Next Article in Journal
Effect of the Outer Pipe on Reducing Direct Coupling of the Thin Borehole Radar Probe in Thick Water-Filled Borehole
Previous Article in Journal
Comparisons and Analyses of Thermospheric Mass Densities Derived from Global Navigation Satellite System–Precise Orbit Determination and an Ionization Gauge–Orbital Neutral Atmospheric Detector Onboard a Spherical Satellite at 520 km Altitude
 
 
Due to scheduled maintenance work on our servers, there may be short service disruptions on this website between 11:00 and 12:00 CEST on March 28th.
Font Type:
Arial Georgia Verdana
Font Size:
Aa Aa Aa
Line Spacing:
Column Width:
Background:
Article

Estimation of Individual Tree Structure and Wood Density Parameters for Ginkgo biloba Using Terrestrial LiDAR and Resistance Drill Data

by
Ting Li
,
Xin Shen
,
Kai Zhou
and
Lin Cao
*
Co-Innovation Center for Sustainable Forestry in Southern China, Nanjing Forestry University, Nanjing 210037, China
*
Author to whom correspondence should be addressed.
Remote Sens. 2025, 17(1), 99; https://doi.org/10.3390/rs17010099
Submission received: 22 October 2024 / Revised: 26 December 2024 / Accepted: 27 December 2024 / Published: 30 December 2024
(This article belongs to the Section Forest Remote Sensing)

Abstract

Individual tree structure and wood density are important indicators of forest quality and key parameters for biomass calculation. To explore the extraction accuracy of individual tree structure parameters based on LiDAR technology, as well as the correlation between individual tree structure parameters, resistance value and wood density can be beneficial for providing new ideas for predicting wood density. Taking a 23-year-old Ginkgo plantation as the research object, the tree QSM (Quantitative Structure Model) was constructed based on terrestrial and backpack LiDAR point clouds, and the individual tree structure parameters were extracted. The accuracy of estimating structure parameters based on two types of point clouds was compared. A wood density prediction model was constructed using principal component analysis based on the resistance, diameter, tree height, and crown width. The accuracy verification was carried out and it showed that the estimation accuracies of individual tree structure parameters (DBH, tree height, and crown width) extracted from tree QSM constructed based on TLS and BLS all had R2 > 0.8. The estimation accuracy of DBH based on TLS was slightly higher than that based on BLS, and the estimation accuracy of tree height and crown width based on TLS was slightly lower than that based on BLS. BLS has great potential in accurately obtaining forest structure information, improving forest information collection efficiency, promoting forest resource monitoring, forest carbon sink estimation, and forest ecological research. The feasibility of predicting the wood basic density based on wood resistance (R2 = 0.51) and combined with DBH, tree height, and crown width (R2 = 0.49) was relatively high. Accurate and non-destructive estimation of the wood characteristics of standing timber can guide forest cultivation and management and promote sustainable management and utilization of forests.

1. Introduction

Individual tree structure parameters (including diameter, tree height, crown width, etc.) are key measurement factors in forest resource surveys and monitoring [1]. In the past 20 years, laser scanning technology has been widely used in forest surveys as an important means of collecting forest information, extracting parameters, and modeling [2]. Modeling methods based on the LIDAR point cloud have obvious advantages in extracting forest structure parameters (e.g., trunk or branch volume, branch grade, branch number, branch length, etc.) that were previously difficult to measure directly [3]. Among them, the Quantitative Structure Model (QSM) of trees is a structural model of the woody constituent parts (branches and trunks) of aboveground trees [4,5], which quantitatively describes the basic topological, geometrical, and volumetric properties of tree branches and trunks based on LiDAR point clouds. In recent years, algorithms for tree QSM reconstruction based on high-precision TLS point clouds have been gradually improved [5,6,7,8], which provides an effective method for non-destructive branch parameters estimation. Li Hui [9], taking Koelreuteria paniculata as the research object, performed branch reconstruction based on TLS using QSM and extracted branch structure parameters for accuracy evaluation; the relative errors of branch length were −2.88%~−7.15%, while the relative errors of branch diameter were all around 50%. J. Yang [10], taking poplar as the research object, constructed a tree QSM based on the TLS point cloud to extract branch attributes and individual tree measurement factors through kid-tree and AdQSM, respectively; the extraction accuracies, R2, of the diameter at breast height was 0.96 and 0.53, and the volume of timber was 0.95 and 0.93, respectively. Peng [11] fully automatically extracted the number of first-order branches of Larix olgensis plantation employing a QSM based on the TLS point cloud, with an average extraction accuracy of 83% and RMSE = 13.2, which indicated the applicability and reliability of obtaining the branch structure parameters of an individual tree employing a QSM.
Terrestrial laser scanning (TLS) is a stationary scanning method, which usually scans an individual tree in multiple directions to obtain as complete a tree point cloud as possible. The quality of the data is relatively high, which can be well-used for the construction of tree QSM, but the experimental process is time-consuming and laborious. Backpack laser scanning (BLS), on the other hand, usually acquires data from targets while in motion, which makes up for the limitation that the existing LIDAR technology cannot or is not convenient to measure in complex sample areas [12,13]. As an emerging means of obtaining point cloud data, it has attracted much attention due to its flexibility and mobility and has the potential to improve data acquisition efficiency [14]. However, due to the limitations of the current positioning technology during backpack LiDAR acquisition, the scanned data projected onto the 2D plane appear as a rather thick ring-shaped point cloud with a large number of discrete points, which degrades data quality [15]. The robustness and applicability of the AdQSM algorithm was verified using TLS, BLS, and ALS point clouds by Fan [16], and the results showed that the average distance and standard deviation from the input point cloud to the surface of the reconstructed model were less than 3 cm and 8 cm, respectively. The reconstructed tree QSM based on the LiDAR point cloud had high geometric accuracy, but the accuracy of the TLS and BLS in extracting the structure parameters were not compared. Zhang [17] compared the accuracy of extracting branch information based on TLS and BLS point clouds employing TreeQSM. The relative errors of first, second, third, and total branch length extraction based on TLS were about 10%, 20%, 30%, and 10%, and branch number errors were 10%, 10%, 20%, and 10%, respectively, and first-order branches could be completely reconstructed, and their information could be extracted based on BLS (length R2 = 0.40, number R2 = 0.44).
In addition, tree structure and wood density are important indicators of forest quality and are key parameters for biomass calculations. The conventional method for determining wood density of standing trees is the growth cone method, which can usually obtain accurate data, but the process is relatively complex and time-consuming, and it can cause some degree of damage to the tree trunk [18]. The Resistograph is more portable and widely used for non-destructive estimation of wood density at the individual-tree scale [19]. The non-destructive estimation of wood density is not only important for the protection of forest resources, but also conducive to the accurate cultivation of forests and the improvement of the quality and efficiency of plantation forests. Ding [20], taking 24-year-old Pinus elliottii as the research object, showed a linear regression equation for predicting the basic density, ρ, using resistance (AM), which was ρ = 0.0031AM + 0.4137 (R = 0.50, p < 0.001). Zhao [21], taking 18-year-old Pinus elliottii as the research object, showed a phenotypic positive correlation between wood resistance and wood density at the monoculture level (rp = 0.659), and a linear regression equation model for predicting wood density using the original value of wood resistance was constructed (R2 = 0.393). Yao et al. [22] established a generalized additive model (GAM) between wood adiabatic density and resistance for nine tree species, and the R2 fitted to the GAM before and after the inclusion of the moisture content factor were as follows: Populus tomentosa 0.225, 0.865; Paulownia fortune 0.708, 0.873; Pinus massoniana 0.75, 0.859; Pyrus serrulate 0.668, 0.778; Prunus salicina 0.045, 0.634; Cerasus pseudocerasus 0.384, 0.586; Amygdalus persica 0.494, 0.646; Cunninghamia lanceolate 0.667, 0.701; Quercus acutissima 0.009, 0.09. The Resistograph is mostly applied to trees with a large annual ring width and obvious annual ring boundaries, while the difference between earlywood and latewood of Ginkgo biloba is not obvious enough, with a small annual ring width and complex changes in the annual rings. Accordingly, there is fewer research on the Resistograph applied to Ginkgo wood.
Ginkgo (Ginkgo biloba L.) is a multi-purpose tree species endemic to China with high economic and ecological values [23,24]. Ginkgo biloba has a straight trunk and excellent wood properties, which is of great value as an artificial timber forest [25]. Obtaining accurate growth information and wood properties of Ginkgo is important, which is helpful to guide the precise cultivation and efficient use of Ginkgo plantation forests. Previous research has mostly constructed tree QSM and extracted branch structure parameters based on TLS, with less reliance on BLS and comparison of their accuracies. In addition, fewer previous researchers have investigated the relationship between tree characteristics and wood density of Ginkgo, and fewer have combined individual wood structure parameters with wood resistance values to predict wood basic density. The objectives of this research are as follows: (1) to investigate the accuracy of extracting individual tree structure parameters of Ginkgo biloba using QSM based on TLS and BLS point clouds and to analyze and compare the results; (2) to explore the accuracy of predicting wood basic density using principal component analysis based on resistance values and individual tree structure parameters.

2. Materials and Methods

A technical roadmap of the research is shown in Figure 1. First, point clouds of single wood were extracted from TLS and BLS point clouds to construct QSMs, from which individual tree structure parameters were extracted. Then, the measured individual tree factor and manually measured branch parameters in TLS point clouds were taken as reference values, and accuracy verification of the individual tree structure parameters extracted from QSMs was carried out. The accuracy difference between TLS and BLS was compared. Moreover, the resistance value was obtained by drilling through tree trunks using the Resistograph. The wood cores were obtained with a growth cone and wood basic density was measured using the saturated water content method. Finally, models were established to predict wood density based on resistance values, diameter at 0.5 m height, tree height, and crown width using principal component analysis, and accuracy verification was carried out, which was compared with accuracy for prediction of the model based on resistance values. More detailed information can be seen in the following sections.

2.1. Study Area

The study area was located in the Xiashu Forest Farm of Nanjing Forestry University, Jurong City, Jiangsu Province, with geographic coordinates 119°14′E, 31°58′N and an elevation ranging from 75 to 377.8 m. The area has a northern subtropical monsoon climate, with obvious seasonal variations. The average annual temperature is 15.5 °C, the average annual precipitation is 1099.1 mm, the average annual air humidity is 79%, the average annual sunshine is 2157 h, and the frost-free period is 233 d. The soil is dominated by yellow-brown loam and mountain yellow-brown loam, and the natural forest vegetation is deciduous broad-leaved and evergreen broad-leaved mixed forest, mainly Cunninghamia lanceolate, Pinus massoniana, etc. [26].
In this study, a 30 m × 30 m sample plot of Ginkgo plantation forest was selected, which was a stand cultivated in 1999 using live Ginkgo seedlings, with a spacing of 1 m × 2 m. The diameter at breast height (DBH) of the trees ranged from 5.1 to 15.5 cm, the tree height ranged from 2.3 to 8.9 m, and the crown width ranged from 1.0 to 6.2 m, with the understory mostly consisting of herbaceous plants.

2.2. Field Data

In this study, data were collected in November 2021, and 30 average trees with normal growth, unbroken tips, and free of pests and diseases were selected in the sample plots according to different diameter steps for the Resistograph data and wood density data acquisition. Diameter at breast height and at 0.5 m height were measured with a breast diameter ruler, tree height was measured with a Vertex-Laser Geo (Haglöf, Dalarna, Sweden) hypsometer, and crown width was measured with a tape measure in the east–west and north–south directions, respectively, and the average of the east–west and north–south crown widths was taken as the crown width of individual tree. From the above 30 sample trees, 12 individual trees (Table 1) with straight trunks and inconspicuous forking, full and well-grown trees were selected for terrestrial and backpack LiDAR point cloud collection.

2.3. Remote Sensing Data

The backpack LiDAR data for this study were collected on November 2021, and the collection equipment was the LiBackpack D50 developed by Beijing GreenValley Co., Ltd. (Beijing, China). Combined with high-precision GNSS equipment and instantaneous positioning and map construction technology, the LiDAR sensor parameters in vertical and horizontal directions were configured, and a bottom-up scanning method was adopted [27]. During the acquisition process, a corner of the sample plot (at the five-pointed star) was selected as the scanning starting point, and the surveyor carried the equipment on his back and scanned the sample plot in an “S” shape. Then, the surveyor returned to the starting point to ensure that the scanning route was closed [15] and all the information of the trees was collected. The system parameters of the equipment are shown in Table 2, and the collection route is shown in Figure 2c.
The terrestrial LiDAR data were collected on November 2021 under windless weather conditions. Three stations were set up for scanning each individual tree, and the three set-up stations were laid out at 8–10 m around the individual tree, with the angle between the two neighboring stations being approximately 120° [28]. The terrestrial LiDAR (Riegl VZ-400i) has a point cloud accuracy of 5 mm and a scanning resolution of 0.01°-s−1 for an individual tree, which is automatically rotated 360° horizontally to complete the scanning.

2.4. Resistograph Data

The RESISTOGRAPH®4453-S was used to drill from south to north at a height of 0.3 m in each individual tree and to ensure that the probe penetrated the trunk through the pith. The procedure for the Resistograph field measurements is shown in Figure 3a. The rotational speed of the drilling needle is 2500 r·min−1, the diameter of the probe is 1.5 mm, and the resolution reaches 1/100 mm, i.e., for every 0.01 mm depth drilled by the probe, the corresponding resistance value is recorded (expressed as a percentage of the amplitude). The average resistance value on the southward radius of each tree was calculated. The basic density standard data were obtained by 5 mm growth cone, which sampled at a height of 0.5 m of the trunk, orientated from south to north through the pith. The basic density (ρ) of the core on the southward radius was determined using the saturated water content method [29] (Figure 3c,d).

2.5. Point Cloud Processing

Firstly, terrestrial LiDAR data were imported into RiSCAN Pro 2.7.0 software, and multi-station point clouds of the same tree were automatically spliced using the ICP algorithm [30]. Then, the spliced terrestrial LiDAR data were subjected to pre-processing operations such as point cloud denoising and normalization. The SOR filter (Statistical Outlier Removal) was used to classify and filter noisy points such as airborne points, below-surface points (high coarseness and low coarseness), and isolated points in the original data to improve the quality of the data. Secondly, to reduce the influence of topographic relief on crown segmentation and crown characteristic factors estimation, the Improved Progressive TIN Densification (IPTD) algorithm was used for ground point filtering from LiDAR point clouds and the Kriging interpolation method was used to construct DEM. Lastly, the height of point clouds was normalized by digital elevation model (DEM) to eliminate the effect of terrain on tree height estimation [31,32]. The terrestrial point cloud of 12 individual trees were obtained by cropping the 12 individual trees from their preprocessed sample plot LiDAR point clouds, respectively.
The preprocessing of backpack LiDAR data included point cloud denoising and height normalization. Firstly, the noise points are filtered to improve the data quality. Secondly, the Improved Progressive TIN Densification (IPTD) algorithm was used for ground point filtering from LiDAR point clouds. Finally, the point clouds were normalized by DEM of the sample plot for subsequent individual tree segmentation.

2.6. Individual Tree Segmentation

In this paper, individual tree segmentation was performed based on a pre-processed (denoised, normalized) backpack LiDAR point cloud. The Comparative Shortest-Path (CSP) algorithm was used for individual tree segmentation [33]. The CSP algorithm is a classical algorithm to carry out individual tree segmentation of terrestrial LiDAR forest stand point clouds from bottom-up, which contains two steps: trunk detection and crown segmentation. According to the shortest path theory of nutrient transport in metabolic ecology theory, when two trees have equal crown size and intersect, the point in the intersecting part may belong to the tree with a shorter transport distance to the trunk; while for the large difference in the trunk size and intersecting crowns, it is necessary to convert the distance between the point and the trunk. The shortest distance after conversion is used to determine the target tree to which the point belongs [34]. Combining the power law relationship between branch diameter and branch length and the theory of metabolic ecology, the formula for normalizing the shortest distance according to DBH is as follows:
D v T r u n k N = D v T r u n k D B H 2 3 ,
where D v T r u n k is the ecological nutrient transport distance from point v to the trunk, and D v T r u n k N is the distance from point v to the trunk after power –law relationship transformation.
The individual tree segmentation algorithm can segment point cloud data into multiple mono-parts, and each mono-part can be regarded as a tree. Currently, the evaluation of individual tree segmentation results is mainly divided into the following three types: correct segmentation, missed segmentation, and over-segmentation. Correct segmentation indicates that the point cloud model of a real individual tree is segmented into one individual, missed segmentation indicates that a real tree is not detected, or multiple trees are incorrectly segmented into one individual, and over-segmentation indicates that the point cloud model of an individual tree is segmented into multiple individual parts.
The number of all trees, correctly segmented trees, incorrectly segmented trees, and the trees that failed to be segmented were obtained by analyzing the ground survey in combination with the visual interpretation values (hereafter referred to as measured values). Then, Equations (5)–(7) were used to calculate the values of recall (R), precision (P), and F-measure (F) for individual tree segmentation.
R = T P T P + F N ,
P = T P T P + F P ,
F = 2 × R × P R + P ,
where TP represents the number of correctly segmented trees, FN represents the number of trees not correctly detected, and FP represents the number of incorrectly detected trees.
Specifically: (1) Recall is used to measure the proportion of correctly detected trees. A high recall rate indicates that more Ginkgo can be recognized. (2) Precision is used to assess the proportion of correctly segmented trees. A high Precision rate indicates that the model is largely correct among the trees identified, and only a few identified objects are not trees. (3) The F-measure (F) considers the precision rate and recall rate together, and is a reconciled average of the two, which effectively combines the wrong scores and missed scores to assess the overall precision. All three metrics have values ranging from 0 to 1 [32].

2.7. Statistical Analysis and Modeling

2.7.1. Construction of Quantitative Structure Model

The Accurate and Detailed Quantitative Structure Model (AdQSM) algorithm was used in this research for the construction of the QSM. The initial tree skeleton is extracted by a Minimum Spanning Tree (MST) algorithm based on ecology theory and tree growth law, and a series of simplification algorithms and optimization strategies are designed to merge the redundant vertices and edges [16]. Meanwhile, a highly versatile, high-precision, multilevel representation of an individual tree branch geometry model is obtained by a cylinder fitting algorithm for tree branch geometry. The advantages are accurate tree parameter extraction, versatility, fast modeling, and ease of use. There are two important parameters in the modeling process: the Height Segmentation (HS) and the Cloud Parameter (CP). HS indicates the height of each segment of point cloud and CP indicates the point cloud extraction rate.

2.7.2. Acquisition of Individual Tree Structure Parameters

(1) Extraction of Single Tree Factor and Accuracy Verification: Firstly, based on the terrestrial point cloud data and backpack point cloud data of 12 individual trees, the construction of the tree QSM and extraction of structure parameters of individual trees were completed by using the AdQSM algorithm. In this study, the value of CP was set to 0.003 when reconstructing an individual tree, and six different HS values (0.5, 0.6, 0.7, 0.8, 0.9, 1.0) were set for multiple reconstructions. The average value of six results was calculated as the final tree reconstruction result.
Taking the measured individual tree factor and manually measured branch parameters as the reference value, the Bias, rBias, RMSE, and rRMSE of the estimated individual tree factor from the tree QSM and the corresponding reference value were calculated using Equations (8)–(11), respectively, to comprehensively evaluate the estimation capability and the degree of error of the terrestrial LIDAR data and the backpack LIDAR data. The RMSE reflects the estimation accuracy, and the estimation accuracy increases with the decrease in RMSE. The specific formula is as follows:
B i a s = 1 n i = 1 n y i y d e s t ,
R M S E = y i y d e s t 2 n ,
r B i a s % = B i a s y r ¯ × 100 % ,
r R M S E % = R M S E y r ¯ × 100 % ,
where y i represents the estimated value of the ith tree from AdQSM, y d e s t represents the reference value from hand measurement, y r ¯ represents the average reference measurement, and n represents the number of trees.
(2) Acquisition of Branch Parameters and Fractal Characteristics: In order to carry out the branch characteristics of Ginkgo, 20 branches were uniformly and randomly selected at each level of branches in each individual tree. The average length, average diameter at the base of the branch, and average branch angle were calculated. Finally, the Ratio of Branch Diameter (RBD), Overall Bifurcation Ratio (OBR), and Step wise Bifurcation Ratio (SBR) were calculated as follows [35,36]:
R B D = D i + 1 D i ,
where D i + 1 and D i represent the diameters of the (i + 1)th and ith level branches, respectively.
O B R = N T N s N T N 1 ,
where N T = N i denotes the total number of branches at all branch levels; N s is the number of branches at the highest level; and N 1 is the number of branches at the first level.
S B R i : i + 1 = N i N i + 1 ,
where N i and N i + 1 are the total number of branches at level i and i + 1, respectively.

2.7.3. Wood Basic Density Prediction

Using resistance, diameter, tree height, and crown width as independent variables and wood basic density as the dependent variable, the first three principal components were extracted using principal component analysis, and then the linear regression equations between resistance values and wood basic density were established based on the extracted principal components.

3. Results

3.1. The Results of Individual Tree Segmentation

As shown in Figure 4 and Table 3, for the 139 Ginkgo plants in the sample plot, 133 plants were correctly segmented, and the F-value of individual tree segmentation was greater than 0.90, with a precision rate of 0.92 and a recall rate of 0.96.

3.2. Individual Tree Structure Parameters Extraction and Analysis

3.2.1. DBH

The accuracy of extracted individual tree DBH based on the QSM were all high (R2 = 0.96 for TLS and R2 = 0.92 for BLS). The reference values of DBH ranged from 5.1 cm to 13.8 cm, the AdQSM estimates of DBH based on TLS ranged from 5.8 cm to 14.3 cm, and the AdQSM estimates of DBH based on BLS ranged from 7.8 cm to 19.0 cm. The R2 for the linear fit of the AdQSM’s estimates of DBH based on TLS and BLS to the reference values were 0.96 and 0.92, respectively, with slopes of 1.04 and 1.26. The estimates of DBH based on TLS had a good fit to the reference value without large deviations (Figure 5a). By using the least squares method, Bias and rBias were calculated to be 0.66 cm and 7.13% for DBH based on TLS and 4.39 cm and 47.64% for DBH based on BLS, respectively. The average DBH was 9.2 cm, leading to an rRMSE of 9.06% and 49.12%, respectively.

3.2.2. Tree Height

The accuracy of extracted individual tree heights based on QSM were all high (R2 = 0.85 for TLS and R2 = 0.90 for BLS). The reference values of tree height ranged from 4.8 m to 8.9 m, the AdQSM estimates of tree height based on TLS ranged from 4.7 m to 8.7 m, and the AdQSM estimates of tree height based on BLS ranged from 4.7 m to 9.1 m. The R2 for the linear fit of the AdQSM’s estimates of tree height based on TLS and BLS to the reference values were 0.85 and 0.90, respectively, with slopes of 0.91 and 1.01. The AdQSM estimates of tree height did not change significantly with the change in tree height, and estimates of tree height based on TLS and BLS both had a good fit to the reference values (Figure 5b). AdQSM did not have a large bias in the calculation of tree height based on TLS and BLS. By using the least squares method, Bias and rBias were calculated to be −0.14 m and −1.99% for tree height based on TLS and 0.06 m and 0.92% for tree height based on BLS, respectively. The average tree height was 6.9 m, resulting in an rRMSE of 6.95% and 5.86%, respectively.

3.2.3. Crown Width

The accuracy of extracted individual tree crown widths based on the QSM were all high (R2 = 0.99 for TLS and R2 = 0.98 for BLS). Crown width reference values ranged from 1.0 m to 4.1 m, the AdQSM estimates of crown width based on TLS ranged from 0.9 m to 4.1 m, and the AdQSM estimates of crown width based on BLS ranged from 0.9 m to 4.0 m. The R2 for the linear fits of AdQSM estimates of crown width based on TLS and BLS to the reference values were 0.99 and 0.98, respectively, with slopes of 1.07 and 0.98. The AdQSM estimates of crown width did not change significantly with the change in crown width, and estimates of crown width based on TLS and BLS both had a good fit to the reference values. AdQSM did not have a large bias in the calculation of crown width based on TLS and BLS (Figure 5c). By using the least squares method, Bias and rBias were calculated to be −0.12 m and −5.30% for crown width based on TLS and −0.01 m and −0.51% for crown width based on BLS, respectively. The average crown width was 2.3 m, leading to an rRMSE of 10.02% and 9.78%, respectively.
The correlation coefficients, R2, between the estimated values and the reference values were above 0.8 for DBH, tree height, and crown width extracted by the AdQSM based on TLS and BLS. The results showed that the LiDAR point cloud-based reconstruction of branches and trunks had the highest accuracy in estimating crown width and the lowest accuracy in estimating tree height. In particular, the accuracy of estimating DBH and crown width based on BLS was slightly lower than that based on TLS, and the accuracy of estimating tree height based on BLS was slightly higher than that based on TLS. This may be due to the fact that the sensor accuracy of the backpack LiDAR is lower than that of the terrestrial LiDAR, which makes the point cloud sparser and the estimation error of DBH and crown width larger.

3.3. Branch Parameters and Fractal Characteristics Analysis

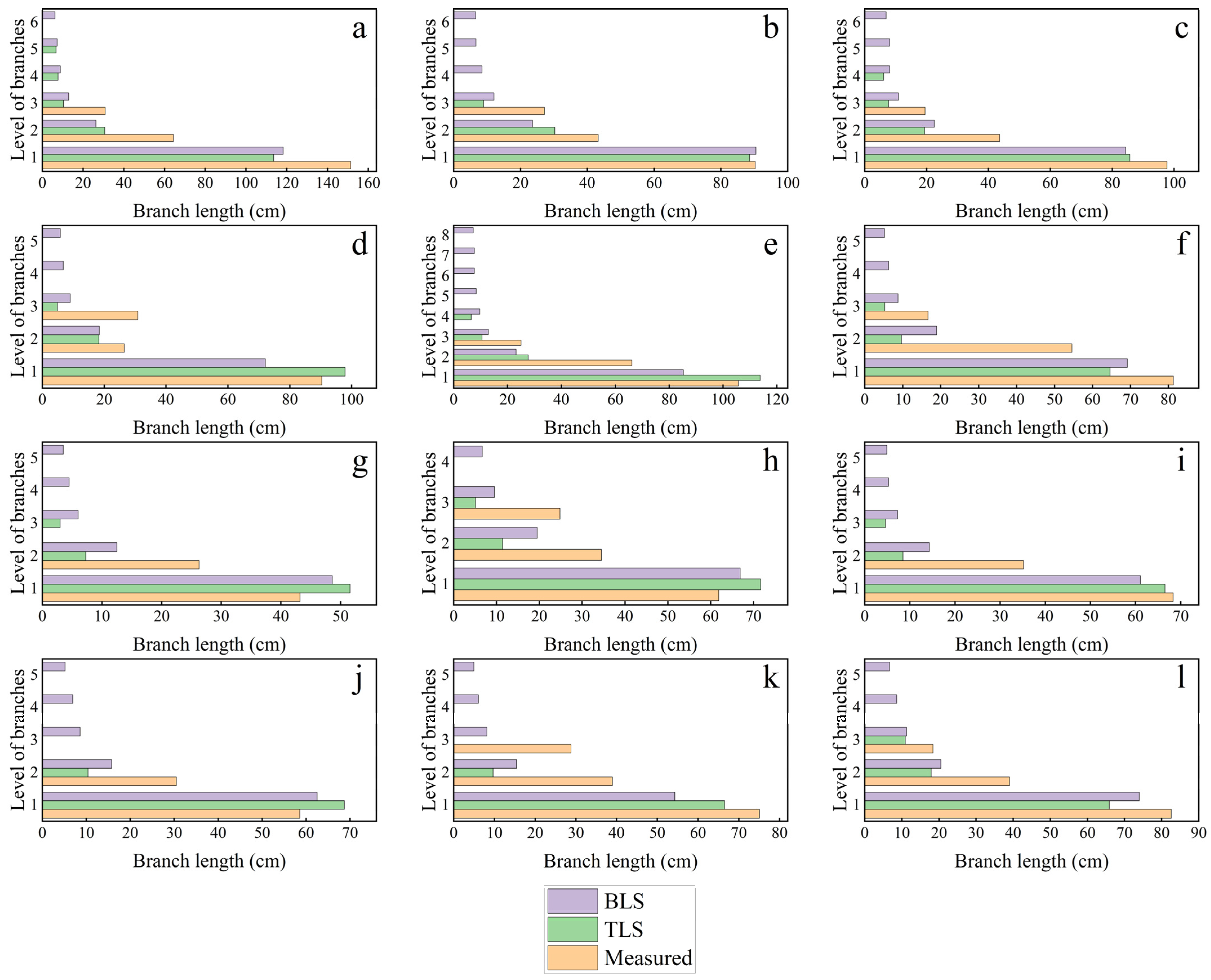
In this study, 20 branches were randomly selected from each level of branch of each individual tree in the terrestrial point cloud data, and branch lengths, branch diameters, and angles were manually measured as the reference values of the AdQSM. Branch length is one of the main indicators for measuring the spatial extension performance of branch systems. In total, 9 of the 12 sample trees had three levels of branches and 3 had only two levels of branches. The number of primary branches ranged from 54 to 126, the average branch length ranged from 43.2 to 151.4 cm, the average branch diameter ranged from 1 to 2.3 cm, and the average branch angle ranged from 38.5 to 64.5°. The number of secondary branches ranged from 10 to 240, with the average branch length of 26.3 to 66.1 cm, the average branch diameter of 0.7 to 1.3 cm, and the average branch angle of 45 to 68.9°. The number of third-order branches ranged from 2 to 33, with the average branch length ranging from 16.7 to 30.9 cm, the average branch diameter ranging from 0.6 to 0.9 cm, and the average branch angle ranging from 46 to 78.8°. From the box plot in Figure 6, it can be observed that the number of secondary branches >> the number of third-order branches, the branch length of primary branches > the branch length of secondary branches > the branch length of third-order branches, and the branch diameter of primary branches > the branch diameter of secondary branches > the branch diameter of third-order branches. The statistical results showed that branch length and branch diameter decreased with the ascent of branch level.
The branch parameters of Ginkgo are shown in Table 4. The ratio of branch diameter of primary and secondary branches was in the range of 0.56~0.81, with a mean value of 0.69, and that of secondary and third-order branches was in the range of 0.56~1.03, with a mean value of 0.57. The overall bifurcation ratio was in the range of 1.26~5.4, with a mean value of 2.36. The stepwise bifurcation ratio of primary and secondary branches was in the range of 0.43~5.4, with a mean value of 1.77, and that of secondary and third-order branches was in the range of 3.86~48, with a mean value of 16.11. The difference in the stepwise bifurcation ratio between SBR1:2 and SBR2:3 was large, reflecting its way of increasing branches and positional characteristics. The ratio of branch diameter of RBD2 and RBD3 reflected the relationship between branch diameters at different levels.
Figure 7 shows the terrestrial point cloud, the backpack point cloud, and the tree QSM constructed by the AdQSM of three randomly selected sample trees. From the figure, it can be seen that the QSM constructed based on BLS had more branches and more branch levels than that based on TLS. As shown in Figure 8, the number of branch levels estimated by the AdQSM based on TLS and BLS was compared to reference values, and it can be seen that the number of branch levels estimated based on TLS was similar or slightly more than the reference values, and the number of branch levels estimated based on BLS was one time more than reference values.
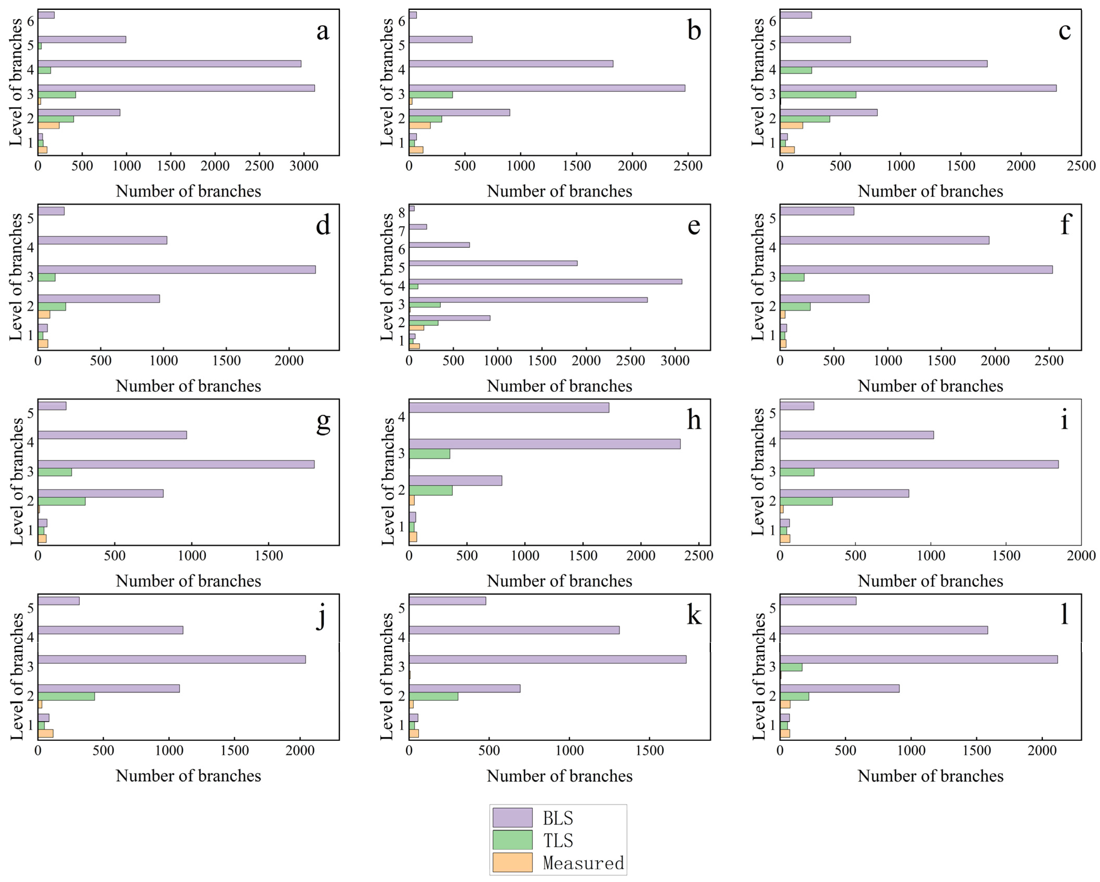
Figure 9, Figure 10 and Figure 11 showed the comparison between the reference values of number, length, and angle of branch and the estimated values extracted by AdQSM based on TLS and BLS. The number of primary branches estimated by the AdQSM based on TLS was half of the reference value, and the number of secondary branches was more than 1.5 times the reference value. The number of primary branches based on BLS was similar to or half of the reference value, and the number of secondary branches was more than 3.5 times the reference value. As shown in Figure 9, the number of primary branches based on TLS and BLS was generally smaller than the reference value, and the number of secondary branches was generally larger than the reference value. The error of the number of primary branches based on TLS was larger than that based on BLS, and the error of the number of secondary branches was smaller than that based on BLS. The results demonstrated that the prediction error of the number of branches increased with the branch level, especially for estimated values based on BLS.
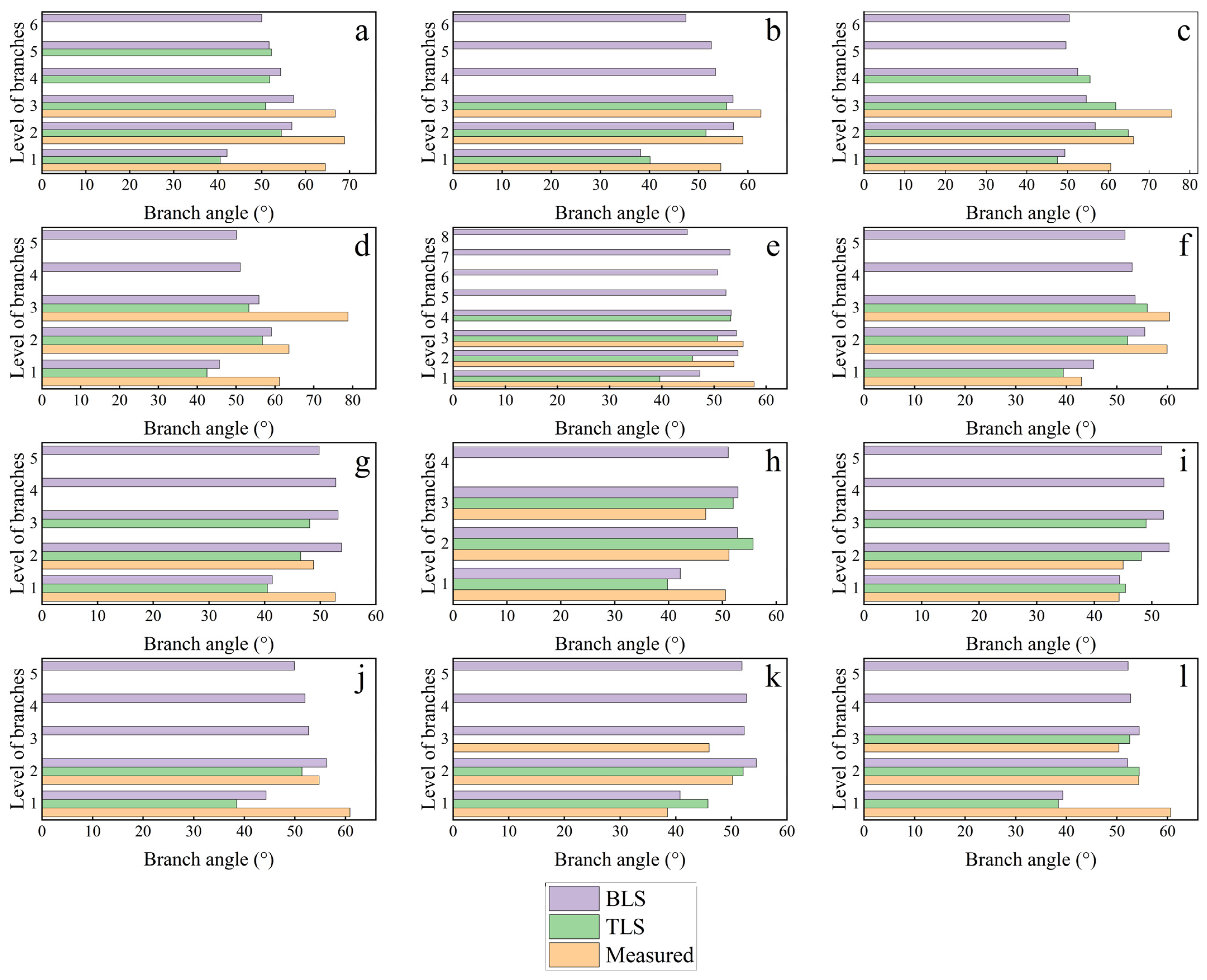
The length of primary branches estimated by the AdQSM based on TLS and BLS were relatively accurate with small biases, and the length of secondary branches based on TLS and BLS was too small, only half of the reference values. The diameters of primary branches estimated by the AdQSM based on TLS were 2.5 to 6 times the reference value, and the diameters of the secondary branches were 1 to 6.5 times the reference value. The diameters of the primary branches based on BLS were 3 to 13 times the reference value, and the diameter of the secondary branches were 1 to 3.5 times the reference value. As can be seen from Figure 11, the accuracies of branch angle estimation based on TLS and BLS were similar and relatively high.
In summary, the accuracy of branch length extracted by the AdQSM based on TLS and BLS were relatively similar and so was the accuracy of branch angle. The estimation accuracy of branch diameter and number of secondary branches based on BLS was lower than that based on TLS, and the estimation accuracy of number of primary branches based on BLS was higher than that based on TLS.

3.4. Wood Basic Density Prediction Modeling

Wood basic density of Ginkgo was highly significantly positively correlated with wood resistance, and the coefficient of determination, R2, reached 0.51 (Figure 12a), which shows that wood resistance can be used to predict the wood density of Ginkgo monocots. The linear regression equation for predicting the wood basic density, which was established by using the measured resistance calibration values, was as follows:
y = 0.0017x + 0.2727
As shown in Figure 12b, the 30 Ginkgoes were divided into three groups according to the diameter, and the density of the 10 Ginkgoes with the smallest diameter was related to the resistance as follows: y = 0.0015x + 0.2976, R2 = 0.54; the density of the 10 Ginkgoes with the medium diameter was related to the resistance as follows: y = 0.0012x + 0.3575, R2 = 0.44; and the density of the 10 Ginkgoes with the largest diameter was related to the resistance as follows: y = 0.002x + 0.2176, R2 = 0.40. It can be seen that the smaller the diameter of Ginkgo, the higher the correlation between basic density and resistance.
According to the correlation analysis between wood density and resistance and field measurement values of individual tree factors (diameter at 0.5 m height, tree height, crown width) (Table 5), the basic density of Ginkgo showed a highly significant positive correlation with wood resistance (R = 0.727, p < 0.01). However, the correlation between basic density and diameter, tree height, and crown width was not significant, which is similar to the results of other studies [37,38]. Wood resistance had a significant negative correlation with crown width and a non-significant correlation with both diameter and tree height; diameter had a highly significant positive correlation with both tree height and crown width, but tree height had a non-significant correlation with crown width.
The wood basic density was taken as the dependent variable and the resistance, field measurement values of diameter, tree height, and crown width were taken as the independent variables. Then, principal components were extracted from independent variables using principal component analysis to construct the wood basic density prediction model. It can provide a reference for the nondestructive estimation of wood density. As Table 6 shows the eigenvalues of the four principal components, in which the cumulative variance explanation rate of principal components 1 and 2 reached 82.22%, and the cumulative variance explanation rate of principal components 1, 2, and 3 reached 98.24%, so the principal components 1, 2, and 3 were chosen as the independent variable factors for predicting the basic density. The component matrices of principal components 1, 2, and 3 are shown in Table 7.
The loadings are the correlation coefficients between the principal components and the original variables, indicating the degree of contribution of the original variables to the principal components. As shown in Table 7, resistance, diameter, crown width, and tree height had high loadings and strong correlations on the first principal component, with diameter having the highest loadings and resistance the lowest. Tree height had the highest loading on the second principal component, and resistance had the highest loading on the third principal component. The four original variables were reduced to a few principal components by data reduction and retaining as much information as possible about the original variables and uncorrelated with each other.
The three extracted principal components were used as independent variables in the linear regression model for regression analysis, and the model for predicting wood density was obtained as follows:
y = 0.0065 × Z 1 + 0.0083 × Z 2 + 0.0173 × Z 3 + 0.509
The formula for the predictive regression model for the wood basic density obtained after reduction in the principal components was as follows:
y = 0.0013 × x 1 + 0.0042 × x 2 + 0.0083 × x 3 + 0.0032 × x 4 + 0.2507
The model prediction accuracy of the three parameters combined with the resistance values (0.49) was slightly higher than the model prediction accuracy of the medium- and large-diameter groups that predicted the wood basic density from the resistance values only (0.44 and 0.40).

4. Discussion

The results demonstrated that the overall accuracy of individual tree segmentation was high, which was due to the fact that the trees in plantation forests were neatly distributed and evenly spaced. It can be seen that the QSM based on BLS had good applicability. The estimation accuracy of DBH, tree height, and crown width of Ginkgo based on BLS was high, and the difference between which and the extraction accuracy based on TLS was small. Rapid, accurate, non-destructive, and low-cost acquisition of individual tree structure parameters is of great significance for estimating forest biomass and carbon storage, analyzing forest health changes, and estimating forest growth and harvest [39]. At present, airborne LiDAR and terrestrial LiDAR are widely used and researched in forestry resource monitoring, but the workload and cost of data collection in field work are relatively high. When collecting forestry data by terrestrial LiDAR, it is necessary to carry out operations such as setting targets, erecting stations, scanning, and moving stations. Completing the overall data collection requires a certain amount of manpower and time, and the collected data also need to be concatenated at multiple stations before outputting the final collection results. Compared with airborne and terrestrial LiDAR, backpack LiDAR has excellent technical characteristics such as high efficiency, full coverage, and true 3D measurement. It is easy to carry, and data acquisition is not affected by external factors such as weather and terrain, and the measurement range is easy to control [32]. The advantages of backpack LiDAR become increasingly apparent in forest stands where it is difficult to navigate [40], and backpack LiDAR is particularly suitable for data collection at the scale of plot [41]. The obtainment of forest structural parameters based on backpack LiDAR is helpful for efficient management of forest resources and scientific decision making [27] and also brings higher efficiency to forest resource monitoring, carbon stock assessment, and large-scale ecological monitoring.
The small difference between TLS and BLS in the estimation accuracy of branch length and branch angle extracted by the QSM may be because branch length and branch angle were less affected by the point cloud density. The relatively low accuracy of the estimation of branch number and branch diameter based on the BLS was, firstly, because the AdQSM algorithm had an error in the extraction of branch diameter [9] and, secondly, because of the limitations of equipment accuracy [17]. The accuracy of the TLS sensor is ±5 mm, and the accuracy of the BLS sensor is ±3 cm. Therefore, BLS point clouds were not enough to reconstruct of the branches with small diameters; the intersection of branch point clouds made the demarcation lines of different branches not clear, making it difficult to recognize branch nodes and reconstruct branches. The pre-processing of BLS point cloud data will remove some point clouds of small branches.
The insufficient accuracy of BLS point clouds mainly stems from the errors in point cloud stitching and the accuracy loss caused by the fusion of point cloud segments with different accuracies. Due to the lack of GPS signals in the forest, only the Simultaneous Localization and Mapping (SLAM) algorithm can be used to solve this problem, and there is currently no particularly good SLAM algorithm that can achieve the same level of accuracy as TLS for BLS point clouds. In addition, when the distance between the sensor and the measured point is far, the displacement calculated by the Inertial Measurement Unit (IMU) will be severely amplified, making the data segments collected by BLS have larger measurement errors when the distance is far. After all point cloud segments are mechanically fused, high-precision data and low-precision data are mixed together, causing serious accuracy loss [2]. Therefore, further work is needed to optimize the denoising algorithm. For example, Cai et al. [2] found that filtering low-intensity point clouds with appropriate thresholds for backpack LiDAR point clouds can reduce the number of point clouds with stitching errors and low-precision point clouds with long distances and improve the accuracy of BLS point cloud extraction of DBH. Furthermore, this study selected artificial forests with sparse understory vegetation for experimentation. However, in the actual field investigation, it is inevitable to encounter situations where the understory environment is complex and difficult to navigate. When there are usually many shrubs and weeds under the forest, the extraction results of DBH will be greatly affected [41]. Therefore, in forest stands with dense understory shrubs, further research is needed to investigate the difference in accuracy between QSM extraction of tree structural parameters based on TLS and BLS.
The positive correlation between the wood basic density of Ginkgo and wood resistance was highly significant, with the coefficient of determination, R2, reaching 0.51, which showed that wood resistance can be used to predict the wood density of Ginkgo monocultures. The larger the diameter of Ginkgo, the lower the correlation between basic density and resistance. This may be due to the increasing frictional force on the needle when the Resistograph was drilling into the trunk, causing the needle to shake more violently. Therefore, the larger the diameter of the tree, the greater the impact of needle shaking on resistance values. The results indicated that compared with the linear regression model (R2 = 0.44, 0.40) that predicted the wood basic density based on resistance values for medium and large diameter groups, the model with individual tree structure parameters added had slightly improved prediction accuracy (R2 = 0.49). By improving the extraction accuracy and extraction efficiency of individual tree structure parameters from LiDAR point clouds, we provide a technical basis for estimating wood density based on LiDAR.
The use of tree characteristic factors obtained from forest resource surveys (such as tree height, diameter at breast height, crown width, and trunk taper) combined with stand factors (such as forest density and site quality) to establish predictive models for timber properties, quality, grade, and economic value has always been a method adopted in forest management abroad. It can effectively evaluate the quality and economic value of forest resources [42,43,44]. This study conducted research and accuracy verification on BLS extraction of single wood structural parameters and prediction of wood density based on single wood structural parameters, providing a reasonable theoretical basis for predicting wood properties based on backpack LiDAR extraction of forest external structural parameters. The future research direction is to establish corresponding prediction models using tree characteristic factors to achieve rapid assessment of forest resource quality and output value and timely monitoring, analysis, and prediction of forest behavior [45]. It can be foreseen that the use of remote sensing technology to obtain forest investigation factors combined with modeling technology provides a new means and method for forest resource management, which is of great significance for targeted cultivation of trees and efficient and rational utilization of timber resources.

5. Conclusions

Estimation and analysis of individual tree structure parameters of Ginkgo by constructing tree QSM based on TLS and BLS were shown:
(1)
The estimation accuracies of individual tree structure parameters (DBH, tree height, and crown width) extracted from tree QSM constructed based on TLS and BLS all had an R2 > 0.8. The estimation accuracy of DBH based on TLS was slightly higher than that based on BLS, and the estimation accuracy of tree height and crown width based on TLS was slightly lower than that based on BLS.
(2)
The estimation accuracies of branch length and branch angle extracted from QSM based on TLS were similar to those based on BLS, and the accuracy of branch diameter based on BLS was lower than that based on TLS. The accuracy of the number of primary branches based on BLS was higher than that based on TLS, and the result was opposite for the number of secondary branches.
(3)
Wood basic density was highly significantly and positively correlated with wood resistance (R2 = 0.51), and the coefficient of determination, R20, of basic density and resistance decreased sequentially from the small to large diameter groups (0.54, 0.44, 0.40).
The above results indicated that the QSM based on BLS had good applicability. The feasibility of extracting individual tree structure parameters (DBH, tree height, crown width, number of branches, branch length, branch diameter, branch angle) from the QSM based on BLS is high. BLS has great potential in accurately obtaining forest structure information and improving the efficiency of forest information collection, which can help promote forest resource monitoring, forest carbon sink estimation, and forest ecological research. It can serve as a powerful supplement to existing forest resource monitoring methods and survey data [29]. The principal components extracted by combining resistance values and individual tree structure parameters can predict wood density to a certain extent. By timely monitoring, analyzing, and predicting wood quality during the growth of trees, guidance can be provided for forest management, which is of great significance for targeted cultivation of timber forests, improving wood quality, and increasing utilization rates; it also provides a reference for forest operators to evaluate the use and economic value of timber products.

Author Contributions

Conceptualization, L.C.; methodology, T.L., X.S. and K.Z.; software, T.L., X.S. and K.Z.; validation, T.L., X.S. and K.Z.; formal analysis, T.L.; writing—original draft preparation, T.L.; writing—review and editing, T.L., X.S., K.Z. and L.C.; visualization, T.L.; supervision, L.C.; funding acquisition, L.C. All authors have read and agreed to the published version of the manuscript.

Funding

This research was funded by the STI 2030—Major Projects (2023ZD0405605), National Key Research and Development Program (2022YFD2200101).

Data Availability Statement

Data are contained within the article.

Acknowledgments

We gratefully acknowledge the graduate students from the department of forest management at Nanjing Forestry University for field works.

Conflicts of Interest

The authors declare no conflicts of interest.

References

  1. Liu, L.X.; Pang, Y. Applications of Airborne Laser Scanning and Terrestrial Laser Scanning to Forestry. World For. Res. 2014, 27, 49–56. [Google Scholar] [CrossRef]
  2. Cai, S.; Xing, Y.Q.; Duanmu, J.L. Extraction of DBH from Filtering out Low Intensity Point Cloud by Backpack Laser Scanning. For. Eng. 2021, 37, 12–19. [Google Scholar] [CrossRef]
  3. Guzmán Q, J.A.; Sharp, I.; Alencastro, F.; Sánchez-Azofeifa, G.A. On the relationship of fractal geometry and tree–stand metrics on point clouds derived from terrestrial laser scanning. Methods Ecol. Evol. 2020, 11, 1309–1318. [Google Scholar] [CrossRef]
  4. Markku, Å.; Raumonen, P.; Kaasalainen, M.; Casella, E. Analysis of Geometric Primitives in Quantitative Structure Models of Tree Stems. Remote Sens. 2015, 7, 4581–4603. [Google Scholar] [CrossRef]
  5. Raumonen, P.; Kaasalainen, M.; Åkerblom, M.; Kaasalainen, S.; Kaartinen, H.; Vastaranta, M.; Holopainen, M.; Disney, M.; Lewis, P. Fast Automatic Precision Tree Models from Terrestrial Laser Scanner Data. Remote Sens. 2013, 5, 491–520. [Google Scholar] [CrossRef]
  6. Cao, W.; Chen, D.; Shi, Y.F.; Cao, Z.; Xia, S.B. Progress and Prospect of LiDAR Point Clouds to 3D Tree Models. Geomatics Inf. Sci. Wuhan Univ. 2021, 46, 203–220. [Google Scholar] [CrossRef]
  7. Delagrange, S.; Jauvin, C.; Rochon, P. PypeTree: A Tool for Reconstructing Tree Perennial Tissues from Point Clouds. Sensors 2014, 14, 4271–4289. [Google Scholar] [CrossRef] [PubMed]
  8. Hackenberg, J.; Spiecker, H.; Calders, K.; Disney, M.; Raumonen, P. SimpleTree—An Efficient Open Source Tool to Build Tree Models from TLS Clouds. Forests 2015, 6, 4245–4294. [Google Scholar] [CrossRef]
  9. Li, H.; Lin, Y.; Meng, X.S.; Shi, Z.W.; Cai, W.Y. Fractal Characteristics of Koelreuteria paniculata on Ground-based LiDAR. J. Shandong Agric. Univ. Nat. Sci. Ed. 2022, 53, 475–483. [Google Scholar] [CrossRef]
  10. Yang, J. Tree Skeleton Extraction and Modeling Based on TLS Data and their Applications. Master’s Thesis, Nanjing Forestry University, Nanjing, China, 2023. [Google Scholar]
  11. Peng, W.Y.; Jia, W.W.; Wang, F.; Li, X.; Li, D.D. Extraction and model construction of First-order branch of Larix olgensis plantation based on QSM. J. Nanjing For. Univ. Nat. Sci. Ed. 2024, 1–11. [Google Scholar]
  12. Hyyppä, J.; Jaakkola, A.; Chen, Y.W.; Kukko, A. Unconventional LIDAR mapping from air, terrestrial and mobile. PhoWo 2013, 13, 205–214. [Google Scholar]
  13. Rönnholm, P.; Liang, X.; Kukko, A.; Jaakkola, A.; Hyyppä, J. Quality Analysis and Correction of Mobile Backpack Laser Scanning Data. ISPRS Ann. Photogramm. Remote Sens. Spat. Inf. Sci. 2016, 3, 41–47. [Google Scholar] [CrossRef]
  14. Chen, S.L.; Liu, H.Y.; Feng, Z.K.; Shen, C.Y.; Chen, P.P. Applicability of personal laser scanning in forestry inventory. PLoS ONE 2019, 14, e0211392. [Google Scholar] [CrossRef]
  15. Huang, Z.X.; Xing, T.; Xing, Y.Q.; Wang, Q. Extraction of single tree skeleton curves based on dynamic cylinder fitting by using backpack laser scanning. J. Cent. South Univ. For. Technol. 2021, 41, 68–76. [Google Scholar] [CrossRef]
  16. Fan, G.P. Development and Application of Tree Quantitative Structure Models Based on LiDAR Point Clouds. Ph.D. Thesis, Beijing Forestry University, Beijing, China, 2021. [Google Scholar] [CrossRef]
  17. Zhang, C.J. Branch Information Extraction of Apple Tree Based on LiDAR Data. Master’s Thesis, Xi’an University of Science and Technology, Xi’an, China, 2021. [Google Scholar] [CrossRef]
  18. Gao, S.; Wang, X.P.; Brashaw, B.K.; Ross, R.J.; Wang, L.H. Rapid Assessment of Wood Density of Standing Trees with Nondestructive Methods—A Review. In Proceedings of the 2012 International Conference on Biobase Material Science and Engineering, Changsha, China, 21–23 October 2012; IEEE: Piscataway, NJ, USA, 2013; pp. 262–267. [Google Scholar] [CrossRef]
  19. Wu, S.H.; Wang, Y.Y.; Tan, T.T.; Li, L.M.; Lan, X.H.; Du, F.G. Application Status and Prospect of Resistograph in Tree and Wood Detection. J. Jilin For. Sci. Technol. 2023, 52, 36–40. [Google Scholar] [CrossRef]
  20. Ding, X.Y.; Tao, X.Y.; Diao, S.; Luan, Q.F.; Jiang, J.M. Estimation of wood basic density in a Pinus elliottii stand using Pilodyn and Resistograph measurements. J. Nanjing For. Univ. Nat. Sci. Ed. 2020, 44, 142–148. [Google Scholar] [CrossRef]
  21. Zhao, F.C.; Guo, W.B.; Zhong, S.Y.; Deng, L.P.; Wu, H.S.; Lin, C.M.; Liao, F.Y.; Tan, Z.Q.; Li, Y.L. Effects of Indirect Selection on Wood Density Based on Resistograph Measurement of Slash Pine. Sci. Silvae Sin. 2018, 54, 172–179. [Google Scholar] [CrossRef]
  22. Yao, J.F.; Lei, X.D.; Wang, X.F.; Fu, L.Y.; Zheng, Y.L.; Guo, X.Z.; Duan, G.S.; Song, X.Y. Effect of moisture content on drill resistance of micro drill resistance instrument. J. Cent. South Univ. For. Technol. 2022, 42, 137–147. [Google Scholar] [CrossRef]
  23. Liu, K.; Shen, X.; Cao, L.; Wang, G.; Cao, F. Estimating Forest Structural Attributes Using UAV-LiDAR Data in Ginkgo Plantations. ISPRS J. Photogramm. Remote Sens. 2018, 146, 465–482. [Google Scholar] [CrossRef]
  24. Cao, F.L.; Wang, G.B.; Yu, W.W. Oriented cultivation techniques for leaf-harvest plantation of Ginkgo biloba L. J. Nanjing For. Univ. Nat. Sci. Ed. 2014, 38, 146–152. [Google Scholar] [CrossRef]
  25. Liu, L.J.; Xing, S.Y.; Cao, F.L.; Wang, G.B.; Li, Z.; Fu, Z.J.; Wu, Q.K.; Liu, X.J.; Xin, H. Influences of afforestation measures on the growth of ginkgo timber forests. Subtrop. Agric. Res. 2012, 8, 241–245. [Google Scholar] [CrossRef]
  26. Cheng, H.; Chu, L.; Yan, C.; Wang, L.J.; Dong, L.H. Quantitative Analysis and Evaluation of Soil-preferential flow Flows in Artificial Economic Forests: A Case Study in Xiashu Forest Farm of Zhenjiang. J. Northeast For. Univ. (Chin. Ed.) 2019, 47, 60–66. [Google Scholar] [CrossRef]
  27. Wang, Y.P.; Zhang, W.G.; Hu, L.; Liu, T.T.; Cao, S.S.; Wang, L.; Sun, W. 3D Parameter Measurement Dataset of Picea schrenkiana var. tianshanica by Using Backpack LiDAR in 2019. J. Agric. Big Data 2022, 4, 119–124. [Google Scholar] [CrossRef]
  28. Jin, S.N.; Zhang, W.M.; Cai, S.S.; Shao, J.; Cheng, S.; Xie, D.H.; Yan, G.J. Stem and branch volume estimation using terrestrial laser scanning data. J. Remote Sens. 2023, 27, 1653–1666. [Google Scholar] [CrossRef]
  29. Cheng, J.Q. Wood Density. In Wood Science; China Forestry Publishing House: Beijing, China, 1985; pp. 463–467. [Google Scholar]
  30. Yang, Y.L.; Xiao, H.J.; Xin, Z.M.; Fan, G.P.; Li, J.R.; Jia, X.X.; Wang, L.T. Assessment on the declining degree of farmland shelter forest in a desert oasis based on LiDAR and hyperspectrum imagery. Chin. J. Appl. Ecol. 2023, 34, 1043–1050. [Google Scholar] [CrossRef]
  31. Lee, H.; Slatton, K.C.; Roth, B.E.; Cropper, W.P. Adaptive clustering of airborne LiDAR data to segment individual tree crowns in managed pine forests. Int. J. Remote Sens. 2010, 31, 117–139. [Google Scholar] [CrossRef]
  32. Qiu, Q.; Zhang, W.G.; Wang, L.; Cao, S.S.; Sun, W. Estimation of Single Wood Factor of Picea schrenkiana var.tianshanica Forest Based on Backpack LiDAR. For. Grassl. Resour. Res. 2021, 50, 99–109. [Google Scholar] [CrossRef]
  33. Tao, S.L.; Wu, F.F.; Guo, Q.H.; Wang, Y.C.; Li, W.K.; Xue, B.L.; Hu, X.Y.; Li, P.; Tian, D.; Li, C.; et al. Segmenting tree crowns from terrestrial and mobile LiDAR data by exploring ecological theories. ISPRS J. Photogramm. Remote Sens. 2015, 110, 66–76. [Google Scholar] [CrossRef]
  34. Ma, K.S. Study on the Individual Tree Segmentation and Forest Parameters Extraction by Terrestrial Laser Scanning. Ph.D. Thesis, Central South University of Forestry & Technology, Changsha, China, 2023. [Google Scholar] [CrossRef]
  35. Chen, K. Visual Simulation Research on Branching Structure of Cunninghamia lanceolata. Master’s Thesis, Chinese Academy of Forestry, Beijing, China, 2011. [Google Scholar] [CrossRef]
  36. Shi, H.J. Plant Architecture Characteristics of Haloxylon ammodendron at Different Ecological Habits in the South Edge of Gurbantunggut Desert. Master’s Thesis, Shihezi University, Shihezi, China, 2015. [Google Scholar] [CrossRef]
  37. Matziris, D.I.; Zobel, B.J. Inheritance and Correlations of Juvenile Characteristics in Loblolly Pine (Pinus taeda L.). Silvae Genet. 1973, 22, 38–45. [Google Scholar]
  38. Ma, Y.T.; Zheng, W.; Shu, X.W. Correlation between Wood Characteristics and Growth Characters of Pinus yunnanensis. J. West China For. Sci. 2002, 31, 68–70. [Google Scholar] [CrossRef]
  39. Dong, X.Y.; Li, J.G.; Chen, H.Y.; Zhao, L.; Zhang, L.M.; Xing, S.H. Extraction of individual tree information based on remote sensing images from an Unmanned Aerial Vehicle. Natl. Remote Sens. Bull. 2019, 23, 1269–1280. [Google Scholar] [CrossRef]
  40. Wei, X.H.; Wang, Y.G.; Zheng, J.; Wang, M.; Feng, Z.K. Tree Crown Volume Calculation Based on 3-D Laser Scanning Point Clouds Data. Trans. Chin. Soc. Agric. Mach. 2013, 44, 235–240. [Google Scholar]
  41. Yang, J.; Wang, F.; Song, Z.Y. Development of Natural Forest Quercus mongolica Diameter-Height Curve Model Based on BLS. For. Eng. 2023, 39, 57–64. [Google Scholar]
  42. Lei, Y.C.; Zhang, S.Y.; Jiang, Z.H. Models for predicting lumber bending MOR and MOE based on tree and stand characteristics in black spruce. Wood Sci. Technol. 2005, 39, 37–47. [Google Scholar] [CrossRef]
  43. Zhang, S.Y.; Lei, Y.C. Quantifying stem quality characteristics in relation to initial spacing and modeling their relationship with tree characteristics in black spruce (Picea mariana). North. J. Appl. For. 2005, 22, 85–93. [Google Scholar] [CrossRef]
  44. Liu, C.M.; Zhang, S.Y. Models for predicting product recovery using selected tree characteristics of black spruce. Can. J. For. Res. 2005, 35, 930–937. [Google Scholar] [CrossRef]
  45. Liu, X.E.; Jiang, Z.H.; Fei, B.H.; Li, Z.Y.; Pang, Y.; Fan, S.H. Discussion on Prediction of Wood Properties and Product Values of Plantation by Remote Sensing Technology. For. Res. 2005, 18, 425–429. [Google Scholar] [CrossRef]
Figure 1. Technical roadmap of the research. BLS: Backpack Laser Scanning; TLS: Terrestrial Laser Scanning; QSM: Quantitative Structure Model; DBH: diameter at breast height; H: tree height; RMSE: Root Mean Square Error.
Figure 1. Technical roadmap of the research. BLS: Backpack Laser Scanning; TLS: Terrestrial Laser Scanning; QSM: Quantitative Structure Model; DBH: diameter at breast height; H: tree height; RMSE: Root Mean Square Error.
Remotesensing 17 00099 g001
Figure 2. (a) The individual tree scanned by TLS and BLS and drilled by the Resistograph. (b) The photo of the sample plot. (c) The data acquisition route of BLS (the five-pointed star was the starting point of BLS’s scanning route; the red part represents high terrain; the blue part represents low terrain).
Figure 2. (a) The individual tree scanned by TLS and BLS and drilled by the Resistograph. (b) The photo of the sample plot. (c) The data acquisition route of BLS (the five-pointed star was the starting point of BLS’s scanning route; the red part represents high terrain; the blue part represents low terrain).
Remotesensing 17 00099 g002
Figure 3. (a) The operation of the Resistograph in field measurement; (b)the operation of growth cone in field measurement; (c) wood core samples soaked in water; (d) wood core samples during oven drying treatment.
Figure 3. (a) The operation of the Resistograph in field measurement; (b)the operation of growth cone in field measurement; (c) wood core samples soaked in water; (d) wood core samples during oven drying treatment.
Remotesensing 17 00099 g003
Figure 4. The results of individual tree segmentation. (a) Top view of the result of individual tree segmentation; (b) 3D view of the result of individual tree segmentation.
Figure 4. The results of individual tree segmentation. (a) Top view of the result of individual tree segmentation; (b) 3D view of the result of individual tree segmentation.
Remotesensing 17 00099 g004
Figure 5. Scatterplots of individual tree structure parameters between reference values and extracted values from the QSM based on TLS. (a) Scatterplot of DBH; (b) scatterplot of height; (c) scatterplot of crown width.
Figure 5. Scatterplots of individual tree structure parameters between reference values and extracted values from the QSM based on TLS. (a) Scatterplot of DBH; (b) scatterplot of height; (c) scatterplot of crown width.
Remotesensing 17 00099 g005
Figure 6. Box plots of the reference values of branch parameters. (a) Box plot of the number of branches for the primary, secondary, and third-order branches; (b) box plot of branch length for the primary, secondary, and third-order branches; (c) box plot of branch diameter for the primary, secondary, and third-order branches; (d) box plot of branch angle for the primary, secondary, and third-order branches.
Figure 6. Box plots of the reference values of branch parameters. (a) Box plot of the number of branches for the primary, secondary, and third-order branches; (b) box plot of branch length for the primary, secondary, and third-order branches; (c) box plot of branch diameter for the primary, secondary, and third-order branches; (d) box plot of branch angle for the primary, secondary, and third-order branches.
Remotesensing 17 00099 g006
Figure 7. Quantitative structure models of three sample trees based on the TLS point cloud and BLS point cloud. (a) TLS point cloud; (b) quantitative structure models based on TLS point cloud; (c) BLS point cloud; (d) quantitative structure models based on BLS point cloud. Groups (A,B,C) belong to three individual trees.
Figure 7. Quantitative structure models of three sample trees based on the TLS point cloud and BLS point cloud. (a) TLS point cloud; (b) quantitative structure models based on TLS point cloud; (c) BLS point cloud; (d) quantitative structure models based on BLS point cloud. Groups (A,B,C) belong to three individual trees.
Remotesensing 17 00099 g007
Figure 8. The levels of branches of each tree between reference values and extracted values from the QSM based on TLS and BLS.
Figure 8. The levels of branches of each tree between reference values and extracted values from the QSM based on TLS and BLS.
Remotesensing 17 00099 g008
Figure 9. The number of branches at each branch level between reference values and extracted values from QSM based on TLS and BLS. (al) belong to 12 individual trees.
Figure 9. The number of branches at each branch level between reference values and extracted values from QSM based on TLS and BLS. (al) belong to 12 individual trees.
Remotesensing 17 00099 g009
Figure 10. The length of branches at each branch level between reference values and extracted values from the QSM based on TLS and BLS. (al) belong to 12 individual trees.
Figure 10. The length of branches at each branch level between reference values and extracted values from the QSM based on TLS and BLS. (al) belong to 12 individual trees.
Remotesensing 17 00099 g010
Figure 11. The angle of branches at each branch level between reference values and extracted values from QSM based on TLS and BLS. (al) belong to 12 individual trees.
Figure 11. The angle of branches at each branch level between reference values and extracted values from QSM based on TLS and BLS. (al) belong to 12 individual trees.
Remotesensing 17 00099 g011
Figure 12. (a) The correlation analysis between resistance and basic density of 30 sample trees; (b) the correlation analysis between resistance and basic density of three groups (small, medium, and large) divided by diameter.
Figure 12. (a) The correlation analysis between resistance and basic density of 30 sample trees; (b) the correlation analysis between resistance and basic density of three groups (small, medium, and large) divided by diameter.
Remotesensing 17 00099 g012
Table 1. Summary of field inventory parameters.
Table 1. Summary of field inventory parameters.
ParametersT1T2T3T4T5T6T7T8T9T10T11T12
DBH (cm)13.810.810.28.912.77.35.196.49.96.610.2
Tree height (m)88.46.96.67.35.54.876.77.65.58.9
Crown width (m)11.31.31.61.61.82.52.633.23.94.1
Height to crown base (m)1.40.61.50.81.51.411.51.21.10.81.2
Table 2. Comparison of parameters between LiBackpack D50 Backpack LiDAR scanning system and RIEGL VZ-400i Terrestrial LiDAR scanning system.
Table 2. Comparison of parameters between LiBackpack D50 Backpack LiDAR scanning system and RIEGL VZ-400i Terrestrial LiDAR scanning system.
ParametersBLSTLS
Field of view100° (+60°/−40°)180° (−90°~90°)
360°360°
Accuracy3 cm5 mm
Measurement range100 m800 m
Scan frequency600,000 points/s1,200,000 points/s
Table 3. Individual tree segmentation verification of backpack LiDAR.
Table 3. Individual tree segmentation verification of backpack LiDAR.
Actual Number of TreesSegmentation ResultsAccuracy Evaluation
TP (Correct Segmentation)FN (Wrong Segmentation)FP (Missed Segmentation)R (Recall)P (Precision)F (F-Measure)
1391331160.960.920.94
Table 4. The fractal characteristic parameters of Ginkgo.
Table 4. The fractal characteristic parameters of Ginkgo.
Tree IDOBRSBR1:2SBR2:3RBD2RBD3
11.260.437.270.580.56
21.450.667.070.660.80
31.580.6331.500.670.73
41.790.8248.000.561.03
51.590.7112.920.670.76
62.061.1915.670.670.79
75.405.40-0.800.00
82.151.437.670.810.82
93.003.00-0.680.00
103.743.74-0.690.00
112.532.193.860.780.65
121.810.9711.000.730.70
Note: OBR: Overall Bifurcation Ratio, it refers to the total number of primary branches/the total number of secondary branches for an individual tree with two branch levels, and equal to the total number of primary and secondary branches/the total number of secondary branches for an individual tree with three branch levels. RBD: Ratio of Branch Diameter, RBO2 refers to the average diameter of secondary branches/average diameter of primary branches, RBO3 refers to the average diameter of third-order branches/average diameter of secondary branches; SBR: Step wise Bifurcation Ratio, SBR1:2 refers to the number of primary branches/number of secondary branches, SBR2:3 refers to the number of secondary branches/number of third-order branches. In the table, “-” means no data. Because some individual trees do not have third-order branches, data on the ratio of branch diameter of third-order branches and the stepwise bifurcation ratio are non-existent.
Table 5. Correlation analysis between wood density, resistance, and individual tree structure parameters (diameter at 0.5 m height, tree height, crown width). Individual tree structure parameters are field measurement values.
Table 5. Correlation analysis between wood density, resistance, and individual tree structure parameters (diameter at 0.5 m height, tree height, crown width). Individual tree structure parameters are field measurement values.
Correlation CoefficientBasic DensityResistanceDiameter at 0.5 m Height
Basic density10.727 **−0.163
Resistance0.727 **1−0.292
Diameter at 0.5 m height−0.163−0.2921
Tree height−0.027−0.0070.704 **
Crown width−0.207−0.406 *0.540 **
Note: * and ** indicate significant correlation at the p < 0.05 level and extremely significant correlation at the p < 0.01 level, respectively.
Table 6. Eigenvalue and Cumulative variance explanation rate for principal components.
Table 6. Eigenvalue and Cumulative variance explanation rate for principal components.
Principal ComponentsEigenvalueCumulative Variance Explanation Rate
12.00950.235
21.27931.983
30.64116.019
40.0711.763
Table 7. Component matrix for principal components. Diameter at 0.5 m height, tree height, crown width are field measurement values.
Table 7. Component matrix for principal components. Diameter at 0.5 m height, tree height, crown width are field measurement values.
CoefficientsPrincipal Component 1Principal Component 2Principal Component 3
X2 (Diameter at 0.5 m height)0.9420.2410.142
X3 (Crown width)0.675−0.5710.453
X4 (Tree height)0.6050.765−0.161
X1 (Resistance)−0.5480.5570.624
Disclaimer/Publisher’s Note: The statements, opinions and data contained in all publications are solely those of the individual author(s) and contributor(s) and not of MDPI and/or the editor(s). MDPI and/or the editor(s) disclaim responsibility for any injury to people or property resulting from any ideas, methods, instructions or products referred to in the content.

Share and Cite

MDPI and ACS Style

Li, T.; Shen, X.; Zhou, K.; Cao, L. Estimation of Individual Tree Structure and Wood Density Parameters for Ginkgo biloba Using Terrestrial LiDAR and Resistance Drill Data. Remote Sens. 2025, 17, 99. https://doi.org/10.3390/rs17010099

AMA Style

Li T, Shen X, Zhou K, Cao L. Estimation of Individual Tree Structure and Wood Density Parameters for Ginkgo biloba Using Terrestrial LiDAR and Resistance Drill Data. Remote Sensing. 2025; 17(1):99. https://doi.org/10.3390/rs17010099

Chicago/Turabian Style

Li, Ting, Xin Shen, Kai Zhou, and Lin Cao. 2025. "Estimation of Individual Tree Structure and Wood Density Parameters for Ginkgo biloba Using Terrestrial LiDAR and Resistance Drill Data" Remote Sensing 17, no. 1: 99. https://doi.org/10.3390/rs17010099

APA Style

Li, T., Shen, X., Zhou, K., & Cao, L. (2025). Estimation of Individual Tree Structure and Wood Density Parameters for Ginkgo biloba Using Terrestrial LiDAR and Resistance Drill Data. Remote Sensing, 17(1), 99. https://doi.org/10.3390/rs17010099

Note that from the first issue of 2016, this journal uses article numbers instead of page numbers. See further details here.

Article Metrics

Back to TopTop