Spatiotemporal Dynamics of Habitat Quality in Semi-Arid Regions: A Case Study of the West Songnen Plain, China
Abstract
1. Introduction
2. Materials and Methods
2.1. Overview of the Study Area
2.2. Data Sources and Preprocessing
2.3. Research Methods
2.3.1. Object-Based Image Analysis
2.3.2. Random Forest
2.3.3. InVEST Model
2.3.4. Variation in Habitat Quality Analysis
2.3.5. Spatial Autocorrelation and Hot-Spot Analysis
3. Results
3.1. Spatiotemporal Characteristics of Land Cover Change from 1990 to 2020
3.2. Spatial and Temporal Patterns of Habitat Quality
3.2.1. Spatial Distribution of Habitat Quality
3.2.2. Temporal Changes in Habitat Quality
3.3. Analysis of Habitat Quality Changes from Different Perspectives
3.3.1. Analysis of Habitat Quality Changes Across Different Land Cover Types
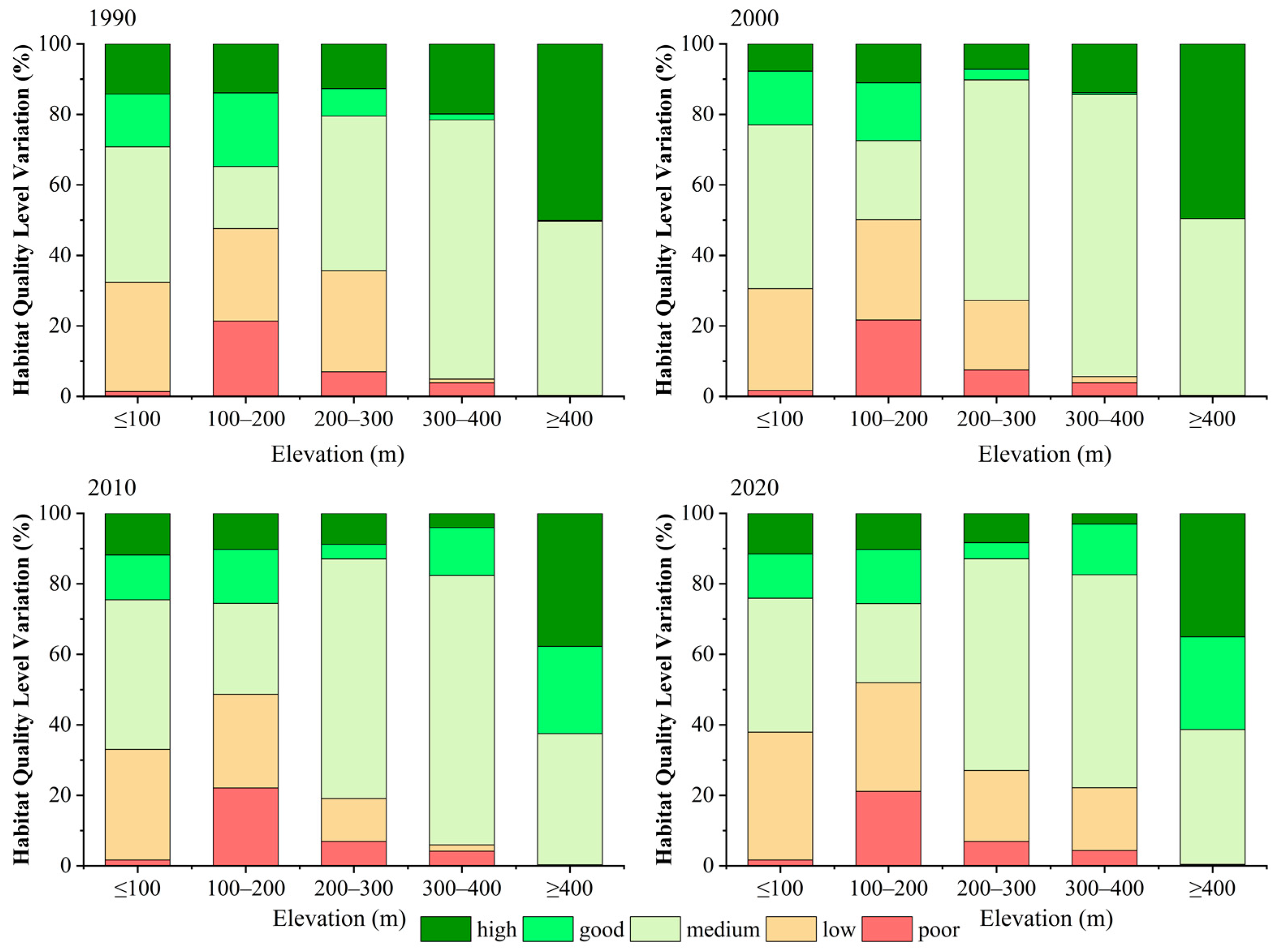
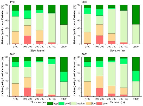
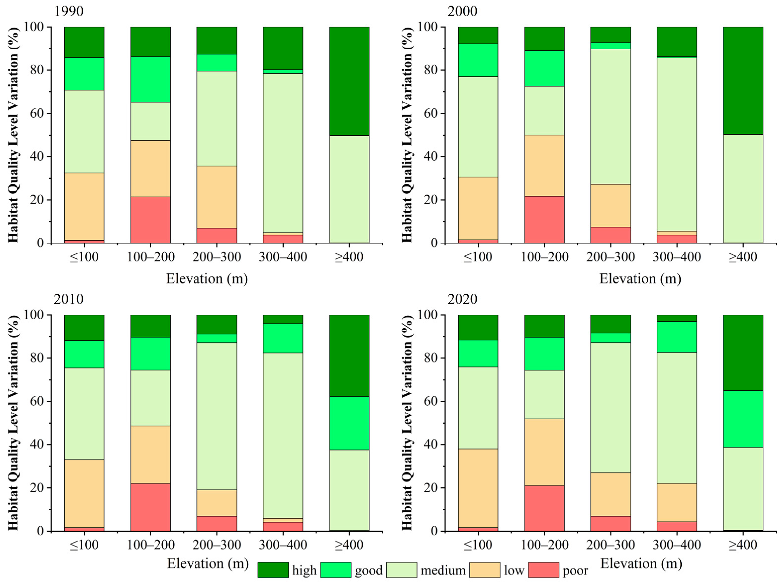
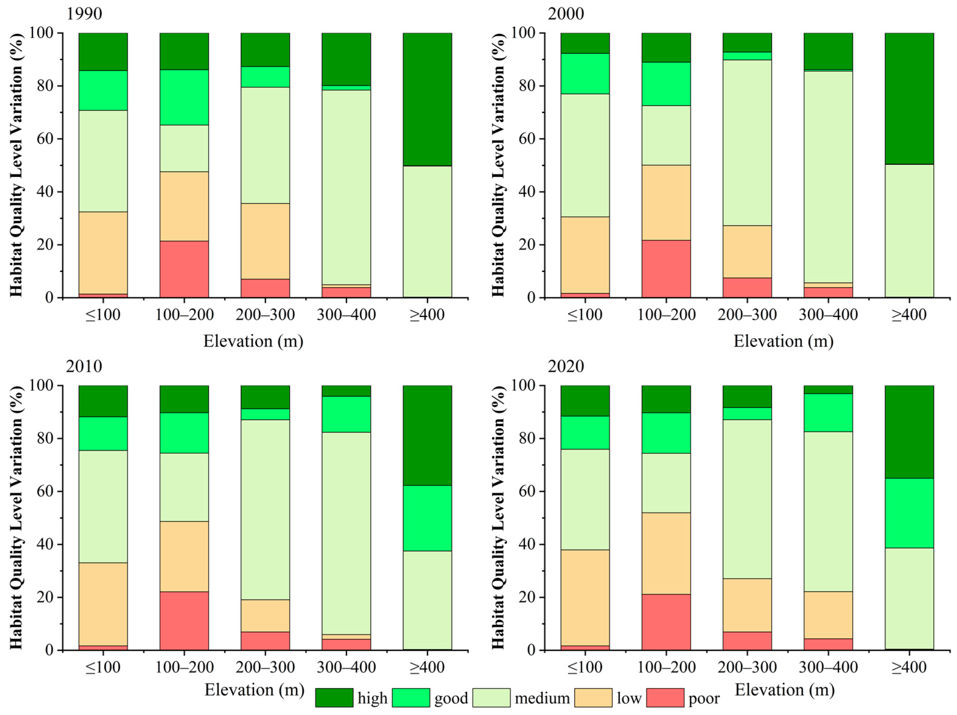
3.3.2. Analysis of Habitat Quality Changes at Different Elevations
3.4. Spatial Statistical Analysis of Habitat Quality Changes
4. Discussion
4.1. Comparison with Existing Land Cover Datasets
4.2. Correlation Analysis
4.3. The Influence of Policy Factors
4.4. Limitations and Prospective
5. Conclusions
Author Contributions
Funding
Data Availability Statement
Conflicts of Interest
References
- Hall, L.S.; Krausman, P.R.; Morrison, M.L. The Habitat Concept and a Plea for Standard Terminology. Wildl. Soc. B 1997, 25, 173–182. [Google Scholar]
- Wang, J.; Wu, Y.; Gou, A. Habitat Quality Evolution Characteristics and Multi-Scenario Prediction in Shenzhen Based on PLUS and InVEST Models. Front. Environ. Sci. 2023, 11, 1146347. [Google Scholar] [CrossRef]
- Turner, W.; Rondinini, C.; Pettorelli, N.; Mora, B.; Leidner, A.K.; Szantoi, Z.; Buchanan, G.; Dech, S.; Dwyer, J.; Herold, M.; et al. Free and Open-Access Satellite Data Are Key to Biodiversity Conservation. Biol. Conserv. 2015, 182, 173–176. [Google Scholar] [CrossRef]
- Bai, L.; Xiu, C.; Feng, X.; Liu, D. Influence of Urbanization on Regional Habitat Quality:A Case Study of Changchun City. Habitat Int. 2019, 93, 102042. [Google Scholar] [CrossRef]
- Pradhan, P.; Costa, L.; Rybski, D.; Lucht, W.; Kropp, J.P. A Systematic Study of Sustainable Development Goal (SDG) Interactions. Earth’s Future 2017, 5, 1169–1179. [Google Scholar] [CrossRef]
- Chen, S.; Liu, X. Spatio-Temporal Variations of Habitat Quality and Its Driving Factors in the Yangtze River Delta Region of China. Glob. Ecol. Conserv. 2024, 52, e02978. [Google Scholar] [CrossRef]
- Ren, Q.; He, C.; Huang, Q.; Shi, P.; Zhang, D.; Güneralp, B. Impacts of Urban Expansion on Natural Habitats in Global Drylands. Nat. Sustain. 2022, 5, 869–878. [Google Scholar] [CrossRef]
- Yohannes, H.; Soromessa, T.; Argaw, M.; Dewan, A. Spatio-Temporal Changes in Habitat Quality and Linkage with Landscape Characteristics in the Beressa Watershed, Blue Nile Basin of Ethiopian Highlands. J. Environ. Manag. 2021, 281, 111885. [Google Scholar] [CrossRef]
- Wei, L.; Zhou, L.; Sun, D.; Yuan, B.; Hu, F. Evaluating the Impact of Urban Expansion on the Habitat Quality and Constructing Ecological Security Patterns: A Case Study of Jiziwan in the Yellow River Basin, China. Ecol. Indic. 2022, 145, 109544. [Google Scholar] [CrossRef]
- Wen, S.; Wang, Y.; Tang, T.; Su, C.; Li, B.; Bilal, M.A.; Meng, Y. The Spatial-Temporal Patterns and Driving Mechanisms of the Ecological Barrier Transition Zone in the Western Jilin, China. Land 2024, 13, 856. [Google Scholar] [CrossRef]
- Li, X.; Li, Y.; Wang, B.; Sun, Y.; Cui, G.; Liang, Z. Analysis of Spatial-Temporal Variation of the Saline-Sodic Soil in the West of Jilin Province from 1989 to 2019 and Influencing Factors. Catena 2022, 217, 106492. [Google Scholar] [CrossRef]
- Hong, H.-J.; Kim, C.-K.; Lee, H.-W.; Lee, W.-K. Conservation, Restoration, and Sustainable Use of Biodiversity Based on Habitat Quality Monitoring: A Case Study on Jeju Island, South Korea (1989–2019). Land 2021, 10, 774. [Google Scholar] [CrossRef]
- Fei, L.; Shuwen, Z.; Jiuchun, Y.; Liping, C.; Haijuan, Y.; Kun, B. Effects of Land Use Change on Ecosystem Services Value in West Jilin since the Reform and Opening of China. Ecosyst. Serv. 2018, 31, 12–20. [Google Scholar] [CrossRef]
- Wen, S.; Wang, Y.; Song, H.; Liu, H.; Sun, Z.; Bilal, M.A. Integrated Predictive Modeling and Policy Factor Analysis for the Land Use Dynamics of the Western Jilin. Atmosphere 2024, 15, 288. [Google Scholar] [CrossRef]
- Wang, Z.; Song, K.; Zhang, B.; Liu, D.; Ren, C.; Luo, L.; Yang, T.; Huang, N.; Hu, L.; Yang, H.; et al. Shrinkage and Fragmentation of Grasslands in the West Songnen Plain, China. Agric. Ecosyst. Environ. 2009, 129, 315–324. [Google Scholar] [CrossRef]
- Yan, S.; Wang, X.; Cai, Y.; Li, C.; Yan, R.; Cui, G.; Yang, Z. An Integrated Investigation of Spatiotemporal Habitat Quality Dynamics and Driving Forces in the Upper Basin of Miyun Reservoir, North China. Sustainability 2018, 10, 4625. [Google Scholar] [CrossRef]
- Tian, Z.; Huo, D.; Yi, K.; Que, J.; Lu, Z.; Hou, J. Evaluation of Suitable Habitats for Birds Based on MaxEnt and Google Earth Engine—A Case Study of Baer’s Pochard (Aythya Baeri) in Baiyangdian, China. Remote Sens. 2023, 16, 64. [Google Scholar] [CrossRef]
- Muposhi, V.K.; Gandiwa, E.; Chemura, A.; Bartels, P.; Makuza, S.M.; Madiri, T.H. Habitat Heterogeneity Variably Influences Habitat Selection by Wild Herbivores in a Semi-Arid Tropical Savanna Ecosystem. PLoS ONE 2016, 11, e0163084. [Google Scholar] [CrossRef]
- Wang, H.; Tang, L.; Qiu, Q.; Chen, H. Assessing the Impacts of Urban Expansion on Habitat Quality by Combining the Concepts of Land Use, Landscape, and Habitat in Two Urban Agglomerations in China. Sustainability 2020, 12, 4346. [Google Scholar] [CrossRef]
- Zlinszky, A.; Heilmeier, H.; Balzter, H.; Czúcz, B.; Pfeifer, N. Remote Sensing and GIS for Habitat Quality Monitoring: New Approaches and Future Research. Remote Sens. 2015, 7, 7987–7994. [Google Scholar] [CrossRef]
- Nelson, E.; Mendoza, G.; Regetz, J.; Polasky, S.; Tallis, H.; Cameron, D.; Chan, K.M.; Daily, G.C.; Goldstein, J.; Kareiva, P.M.; et al. Modeling Multiple Ecosystem Services, Biodiversity Conservation, Commodity Production, and Tradeoffs at Landscape Scales. Front. Ecol. Environ. 2009, 7, 4–11. [Google Scholar] [CrossRef]
- Boumans, R.; Roman, J.; Altman, I.; Kaufman, L. The Multiscale Integrated Model of Ecosystem Services (MIMES): Simulating the Interactions of Coupled Human and Natural Systems. Ecosyst. Serv. 2015, 12, 30–41. [Google Scholar] [CrossRef]
- Xie, B.; Zhang, M. Spatio-Temporal Evolution and Driving Forces of Habitat Quality in Guizhou Province. Sci. Rep. 2023, 13, 6908. [Google Scholar] [CrossRef]
- Li, S.; Hong, Z.; Xue, X.; Zheng, X.; Du, S.; Liu, X. Evolution Characteristics and Multi-Scenario Prediction of Habitat Quality in Yulin City Based on PLUS and InVEST Models. Sci. Rep. 2024, 14, 11852. [Google Scholar] [CrossRef] [PubMed]
- Iglseder, A.; Immitzer, M.; Dostálová, A.; Kasper, A.; Pfeifer, N.; Bauerhansl, C.; Schöttl, S.; Hollaus, M. The Potential of Combining Satellite and Airborne Remote Sensing Data for Habitat Classification and Monitoring in Forest Landscapes. Int. J. Appl. Earth Obs. Geoinf. 2023, 117, 103131. [Google Scholar] [CrossRef]
- Chen, X.; Yu, L.; Du, Z.; Xu, Y.; Zhao, J.; Zhao, H.; Zhang, G.; Peng, D.; Gong, P. Distribution of Ecological Restoration Projects Associated with Land Use and Land Cover Change in China and Their Ecological Impacts. Sci. Total Environ. 2022, 825, 153938. [Google Scholar] [CrossRef] [PubMed]
- Terrado, M.; Sabater, S.; Chaplin-Kramer, B.; Mandle, L.; Ziv, G.; Acuña, V. Model Development for the Assessment of Terrestrial and Aquatic Habitat Quality in Conservation Planning. Sci. Total Environ. 2016, 540, 63–70. [Google Scholar] [CrossRef]
- Zhang, J.; Deng, M.; Yang, T.; Pang, M.; Wang, Z. Spatiotemporal Pattern of Reference Crop Evapotranspiration and Its Response to Meteorological Factors in Northwest China over Years 2000–2019. Environ. Sci. Pollut. Res. 2022, 29, 69831–69848. [Google Scholar] [CrossRef]
- Fernández de Bobadilla, M.; Vitiello, A.; Erb, M.; Poelman, E.H. Plant Defense Strategies against Attack by Multiple Herbivores. Trends Plant Sci. 2022, 27, 528–535. [Google Scholar] [CrossRef]
- Tian, Y.; Wang, Z.; Mao, D.; Li, L.; Liu, M.; Jia, M.; Man, W.; Lu, C. Remote Observation in Habitat Suitability Changes for Waterbirds in the West Songnen Plain, China. Sustainability 2019, 11, 1552. [Google Scholar] [CrossRef]
- Raji, S.A.; Odunuga, S.; Fasona, M. Spatially Explicit Scenario Analysis of Habitat Quality in a Tropical Semi-Arid Zone: Case Study of the Sokoto–Rima Basin. J. Geovisualization Spat. Anal. 2022, 6, 11. [Google Scholar] [CrossRef]
- Li, H.; Cao, Y.; Xiao, J.; Yuan, Z.; Hao, Z.; Bai, X.; Wu, Y.; Liu, Y. A Daily Gap-Free Normalized Difference Vegetation Index Dataset from 1981 to 2023 in China. Sci. Data 2024, 11, 527. [Google Scholar] [CrossRef]
- Sun, X.; Li, Y.; Hu, Y.; Li, Y. Human and Natural Factors Affect Habitat Quality in Ecologically Fragile Areas: Evidence from Songnen Plain, China. Front. Plant Sci. 2024, 15, 1444163. [Google Scholar] [CrossRef]
- Wu, J.; Li, X.; Luo, Y.; Zhang, D. Spatiotemporal Effects of Urban Sprawl on Habitat Quality in the Pearl River Delta from 1990 to 2018. Sci. Rep. 2021, 11, 13981. [Google Scholar] [CrossRef]
- Chen, X.; Yu, L.; Cao, Y.; Xu, Y.; Zhao, Z.; Zhuang, Y.; Liu, X.; Du, Z.; Liu, T.; Yang, B.; et al. Habitat Quality Dynamics in China’s First Group of National Parks in Recent Four Decades: Evidence from Land Use and Land Cover Changes. J. Environ. Manag. 2023, 325, 116505. [Google Scholar] [CrossRef]
- Wang, Z.; Huang, N.; Luo, L.; Li, X.; Ren, C.; Song, K.; Chen, J.M. Shrinkage and Fragmentation of Marshes in the West Songnen Plain, China, from 1954 to 2008 and Its Possible Causes. Int. J. Appl. Earth Obs. Geoinf. 2011, 13, 477–486. [Google Scholar] [CrossRef]
- Wang, L.-J.; Ma, S.; Qiao, Y.-P.; Zhang, J.-C. Simulating the Impact of Future Climate Change and Ecological Restoration on Trade-Offs and Synergies of Ecosystem Services in Two Ecological Shelters and Three Belts in China. Int. J. Environ. Res. Public Health 2020, 17, 7849. [Google Scholar] [CrossRef] [PubMed]
- Yang, Y.; Song, G. Human Disturbance Changes Based on Spatiotemporal Heterogeneity of Regional Ecological Vulnerability: A Case Study of Qiqihaer City, Northwestern Songnen Plain, China. J. Clean. Prod. 2021, 291, 125262. [Google Scholar] [CrossRef]
- Zhou, L.; Xue, W.; Zhu, S.; Shan, K.; Chen, J. Foraging Habitat Use of Oriental White Stork (Ciconia Boyciana) Recently Breeding in China. Zool. Sci. 2013, 30, 559–564. [Google Scholar] [CrossRef]
- Zhong, L.U.; Dan, W.E.I.; Guo-ping, L.E.I. Effects of Land Use/Cover Change (LUCC) on the Spatiotemporal Variability of Precipitation and Temperature in the Songnen Plain, China. J. Integr. Agric. 2022, 21, 235–248. [Google Scholar]
- Yu, H.; Wang, Z.; Mao, D.; Jia, M.; Chang, S.; Li, X. Spatiotemporal Variations of Soil Salinization in China’s West Songnen Plain. Land Degrad. Dev. 2023, 34, 2366–2378. [Google Scholar] [CrossRef]
- Duveiller, G.; Defourny, P.; Desclée, B.; Mayaux, P. Deforestation in Central Africa: Estimates at Regional, National and Landscape Levels by Advanced Processing of Systematically-Distributed Landsat Extracts. Remote Sens. Environ. 2008, 112, 1969–1981. [Google Scholar] [CrossRef]
- Jin, B.; Ye, P.; Zhang, X.; Song, W.; Li, S. Object-Oriented Method Combined with Deep Convolutional Neural Networks for Land-Use-Type Classification of Remote Sensing Images. J. Indian Soc. Remote Sens. 2019, 47, 951–965. [Google Scholar] [CrossRef]
- Blaschke, T.; Lang, S.; Lorup, E.; Strobl, J.; Zeil, P. Object-Oriented Image Processing in an Integrated GIS/Remote Sensing Environment and Perspectives for Environmental Applications. Environ. Inf. Plan. Polit. Public 2000, 2, 555–570. [Google Scholar]
- Myint, S.W.; Gober, P.; Brazel, A.; Grossman-Clarke, S.; Weng, Q. Per-Pixel vs. Object-Based Classification of Urban Land Cover Extraction Using High Spatial Resolution Imagery. Remote Sens. Environ. 2011, 115, 1145–1161. [Google Scholar] [CrossRef]
- Purwanto, A.D.; Wikantika, K.; Deliar, A.; Darmawan, S. Decision Tree and Random Forest Classification Algorithms for Mangrove Forest Mapping in Sembilang National Park, Indonesia. Remote Sens. 2022, 15, 16. [Google Scholar] [CrossRef]
- Li, M.; Im, J.; Beier, C. Machine Learning Approaches for Forest Classification and Change Analysis Using Multi-Temporal Landsat TM Images over Huntington Wildlife Forest. GIScience Remote Sens. 2013, 50, 361–384. [Google Scholar] [CrossRef]
- Tikuye, B.G.; Rusnak, M.; Manjunatha, B.R.; Jose, J. Land Use and Land Cover Change Detection Using the Random Forest Approach: The Case of The Upper Blue Nile River Basin, Ethiopia. Glob. Chall. 2023, 7, 2300155. [Google Scholar] [CrossRef]
- Tokar, O.; Vovk, O.; Kolyasa, L.; Havryliuk, S.; Korol, M. Using the Random Forest Classification for Land Cover Interpretation of Landsat Images in the Prykarpattya Region of Ukraine. In Proceedings of the 2018 IEEE 13th International Scientific and Technical Conference on Computer Sciences and Information Technologies (CSIT), Lviv, Ukraine, 11–14 September 2018; Volume 1, pp. 241–244. [Google Scholar] [CrossRef]
- Yang, Y. Evolution of Habitat Quality and Association with Land-Use Changes in Mountainous Areas: A Case Study of the Taihang Mountains in Hebei Province, China. Ecol. Indic. 2021, 129, 107967. [Google Scholar] [CrossRef]
- Li, Y.; Duo, L.; Zhang, M.; Yang, J.; Guo, X. Habitat Quality Assessment of Mining Cities Based on InVEST Model—A Case Study of Yanshan County, Jiangxi Province. Int. J. Coal Sci. Technol. 2022, 9, 28. [Google Scholar] [CrossRef]
- Wang, B.; Cheng, W. Effects of Land Use/Cover on Regional Habitat Quality under Different Geomorphic Types Based on InVEST Model. Remote Sens. 2022, 14, 1279. [Google Scholar] [CrossRef]
- Nematollahi, S.; Fakheran, S.; Kienast, F.; Jafari, A. Application of InVEST Habitat Quality Module in Spatially Vulnerability Assessment of Natural Habitats (Case Study: Chaharmahal and Bakhtiari Province, Iran). Environ. Monit. Assess. 2020, 192, 487. [Google Scholar] [CrossRef]
- Sun, Q.; Yu, J.; Zeng, Y.; Gai, Y.; Wang, J.; Zhang, Y. Mapping biodiversity conservation priorities for protected areas for spatial optimization: A case study in the Songnen Plain, China. Ecol. Evol. 2021, 11, 5620–5632. [Google Scholar] [CrossRef]
- Chang, Z.; Liu, L.; Ma, J.; Cao, W.; Cui, Y.; Shi, K. Hillside Urban Expansion Exacerbates Nature and Semi-Nature Habitat Landscape Fragmentation in China. Int. J. Digit. Earth 2024, 17, 2368095. [Google Scholar] [CrossRef]
- Wu, L.; Sun, C.; Fan, F. Estimating the Characteristic Spatiotemporal Variation in Habitat Quality Using the InVEST Model—A Case Study from Guangdong–Hong Kong–Macao Greater Bay Area. Remote Sens. 2021, 13, 1008. [Google Scholar] [CrossRef]
- Cui, G.; Zhang, Y.; Shi, F.; Jia, W.; Pan, B.; Han, C.; Liu, Z.; Li, M.; Zhou, H. Study of Spatiotemporal Changes and Driving Factors of Habitat Quality: A Case Study of the Agro-Pastoral Ecotone in Northern Shaanxi, China. Sustainability 2022, 14, 5141. [Google Scholar] [CrossRef]
- Czekajlo, A.; Coops, N.C.; Wulder, M.A.; Hermosilla, T.; Lu, Y.; White, J.C.; Van Den Bosch, M. The Urban Greenness Score: A Satellite-Based Metric for Multi-Decadal Characterization of Urban Land Dynamics. Int. J. Appl. Earth Obs. Geoinf. 2020, 93, 102210. [Google Scholar] [CrossRef]
- Li, Y.; Zhang, L.; Yan, J.; Wang, P.; Hu, N.; Cheng, W.; Fu, B. Mapping the Hotspots and Coldspots of Ecosystem Services in Conservation Priority Setting. J. Geogr. Sci. 2017, 27, 681–696. [Google Scholar] [CrossRef]
- Zhang, X.; Zhao, T.; Xu, H.; Liu, W.; Wang, J.; Chen, X.; Liu, L. GLC_FCS30D: The First Global 30 m Land-Cover Dynamics Monitoring Product with a Fine Classification System for the Period from 1985 to 2022 Generated Using Dense-Time-Series Landsat Imagery and the Continuous Change-Detection Method. Earth Syst. Sci. Data 2024, 16, 1353–1381. [Google Scholar] [CrossRef]
- Yang, J.; Huang, X. The 30 m Annual Land Cover Datasets and Its Dynamics in China from 1985 to 2023. Earth Syst. Sci. Data 2024, 13, 3907–3925. [Google Scholar] [CrossRef]
- Zhang, H.; Lang, Y. Quantifying and Analyzing the Responses of Habitat Quality to Land Use Change in Guangdong Province, China over the Past 40 Years. Land 2022, 11, 817. [Google Scholar] [CrossRef]
- Zhang, M.; Zhou, A.; Cao, S.; Yuan, Y. A Spatial Study on the Impact of Habitat Quality on Geological Disaster Susceptibility: A Case Study in Pingshan County, China. Appl. Sci. 2024, 14, 5151. [Google Scholar] [CrossRef]
- Jia, C.; Li, Z.; Yang, X.; Liu, H.; Yang, X. The Spatiotemporal Evolution Characteristics and Influencing Factors of Habitat Quality in the Typical Region of the Lunan Economic Belt: A Case Study of Donggang District, Rizhao. Environ. Monit. Assess. 2024, 196, 1–20. [Google Scholar] [CrossRef] [PubMed]
- Zhai, J.; Wang, L.; Liu, Y.; Wang, C.; Mao, X. Assessing the Effects of China’s Three-North Shelter Forest Program over 40 Years. Sci. Total Environ. 2023, 857, 159354. [Google Scholar] [CrossRef]
- Yang, H. China’s Natural Forest Protection Program: Progress and Impacts. For. Chron. 2017, 93, 113–117. [Google Scholar] [CrossRef][Green Version]
- Wang, X.; Bennett, J. Policy Analysis of the Conversion of Cropland to Forest and Grassland Program in China. Environ. Econ. Policy Stud. 2008, 9, 119–143. [Google Scholar] [CrossRef]
- Wen-Biao, Q.I.; Yang-, L.I.U. Summary of Key Technical Issues of the Water Supply Project from Songhua River to the Central Cities of Jilin Province. J. Yangtze River Sci. Res. Inst. 2012, 29, 1. [Google Scholar] [CrossRef]
- Chen, H.; Wenger, R.B. Water Diversion Projects in China. In Securing Water and Wastewater Systems: Global Experiences; Clark, R.M., Hakim, S., Eds.; Springer International Publishing: Cham, Switzerland, 2014; pp. 213–232. ISBN 978-3-319-01092-2. [Google Scholar]
- Qi, Q.Q. Application of a Groundwater Modelling System in Groundwater Environmental Impact Assessment of River and Lake Connection in Western Jilin Region. Appl. Ecol. Environ. Res. 2019, 17, 5059–5066. [Google Scholar] [CrossRef]
- Fan, J.; Li, P. The Scientific Foundation of Major Function Oriented Zoning in China. J. Geogr. Sci. 2009, 19, 515–531. [Google Scholar] [CrossRef]
- Li, Y.; Duan, H. How to Design “Three Lines and One List” System in Local Regulations—Taking Regulations of Jilin Province on Ecological and Environmental Protection as an Example. IOP Conf. Ser. Earth Environ. Sci. 2021, 632, 052055. [Google Scholar] [CrossRef]
- Cheng, Z.; Zhang, Y.; Wang, L.; Wei, L.; Wu, X. An Analysis of Land-Use Conflict Potential Based on the Perspective of Production–Living–Ecological Function. Sustainability 2022, 14, 5936. [Google Scholar] [CrossRef]
- Liu, D.; Song, C.; Fang, C.; Xin, Z.; Xi, J.; Lu, Y. A Recommended Nitrogen Application Strategy for High Crop Yield and Low Environmental Pollution at a Basin Scale. Sci. Total Environ. 2021, 792, 148464. [Google Scholar] [CrossRef] [PubMed]
- Miao, J.; Xia, H.; Li, F.; Yang, J. Analysis of the Spatio-Temporal Evolution Characteristics and Influencing Factors of Habitat Quality in Hubei Province over the Past Three Decades. ISPRS Int. J. Geo-Inf. 2025, 14, 98. [Google Scholar] [CrossRef]
- Liu, S.; Sun, T.; Ciais, P.; Zhang, H.; Fang, J.; Fang, J.; Gemechu, T.M.; Chen, B. Assessing Habitat Quality on Synergetic Land-Cover Dataset Across the Greater Mekong Subregion over the Last Four Decades. Remote Sens. 2025, 17, 1467. [Google Scholar] [CrossRef]
- Zhang, M.; Zhang, H.; Deng, W.; Yuan, Q. Assessment of Habitat Quality in Arid Regions Incorporating Remote Sensing Data and Field Experiments. Remote Sens. 2024, 16, 3648. [Google Scholar] [CrossRef]
- Wang, K.; Li, J.; Zhou, Z.; Zhang, X.J. Editorial: Soil Degradation and Restoration in Arid and Semi-Arid Regions. Front. Environ. Sci. 2023, 11, 1307500. [Google Scholar] [CrossRef]













| Year Path/Row | 1990 | 2000 | 2010 | 2020 |
|---|---|---|---|---|
| 118/29 | 06-27/07-13/08-14/ 09-15 | 06-22/07-24/08-25/ 09-26 | 05-01/07-04/08-21/ 09-06/09-22 | 05-12/06-13/07-15/ 08-16/09-01 |
| 119/28 | 05-17/06-18/07-20/ 08-21/09-06 | 05-28/06-13/07-15/ 08-16/09-01 | 05-08/06-09/07-11/ 08-12/09-13 | 05-19/06-20/07-22/ 08-23/09-24 |
| 119/29 | 05-17/06-18/07-20/ 08-21/09-06 | 05-28/06-13/07-31/ 08-16/09-17 | 05-08/06-09/07-11/ 08-12/09-13 | 05-19/06-20/07-22/ 08-07/09-24 |
| 120/28 | 05-24/06-25/07-11/ 09-29 | 05-19/06-20/07-06/ 08-07/09-24 | 05-15/06-16/07-02/ 07-02/08/03/09-20 | 05-26/06-27/07-29/ 09-15 |
| 120/29 | 05-24/06-25/07-11/ 08-12/09-13 | 05-19/06-20/07-22/ 08-07/09-24 | 05-15/06-16/07-02/ 08-19/09-20 | 05-26/06-11/07-29/ 08-14/09-15 |
| 121/28 | 05-15/06-16/07-02/ 08-03/09-04 | 05-26/06-11/07-16/ 08-14/09-15 | 05-06/06-07/07-25/ 08-10/09-11 | 05-01/06-18/07-20/ 08-21/09-22 |
| Category | Data Name | Data Source | Resolution | Data Format |
|---|---|---|---|---|
| Basic geographic datasets | Digital Elevation Mode (DEM) | Geospatial Data Cloud Platform (http://www.gscloud.cn/) | 30 m | TIFF |
| Slope | Obtained from DEM | 30 m | TIFF | |
| Natural environment datasets | Precipitation (PRE) | Resource and Environmental Science Data Platform (https://www.resdc.cn/) | 1000 m | TIFF |
| Evaporation (EVP) | 1000 m | TIFF | ||
| Socioeconomic datasets | Population (POP) | 1000 m | TIFF | |
| Gross Domestic Product (GDP) | 1000 m | TIFF | ||
| Vector datasets | Road datasets | \ | Shapefile |
| Primary Classes | Secondary Classes | Primary Classes | Secondary Classes |
|---|---|---|---|
| Farmland | Paddy field | Water area | River, lake |
| Dryland | Built-up land | Urban land | |
| Forest land | Forest land | Rural settlements | |
| Grassland | High-cover grassland | Bare land | Sandy land |
| Medium-cover grassland | Saline-alkali land | ||
| Low-cover grassland | Wetland | Wetland |
| Threat Factor | Maximum Influence Distance (km) | Weight | Spatial Decay Type | |
|---|---|---|---|---|
| Farmland | NV | 6 | 0.7 | Linear |
| LV | 5 | 0.7 | Linear | |
| MV | 5 | 0.6 | Linear | |
| HV | 4 | 0.5 | Linear | |
| Soil salinization | SA | 3 | 0.2 | Linear |
| MA | 4 | 0.3 | Linear | |
| IA | 5 | 0.4 | Linear | |
| Urban land | 7 | 0.8 | Exponential | |
| Rural settlements | 5 | 0.6 | Exponential | |
| Railway | 5 | 0.8 | Linear | |
| Highway | 4 | 0.7 | Linear | |
| National Road | 3 | 0.6 | Linear | |
| Land Cover Type | Habitat Suitability | NV | LV | MV | HV | SA | MA | IA | Urban land | Rural Settlements | Railway | Highway | National Road |
|---|---|---|---|---|---|---|---|---|---|---|---|---|---|
| Paddy field | 0.4 | 0.4 | 0.3 | 0.25 | 0.2 | 0.5 | 0.5 | 0.5 | 0.4 | 0.3 | 0.6 | 0.5 | 0.4 |
| Dryland | 0.45 | 0.45 | 0.45 | 0.4 | 0.3 | 0.55 | 0.6 | 0.6 | 0.4 | 0.3 | 0.7 | 0.6 | 0.5 |
| Forest land | 0.95 | 0.55 | 0.55 | 0.5 | 0.45 | 0.45 | 0.5 | 0.5 | 0.7 | 0.6 | 0.8 | 0.6 | 0.4 |
| High-cover grassland | 0.9 | 0.45 | 0.45 | 0.4 | 0.35 | 0.5 | 0.55 | 0.6 | 0.65 | 0.6 | 0.5 | 0.4 | 0.3 |
| Medium-cover grassland | 0.8 | 0.4 | 0.4 | 0.35 | 0.35 | 0.5 | 0.55 | 0.55 | 0.6 | 0.5 | 0.5 | 0.4 | 0.3 |
| Low-cover grassland | 0.7 | 0.4 | 0.4 | 0.3 | 0.3 | 0.5 | 0.5 | 0.55 | 0.5 | 0.4 | 0.5 | 0.3 | 0.2 |
| River, lake | 0.9 | 0.7 | 0.65 | 0.65 | 0.5 | 0.25 | 0.25 | 0.25 | 0.8 | 0.7 | 0.6 | 0.5 | 0.5 |
| Wetland | 0.8 | 0.5 | 0.5 | 0.4 | 0.4 | 0.2 | 0.3 | 0.35 | 0.7 | 0.6 | 0.25 | 0.25 | 0.2 |
| Urban land | 0.2 | 0 | 0 | 0 | 0 | 0 | 0 | 0 | 1 | 0 | 0 | 0.2 | 0.2 |
| Rural settlements | 0.2 | 0 | 0 | 0 | 0 | 0 | 0 | 0 | 0 | 1 | 1 | 0.2 | 0.2 |
| Saline-alkali land | 0.1 | 0.2 | 0.15 | 0.15 | 0.1 | 0.2 | 0.2 | 0.25 | 0.3 | 0.2 | 0.2 | 0.15 | 0.15 |
| Sandy land | 0.1 | 0.2 | 0.15 | 0.15 | 0.1 | 0.2 | 0.2 | 0.25 | 0.3 | 0.2 | 0.2 | 0.15 | 0.15 |
| 1990 | 2000 | 2010 | 2020 | |
|---|---|---|---|---|
| Farmland | 87.77% | 86.46% | 87.06% | 85.88% |
| Forest land | 90.38% | 93.62% | 94.37% | 92.00% |
| Grassland | 92.59% | 91.07% | 90.32% | 92.21% |
| Water area | 91.23% | 92.98% | 92.31% | 93.55% |
| Built-up land | 94.12% | 92.31% | 94.55% | 92.11% |
| Bare land | 92.86% | 91.30% | 93.41% | 92.47% |
| wetland | 91.53% | 92.54% | 93.33% | 94.44% |
| Overall Accuracy | 90.83% | 90.00% | 91.07% | 90.72% |
| Kappa Coefficient | 0.89 | 0.87 | 0.89 | 0.89 |
| Land Cover Type | 1990 | 2000 | 2010 | 2020 | Changing Trends |
|---|---|---|---|---|---|
| Farmland | 0.3943 | 0.3959 | 0.3972 | 0.3932 | ![]() |
| Forest land | 0.8293 | 0.8373 | 0.8415 | 0.8339 | ![]() |
| Grassland | 0.7799 | 0.7669 | 0.7586 | 0.7553 | ![]() |
| Water area | 0.8719 | 0.8725 | 0.8634 | 0.8612 | ![]() |
| Built-up land | 0.1949 | 0.1949 | 0.1932 | 0.1911 | ![]() |
| Bare land | 0.0911 | 0.0958 | 0.0959 | 0.0956 | ![]() |
| Wetland | 0.7178 | 0.7158 | 0.7302 | 0.7288 | ![]() |
| Year | Moran’s I | Z-Score | p Value | Result |
|---|---|---|---|---|
| 1990 | 0.2701 | 41.5563 | 0 | Clustered |
| 2000 | 0.2280 | 35.0738 | 0 | Clustered |
| 2010 | 0.2150 | 33.0833 | 0 | Clustered |
| 2020 | 0.2159 | 33.2111 | 0 | Clustered |
Disclaimer/Publisher’s Note: The statements, opinions and data contained in all publications are solely those of the individual author(s) and contributor(s) and not of MDPI and/or the editor(s). MDPI and/or the editor(s) disclaim responsibility for any injury to people or property resulting from any ideas, methods, instructions or products referred to in the content. |
© 2025 by the authors. Licensee MDPI, Basel, Switzerland. This article is an open access article distributed under the terms and conditions of the Creative Commons Attribution (CC BY) license (https://creativecommons.org/licenses/by/4.0/).
Share and Cite
Yu, H.; Liang, Z.; Zhang, R.; Jia, M.; Li, S.; Li, X.; Li, H. Spatiotemporal Dynamics of Habitat Quality in Semi-Arid Regions: A Case Study of the West Songnen Plain, China. Remote Sens. 2025, 17, 1663. https://doi.org/10.3390/rs17101663
Yu H, Liang Z, Zhang R, Jia M, Li S, Li X, Li H. Spatiotemporal Dynamics of Habitat Quality in Semi-Arid Regions: A Case Study of the West Songnen Plain, China. Remote Sensing. 2025; 17(10):1663. https://doi.org/10.3390/rs17101663
Chicago/Turabian StyleYu, Hao, Zhimin Liang, Rong Zhang, Mingming Jia, Shicheng Li, Xiaoyan Li, and Huiying Li. 2025. "Spatiotemporal Dynamics of Habitat Quality in Semi-Arid Regions: A Case Study of the West Songnen Plain, China" Remote Sensing 17, no. 10: 1663. https://doi.org/10.3390/rs17101663
APA StyleYu, H., Liang, Z., Zhang, R., Jia, M., Li, S., Li, X., & Li, H. (2025). Spatiotemporal Dynamics of Habitat Quality in Semi-Arid Regions: A Case Study of the West Songnen Plain, China. Remote Sensing, 17(10), 1663. https://doi.org/10.3390/rs17101663








