Tightly Coupled LIDAR/IMU/UWB Fusion via Resilient Factor Graph for Quadruped Robot Positioning
Abstract
1. Introduction
2. Materials and Methods
2.1. System Overview
2.2. Lightweight Point Cloud Segmentation
2.3. Multi-Decision Non-Line-of-Sight Judgment Based on Information Entropy
2.4. Factor Graph Fusion Framework Based on Resilient Mechanism
2.4.1. LiDAR Measurement Model
2.4.2. IMU Measurement Model
2.4.3. UWB Measurement Model
3. Experimental Results
3.1. Experimental Platform and Environments
3.2. Analysis of Lidar Point Cloud Based on Segmentation Constraints
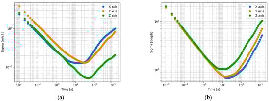
3.3. ALLAN Variance Analysis of IMU
3.4. UWB Ranging Error Mitigation
3.4.1. System Error Elimination Module
3.4.2. Non-Line-of-Sight Recognition Module Based on Information Entropy
3.5. Analysis of Collaborative Optimization
3.6. Laboratory Experiment Results
3.7. Real-Time Performance
4. Conclusions
Author Contributions
Funding
Data Availability Statement
Conflicts of Interest
References
- Meng, X.; Wang, S.; Cao, Z.; Zhang, L. A Review of Quadruped Robots and Environment Perception. In Proceedings of the 2016 35th Chinese Control Conference (CCC), Chengdu, China, 27–29 July 2016; pp. 6350–6356. [Google Scholar]
- Afsari, K.; Halder, S.; King, R.; Thabet, W.; Serdakowski, J.; DeVito, S.; Ensafi, M.; Lopez, J. Identification of Indicators for Effectiveness Evaluation of Four-Legged Robots in Automated Construction Progress Monitoring. In Proceedings of the Construction Research Congress 2022, Arlington, VA, USA, 9–12 March 2022; pp. 610–620. [Google Scholar]
- Halder, S.; Afsari, K.; Serdakowski, J.; DeVito, S. A Methodology for BIM-Enabled Automated Reality Capture in Construction Inspection with Quadruped Robots. In Proceedings of the ISARC International Symposium on Automation and Robotics in Construction, Dubai, United Arab Emirates, 2–4 November 2021; Volume 38, pp. 17–24. [Google Scholar]
- Biswal, P.; Mohanty, P.K. Development of Quadruped Walking Robots: A Review. Ain Shams Eng. J. 2021, 12, 2017–2031. [Google Scholar] [CrossRef]
- Mantha, B.R.K.; de Soto, B. Designing a Reliable Fiducial Marker Network for Autonomous Indoor Robot Navigation. In Proceedings of the 36th international symposium on automation and robotics in construction (ISARC), Banff, AB, Canada, 21–24 May 2019; pp. 74–81. [Google Scholar]
- Kunhoth, J.; Karkar, A.; Al-Maadeed, S.; Al-Ali, A. Indoor Positioning and Wayfinding Systems: A Survey. Hum.-Centric Comput. Inf. Sci. 2020, 10, 18. [Google Scholar] [CrossRef]
- Liang, S.; Cao, Z.; Guan, P.; Wang, C.; Yu, J.; Wang, S. A Novel Sparse Geometric 3-d Lidar Odometry Approach. IEEE Syst. J. 2020, 15, 1390–1400. [Google Scholar] [CrossRef]
- Wang, Q.; Tan, Y.; Mei, Z. Computational Methods of Acquisition and Processing of 3D Point Cloud Data for Construction Applications. Arch. Comput. Methods Eng. 2020, 27, 479–499. [Google Scholar] [CrossRef]
- Li, K.; Li, M.; Hanebeck, U.D. Towards High-Performance Solid-State-Lidar-Inertial Odometry and Mapping. IEEE Robot. Autom. Lett. 2021, 6, 5167–5174. [Google Scholar] [CrossRef]
- Rummelhard, L.; Paigwar, A.; Nègre, A.; Laugier, C. Ground Estimation and Point Cloud Segmentation Using Spatiotemporal Conditional Random Field. In Proceedings of the 2017 IEEE Intelligent Vehicles Symposium (IV), Los Angeles, CA, USA, 11–14 June 2017; pp. 1105–1110. [Google Scholar]
- Zhang, M.; Morris, D.D.; Fu, R. Ground Segmentation Based on Loopy Belief Propagation for Sparse 3D Point Clouds. In Proceedings of the 2015 International Conference on 3D Vision, Lyon, France, 19–22 October 2015; pp. 615–622. [Google Scholar]
- Mongus, D.; Lukač, N.; Žalik, B. Ground and Building Extraction from LiDAR Data Based on Differential Morphological Profiles and Locally Fitted Surfaces. ISPRS J. Photogramm. Remote Sens. 2014, 93, 145–156. [Google Scholar] [CrossRef]
- Shan, T.; Englot, B. Lego-Loam: Lightweight and Ground-Optimized Lidar Odometry and Mapping on Variable Terrain. In Proceedings of the 2018 IEEE/RSJ International Conference on Intelligent Robots and Systems (IROS), Madrid, Spain, 1–5 October 2018; pp. 4758–4765. [Google Scholar]
- Liu, X.; Zhang, L.; Qin, S.; Tian, D.; Ouyang, S.; Chen, C. Optimized LOAM Using Ground Plane Constraints and SegMatch-Based Loop Detection. Sensors 2019, 19, 5419. [Google Scholar] [CrossRef]
- Lim, H.; Oh, M.; Myung, H. Patchwork: Concentric Zone-Based Region-Wise Ground Segmentation with Ground Likelihood Estimation Using a 3D LiDAR Sensor. IEEE Robot. Autom. Lett. 2021, 6, 6458–6465. [Google Scholar] [CrossRef]
- Seo, D.-U.; Lim, H.; Lee, S.; Myung, H. PaGO-LOAM: Robust Ground-Optimized LiDAR Odometry. In Proceedings of the 2022 19th International Conference on Ubiquitous Robots (UR), Jeju, Republic of Korea, 4–6 July 2022; pp. 1–7. [Google Scholar]
- Koide, K.; Miura, J.; Menegatti, E. A Portable Three-Dimensional LIDAR-Based System for Long-Term and Wide-Area People Behavior Measurement. Int. J. Adv. Robot. Syst. 2019, 16, 1729881419841532. [Google Scholar] [CrossRef]
- Ye, H.; Chen, Y.; Liu, M. Tightly Coupled 3d Lidar Inertial Odometry and Mapping. In Proceedings of the 2019 International Conference on Robotics and Automation (ICRA), Montreal, QC, Canada, 20–24 May 2019; pp. 3144–3150. [Google Scholar]
- Tinchev, G.; Penate-Sanchez, A.; Fallon, M. Learning to See the Wood for the Trees: Deep Laser Localization in Urban and Natural Environments on a CPU. IEEE Robot. Autom. Lett. 2019, 4, 1327–1334. [Google Scholar] [CrossRef]
- Liu, T.; Liu, J.; Wang, J.; Zhang, H.; Zhang, B.; Ma, Y.; Sun, M.; Lv, Z.; Xu, G. Pseudolites to Support Location Services in Smart Cities: Review and Prospects. Smart Cities 2023, 6, 2081–2105. [Google Scholar] [CrossRef]
- Zhang, X.; Kuang, Y.; Yang, H.; Lu, H.; Yang, Y. UWB Indoor Localization Algorithm Using Firefly of Multistage Optimization on Particle Filter. J. Sens. 2021, 2021, 1383767. [Google Scholar] [CrossRef]
- Khodjaev, J.; Park, Y.; Saeed Malik, A. Survey of NLOS Identification and Error Mitigation Problems in UWB-Based Positioning Algorithms for Dense Environments. Ann. Telecommun. Des. Télécommun. 2010, 65, 301–311. [Google Scholar] [CrossRef]
- Güvenç, I.; Chong, C.-C.; Watanabe, F.; Inamura, H. NLOS Identification and Weighted Least-Squares Localization for UWB Systems Using Multipath Channel Statistics. EURASIP J. Adv. Signal Process. 2007, 2008, 271984. [Google Scholar] [CrossRef]
- Wen, K.; Yu, K.; Li, Y. NLOS Identification and Compensation for UWB Ranging Based on Obstruction Classification. In Proceedings of the 2017 25th European signal processing conference (EUSIPCO), Kos, Greece, 28 August–2 September 2017; pp. 2704–2708. [Google Scholar]
- Zhu, X.; Yi, J.; Cheng, J.; He, L. Adapted Error Map Based Mobile Robot UWB Indoor Positioning. IEEE Trans. Instrum. Meas. 2020, 69, 6336–6350. [Google Scholar] [CrossRef]
- Wang, C.; Xu, A.; Kuang, J.; Sui, X.; Hao, Y.; Niu, X. A High-Accuracy Indoor Localization System and Applications Based on Tightly Coupled UWB/INS/Floor Map Integration. IEEE Sens. J. 2021, 21, 18166–18177. [Google Scholar] [CrossRef]
- Wang, C.; Xu, A.; Sui, X.; Hao, Y.; Shi, Z.; Chen, Z. A Seamless Navigation System and Applications for Autonomous Vehicles Using a Tightly Coupled GNSS/UWB/INS/Map Integration Scheme. Remote Sens. 2021, 14, 27. [Google Scholar] [CrossRef]
- Zhang, H.; Wang, Q.; Yan, C.; Xu, J.; Zhang, B. Research on UWB Indoor Positioning Algorithm under the Influence of Human Occlusion and Spatial NLOS. Remote Sens. 2022, 14, 6338. [Google Scholar] [CrossRef]
- Ng, H.-F.; Zhang, G.; Hsu, L.-T. A Computation Effective Range-Based 3D Mapping Aided GNSS with NLOS Correction Method. J. Navig. 2020, 73, 1202–1222. [Google Scholar] [CrossRef]
- Zhao, S.; Huang, B. Trial-and-Error or Avoiding a Guess? Initialization of the Kalman Filter. Automatica 2020, 121, 109184. [Google Scholar] [CrossRef]
- Zhao, S.; Shmaliy, Y.S.; Liu, F. Fast Kalman-like Optimal Unbiased FIR Filtering with Applications. IEEE Trans. Signal Process. 2016, 64, 2284–2297. [Google Scholar] [CrossRef]
- He, G.; Yuan, X.; Zhuang, Y.; Hu, H. An Integrated GNSS/LiDAR-SLAM Pose Estimation Framework for Large-Scale Map Building in Partially GNSS-Denied Environments. IEEE Trans. Instrum. Meas. 2020, 70, 1–9. [Google Scholar] [CrossRef]
- Marković, L.; Kovač, M.; Milijas, R.; Car, M.; Bogdan, S. Error State Extended Kalman Filter Multi-Sensor Fusion for Unmanned Aerial Vehicle Localization in Gps and Magnetometer Denied Indoor Environments. In Proceedings of the 2022 International Conference on Unmanned Aircraft Systems (ICUAS), Dubrovnik, Croatia, 21–24 June 2022; pp. 184–190. [Google Scholar]
- Wang, X.; Gao, F.; Huang, J.; Xue, Y. UWB/LiDAR Tightly Coupled Positioning Algorithm Based on ISSA Optimized Particle Filter. IEEE Sens. J. 2024, 24, 11217–11228. [Google Scholar] [CrossRef]
- Zhuang, Y.; Sun, X.; Li, Y.; Huai, J.; Hua, L.; Yang, X.; Cao, X.; Zhang, P.; Cao, Y.; Qi, L.; et al. Multi-Sensor Integrated Navigation/Positioning Systems Using Data Fusion: From Analytics-Based to Learning-Based Approaches. Inf. Fusion. 2023, 95, 62–90. [Google Scholar] [CrossRef]
- Zhou, H.; Yao, Z.; Lu, M. Lidar/UWB Fusion Based SLAM with Anti-Degeneration Capability. IEEE Trans. Veh. Technol. 2020, 70, 820–830. [Google Scholar] [CrossRef]
- Nguyen, T.-M.; Cao, M.; Yuan, S.; Lyu, Y.; Nguyen, T.H.; Xie, L. LIRO: Tightly Coupled Lidar-Inertia-Ranging Odometry. In Proceedings of the 2021 IEEE international conference on robotics and automation (ICRA), Xi’an, China, 30 May–5 June 2021; pp. 14484–14490. [Google Scholar]
- Shannon, C.E. A Mathematical Theory of Communication. Bell Syst. Tech. J. 1948, 27, 379–423. [Google Scholar] [CrossRef]
- Gururaj, K.; Rajendra, A.K.; Song, Y.; Law, C.L.; Cai, G. Real-Time Identification of NLOS Range Measurements for Enhanced UWB Localization. In Proceedings of the 2017 international conference on indoor positioning and indoor navigation (IPIN), Sapporo, Japan, 18–21 September 2017; pp. 1–7. [Google Scholar]
- Chiang, K.-W.; Tsai, G.-J.; Li, Y.-H.; Li, Y.; El-Sheimy, N. Navigation Engine Design for Automated Driving Using INS/GNSS/3D LiDAR-SLAM and Integrity Assessment. Remote Sens. 2020, 12, 1564. [Google Scholar] [CrossRef]
- He, X.; Pan, S.; Gao, W.; Lu, X. LiDAR-Inertial-GNSS Fusion Positioning System in Urban Environment: Local Accurate Registration and Global Drift-Free. Remote Sens. 2022, 14, 2104. [Google Scholar] [CrossRef]
- Forster, C.; Carlone, L.; Dellaert, F.; Scaramuzza, D. IMU Preintegration on Manifold for Efficient Visual-Inertial Maximum-a-Posteriori Estimation. In Proceedings of the Robotics: Science and Systems XI, Rome, Italy, 13–17 July 2015. [Google Scholar]



















| Dataset | RMSE Error [m] | |
|---|---|---|
| LIO-SAM | Ours | |
| Drive_0027 | 2.54 | 1.13 |
| Module | Time Consuming (ms) |
|---|---|
| Lidar point process | 16.2 |
| UWB range process | 0.01 |
| Factor graph optimization | 1.22 |
Disclaimer/Publisher’s Note: The statements, opinions and data contained in all publications are solely those of the individual author(s) and contributor(s) and not of MDPI and/or the editor(s). MDPI and/or the editor(s) disclaim responsibility for any injury to people or property resulting from any ideas, methods, instructions or products referred to in the content. |
© 2024 by the authors. Licensee MDPI, Basel, Switzerland. This article is an open access article distributed under the terms and conditions of the Creative Commons Attribution (CC BY) license (https://creativecommons.org/licenses/by/4.0/).
Share and Cite
Kuang, Y.; Hu, T.; Ouyang, M.; Yang, Y.; Zhang, X. Tightly Coupled LIDAR/IMU/UWB Fusion via Resilient Factor Graph for Quadruped Robot Positioning. Remote Sens. 2024, 16, 4171. https://doi.org/10.3390/rs16224171
Kuang Y, Hu T, Ouyang M, Yang Y, Zhang X. Tightly Coupled LIDAR/IMU/UWB Fusion via Resilient Factor Graph for Quadruped Robot Positioning. Remote Sensing. 2024; 16(22):4171. https://doi.org/10.3390/rs16224171
Chicago/Turabian StyleKuang, Yujin, Tongfei Hu, Mujiao Ouyang, Yuan Yang, and Xiaoguo Zhang. 2024. "Tightly Coupled LIDAR/IMU/UWB Fusion via Resilient Factor Graph for Quadruped Robot Positioning" Remote Sensing 16, no. 22: 4171. https://doi.org/10.3390/rs16224171
APA StyleKuang, Y., Hu, T., Ouyang, M., Yang, Y., & Zhang, X. (2024). Tightly Coupled LIDAR/IMU/UWB Fusion via Resilient Factor Graph for Quadruped Robot Positioning. Remote Sensing, 16(22), 4171. https://doi.org/10.3390/rs16224171

