Remote Sensing and Machine Learning for Accurate Fire Severity Mapping in Northern Algeria
Abstract
1. Introduction
2. Materials and Methods
2.1. Study Area
2.2. Factors Influencing Fire Spread in the Study Area
2.3. Satellite Images
2.3.1. Sentinel-2 Images
2.3.2. Planet Images
2.4. Image Preprocessing and Fire Severity Indices
2.4.1. Image Preprocessing
2.4.2. Preview of Fire Severity Indices Utilized
2.5. Fire Severity Classification
2.5.1. Fire Severity Classification Using Spectral Indices
2.5.2. Fire Severity Classification Using Machine Learning
2.5.3. Training Data Labeling
3. Results
3.1. Evaluation Parameters
- ▪
- Separability Index (SI): The separability index is a measure of the degree of separability between two classes based on their mean values and standard deviations [38], using the formula:where:
- -
- and are the mean values of the considered indices for the burnt and unburnt areas, respectively;
- -
- σb and are the standard deviations for the burnt and unburnt areas.
- ▪
- Precision: Precision is a metric used to evaluate the performance of a binary classification model, specifically focusing on the accuracy of positive predictions. It measures the proportion of true positive predictions (correctly predicted positive instances) out of all positive predictions made by the model. It is given by Equation (2).where:
- -
- True Positives (TP) are the instances that are correctly predicted as positive;
- -
- False Positives (FP) are the instances that are wrongly predicted as positive when they are actually negative.
- ▪
- Recall: Recall measures the proportion of true positive predictions (correctly predicted positive instances) out of all actual positive instances in the dataset. It is given by Equation (3).
- ▪
- The Overall Accuracy: The Overall Accuracy is the average precision. It is given by Equation (4).where:
- -
- True Negatives (TN) are the instances that are correctly predicted as negative;
- -
- False Negatives (FN) are the instances that are wrongly predicted as negative when they are actually positive.
- ▪
- The F1 score: The F1 score is a metric commonly used to evaluate the performance of binary classification models, particularly when there is an imbalance in the distribution of classes. It combines precision and recall into a single value, providing a balanced measure of the model’s accuracy. The equation for calculating the F1 score is as follows:
- ▪
- Kappa coefficient: The kappa coefficient measures the agreement between an observed set of class labels and the predicted set of class labels assigned by a classifier. It considers both the accuracy of the classifier and the agreement that could occur by chance. The kappa coefficient is calculated using the following formula:where:
- -
- is the observed agreement, which is the proportion of instances where the observed and predicted labels match;
- -
- is the expected agreement, which represents the agreement expected by chance.
3.2. Index-Based Results
3.3. Machine Learning-Based Method Results
3.4. Quantitative Accuracy Assessment
3.4.1. A Comparative Accuracy Assessment
3.4.2. ROC Curves
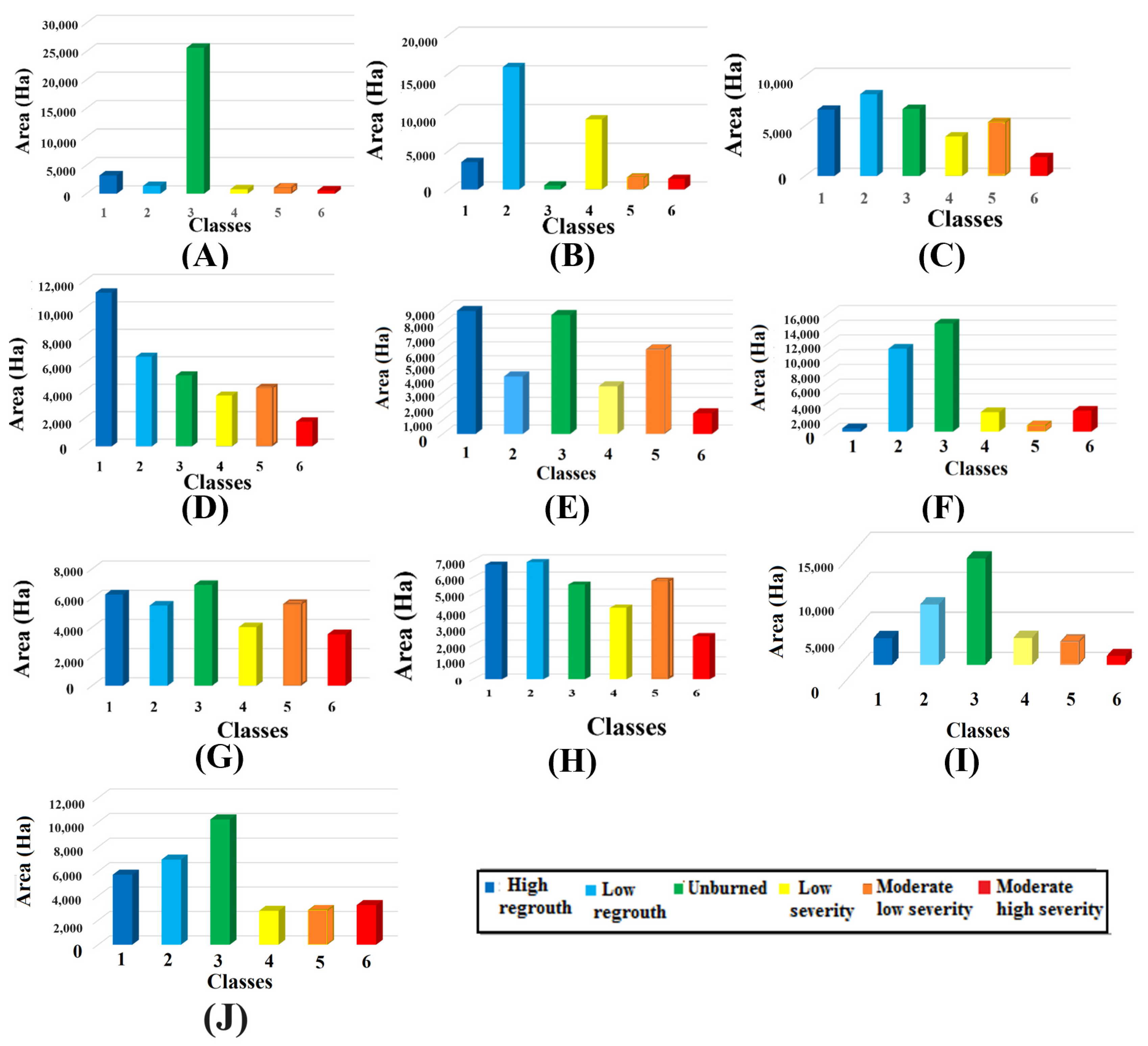
3.4.3. Burned Area Extent
3.5. High Severity Map
3.6. Relation to Influencing Parameters
4. Discussion
5. Conclusions
Author Contributions
Funding
Data Availability Statement
Conflicts of Interest
References
- Kideghesho, J.; Rija, A.; Mwamende, K.; Selemani, I. Emerging issues and challenges in conservation of biodiversity in the rangelands of Tanzania. Nat. Conserv. 2013, 6, 1–29. [Google Scholar] [CrossRef]
- Gibson, R.; Danaher, T.; Hehir, W.; Collins, L. A remote sensing approach to mapping fire severity in south-eastern Australia using sentinel 2 and random forest. Remote Sens. Environ. 2020, 240, 111702. [Google Scholar] [CrossRef]
- Keeley, J.E. Fire intensity, fire severity and burn severity: A brief review and suggested usage. Int. J. Wildland Fire 2009, 18, 116–126. [Google Scholar] [CrossRef]
- Díaz-Delgado, R.; Lloret, F.; Pons, X. Influence of fire severity on plant regeneration by means of remote sensing imagery. Int. J. Remote Sens. 2003, 24, 1751–1763. [Google Scholar] [CrossRef]
- Wen, D.; Huang, X.; Bovolo, F.; Li, J.; Ke, X.; Zhang, A.; Benediktsson, J.A. Change detection from very-high-spatial-resolution optical remote sensing images: Methods, applications, and future directions. IEEE Geosci. Remote Sens. Mag. 2021, 9, 68–101. [Google Scholar] [CrossRef]
- Stomberg, T.; Weber, I.; Schmitt, M.; Roscher, R. Jungle-net: Using explainable machine learning to gain new insights into the appearance of wilderness in satellite imagery. ISPRS Ann. Photogramm. Remote Sens. Spat. Inf. Sci. 2021, 3, 317–324. [Google Scholar] [CrossRef]
- Miller, J.D.; Thode, A.E. Quantifying burn severity in a heterogeneous landscape with a relative version of the delta Normalized Burn Ratio (dNBR). Remote Sens. Environ. 2007, 109, 66–80. [Google Scholar] [CrossRef]
- Soverel, N.O.; Perrakis, D.D.; Coops, N.C. Estimating burn severity from Landsat dNBR and RdNBR indices across western Canada. Remote Sens. Environ. 2010, 114, 1896–1909. [Google Scholar] [CrossRef]
- Chuvieco, E.; Martín, M.P.; Palacios, A. Assessment of different spectral indices in the red-near-infrared spectral domain for burned land discrimination. Int. J. Remote Sens. 2002, 23, 5103–5110. [Google Scholar] [CrossRef]
- Marino, E.; Guillen-Climent, M.; Ranz, P.; Tome, J.L. Fire severity mapping in Garajonay National Park: Comparison between spectral indices. Flamma 2014, 7, 22–28. [Google Scholar]
- Hammill, K.A.; Bradstock, R.A. Remote sensing of fire severity in the Blue Mountains: Influence of vegetation type and inferring fire intensity. Int. J. Wildland Fire 2006, 15, 213–226. [Google Scholar] [CrossRef]
- Harris, S.; Veraverbeke, S.; Hook, S. Evaluating spectral indices for assessing fire severity in chaparral ecosystems (Southern California) using MODIS/ASTER (MASTER) airborne simulator data. Remote Sens. 2011, 3, 2403–2419. [Google Scholar] [CrossRef]
- Lasaponara, R.; Proto, A.M.; Aromando, A.; Cardettini, G.; Varela, V.; Danese, M. On the mapping of burned areas and burn severity using self-organizing map and sentinel-2 data. IEEE Geosci. Remote Sens. Lett. 2019, 17, 854–858. [Google Scholar] [CrossRef]
- Schepers, L.; Haest, B.; Veraverbeke, S.; Spanhove, T.; Borre, J.V.; Goossens, R. Burned area detection and burn severity assessment of a heathland fire in Belgium using airborne imaging spectroscopy (APEX). Remote Sens. 2014, 6, 1803–1826. [Google Scholar] [CrossRef]
- Collins, L.; Griffioen, P.; Newell, G.; Mellor, A. The utility of random forests in Google Earth Engine to improve wildfire severity mapping. Remote Sens. Environ. 2018, 216, 374–384. [Google Scholar] [CrossRef]
- Lee, K.; Kim, B.; Hehir, W.; Park, S. Evaluating the potential of burn severity mapping and transferability of Copernicus EMS data using Sentinel-2 imagery and machine learning approaches. GIScience Remote Sens. 2023, 60, 2192157. [Google Scholar] [CrossRef]
- Basheer, S.; Wang, X.; Farooque, A.A.; Nawaz, R.A.; Liu, K.; Adekanmbi, T.; Liu, S. Comparison of land use land cover classifiers using different satellite imagery and machine learning techniques. Remote Sens. 2022, 14, 4978. [Google Scholar] [CrossRef]
- LeCun, Y.; Bottou, L.; Bengio, Y.; Haffner, P. Gradient-based learning applied to document recognition. Proc. IEEE 1998, 86, 2278–2324. [Google Scholar] [CrossRef]
- Maggiori, E.; Tarabalka, Y.; Charpiat, G.; Alliez, P. Convolutional neural networks for large-scale remote-sensing image classification. IEEE Trans. Geosci. Remote Sens. 2016, 55, 645–657. [Google Scholar] [CrossRef]
- Sun, H.; Wang, L.; Lin, R.; Zhang, Z.; Zhang, B. Mapping plastic greenhouses with two-temporal sentinel-2 images and 1d-cnn deep learning. Remote Sens. 2021, 13, 2820. [Google Scholar] [CrossRef]
- Wang, Y.; Zhang, Z.; Feng, L.; Ma, Y.; Du, Q. A new attention-based CNN approach for crop mapping using time series Sentinel-2 images. Comput. Electron. Agric. 2021, 184, 106090. [Google Scholar] [CrossRef]
- Zhang, G.; Wang, M.; Liu, K. Forest fire susceptibility modeling using a convolutional neural network for Yunnan province of China. Int. J. Disaster Risk Sci. 2019, 10, 386–403. [Google Scholar] [CrossRef]
- González-Olabarria, J.R.; Mola-Yudego, B.; Coll, L. Different factors for different causes: Analysis of the spatial aggregations of fire ignitions in Catalonia (Spain). Risk Anal. 2015, 35, 1197–1209. [Google Scholar] [CrossRef] [PubMed]
- Fischer, E.M.; Schär, C. Consistent geographical patterns of changes in high-impact European heatwaves. Nat. Geosci. 2010, 3, 398–403. [Google Scholar] [CrossRef]
- Meddour-Sahar, O.; Derridj, A. Forest fires in Algeria: Space-time and cartographic risk analysis (1985–2012). Sci. Chang. Planétaires/Sécheresse 2012, 23, 133–141. [Google Scholar] [CrossRef]
- Meddour-Sahar, O.; Lovreglio, R.; Meddour, R.; Leone, V.; Derridj, A. Fire and people in three rural communities in Kabylia (Algeria): Results of a survey. Open J. For. 2013, 3, 30. [Google Scholar] [CrossRef]
- Benguerai, A.; Benabdeli, K.; Harizia, A. Forest fire risk assessment model using remote sensing and GIS techniques in Northwest Algeria. Acta Silv. Et Lignaria Hung. Int. J. For. Wood Environ. Sci. 2019, 15, 9–21. [Google Scholar] [CrossRef]
- Aini, A.; Curt, T.; Bekdouche, F. Modelling fire hazard in the southern Mediterranean fire rim (Bejaia region, Northern Algeria). Environ. Monit. Assess. 2019, 191, 747. [Google Scholar] [CrossRef]
- Bentekhici, N.; Bellal, S.A.; Zegrar, A. Contribution of remote sensing and GIS to mapping the fire risk of Mediterranean forest case of the forest massif of Tlemcen (North-West Algeria). Nat. Hazards 2020, 104, 811–831. [Google Scholar] [CrossRef]
- Belgherbi, B.; Benabdeli, K.; Mostefai, K. Mapping the risk forest fires in Algeria: Application of the forest of Guetarnia in Western Algeria. Ekológia (Bratislava) 2018, 37, 289–300. [Google Scholar] [CrossRef]
- Fellak, Y. Modélisation de la Structure et de la Croissance du Chêne Zéen (Quercus canariensis Willd) dans la forêt d’Akfadou-Ouest (Tizi-Ouzou), Doctoral Dissertation, Université Mouloud Mammeri. Available online: https://www.ummto.dz/dspace/handle/ummto/13708 (accessed on 22 July 2022).
- Messaoudene, M.; Rabhi, K.; Megdoud, A.; Sarmoun, M.; Dahmani-Megrerouche, M. Etat des lieux et perspectives des cédraies algériennes. Forêt Méditerranéenne 2013, 34, 341–346. Available online: https://hal.science/hal-03556576 (accessed on 2 August 2022).
- Delgado Blasco, J.M.; Foumelis, M.; Stewart, C.; Hooper, A. Measuring urban subsidence in the Rome metropolitan area (Italy) with Sentinel-1 SNAP-StaMPS persistent scatterer interferometry. Remote Sens. 2019, 11, 129. [Google Scholar] [CrossRef]
- Grivei, A.C.; Neagoe, I.C.; Georgescu, F.A.; Griparis, A.; Vaduva, C.; Bartalis, Z.; Datcu, M. Multispectral Data Analysis for Semantic Assessment—A SNAP Framework for Sentinel-2 Use Case Scenarios. IEEE J. Sel. Top. Appl. Earth Obs. Remote Sens. 2020, 13, 4429–4442. [Google Scholar] [CrossRef]
- Knopp, L.; Wieland, M.; Rättich, M.; Martinis, S. A deep learning approach for burned area segmentation with Sentinel-2 data. Remote Sens. 2020, 12, 2422. [Google Scholar] [CrossRef]
- Baig, M.H.A.; Zhang, L.; Shuai, T.; Tong, Q. Derivation of a tasselled cap transformation based on Landsat 8 at-satellite reflectance. Remote Sens. Lett. 2014, 5, 423–431. [Google Scholar] [CrossRef]
- Fernández-Manso, A.; Fernández-Manso, O.; Quintano, C. SENTINEL-2A red-edge spectral indices suitability for discriminating burn severity. Int. J. Appl. Earth Obs. Geoinf. 2016, 50, 170–175. [Google Scholar] [CrossRef]
- Filipponi, F. BAIS2: Burned area index for Sentinel-2. Multidiscip. Digit. Publ. Inst. Proc. 2018, 2, 364. [Google Scholar] [CrossRef]
- Gao, B.C. NDWI—A normalized difference water index for remote sensing of vegetation liquid water from space. Remote Sens. Environ. 1996, 58, 257–266. [Google Scholar] [CrossRef]
- Parks, S.A.; Dillon, G.K.; Miller, C. A new metric for quantifying burn severity: The relativized burn ratio. Remote Sens. 2014, 6, 1827–1844. [Google Scholar] [CrossRef]
- Alcaras, E.; Costantino, D.; Guastaferro, F.; Parente, C.; Pepe, M. Normalized Burn Ratio Plus (NBR+): A New Index for Sentinel-2 Imagery. Remote Sens. 2022, 14, 1727. [Google Scholar] [CrossRef]
- Seydi, S.T.; Akhoondzadeh, M.; Amani, M.; Mahdavi, S. Wildfire damage assessment over Australia using sentinel-2 imagery and MODIS land cover product within the Google Earth Engine cloud platform. Remote Sens. 2021, 13, 220. [Google Scholar] [CrossRef]
- Swets, J.A. Measuring the accuracy of diagnostic systems. Science 1988, 240, 1285–1293. [Google Scholar] [CrossRef] [PubMed]
- Loudermilk, E.L.; O’Brien, J.J.; Goodrick, S.L.; Linn, R.R.; Skowronski, N.S.; Hiers, J.K. Vegetation’s influence on fire be-haveior goes beyond just being fuel. Fire Ecol. 2022, 18, 1–10. [Google Scholar] [CrossRef]
- Pham, M.T.; Mercier, G.; Michel, J. Pointwise graph-based local texture characterization for very high-resolution multispectral image classification. IEEE J. Sel. Top. Appl. Earth Obs. Remote Sens. 2015, 8, 1962–1973. [Google Scholar] [CrossRef]
- Zikiou, N.; Lahdir, M.; Helbert, D. Hyperspectral image classification using graph-based wavelet transform. Int. J. Remote Sens. 2020, 41, 2624–2643. [Google Scholar] [CrossRef]
- Sohn, Y.; Rebello, N.S. Supervised and unsupervised spectral angle classifiers. Photogramm. Eng. Remote Sens. 2002, 68, 1271–1282. Available online: https://api.semanticscholar.org/CorpusID:129189333 (accessed on 20 September 2023).
- Javan, F.D.; Samadzadegan, F.; Mehravar, S.; Toosi, A.; Khatami, R.; Stein, A. A review of image fusion techniques for pan-sharpening of high-resolution satellite imagery. ISPRS J. Photogramm. Remote Sens. 2021, 171, 101–117. [Google Scholar] [CrossRef]

























| Index | Abbreviation | Formula |
|---|---|---|
| Normalized Burn Ratio | NBR [38] | |
| Normalized Differenced Vegetation Index | NDVI [39] | |
| Normalized Differenced Water Index | NDWI [39] | |
| Relativized Burn Ratio | RBR [40] | |
| Burned Area Index for Sentinel-2 | BIAS2 [38,41] |
| Severity Category | dNBR Range (Scaled by ) | dNBR Range (Not Scaled) |
|---|---|---|
| High regrowth | −500 to −251 | −0.500 to −0.251 |
| Low regrowth | −250 to −101 | −0.250 to −0.101 |
| Unburned | −100 to 990 | −0.100 to 0.990 |
| Low severity | 100 to 269 | 0.100 to 0.269 |
| Moderate low severity | 270 to 439 | 0.270 to 0.439 |
| Moderate high severity | 440 to 659 | 0.440 to 0.659 |
| High severity | 660 to 1300 | 0.660 to 1.300 |
| Class | Threshold (Not Scaled) |
|---|---|
| High severity | dBIAS ≥ 90 |
| Moderate severity | 45 ≤ dBIAS < 90 |
| Low severity | 15 ≤ dBIAS < 28 |
| Unburned | 17 < dNDVI < 75 |
| Regrowth | −5 < dNDVI < 2 |
| High regrowth | −70 < dNDVI < −5 |
| Spectral Index | RBR | dBIAS2 |
|---|---|---|
| SI | 0.405 | 1.084 |
| Classifier | Sentinel 2 | Planet | ||||||||
|---|---|---|---|---|---|---|---|---|---|---|
| Precision | Recall | O.A | F1 | Kappa | Precision | Recall | O.A | F1 | Kappa | |
| RBR | 0.541 | 0.542 | 0.475 | 0.541 | 0.337 | - | - | - | - | - |
| dBIAS2 | 0.771 | 0.620 | 0.831 | 0.687 | 0.788 | - | - | - | - | - |
| SVM (MS-ROI) | 0.873 | 0.878 | 0.930 | 0.875 | 0.914 | 0.828 | 0.870 | 0.910 | 0.910 | 0.889 |
| CNN (MS-ROI) | 0.866 | 0.852 | 0.833 | 0.858 | 0.890 | 0.826 | 0.840 | 0.830 | 0.832 | 0.797 |
| SVM(SA-ROI) | 0.940 | 0.960 | 0.950 | 0.949 | 0.938 | 0.966 | 0.970 | 0.960 | 0.967 | 0.950 |
| CNN(SA-ROI) | 0.851 | 0.901 | 0.831 | 0.875 | 0.789 | 0.778 | 0.841 | 0.782 | 0.808 | 0.724 |
Disclaimer/Publisher’s Note: The statements, opinions and data contained in all publications are solely those of the individual author(s) and contributor(s) and not of MDPI and/or the editor(s). MDPI and/or the editor(s) disclaim responsibility for any injury to people or property resulting from any ideas, methods, instructions or products referred to in the content. |
© 2024 by the authors. Licensee MDPI, Basel, Switzerland. This article is an open access article distributed under the terms and conditions of the Creative Commons Attribution (CC BY) license (https://creativecommons.org/licenses/by/4.0/).
Share and Cite
Zikiou, N.; Rushmeier, H.; Capel, M.I.; Kandakji, T.; Rios, N.; Lahdir, M. Remote Sensing and Machine Learning for Accurate Fire Severity Mapping in Northern Algeria. Remote Sens. 2024, 16, 1517. https://doi.org/10.3390/rs16091517
Zikiou N, Rushmeier H, Capel MI, Kandakji T, Rios N, Lahdir M. Remote Sensing and Machine Learning for Accurate Fire Severity Mapping in Northern Algeria. Remote Sensing. 2024; 16(9):1517. https://doi.org/10.3390/rs16091517
Chicago/Turabian StyleZikiou, Nadia, Holly Rushmeier, Manuel I. Capel, Tarek Kandakji, Nelson Rios, and Mourad Lahdir. 2024. "Remote Sensing and Machine Learning for Accurate Fire Severity Mapping in Northern Algeria" Remote Sensing 16, no. 9: 1517. https://doi.org/10.3390/rs16091517
APA StyleZikiou, N., Rushmeier, H., Capel, M. I., Kandakji, T., Rios, N., & Lahdir, M. (2024). Remote Sensing and Machine Learning for Accurate Fire Severity Mapping in Northern Algeria. Remote Sensing, 16(9), 1517. https://doi.org/10.3390/rs16091517

