slopes on their thawing features in permafrost regions of the Qinghai–Tibetan Plateau. Cold Reg. Sci. Technol. 2008, 53, 334–345. [Google Scholar] [CrossRef]
  13. Zhang, M.Y.; Pei, W.S.; Li, S.Y.; Lu, J.G.; Jin, L. Experimental and numerical analyses of the thermo-mechanical stability of an embankment with shady and sunny slopes in a permafrost region. Appl. Therm. Eng. 2017, 127, 1478–1487. [Google Scholar] [CrossRef]
  14. Liu, Z.Y.; Chen, J.B.; Jin, L.; Zhang, Y.J.; Lei, C. Roadbed temperature study based on earth-atmosphere coupled system in permafrost regions of the Qinghai–Tibet Plateau. Cold Reg. Sci. Technol. 2013, 86, 167–176. [Google Scholar] [CrossRef]
  15. Liu, Z.Y.; Zhu, Y.; Chen, J.B.; Cui, F.Q.; Zhu, W.; Liu, J.N.; Yu, H. Risk zoning of permafrost thaw settlement in the Qinghai–Tibet Engineering Corridor. Remote Sens. 2023, 15, 3913. [Google Scholar] [CrossRef]
  16. Ye, M.; Hufangfu, Y.F.; Mao, X.S. Freeze depth predicting of permafrost subgrade based on moisture and thermal coupling model. KSCE J. Civ. Eng. 2015, 19, 1707–1715. [Google Scholar] [CrossRef]
  17. Deng, Q.S.; Liu, X.; Zeng, C.; He, X.Z.; Chen, F.G.; Zhang, S.Y. A freezing-thawing damage characterization method for highway subgrade in seasonally frozen regions based on thermal-hydraulic-mechanical coupling model. Sensors 2021, 21, 6251. [Google Scholar] [CrossRef] [PubMed]
  18. Fang, J.H.; Liu, J.K. Analysis of long-term changes for thermal regime of permafrost underlying subgrade along national highway G214. China J. Highw. Transp. 2016, 29, 25–32. [Google Scholar]
  19. Tang, C.X.; Zhu, Z.Y.; Ma, Y.; Yao, Z.; Tan, Q.T.; Liu, Z.Y.; Xu, J.; Zheng, S.C. Numerical simulation for vibration-induced settlement and permanent deformation accumulation in permafrost subgrades of the Qinghai–Tibet Railway. Comput. Geotech. 2024, 167, 106047. [Google Scholar] [CrossRef]
  20. Planning Institute of the Ministry of Transport. Available online: https://www.tpri.org.cn/n189/n1517/c408059/content.html (accessed on 13 December 2024).
  21. Chen, J.B.; Liu, Z.Y.; Cui, F.Q.; Jin, L. Permafrost Identification and Annual Mean Ground Temperatures Prediction Model for Qinghai–Tibet Engineering Corridor. China J. Highw. Transp. 2015, 28, 33–41+56. [Google Scholar] [CrossRef]
  22. GB 50324-2014; Ministry of Housing and Urban-Rural Development of the People’s Republic of China. Technical Code for Geotechnical Investigation of Permafrost Engineering (GB 50324-2014). China Architecture & Building Press: Beijing, China, 2014; p. 18.
  23. Xu, X.Z.; Wang, J.C.; Zhang, L.X. Physics of Frozen Soils; Science Press: Beijing, China, 2001; pp. 78–83. [Google Scholar]
  24. Zhang, W. Study on Thermal Effect of Layered Interface and Temperature Control Effect and Energy Consumption of Mechanical Ventilation for Permafrost Embankment of Qinghai–Tibet Expressway. Master’s Thesis, Chang’an University, Xi’an, China, 2021. [Google Scholar] [CrossRef]
  25. Qiao, Y.L.; Gu, S.; Tang, Y.H.; Du, M.Y.; Gao, Y.B. Characteristics of diffuse radiation on the Qinghai–Tibetan Plateau. Acta Sci. Nat. Univ. Nankai. 2004, 41, 69–78. [Google Scholar] [CrossRef]
  26. Wang, T.X. Study on Calculation Principles and Critical Height of Subgrades in Permafrost Regions. Master’s Thesis, Chang’an University, Xi’an, China, 2001. [Google Scholar] [CrossRef]
  27. Cheng, G.D.; Wang, S.L. On the classification of high-altitude permafrost zones in China. J. Glaciol. Geocryol. 1982, 1–17. [Google Scholar]
  28. Wang, P.X.; Qi, X.; Li, L.; Wang, L.; Xu, L.X. Estimation of Maize Yield Based on Random Forest Regression. Trans. Chin. Soc. Agric. Mach. 2019, 50, 237–245. [Google Scholar] [CrossRef]
  29. Fan, X.W.; Li, W.J.; Wu, X.Y.; Yao, M.M.; Niu, F.J.; Lin, Z.J. Heterogeneity of Surface Heat Exchange of Slopes and Potential Drivers of the Initiation of Thaw Slump, Qinghai–Tibet Plateau. Int. J. Disaster Risk Sci. 2023, 14, 549–565. [Google Scholar] [CrossRef]
  30. Bi, G.Q.; Yang, K.F.; Mu, Y.H.; Chen, T. Investigation of thermal effect of sunny–shady slope of permafrost embankment of Qinghai–Tibet Highway. J. Lanzhou Univ. Technol. 2019, 45, 135–142. [Google Scholar] [CrossRef]
  31. Mei, Q.H.; Chen, J.; Zhang, S.H.; Hou, X.; Zhao, J.Y.; Wang, J.C.; Dang, H.M.; Liu, G.J.; Wu, G.L. Experimental and numerical analyses of the thermal regime of a traditional embankment in permafrost regions. Adv. Mater. Sci. Eng. 2021, 2021, 7185616. [Google Scholar] [CrossRef]
  32. Hou, Z.J.; Mao, X.S.; Ma, B. Influence of climatic factors on subgrade diseases of the Qinghai–Tibet Highway. Tibet Sci. Technol. 2006, 49–50. [Google Scholar] [CrossRef]
  33. Wang, S.J.; Chen, J.B.; Jin, L.; Dong, Y.H. Research advances and prospect of scale effect theory of permafrost roadbed. Ind. Constr. 2023, 53, 45–53. [Google Scholar] [CrossRef]
  34. Yang, J.F. Study on the Changes of Moisture and Heat Impact on the Longitudinal Cracks of Subgrade in Qinghai–Tibet Highway. Master’s Thesis, Chang’an University, Xi’an, China, 2013. [Google Scholar] [CrossRef]
  35. Wang, W.N.; Qin, H.; Li, X.F.; Chen, H.Q.; Wang, D. Numerical Simulation of the Temperature Field and Deformation of Subgrade for Sunny–shady Slopes in a Seasonal Frozen Region. J. Highw. Transp. Res. Dev. 2018, 12, 26–35. [Google Scholar] [CrossRef]
Figure 1. Seismic surface wave inversion test for permafrost subgrade and proposed morphological indicators of asymmetric thaw plate.
Figure 1. Seismic surface wave inversion test for permafrost subgrade and proposed morphological indicators of asymmetric thaw plate.
Remotesensing 17 01718 g001
Figure 2. Technical approach to derive the spatial distribution characteristics of morphological indictors along the QTH.
Figure 2. Technical approach to derive the spatial distribution characteristics of morphological indictors along the QTH.
Remotesensing 17 01718 g002
Figure 3. Spatial distribution of ground temperature monitoring sites.
Figure 3. Spatial distribution of ground temperature monitoring sites.
Remotesensing 17 01718 g003
Figure 4. Spatial distribution of ice content borehole sites and interpolation results: (a) drilling borehole location; (b) ice content interpolation results.
Figure 4. Spatial distribution of ice content borehole sites and interpolation results: (a) drilling borehole location; (b) ice content interpolation results.
Remotesensing 17 01718 g004
Figure 5. Statistics of embankment heights along the QTH.
Figure 5. Statistics of embankment heights along the QTH.
Remotesensing 17 01718 g005
Figure 6. Rose diagram of subgrade orientation along the QTH.
Figure 6. Rose diagram of subgrade orientation along the QTH.
Remotesensing 17 01718 g006
Figure 7. Computational model of permafrost subgrade.
Figure 7. Computational model of permafrost subgrade.
Remotesensing 17 01718 g007
Figure 8. Estimation flowchart of talik area and MAGT based on the RF method.
Figure 8. Estimation flowchart of talik area and MAGT based on the RF method.
Remotesensing 17 01718 g008
Figure 9. Prediction results of MAGT.
Figure 9. Prediction results of MAGT.
Remotesensing 17 01718 g009
Figure 10. Flowchart of estimation of uplift, RSTDD, OD, and ALTD using the RF method.
Figure 10. Flowchart of estimation of uplift, RSTDD, OD, and ALTD using the RF method.
Remotesensing 17 01718 g010
Figure 11. Model training performance: (a) MAGT; (b) RSTDD; (c) OD; (d) ALT.
Figure 11. Model training performance: (a) MAGT; (b) RSTDD; (c) OD; (d) ALT.
Remotesensing 17 01718 g011
Figure 12. Distribution of ALTD along the QTH.
Figure 12. Distribution of ALTD along the QTH.
Remotesensing 17 01718 g012
Figure 13. Annual average heat flux at the embankment–ground interface under SSSE and non-SSSE conditions.
Figure 13. Annual average heat flux at the embankment–ground interface under SSSE and non-SSSE conditions.
Remotesensing 17 01718 g013
Figure 14. Zoning maps of RSTDD and OD along the QTH: (a) RSTDD; (b) OD.
Figure 14. Zoning maps of RSTDD and OD along the QTH: (a) RSTDD; (b) OD.
Remotesensing 17 01718 g014
Figure 15. Lengths and proportions at different levels: (a) RSTDD; (b) OD.
Figure 15. Lengths and proportions at different levels: (a) RSTDD; (b) OD.
Remotesensing 17 01718 g015
Figure 16. Proportion at different levels for each section: (a) RSTDD; (b) OD.
Figure 16. Proportion at different levels for each section: (a) RSTDD; (b) OD.
Remotesensing 17 01718 g016
Figure 17. Distribution of RSTDD and OD proportions across different levels: (a) subgrade orientation; (b) embankment height; (c) ice content; (d) MAGT.
Figure 17. Distribution of RSTDD and OD proportions across different levels: (a) subgrade orientation; (b) embankment height; (c) ice content; (d) MAGT.
Remotesensing 17 01718 g017aRemotesensing 17 01718 g017b
Figure 18. Variations in RSTDD, OD, and ALTD under different factors: (a) subgrade orientation; (b) embankment height; (c) ice content; (d) MAGT.
Figure 18. Variations in RSTDD, OD, and ALTD under different factors: (a) subgrade orientation; (b) embankment height; (c) ice content; (d) MAGT.
Remotesensing 17 01718 g018aRemotesensing 17 01718 g018b
Table 1. Data collections for predicting the spatial distribution characteristic of morphological indictors along the QTH.
Table 1. Data collections for predicting the spatial distribution characteristic of morphological indictors along the QTH.
Data TypeData NameData Description
Remote sensing dataSurface temperature, NDVI, DEM, latitude, equivalent latitudeWithin 2.5 km on both sides of the QTH
Field monitoring dataMAGTTotal of 612 ground temperature monitoring holes
Drilling dataIce contentTotal of 2188 permafrost drilling samples
Survey dataEmbankment heightCollected at 5 m or 20 m intervals along the QTH
QTH engineering design dataSubgrade orientationCollected at 20 m intervals along the QTH
Table 2. Remote sensing data sources.
Table 2. Remote sensing data sources.
DataSourceResolution
Surface temperatureMOD11A2 V6.1 (2002–2022)1000 m
NDVILandsat (2002–2018)30 m
DEM, latitude, equivalent latitudeMODIS SRTM DEM-V330 m
Table 3. Thermal properties of different soil types.
Table 3. Thermal properties of different soil types.
Ice ContentSDFBH
ω (%)10.5917.2223.8939.3764.49
ρ (kg·m−3)23772029198718961750
λf1 (W·m−1·K−1)1.9082.0532.1232.1182.124
λu2 (W·m−1·K−1)1.5831.631.5631.51.5
λf1 represents the thermal conductivity of frozen soil; λu2 represents the thermal conductivity of unfrozen soil.
Table 4. Orthogonal design of numerical calculation and its influencing factors and levels.
Table 4. Orthogonal design of numerical calculation and its influencing factors and levels.
FactorsLevels
Subgrade orientation0° 15° 30° 45° 60° 75° 90°
Embankment height1 m 2 m 3 m 4 m 5 m 6 m
Ice contentS D F B H
MAGT−3 °C −2.5 °C −2 °C −1.5 °C −1 °C −0.5 °C
Table 5. Mean values of influencing factors for typical sections.
Table 5. Mean values of influencing factors for typical sections.
SectionRSTDD (m)OD (m)Subgrade Orientation (°)Embankment Height (m)Ice ContentMAGT (°C)
12.392.63132.67F−1.10
22.334.82173.65B−0.89
30.360.41680.93S−1.40
40.100.53773.16D−0.90
Table 6. Significance analysis and VIF of impact factors.
Table 6. Significance analysis and VIF of impact factors.
Importance (%)RSTDDVIFALTVIFODVIF
Subgrade orientation49.841.0231.71.05651.801.034
Embankment height17.561.08810.441.08935.821.066
Ice content6.121.027.281.0468.311.033
MAGT26.481.06280.581.0734.071.054
Table 7. Correlation and multicollinearity analysis among predictors.
Table 7. Correlation and multicollinearity analysis among predictors.
Subgrade OrientationEmbankment HeightIce ContentMAGTRSTDDODALT
Subgrade orientation10.03−0.140.05−0.69 **−0.65 **−0.00
Embankment height0.031−0.09−0.24 **0.17 *0.53 **−0.49 **
Ice content−0.14−0.091−0.01−0.07−0.07−0.28 **
MAGT0.05−0.24 **−0.0110.21 *−0.130.79 **
Note: “*” represents p < 0.05; “**” represents p < 0.01.
Disclaimer/Publisher’s Note: The statements, opinions and data contained in all publications are solely those of the individual author(s) and contributor(s) and not of MDPI and/or the editor(s). MDPI and/or the editor(s) disclaim responsibility for any injury to people or property resulting from any ideas, methods, instructions or products referred to in the content.

Share and Cite

MDPI and ACS Style

Hao, J.; Zhao, Z.; Chen, J.; Liu, Z.; Cui, F.; Liu, X.; Lu, W.; Liu, J. Prediction of the Morphological Characteristics of Asymmetric Thaw Plate of Qinghai–Tibet Highway Using Remote Sensing and Large-Scale Geological Survey Data. Remote Sens. 2025, 17, 1718. https://doi.org/10.3390/rs17101718

AMA Style

Hao J, Zhao Z, Chen J, Liu Z, Cui F, Liu X, Lu W, Liu J. Prediction of the Morphological Characteristics of Asymmetric Thaw Plate of Qinghai–Tibet Highway Using Remote Sensing and Large-Scale Geological Survey Data. Remote Sensing. 2025; 17(10):1718. https://doi.org/10.3390/rs17101718

Chicago/Turabian Style

Hao, Jianbin, Zhenyang Zhao, Jianbing Chen, Zhiyun Liu, Fuqing Cui, Xiaona Liu, Wenting Lu, and Jine Liu. 2025. "Prediction of the Morphological Characteristics of Asymmetric Thaw Plate of Qinghai–Tibet Highway Using Remote Sensing and Large-Scale Geological Survey Data" Remote Sensing 17, no. 10: 1718. https://doi.org/10.3390/rs17101718

APA Style

Hao, J., Zhao, Z., Chen, J., Liu, Z., Cui, F., Liu, X., Lu, W., & Liu, J. (2025). Prediction of the Morphological Characteristics of Asymmetric Thaw Plate of Qinghai–Tibet Highway Using Remote Sensing and Large-Scale Geological Survey Data. Remote Sensing, 17(10), 1718. https://doi.org/10.3390/rs17101718

Note that from the first issue of 2016, this journal uses article numbers instead of page numbers. See further details here.

Article Metrics

Back to TopTop