A Fast Power Spectrum Sensing Solution for Generalized Coprime Sampling
Abstract
1. Introduction
2. Materials and Methods
2.1. Signal Model
2.2. Proposed Fast Solution
3. Results
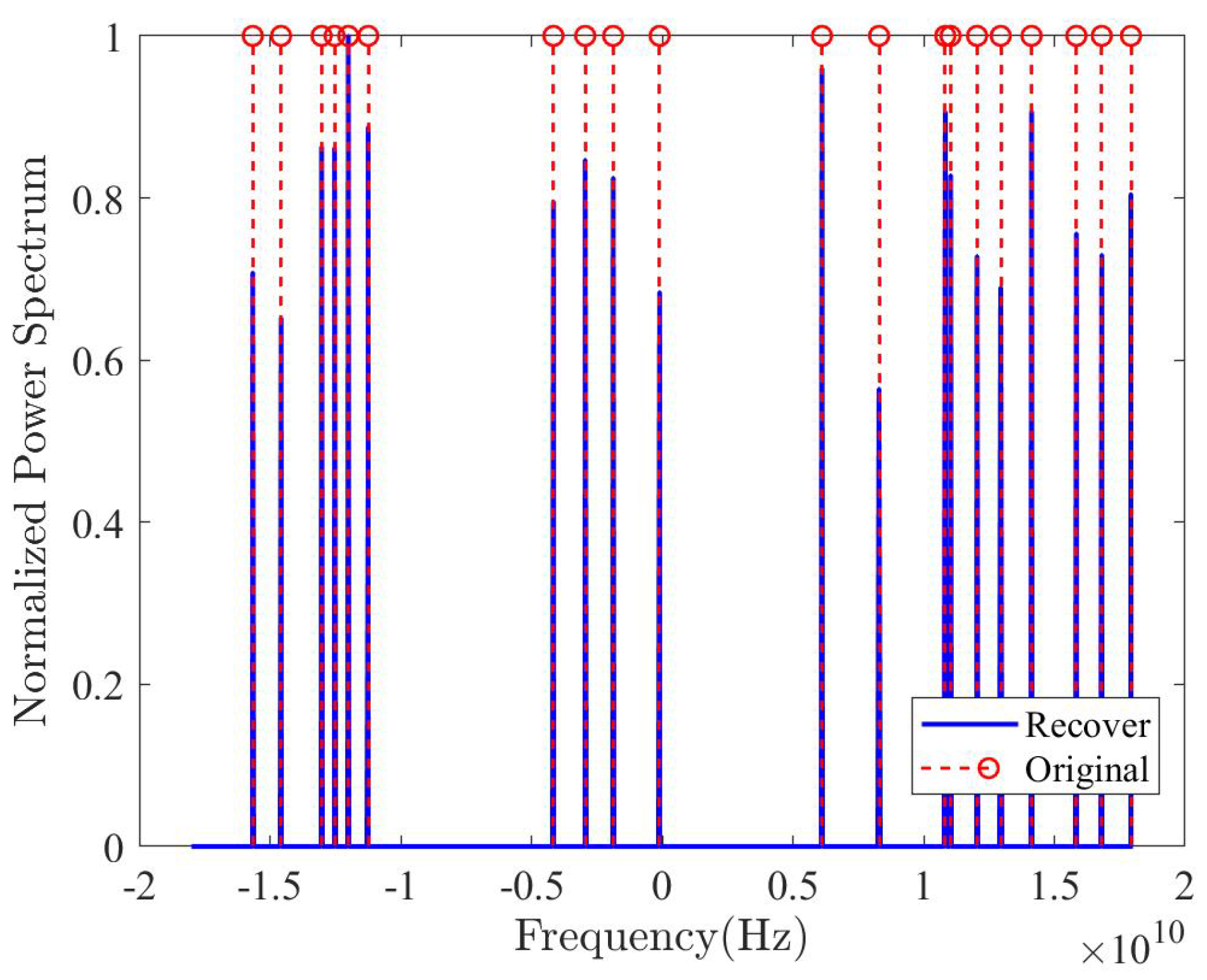
3.1. Estimated Power Spectrum Performance
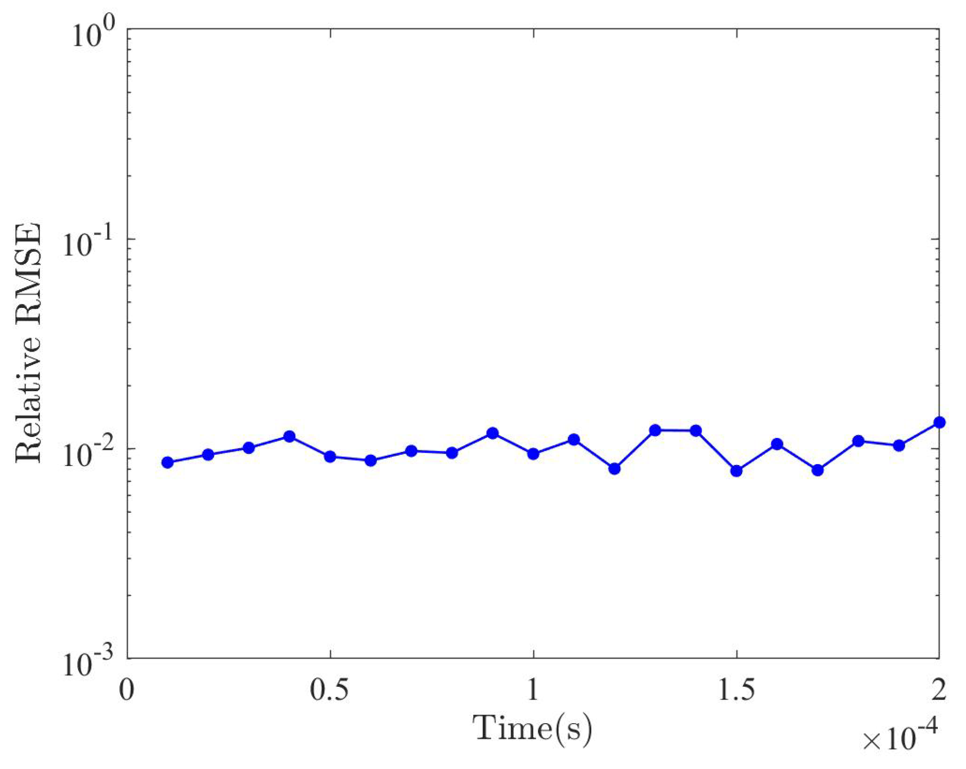
3.2. Relative RMSE Performance
3.3. Execution Time Performance
3.4. Model Mismatching Performance
4. Discussion
Author Contributions
Funding
Data Availability Statement
Acknowledgments
Conflicts of Interest
References
- Chae, K.; Park, J.; Kim, Y. Rethinking autocorrelation for deep spectrum sensing in cognitive radio networks. IEEE Internet Things J. 2023, 10, 31–41. [Google Scholar] [CrossRef]
- Zhou, B.; Ma, X.; Kuang, T.; Li, J. New paradigm of electromagnetic spectrum space situation cognition: Spectrum semantic and spectrum behavior. J. Data Acquis. Process. 2022, 37, 1198–1207. [Google Scholar]
- Manz, B. Technology survey: A sampling of analog-to-digital converter (adc) boards. J. Electromagn. Domin. 2021, 44, 25–30. [Google Scholar]
- Fang, J.; Wang, B.; Li, H.; Liang, Y.-C. Recent advances on sub-nyquist sampling-based wideband spectrum sensing. IEEE Wirel. Commun. 2021, 28, 115–121. [Google Scholar] [CrossRef]
- Pace, P.E. Developing Digital RF Memories and Transceiver Technologies for Electromagnetic Warfare, 1st ed.; Artech House: Boston, MA, USA, 2022. [Google Scholar]
- Mishra, A.K.; Verster, R.S. Compressive Sensing Based Algorithms for Electronic Defence, 1st ed.; Springer International Publishing: Cham, Switzerland, 2018. [Google Scholar]
- Wu, Y.; Rosca, M.; Lillicrap, T. Deep compressed sensing. ICML 2019, 97, 6850–6860. [Google Scholar]
- Byambadorj, Z.; Asami, K.; Yamaguchi, T.J.; Higo, A.; Fujita, M.; Iizuka, T. Theoretical analysis of noise figure for modulated wideband converter. IEEE Trans. Circuits Syst. I 2020, 67, 298–308. [Google Scholar] [CrossRef]
- Liu, S.; Zhao, L.; Li, S. A novel all-digital calibration method for timing mismatch in time-interleaved adc based on modulation matrix. IEEE Trans. Circuits Syst. I 2022, 69, 2955–2967. [Google Scholar] [CrossRef]
- Huang, X.; Zhao, X.; Ma, J. Joint carrier and DOA estimation for multi-band sources based on sub-nyquist sampling coprime array with large time lags. Signal Process. 2022, 195, 108466. [Google Scholar] [CrossRef]
- Tropp, J.A.; Wright, S.J. Computational methods for sparse solution of linear inverse problems. Proc. IEEE 2010, 98, 948–958. [Google Scholar] [CrossRef]
- Xu, W.; Wang, S.; Yan, S.; He, J. An efficient wideband spectrum sensing algorithm for unmanned aerial vehicle communication networks. IEEE Internet Things J. 2019, 6, 1768–1780. [Google Scholar] [CrossRef]
- Cohen, D.; Eldar, Y.C. Sub-nyquist sampling for power spectrum sensing in cognitive radios: A unified approach. IEEE Trans. Signal Process. 2014, 62, 3897–3910. [Google Scholar] [CrossRef]
- Huang, S.; Tran, T.D. Sparse signal recovery via generalized entropy functions minimization. IEEE Trans. Signal Process. 2019, 67, 1322–1337. [Google Scholar] [CrossRef]
- Jiang, K.; Xiong, Y.; Tang, B. Wideband spectrum sensing via derived correlation matrix completion based on generalized coprime sampling. IEEE Access 2019, 7, 117403–117410. [Google Scholar] [CrossRef]
- Qin, S.; Zhang, Y.D.; Amin, M.G.; Zoubir, A.M. Generalized coprime sampling of toeplitz matrices for spectrum estimation. IEEE Trans. Signal Process. 2017, 65, 81–94. [Google Scholar] [CrossRef]
- Yang, L.; Fang, J.; Duan, H.; Li, H. Fast compressed power spectrum estimation: Toward a practical solution for wideband spectrum sensing. IEEE Trans. Wireless Commun. 2020, 19, 520–532. [Google Scholar] [CrossRef]














Disclaimer/Publisher’s Note: The statements, opinions and data contained in all publications are solely those of the individual author(s) and contributor(s) and not of MDPI and/or the editor(s). MDPI and/or the editor(s) disclaim responsibility for any injury to people or property resulting from any ideas, methods, instructions or products referred to in the content. |
© 2024 by the authors. Licensee MDPI, Basel, Switzerland. This article is an open access article distributed under the terms and conditions of the Creative Commons Attribution (CC BY) license (https://creativecommons.org/licenses/by/4.0/).
Share and Cite
Jiang, K.; Wang, D.; Tian, K.; Zhao, Y.; Feng, H.; Tang, B. A Fast Power Spectrum Sensing Solution for Generalized Coprime Sampling. Remote Sens. 2024, 16, 811. https://doi.org/10.3390/rs16050811
Jiang K, Wang D, Tian K, Zhao Y, Feng H, Tang B. A Fast Power Spectrum Sensing Solution for Generalized Coprime Sampling. Remote Sensing. 2024; 16(5):811. https://doi.org/10.3390/rs16050811
Chicago/Turabian StyleJiang, Kaili, Dechang Wang, Kailun Tian, Yuxin Zhao, Hancong Feng, and Bin Tang. 2024. "A Fast Power Spectrum Sensing Solution for Generalized Coprime Sampling" Remote Sensing 16, no. 5: 811. https://doi.org/10.3390/rs16050811
APA StyleJiang, K., Wang, D., Tian, K., Zhao, Y., Feng, H., & Tang, B. (2024). A Fast Power Spectrum Sensing Solution for Generalized Coprime Sampling. Remote Sensing, 16(5), 811. https://doi.org/10.3390/rs16050811

