Estimating Water Depth of Different Waterbodies Using Deep Learning Super Resolution from HJ-2 Satellite Hyperspectral Images
Abstract
1. Introduction
2. Materials and Methods
2.1. Study Areas
2.2. Satellite Data and Water Depth Data
2.3. Methods
2.3.1. Deep Learning-Based Hyperspectral Image Super Resolution
- Natural Image Super Resolution
- SRCNN [34] is the first deep learning-based end-to-end network, stacking three convolutional layers to create a lightweight SR model. Building on a generative adversarial network (GAN) [35], SRGAN [36] introduced a new approach to SR tasks. SRGAN comprises a generator and a discriminator that interact in an adversarial mechanism: the generator extracts image features and generates a realistic image, while the discriminator assesses whether the generated image closely resembles a true HR image. The EDSR [37] network, derived from the generator of SRGAN, improves performance by removing batch normalization layers of residual blocks. Unlike SRGAN, ESRGAN [38] enhances the generator further by replacing the original residual blocks with residual-in-residual dense blocks, resulting in higher SR quality. To recover high-frequency details and avoid treating all channels equally, RCAN [39] introduces a channel attention mechanism that adaptively adjusts the channel weights based on deep image features. In contrast, the PAN [40] network enhances SR effects by applying pixel attention. The A2N [41] network employs a dual branch design to dynamically adjust the weights of the attention module according to the image features, reducing ineffective attention and minimizing model parameters. Additional models [42,43,44] aim to reduce the computational complexity and memory consumption of SR tasks, further advancing the development and application of SR technology.
- Hyperspectral Image Super Resolution
- Given the significant advancements in SR methods for natural images, some scholars have introduced transfer learning to apply knowledge learned from natural image SR to HSI SR tasks [45]. In HSI SR research, many methods require the registration of LR-HSI with the corresponding HR multispectral image, which further restricts the application scenarios [46,47]. The GDRRN [48] network is developed for single HSI SR, enabling nonlinear mapping of HSI features through a global residual structure and the grouped recursive module. To address the unique channel dimensions and complex spectral patterns in HSIs, the SSPSR [25] network incorporates spatial-spectral prior to fully utilize spatial information and correlation between hyperspectral spectra. The GELIN [26] approaches HSI SR from a hyperspectral channel perspective, processing data in a group-by-group manner to reduce the computational load of redundant channel information. On the basis of group-wise processing, the RFSR [27] model introduces feedback embedding to construct continuous information between groups, further enhancing HSI SR performance. To leverage the multiscale features of HSIs, the FPNSR [49] model employs a feature pyramid block, demonstrating the effectiveness of multiscale features in HSI SR tasks. Similar to SRGAN, GAN architecture has also been adapted for the HSI SR task [50].
- SR Model Training Details
2.3.2. Hyperspectral Image Preprocessing
- Radiometric Preprocessing
- To conduct the subsequent water depth inversion, we must first preprocess the HSI of the HJ-2 A/B satellite, focusing on radiometric and geometric corrections. The pixel values in the original HSI represent the digital number (DN) recorded by the satellite sensor and lack actual physical significance. Consequently, radiometric correction is necessary to convert the DN values into radiance. The radiometric correction formula is as follows:
- Geometric Preprocessing
2.3.3. Hyperspectral Image Water Depth Inversion
- MLR
- RF
- SVR
- MLP
2.4. Accuracy Evaluation Metrics
2.4.1. Super Resolution Metrics
- PSNR
- PSNR, the most common and widely used metric for evaluating image quality, calculates the ratio of the maximum signal value to the noise intensity. Higher PSNR means better image quality. It is defined as follows:
- SSIM
- The SSIM calculates the structural similarity between two images. It is calculated by using the mean values and the standard deviations of images. The greater the SSIM, the closer the structures of the two images are. The definition of SSIM is shown as follows:
- SAM
- SAM considers the spectrum of each pixel in the image as a high-dimensional vector and measures the similarity between the spectra by calculating the angle between the two vectors [63]. The smaller the SAM, the more similar the two spectra, indicating a higher likelihood that they represent the same type of ground object. The SAM is defined as follows:
2.4.2. Water Depth Inversion Metrics
- MAE
- MAE directly measures the average difference between two sets of water depth values. It can be calculated as follows:
- MAPE
- MAPE is sensitive to relative error and does not change due to the global scaling of the target variable, which is suitable for the problem of a large gap in the dimension of the target variable. It is defined as follows:
3. Results and Analysis
3.1. Super Resolution Results
3.1.1. SR Accuracy on HSI SR Dataset
- We first evaluated the accuracy of the selected SR methods on the test set of the HSI SR dataset. As shown in Table 1, the FPNSR method achieves the highest accuracy across all three metrics, followed by the GDRRN method. Compared with the traditional bicubic interpolation method, the deep learning-based SR model shows substantial performance improvements.
- Additionally, we compared the parameter count and computational load of each DL-based SR network. As shown in Table 1, among the three DL-based SR models, the FPNSR network achieved the best accuracy metrics but required the largest parameters and the highest computation load. Conversely, the GRDDN network had the smallest parameter count and computation load but delivered the lowest accuracy metrics. This highlights a limitation of DL-based SR networks: higher accuracy often comes at the cost of more parameters and increased computational burden and the need for GPU hardware to ensure practical application timeliness. In contrast, the traditional bicubic interpolation method imposes fewer restrictions, does not rely on model training or GPU hardware, and maintains competitive accuracy metrics.
3.1.2. SR Results of Study Areas
3.2. Water Depth Inversion Results
3.2.1. Water Depth Inversion Accuracy on LR Images
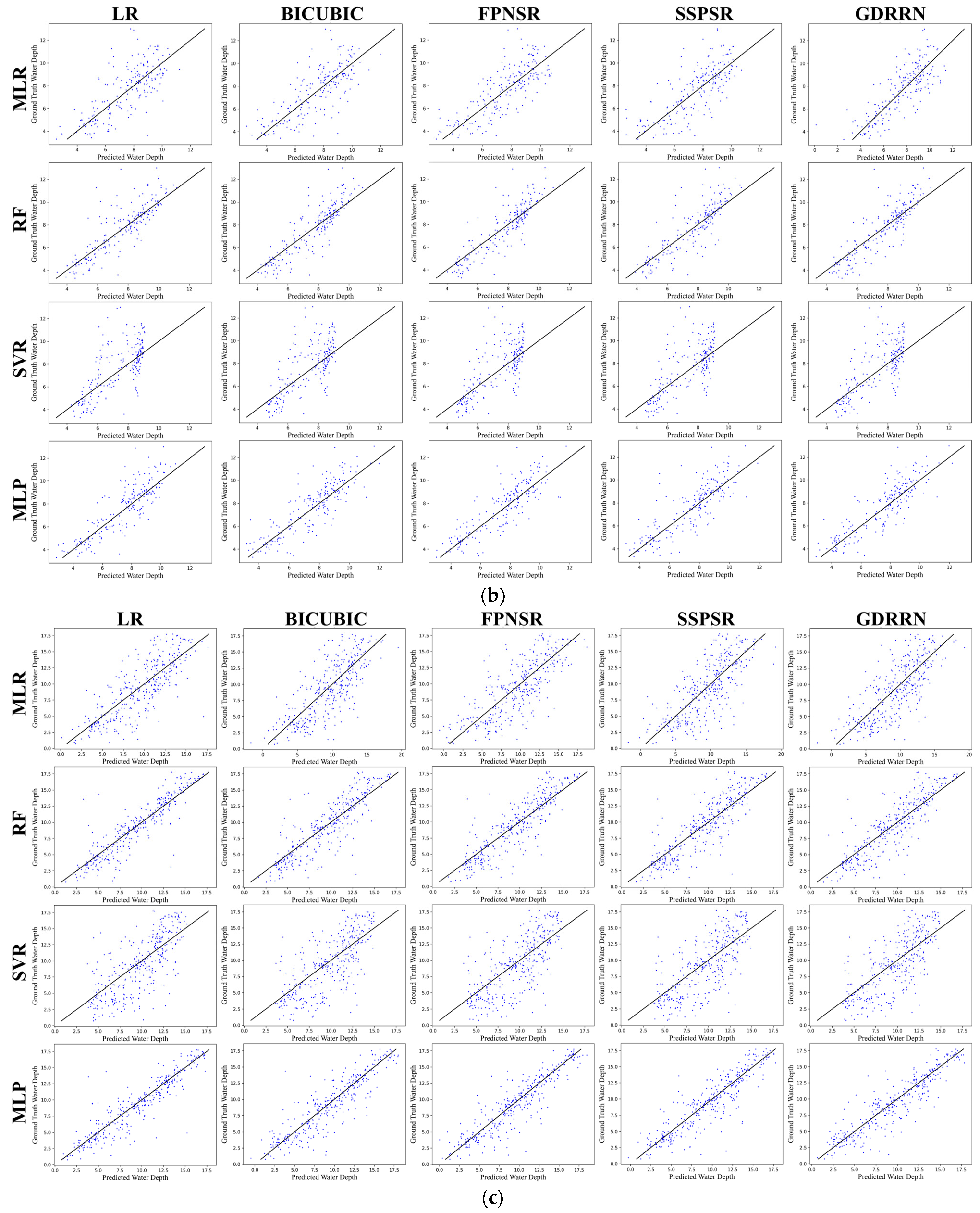
3.2.2. Water Depth Inversion Accuracy on SR Images
4. Discussion
4.1. Water Depth Inversion of Whole-Region and Subregion Modeling
4.2. Analysis of Model Generalization Ability Across Different Water Bodies
4.3. Water Depth Inversion on DN Values
5. Conclusions
Author Contributions
Funding
Data Availability Statement
Acknowledgments
Conflicts of Interest
References
- Kutser, T.; Hedley, J.; Giardino, C.; Roelfsema, C.; Brando, V.E. Remote Sensing of Shallow Waters–A 50 Year Retrospective and Future Directions. Remote Sens. Environ. 2020, 240, 111619. [Google Scholar] [CrossRef]
- Setiawan, K.T.; Suwargana, N.; Ginting, D.N.B.; Manessa, M.D.M.; Anggraini, N.; Adawiah, S.W.; Julzarika, A.; Surahman, S.; Rosid, S.; Supardjo, A.H. Bathymetry Extraction from SPOT 7 Satellite Imagery Using Random Forest Methods. Int. J. Remote Sens. Earth Sci. 2019, 16, 23–30. [Google Scholar] [CrossRef]
- Ashphaq, M.; Srivastava, P.K.; Mitra, D. Review of Near-Shore Satellite Derived Bathymetry: Classification and Account of Five Decades of Coastal Bathymetry Research. J. Ocean Eng. Sci. 2021, 6, 340–359. [Google Scholar] [CrossRef]
- Bergsma, E.W.J.; Almar, R.; Rolland, A.; Binet, R.; Brodie, K.L.; Bak, A.S. Coastal Morphology from Space: A Showcase of Monitoring the Topography-Bathymetry Continuum. Remote Sens. Environ. 2021, 261, 112469. [Google Scholar] [CrossRef]
- Chen, B.; Krajewski, W.F.; Goska, R.; Young, N. Using LiDAR Surveys to Document Floods: A Case Study of the 2008 Iowa Flood. J. Hydrol. 2017, 553, 338–349. [Google Scholar] [CrossRef]
- Albright Blomberg, A.E.; Austeng, A.; Hansen, R.E.; Synnes, S.A.V. Improving Sonar Performance in Shallow Water Using Adaptive Beamforming. IEEE J. Ocean. Eng. 2013, 38, 297–307. [Google Scholar] [CrossRef]
- Cesbron, G.; Melet, A.; Almar, R.; Lifermann, A.; Tullot, D.; Crosnier, L. Pan-European Satellite-Derived Coastal Bathymetry—Review, User Needs and Future Services. Front. Mar. Sci. 2021, 8, 740830. [Google Scholar] [CrossRef]
- Caballero, I.; Stumpf, R.P. Retrieval of Nearshore Bathymetry from Sentinel-2A and 2B Satellites in South Florida Coastal Waters. Estuar. Coast. Shelf Sci. 2019, 226, 106277. [Google Scholar] [CrossRef]
- Nan, Y.; Jianhui, L.; Wenbo, M.; Wangjun, L.; Di, W.; Wanchao, G.; Changhao, S. Water Depth Retrieval Models of East Dongting Lake, China, Using GF-1 Multi-Spectral Remote Sensing Images. Glob. Ecol. Conserv. 2020, 22, e01004. [Google Scholar] [CrossRef]
- Xu, Y.; Cao, B.; Deng, R.; Cao, B.; Liu, H.; Li, J. Bathymetry over Broad Geographic Areas Using Optical High-Spatial-Resolution Satellite Remote Sensing without in-Situ Data. Int. J. Appl. Earth Obs. Geoinf. 2023, 119, 103308. [Google Scholar] [CrossRef]
- Majozi, N.P.; Salama, M.S.; Bernard, S.; Harper, D.M.; Habte, M.G. Remote Sensing of Euphotic Depth in Shallow Tropical Inland Waters of Lake Naivasha Using MERIS Data. Remote Sens. Environ. 2014, 148, 178–189. [Google Scholar] [CrossRef]
- Legleiter, C.J.; Roberts, D.A. A Forward Image Model for Passive Optical Remote Sensing of River Bathymetry. Remote Sens. Environ. 2009, 113, 1025–1045. [Google Scholar] [CrossRef]
- Amini, L.; Kakroodi, A.A. Bathymetry Monitoring of Shallow Coastal Environment Using Remote Sensing Data. Remote Sens. Appl. Soc. Environ. 2024, 36, 101255. [Google Scholar] [CrossRef]
- Cracknell, A.P.; Ibrahim, M. Bathymetry Studies on the Coastal Waters (Red Sea) of Jeddah, Saudi Arabia, Using Shuttle MOMS-01 Data. Int. J. Remote Sens. 1988, 9, 1161–1165. [Google Scholar] [CrossRef]
- Roy, S.; Das, B.S. Estimation of Euphotic Zone Depth in Shallow Inland Water Using Inherent Optical Properties and Multispectral Remote Sensing Imagery. J. Hydrol. 2022, 612, 128293. [Google Scholar] [CrossRef]
- Shang, S.; Lee, Z.; Wei, G. Characterization of MODIS-Derived Euphotic Zone Depth: Results for the China Sea. Remote Sens. Environ. 2011, 115, 180–186. [Google Scholar] [CrossRef]
- Pushparaj, J.; Hegde, A.V. Estimation of Bathymetry along the Coast of Mangaluru Using Landsat-8 Imagery. Int. J. Ocean Clim. Syst. 2017, 8, 71–83. [Google Scholar] [CrossRef]
- Simon, A.; Shanmugam, P. Estimation of the Spectral Diffuse Attenuation Coefficient of Downwelling Irradiance in Inland and Coastal Waters from Hyperspectral Remote Sensing Data: Validation with Experimental Data. Int. J. Appl. Earth Obs. Geoinf. 2016, 49, 117–125. [Google Scholar] [CrossRef]
- Jalil, A.; Li, Y.; Zhang, K.; Gao, X.; Wang, W.; Khan, H.O.S.; Pan, B.; Ali, S.; Acharya, K. Wind-Induced Hydrodynamic Changes Impact on Sediment Resuspension for Large, Shallow Lake Taihu, China. Int. J. Sediment Res. 2019, 34, 205–215. [Google Scholar] [CrossRef]
- Zhou, Q.; Zhang, Y.; Li, K.; Huang, L.; Yang, F.; Zhou, Y.; Chang, J. Seasonal and Spatial Distributions of Euphotic Zone and Long-Term Variations in Water Transparency in a Clear Oligotrophic Lake Fuxian, China. J. Environ. Sci. 2018, 72, 185–197. [Google Scholar] [CrossRef]
- He, J.; Zhang, S.; Cui, X.; Feng, W. Remote Sensing for Shallow Bathymetry: A Systematic Review. Earth-Sci. Rev. 2024, 258, 104957. [Google Scholar] [CrossRef]
- Zeng, F.; Song, C.; Cao, Z.; Xue, K.; Lu, S.; Chen, T.; Liu, K. Monitoring Inland Water via Sentinel Satellite Constellation: A Review and Perspective. ISPRS J. Photogramm. Remote Sens. 2023, 204, 340–361. [Google Scholar] [CrossRef]
- Jay, S.; Guillaume, M. A Novel Maximum Likelihood Based Method for Mapping Depth and Water Quality from Hyperspectral Remote-Sensing Data. Remote Sens. Environ. 2014, 147, 121–132. [Google Scholar] [CrossRef]
- Li, Z.; Leong, W.J.; Durand, M.; Howat, I.; Wadkowski, K.; Yadav, B.; Moortgat, J. Super-Resolution Deep Neural Networks for Water Classification from Free Multispectral Satellite Imagery. J. Hydrol. 2023, 626, 130248. [Google Scholar] [CrossRef]
- Jiang, J.; Sun, H.; Liu, X.; Ma, J. Learning Spatial-Spectral Prior for Super-Resolution of Hyperspectral Imagery. IEEE Trans. Comput. Imaging 2020, 6, 1082–1096. [Google Scholar] [CrossRef]
- Wang, X.; Hu, Q.; Jiang, J.; Ma, J. A Group-Based Embedding Learning and Integration Network for Hyperspectral Image Super-Resolution. IEEE Trans. Geosci. Remote Sens. 2022, 60, 5541416. [Google Scholar] [CrossRef]
- Wang, X.; Ma, J.; Jiang, J. Hyperspectral Image Super-Resolution via Recurrent Feedback Embedding and Spatial–Spectral Consistency Regularization. IEEE Trans. Geosci. Remote Sens. 2022, 60, 5503113. [Google Scholar] [CrossRef]
- Dong, W.; Zhou, C.; Wu, F.; Wu, J.; Shi, G.; Li, X. Model-Guided Deep Hyperspectral Image Super-Resolution. IEEE Trans. Image Process. 2021, 30, 5754–5768. [Google Scholar] [CrossRef]
- Lu, H.; Qiao, D.; Li, Y.; Wu, S.; Deng, L. Fusion of China ZY-1 02D Hyperspectral Data and Multispectral Data: Which Methods Should Be Used? Remote Sens. 2021, 13, 2354. [Google Scholar] [CrossRef]
- Li, K.; Zhang, W.; Yu, D.; Tian, X. HyperNet: A Deep Network for Hyperspectral, Multispectral, and Panchromatic Image Fusion. ISPRS J. Photogramm. Remote Sens. 2022, 188, 30–44. [Google Scholar] [CrossRef]
- Wang, X.; Wang, X.; Song, R.; Zhao, X.; Zhao, K. MCT-Net: Multi-Hierarchical Cross Transformer for Hyperspectral and Multispectral Image Fusion. Knowl. Based Syst. 2023, 264, 110362. [Google Scholar] [CrossRef]
- Vivone, G. Multispectral and Hyperspectral Image Fusion in Remote Sensing: A Survey. Inf. Fusion 2023, 89, 405–417. [Google Scholar] [CrossRef]
- Li, J.; Li, Y.; Yu, Y.; Li, J.; Cai, X.; Lyu, L.; Wang, H.; Dong, X.; Song, M.; Zhu, Y.; et al. Evaluating the Capabilities of China’s New Satellite HJ-2 for Monitoring Chlorophyll a Concentration in Eutrophic Lakes. Int. J. Appl. Earth Obs. Geoinf. 2024, 126, 103618. [Google Scholar] [CrossRef]
- Dong, C.; Loy, C.C.; He, K.; Tang, X. Learning a Deep Convolutional Network for Image Super-Resolution. In Proceedings of the Computer Vision–ECCV 2014, Zurich, Switzerland, 6–12 September 2014; Fleet, D., Pajdla, T., Schiele, B., Tuytelaars, T., Eds.; Springer International Publishing: Cham, Switzerland, 2014; Volume 8692, pp. 184–199. [Google Scholar]
- Goodfellow, I.; Pouget-Abadie, J.; Mirza, M.; Xu, B.; Warde-Farley, D.; Ozair, S.; Courville, A.; Bengio, Y. Generative Adversarial Nets. In Proceedings of the Advances in Neural Information Processing Systems 27 (NIPS 2014), Cambridge, MA, USA, 8–13 December 2014; Volume 2, pp. 2672–2680. [Google Scholar]
- Ledig, C.; Theis, L.; Huszar, F.; Caballero, J.; Cunningham, A.; Acosta, A.; Aitken, A.; Tejani, A.; Totz, J.; Wang, Z.; et al. Photo-Realistic Single Image Super-Resolution Using a Generative Adversarial Network. In Proceedings of the 2017 IEEE Conference on Computer Vision and Pattern Recognition (CVPR), Honolulu, HI, USA, 21–26 July 2017; pp. 105–114. [Google Scholar]
- Lim, B.; Son, S.; Kim, H.; Nah, S.; Lee, K.M. Enhanced Deep Residual Networks for Single Image Super-Resolution. In Proceedings of the 2017 IEEE Conference on Computer Vision and Pattern Recognition Workshops (CVPRW), Honolulu, HI, USA, 21–26 July 2017; pp. 1132–1140. [Google Scholar]
- Wang, X.; Yu, K.; Wu, S.; Gu, J.; Liu, Y.; Dong, C.; Qiao, Y.; Loy, C.C. ESRGAN: Enhanced Super-Resolution Generative Adversarial Networks. In Proceedings of the Computer Vision–ECCV 2018 Workshops, Munich, Germany, 8–14 September 2018; Leal-Taixé, L., Roth, S., Eds.; Springer International Publishing: Cham, Switzerland, 2019; Volume 11133, pp. 63–79. [Google Scholar]
- Zhang, Y.; Li, K.; Li, K.; Wang, L.; Zhong, B.; Fu, Y. Image Super-Resolution Using Very Deep Residual Channel Attention Networks. In Proceedings of the Computer Vision–ECCV 2018; Springer International Publishing: Cham, Switzerland, 2018. [Google Scholar]
- Zhao, H.; Kong, X.; He, J.; Qiao, Y.; Dong, C. Efficient Image Super-Resolution Using Pixel Attention. In Proceedings of the Computer Vision–ECCV 2020 Workshops, Glasgow, UK, 23–28 August 2020; Bartoli, A., Fusiello, A., Eds.; Springer International Publishing: Cham, Switzerland, 2020; Vol. 12537, pp. 56–72. [Google Scholar]
- Chen, H.; Gu, J.; Zhang, Z. Attention in Attention Network for Image Super-Resolution. arXiv 2021, arXiv:2104.09497. [Google Scholar]
- Hui, Z.; Wang, X.; Gao, X. Fast and Accurate Single Image Super-Resolution via Information Distillation Network. In Proceedings of the 2018 IEEE/CVF Conference on Computer Vision and Pattern Recognition, Salt Lake City, UT, USA, 18–22 June 2018; pp. 723–731. [Google Scholar]
- Hui, Z.; Gao, X.; Yang, Y.; Wang, X. Lightweight Image Super-Resolution with Information Multi-Distillation Network. In Proceedings of the 27th ACM International Conference on Multimedia, Nice, France, 15 October 2019; pp. 2024–2032. [Google Scholar]
- Liu, J.; Tang, J.; Wu, G. Residual Feature Distillation Network for Lightweight Image Super-Resolution. In Proceedings of the Computer Vision–ECCV 2020 Workshops, Glasgow, UK, 23–28 August 2020; Bartoli, A., Fusiello, A., Eds.; Springer International Publishing: Cham, Switzerland, 2020; Volume 12537, pp. 41–55. [Google Scholar]
- Li, X.; Zhang, L.; You, J. Domain Transfer Learning for Hyperspectral Image Super-Resolution. Remote Sens. 2019, 11, 694. [Google Scholar] [CrossRef]
- Sun, S.; Bao, W.; Qu, K.; Feng, W.; Zhang, X.; Ma, X. Hyperspectral Image Super-Resolution Algorithm Based on Graph Regular Tensor Ring Decomposition. Remote Sens. 2023, 15, 4983. [Google Scholar] [CrossRef]
- Qu, Y.; Qi, H.; Kwan, C.; Yokoya, N.; Chanussot, J. Unsupervised and Unregistered Hyperspectral Image Super-Resolution with Mutual Dirichlet-Net. IEEE Trans. Geosci. Remote Sens. 2022, 60, 5507018. [Google Scholar] [CrossRef]
- Li, Y.; Zhang, L.; Dingl, C.; Wei, W.; Zhang, Y. Single Hyperspectral Image Super-Resolution with Grouped Deep Recursive Residual Network. In Proceedings of the 2018 IEEE Fourth International Conference on Multimedia Big Data (BigMM), Xi’an, China, 13–16 September 2018; pp. 1–4. [Google Scholar]
- Sun, H.; Zhong, Z.; Zhai, D.; Liu, X.; Jiang, J. Hyperspectral Image Super-Resolution Using Multi-Scale Feature Pyramid Network. In Proceedings of the Digital TV and Wireless Multimedia Communication, Shanghai, China, 19–20 September 2019; Zhai, G., Zhou, J., Yang, H., An, P., Yang, X., Eds.; Springer: Singapore, 2020; Volume 1181, pp. 49–61. [Google Scholar]
- Li, J.; Cui, R.; Li, B.; Song, R.; Li, Y.; Dai, Y.; Du, Q. Hyperspectral Image Super-Resolution by Band Attention Through Adversarial Learning. IEEE Trans. Geosci. Remote Sens. 2020, 58, 4304–4318. [Google Scholar] [CrossRef]
- Paszke, A.; Gross, S.; Massa, F.; Lerer, A.; Bradbury, J.; Chanan, G.; Killeen, T.; Lin, Z.; Gimelshein, N.; Antiga, L.; et al. PyTorch: An Imperative Style, High-Performance Deep Learning Library. In Proceedings of the 33rd International Conference on Neural Information Processing Systems; Curran Associates Inc.: Red Hook, NY, USA, 2019; Volume 721, pp. 8026–8037. [Google Scholar]
- Kingma, D.P.; Ba, J.L. Adam: A Method for Stochastic Optimization. In Proceedings of the 3rd International Conference on Learning Representations, San Diego, CA, USA, 7–9 May 2015; Volume 5. [Google Scholar]
- Fraser, C.S.; Hanley, H.B. Bias Compensation in Rational Functions for Ikonos Satellite Imagery. Photogramm. Eng. Remote Sens. 2003, 69, 53–57. [Google Scholar] [CrossRef]
- Fraser, C.S.; Hanley, H.B. Bias-Compensated RPCs for Sensor Orientation of High-Resolution Satellite Imagery. Photogramm. Eng. Remote Sens. 2005, 71, 909–915. [Google Scholar] [CrossRef]
- Knudby, A.; Richardson, G. Incorporation of Neighborhood Information Improves Performance of SDB Models. Remote Sens. Appl. Soc. Environ. 2023, 32, 101033. [Google Scholar] [CrossRef]
- Wei, S.; Qian, J.; Yali, R.; Ran, M. Comparative Study of Different Machine Learning Models for Remote Sensing Bathymetry Inversion. In Proceedings of the Intelligent and Fuzzy Techniques: Smart and Innovative Solutions, Istanbul, Turkey, 21–23 July 2020; Springer International Publishing: Cham, Switzerland, 2021; Volume 1197, pp. 1140–1148. [Google Scholar]
- Moran, N.; Stringer, B.; Lin, B.; Hoque, M.T. Machine Learning Model Selection for Predicting Bathymetry. Deep Sea Res. Part Oceanogr. Res. Pap. 2022, 185, 103788. [Google Scholar] [CrossRef]
- Zhou, W.; Tang, Y.; Jing, W.; Li, Y.; Yang, J.; Deng, Y.; Zhang, Y. A Comparison of Machine Learning and Empirical Approaches for Deriving Bathymetry from Multispectral Imagery. Remote Sens. 2023, 15, 393. [Google Scholar] [CrossRef]
- Zhao, X.; Wang, D.; Xu, H.; Shi, Y.; Deng, Z.; Ding, Z.; Liu, Z.; Xu, X.; Lu, Z.; Wang, G.; et al. Water Deep Mapping from HJ-1B Satellite Data by a Deep Network Model in the Sea Area of Pearl River Estuary, China. Open Geosci. 2021, 13, 782–795. [Google Scholar] [CrossRef]
- Mandlburger, G.; Kölle, M.; Nübel, H.; Soergel, U. BathyNet: A Deep Neural Network for Water Depth Mapping from Multispectral Aerial Images. PFG J. Photogramm. Remote Sens. Geoinf. Sci. 2021, 89, 71–89. [Google Scholar] [CrossRef]
- Shen, W.; Chen, M.; Wu, Z.; Wang, J. Shallow-Water Bathymetry Retrieval Based on an Improved Deep Learning Method Using GF-6 Multispectral Imagery in Nanshan Port Waters. IEEE J. Sel. Top. Appl. Earth Obs. Remote Sens. 2023, 16, 8550–8562. [Google Scholar] [CrossRef]
- Liu, X.; Song, Y.; Shen, C. Bathymetry Inversion Using a Deep-Learning-Based Surrogate for Shallow Water Equations Solvers. Water Resour. Res. 2024, 60, e2023WR035890. [Google Scholar] [CrossRef]
- Kruse, F.A.; Lefkoff, A.B.; Boardman, J.W.; Heidebrecht, K.B.; Shapiro, A.T.; Barloon, P.J.; Goetz, A.F.H. Goetz the Spectral Image Processing System (SIPS)—Interactive Visualization and Analysis of Imaging Spectrometer Data. Remote Sens. Environ. 1993, 44, 192–201. [Google Scholar] [CrossRef]










| Method | PSNR | SSIM | SAM | Parameters | Flops |
|---|---|---|---|---|---|
| BICUBIC | 35.7769 | 0.9041 | 4.7413 | / | / |
| FPNSR | 37.0493 | 0.9226 | 2.4206 | 44.132M | 1.261T |
| SSPSR | 36.9121 | 0.9206 | 2.4476 | 11.011M | 1.092T |
| GDRRN | 36.7055 | 0.9169 | 2.5263 | 0.378M | 89.712G |
| Area | MLR | RF | SVR | MLP | ||||
|---|---|---|---|---|---|---|---|---|
| MAE | MAPE | MAE | MAPE | MAE | MAPE | MAE | MAPE | |
| Shenzhen Reservoir | 2.025 | 33.285% | 1.183 | 21.742% | 2.286 | 44.217% | 1.156 | 19.280% |
| Changtan-Cili River | 1.120 | 15.715% | 0.761 | 10.647% | 1.154 | 15.598% | 0.863 | 11.873% |
| Chalin-Sanjiangkou River | 2.125 | 58.642% | 1.510 | 42.430% | 2.178 | 59.276% | 1.752 | 46.640% |
| Area | SR Method | MLR | RF | SVR | MLP | ||||
|---|---|---|---|---|---|---|---|---|---|
| MAE | MAPE | MAE | MAPE | MAE | MAPE | MAE | MAPE | ||
| Shenzhen Reservoir | BICUBIC | 2.260 | 37.431% | 1.498 | 27.054% | 2.292 | 44.096% | 1.377 | 23.590% |
| FPNSR | 2.216 | 36.481% | 1.526 | 26.908% | 2.329 | 43.804% | 1.318 | 23.376% | |
| SSPSR | 2.319 | 39.676% | 1.546 | 26.809% | 2.339 | 44.135% | 1.370 | 23.148% | |
| GDRRN | 2.329 | 38.463% | 1.527 | 27.024% | 2.270 | 42.576% | 1.292 | 22.188% | |
| Changtan-Cili River | BICUBIC | 1.086 | 15.555% | 0.794 | 11.644% | 1.119 | 15.133% | 0.907 | 12.770% |
| FPNSR | 1.113 | 15.693% | 0.750 | 10.806% | 1.104 | 14.944% | 0.872 | 11.980% | |
| SSPSR | 1.135 | 16.385% | 0.794 | 11.416% | 1.111 | 14.979% | 0.935 | 12.998% | |
| GDRRN | 1.058 | 14.72% | 0.794 | 11.513% | 1.097 | 14.805% | 0.870 | 12.178% | |
| Chalin- Sanjiangkou River | BICUBIC | 2.106 | 54.593% | 1.670 | 45.694% | 2.007 | 54.622% | 1.642 | 40.540% |
| FPNSR | 2.138 | 58.288% | 1.697 | 49.266% | 2.114 | 57.128% | 1.785 | 47.574% | |
| SSPSR | 2.206 | 62.008% | 1.704 | 49.203% | 2.112 | 57.046% | 1.808 | 46.530% | |
| GDRRN | 2.112 | 57.162% | 1.612 | 45.884% | 2.072 | 55.861% | 1.682 | 44.285% | |
| SR Method | MLR | RF | SVR | MLP | ||||
|---|---|---|---|---|---|---|---|---|
| MAE | MAPE | MAE | MAPE | MAE | MAPE | MAE | MAPE | |
| BICUBIC | 2.265 | 49.294% | 1.443 | 31.650% | 2.242 | 48.197% | 1.576 | 32.947% |
| FPNSR | 2.215 | 49.129% | 1.440 | 32.517% | 2.256 | 48.933% | 1.572 | 33.299% |
| SSPSR | 2.287 | 51.029% | 1.478 | 33.463% | 2.257 | 48.798% | 1.588 | 33.234% |
| GDRRN | 2.288 | 50.214% | 1.440 | 32.689% | 2.247 | 48.172% | 1.525 | 32.289% |
| Area | SR Method | MLR | RF | SVR | MLP | ||||
|---|---|---|---|---|---|---|---|---|---|
| MAE | MAPE | MAE | MAPE | MAE | MAPE | MAE | MAPE | ||
| Shenzhen Reservoir | BICUBIC | 2.504 | 43.289% | 1.521 | 27.868% | 2.709 | 50.953% | 1.636 | 27.201% |
| FPNSR | 2.360 | 40.151% | 1.546 | 27.431% | 2.721 | 51.006% | 1.650 | 26.769% | |
| SSPSR | 2.510 | 43.918% | 1.595 | 29.069% | 2.741 | 51.427% | 1.697 | 27.328% | |
| GDRRN | 2.429 | 42.204% | 1.525 | 27.819% | 2.713 | 50.031% | 1.623 | 26.639% | |
| Changtan-Cili River | BICUBIC | 1.586 | 23.607% | 0.930 | 14.162% | 1.303 | 18.606% | 1.000 | 14.703% |
| FPNSR | 1.635 | 24.303% | 0.823 | 12.161% | 1.253 | 17.688% | 0.985 | 13.857% | |
| SSPSR | 1.644 | 24.284% | 0.876 | 13.172% | 1.259 | 17.594% | 0.969 | 13.837% | |
| GDRRN | 1.651 | 25.055% | 0.894 | 13.542% | 1.260 | 17.705% | 0.907 | 12.727% | |
| Chalin- Sanjiangkou River | BICUBIC | 2.424 | 70.207% | 1.664 | 45.585% | 2.330 | 62.771% | 1.833 | 48.373% |
| FPNSR | 2.410 | 72.479% | 1.694 | 49.413% | 2.380 | 64.559% | 1.823 | 49.308% | |
| SSPSR | 2.442 | 73.653% | 1.713 | 49.636% | 2.355 | 63.688% | 1.814 | 48.809% | |
| GDRRN | 2.520 | 72.802% | 1.674 | 48.665% | 2.358 | 63.461% | 1.765 | 48.181% | |
| Train Area | Validation Area | SR Method | MLR | RF | SVR | MLP | ||||
|---|---|---|---|---|---|---|---|---|---|---|
| MAE | MAPE | MAE | MAPE | MAE | MAPE | MAE | MAPE | |||
| Shenzhen Reservoir | Changtan-Cili River | BICUBIC | 3.242 | 43.340% | 1.786 | 22.451% | 2.473 | 43.593% | 2.945 | 40.613% |
| FPNSR | 4.584 | 58.096% | 1.760 | 21.494% | 2.644 | 46.922% | 2.094 | 32.722% | ||
| SSPSR | 3.367 | 43.272% | 1.951 | 23.547% | 2.764 | 48.430% | 2.051 | 32.802% | ||
| GDRRN | 3.065 | 41.789% | 1.968 | 24.101% | 2.757 | 48.582% | 2.549 | 35.126% | ||
| Chalin- Sanjiangkou River | BICUBIC | 3.657 | 138.167% | 2.669 | 59.799% | 2.428 | 74.390% | 2.714 | 75.997% | |
| FPNSR | 3.930 | 98.381% | 2.536 | 59.122% | 2.552 | 82.217% | 2.816 | 95.575% | ||
| SSPSR | 3.713 | 89.299% | 2.532 | 59.004% | 2.541 | 80.824% | 2.808 | 91.135% | ||
| GDRRN | 3.065 | 100.479% | 2.729 | 56.443% | 2.495 | 77.616% | 2.750 | 88.803% | ||
| Changtan-Cili River | Shenzhen Reservoir | BICUBIC | 5.619 | 57.354% | 3.848 | 56.565% | 3.433 | 60.552% | 3.804 | 66.455% |
| FPNSR | 4.136 | 53.916% | 3.758 | 54.552% | 3.396 | 59.516% | 3.464 | 66.529% | ||
| SSPSR | 3.946 | 52.013% | 3.904 | 56.093% | 3.403 | 59.780% | 3.595 | 65.306% | ||
| GDRRN | 5.698 | 58.820% | 3.884 | 54.940% | 3.401 | 60.282% | 3.528 | 68.172% | ||
| Chalin- Sanjiangkou River | BICUBIC | 6.441 | 148.446% | 2.757 | 65.214% | 2.652 | 64.530% | 2.340 | 59.979% | |
| FPNSR | 5.991 | 126.948% | 2.617 | 68.155% | 2.639 | 66.424% | 2.409 | 61.363% | ||
| SSPSR | 3.304 | 68.676% | 2.719 | 63.944% | 2.668 | 65.572% | 2.494 | 61.253% | ||
| GDRRN | 5.910 | 110.700% | 2.734 | 71.710% | 2.698 | 65.936% | 2.758 | 59.611% | ||
| Chalin- Sanjiangkou River | Shenzhen Reservoir | BICUBIC | 10.218 | 183.020% | 5.505 | 58.296% | 4.188 | 51.218% | 4.781 | 53.924% |
| FPNSR | 8.576 | 160.723% | 4.777 | 55.751% | 4.280 | 51.601% | 4.280 | 52.231% | ||
| SSPSR | 10.714 | 194.674% | 5.259 | 57.151% | 4.231 | 51.887% | 3.726 | 50.437% | ||
| GDRRN | 13.813 | 243.514% | 5.186 | 55.763% | 4.204 | 51.786% | 4.607 | 54.670% | ||
| Changtan-Cili River | BICUBIC | 29.325 | 409.343% | 2.181 | 31.880% | 2.438 | 38.295% | 2.839 | 42.642% | |
| FPNSR | 19.963 | 270.603% | 1.720 | 25.203% | 2.036 | 32.075% | 2.907 | 42.659% | ||
| SSPSR | 17.807 | 248.639% | 1.898 | 27.085% | 2.071 | 32.293% | 2.151 | 32.936% | ||
| GDRRN | 27.631 | 378.699% | 2.129 | 30.489% | 2.371 | 37.342% | 3.150 | 45.149% | ||
| Area | SR Method | MLR | RF | SVR | MLP | ||||
|---|---|---|---|---|---|---|---|---|---|
| MAE | MAPE | MAE | MAPE | MAE | MAPE | MAE | MAPE | ||
| Shenzhen Reservoir | BICUBIC | 2.282 | 37.620% | 1.495 | 26.939% | 2.294 | 44.117% | 1.351 | 22.784% |
| FPNSR | 2.179 | 35.839% | 1.534 | 27.012% | 2.323 | 43.693% | 1.364 | 24.086% | |
| SSPSR | 2.308 | 39.209% | 1.549 | 26.759% | 2.337 | 43.997% | 1.327 | 22.823% | |
| GDRRN | 2.352 | 38.826% | 1.515 | 26.781% | 2.270 | 42.559% | 1.321 | 22.677% | |
| Changtan-Cili River | BICUBIC | 1.109 | 15.598% | 0.800 | 11.746% | 1.115 | 15.080% | 0.911 | 12.751% |
| FPNSR | 1.137 | 16.021% | 0.747 | 10.766% | 1.103 | 14.930% | 0.878 | 12.124% | |
| SSPSR | 1.123 | 16.411% | 0.790 | 11.328% | 1.112 | 14.982% | 0.916 | 12.782% | |
| GDRRN | 0.996 | 13.690% | 0.796 | 11.561% | 1.095 | 14.755% | 0.880 | 12.262% | |
| Chalin- Sanjiangkou River | BICUBIC | 2.103 | 54.873% | 1.619 | 45.343% | 2.065 | 56.215% | 1.812 | 46.408% |
| FPNSR | 2.121 | 57.323% | 1.694 | 49.131% | 2.112 | 57.153% | 1.763 | 47.618% | |
| SSPSR | 2.329 | 64.917% | 1.855 | 50.949% | 2.083 | 57.769% | 1.984 | 50.033% | |
| GDRRN | 2.102 | 56.165% | 1.615 | 45.721% | 2.076 | 55.928% | 1.696 | 43.875% | |
Disclaimer/Publisher’s Note: The statements, opinions and data contained in all publications are solely those of the individual author(s) and contributor(s) and not of MDPI and/or the editor(s). MDPI and/or the editor(s) disclaim responsibility for any injury to people or property resulting from any ideas, methods, instructions or products referred to in the content. |
© 2024 by the authors. Licensee MDPI, Basel, Switzerland. This article is an open access article distributed under the terms and conditions of the Creative Commons Attribution (CC BY) license (https://creativecommons.org/licenses/by/4.0/).
Share and Cite
Zhang, S.; Hu, K.; Wang, X.; Zhao, B.; Liu, M.; Gu, C.; Xu, J.; Cheng, X. Estimating Water Depth of Different Waterbodies Using Deep Learning Super Resolution from HJ-2 Satellite Hyperspectral Images. Remote Sens. 2024, 16, 4607. https://doi.org/10.3390/rs16234607
Zhang S, Hu K, Wang X, Zhao B, Liu M, Gu C, Xu J, Cheng X. Estimating Water Depth of Different Waterbodies Using Deep Learning Super Resolution from HJ-2 Satellite Hyperspectral Images. Remote Sensing. 2024; 16(23):4607. https://doi.org/10.3390/rs16234607
Chicago/Turabian StyleZhang, Shuangyin, Kailong Hu, Xinsheng Wang, Baocheng Zhao, Ming Liu, Changjun Gu, Jian Xu, and Xuejun Cheng. 2024. "Estimating Water Depth of Different Waterbodies Using Deep Learning Super Resolution from HJ-2 Satellite Hyperspectral Images" Remote Sensing 16, no. 23: 4607. https://doi.org/10.3390/rs16234607
APA StyleZhang, S., Hu, K., Wang, X., Zhao, B., Liu, M., Gu, C., Xu, J., & Cheng, X. (2024). Estimating Water Depth of Different Waterbodies Using Deep Learning Super Resolution from HJ-2 Satellite Hyperspectral Images. Remote Sensing, 16(23), 4607. https://doi.org/10.3390/rs16234607

