Spatial-Temporal Evaluation of Satellite-Derived Rainfall Estimations for Water Resource Applications in the Upper Congo River Basin
Abstract
1. Introduction
2. Materials and Methods
2.1. Study Area: Congo River Basin
2.2. Description of Datasets
- (1)
- SWAT Inputs: Digital Elevation Model (DEM), Soil and Land Use Maps
- (2)
- Precipitation and Temperature Forcing
- (3)
- Streamflow Data: African Database of Hydrometric Indices (ADHI)
2.3. SWAT Model Hydrologic Processes and Set-Up
3. Results
3.1. Spatial Variability of Satellite-Based Rainfall Products
3.2. Descriptive Statistical Evaluation of Predicted Discharges
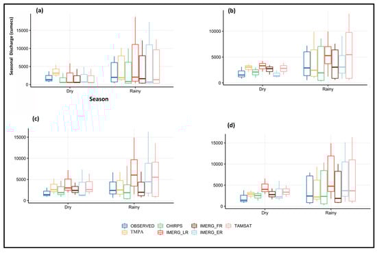
3.3. Monthly and Seasonal Evaluation of Monthly Discharge Using Satellite Products as Hydrologic Forcing
3.4. Performance Evaluation Using the Water Balance Components
4. Conclusions
- (a)
- All the precipitation products responded and reproduced well the timing and seasonality of the gauged discharge at Bangui hydrometric outlets of the UCRB. This was consistent for all the years. The seasonality and timing of the hydrographs is very important in hydrologic applications, such as flood monitoring and early warning preparedness.
- (b)
- IMERG-FR, TMPA, and CHIRPS captured the peak flows. This is expected, since these products have been bias-corrected using gauged precipitation. This also shows the similarities in their underlying algorithms (gauge-precipitation-adjusted). In addition, the results show that these products can be used as proxies for gauged precipitation, especially in sparsely gauged basins such as the CRB.
- (c)
- Using the performance ratings recommended for monthly time steps by Moriasi et al. (2007) [48], the performance of CHIRPS and IMERG-FR can be rated as very good. TMPA can be said to be good and satisfactory. Other satellite products, such as TAMSAT, IMERG-ER, and IMERG-LR, are classified as unsatisfactory and show that some adjustments may be necessary before they can be used for practical hydrologic applications in the UCRB.
Supplementary Materials
Funding
Data Availability Statement
Acknowledgments
Conflicts of Interest
References
- Fortin, V.; Roy, G.; Donaldson, N.; Mahidjiba, A. Assimilation of radar quantitative precipitation estimations in the Canadian Precipitation Analysis (CaPA). J. Hydrol. 2015, 531, 296–307. [Google Scholar] [CrossRef]
- Boluwade, A. Remote Sensed-Based Rainfall Estimations over the East and West Africa Regions for Disaster Risk Management. ISPRS J. Photogramm. Remote Sens. 2020, 167, 305–320. [Google Scholar] [CrossRef]
- Funk, C.; Peterson, P.; Landsfeld, M.; Pedreros, D.; Verdin, J.; Shukla, S.; Husak, G.; Rowland, J.; Harrison, L.; Hoell, A.; et al. The climate hazards infrared precipitation with stations—A new environmental record for monitoring extremes. Sci. Data 2015, 2, 150066. [Google Scholar] [CrossRef] [PubMed]
- Huffman, G.J.; Bolvin, D.T.; Nelkin, E.J.; Wolff, D.B.; Adler, R.F.; Gu, G.; Hong, Y.; Bowman, K.P.; Stocker, E.F. The TRMM Multisatellite Precipitation Analysis (TMPA): Quasi-global, multiyear, combined-sensor precipitation estimates at fine scales. J. Hydrometeorol. 2007, 8, 38–55. [Google Scholar] [CrossRef]
- Huffman, G.J.; Bolvin, D.T.; Nelkin, E.J.; Adler, R.F. TRMM (TMPA) Precipitation L3 1 Day 0.25 Degree × 0.25 Degree V7; Savtchenko, A., Ed.; Goddard Earth Sciences Data and Information Services Center (GES DISC): Greenbelt, MD, USA, 2017. Available online: https://disc.gsfc.nasa.gov/datasets/TRMM_3B42_Daily_7/summary (accessed on 5 December 2022). [CrossRef]
- Huffman, G.J.; Stocker, E.F.; Bolvin, D.T.; Nelkin, E.J.; Tan, J. GPM IMERG Final Precipitation L3 1 Month 0.1 Degree × 0.1 Degree V06; Goddard Earth Sciences Data and Information Services Center (GES DISC): Greenbelt, MD, USA, 2023. Available online: https://disc.gsfc.nasa.gov/datasets/GPM_3IMERGM_07/summary (accessed on 22 January 2020). [CrossRef]
- Maidment, R.I.; Grimes, D.; Black, E.; Tarnavsky, E.; Young, M.; Greatrex, H.; Allan, R.P.; Stein, T.; Nkonde, E.; Senkunda, S.; et al. A new, long-term daily satellite-based rainfall dataset for operational monitoring in Africa. Nat. Sci. Data 2017, 4, 170063. [Google Scholar] [CrossRef]
- Huffman, G.J.; Bolvin, D.T.; Braithwaite, D.; Hsu, K.; Joyce, R.; Kidd, C.; Nelkin, E.J.; Sorooshian, S.; Tan, J.; Xie, P. Algorithm Theoretical Basis Document (ATBD) Version 5.2 for the NASA Global Precipitation Measurement (GPM) Integrated Multi-Satellite Retrievals for GPM (I-MERG); GPM Project: Greenbelt, MD, USA, 2019; p. 38. [Google Scholar]
- Ashouri, H.; Hsu, K.L.; Sorooshian, S.; Braithwaite, D.K.; Knapp, K.R.; Cecil, L.D.; Nelson, B.R.; Prat, O.P. PERSIANN-CDR: Daily precipitation climate data record from multisatellite observations for hydrological and climate studies. Bull. Am. Meteorol. Soc. 2015, 96, 69–83. [Google Scholar] [CrossRef]
- Joyce, R.J.; Janowiak, J.E.; Arkin, P.A.; Xie, P. CMORPH: A Method that Produces Global Precipitation Estimates from Passive Microwave and Infrared Data at High Spatial and Temporal Resolution. J. Hydrometeor. 2004, 5, 487–503. [Google Scholar] [CrossRef]
- Novella, N.S.; Thiaw, W.M. African Rainfall Climatology Version 2 for Famine Early Warning Systems. J. Appl. Meteorol. Climatol. 2013, 52, 588–606. [Google Scholar] [CrossRef]
- Munzimi, Y.A.; Hansen, M.C.; Adusei, B.; Senay, G.B. Characterizing Congo Basin Rainfall and Climate Using Tropical Rainfall Measuring Mission (TRMM) Satellite Data and Limited Rain Gauge Ground Observations. J. Appl. Meteorol. Climatol. 2015, 54, 541–555. [Google Scholar] [CrossRef]
- Nicholson, S.E.; Klotter, D.; Zhou, L.; Hua, W. Validation of Satellite Precipitation Estimates over the Congo Basin. J. Hydrometeorol. 2019, 20, 631–656. [Google Scholar] [CrossRef]
- Camberlin, P.; Barraud, G.; Bigot, S.; Dewitte, O.; Makanzu Imwangana, F.; Maki Mateso, J.-C.; Martiny, N.; Monsieurs, E.; Moron, V.; Pellarin, T.; et al. Evaluation of remotely sensed rainfall products over Central Africa. Q. J. R. Meteorol. Soc. 2019, 145, 2115–2138. [Google Scholar] [CrossRef]
- Becker, M.; Papa, F.; Frappart, F.; Alsdorf, D.; Calmant, S.; da Silva, J.S.; Prigent, C.; Seyler, F. Satellite-based estimates of surface water dynamics in the Congo River Basin. Int. J. Appl. Earth Obs. Geoinf. 2018, 66, 196–209. [Google Scholar] [CrossRef]
- Becker, M.; Da Silva, J.S.; Calmant, S.; Robinet, V.; Linguet, L.; Seyler, F. Water Level Fluctuations in the Congo Basin Derived from ENVISAT Satellite Altimetry. Remote Sens. 2014, 6, 9340–9358. [Google Scholar] [CrossRef]
- Crowley, J.W.; Mitrovica, J.X.; Bailey, R.C.; Tamisiea, M.E.; Davis, J.L. Land water storage within the Congo Basin inferred from GRACE satellite gravity data. Geophys. Res. Lett. 2006, 33, L19402. [Google Scholar] [CrossRef]
- Datok, P.; Fabre, C.; Sauvage, S.; N’kaya, G.D.M.; Paris, A.; Santos, V.D.; Laraque, A.; Sánchez-Pérez, J.-M. Investigating the Role of the Cuvette Centrale in the Hydrology of the Congo River Basin. In Congo Basin Hydrology, Climate, and Biogeochemistry; Tshimanga, R.M., N’kaya, G.D.M., Alsdorf, D., Eds.; John Wiley & Sons: Hoboken, NJ, USA, 2022. [Google Scholar] [CrossRef]
- Kitambo, B.; Papa, F.; Paris, A.; Tshimanga, R.M.; Calmant, S.; Fleischmann, A.S.; Frappart, F.; Becker, M.; Tourian, M.J.; Prigent, C.; et al. A combined use of in situ and satellite-derived observations to characterize surface hydrology and its variability in the Congo River basin. Hydrol. Earth Syst. Sci. 2022, 26, 1857–1882. [Google Scholar] [CrossRef]
- World Bank. Journey into the Congo Basin—The Lungs of Africa and Beating Heart of the World. 2022. Available online: https://www.worldbank.org/en/news/feature/2022/10/24/journey-into-the-congo-basin-the-lungs-of-africa-and-beating-heart-of-the-world (accessed on 19 December 2023).
- WWF. Congo Basin Facts. Available online: https://www.worldwildlife.org/places/congo-basin (accessed on 1 June 2023).
- Laraque, A.; Moukandi N’kaya, G.D.; Orange, D.; Tshimanga, R.; Tshitenge, J.M.; Mahé, G.; Nguimalet, C.R.; Trigg, M.A.; Yepez, S.; Gulemvuga, G. Recent Budget of Hydroclimatology and Hydrosedimentology of the Congo River in Central Africa. Water 2020, 12, 2613. [Google Scholar] [CrossRef]
- Arnold, J.G.; Williams, J.R.; Nicks, A.D.; Sammons, N.B. SWRRB: A Basin Scale Simulation Model for Soil and Water Resources Management; Texas A & M University Press: College Station, TX, USA, 1990; p. 142. [Google Scholar]
- Schuol, J.; Abbaspour, K.C.; Yang, H.; Srinivasan, R.; Zehnder, A.J. Modeling blue and green water availability in Africa. Water Resour. Res. 2008, 44, W07406. [Google Scholar] [CrossRef]
- Tomy, T.; Sumam, K.S. Determining the Adequacy of CFSR Data for Rainfall-Runoff Modeling Using SWAT. Procedia Technol. 2016, 24, 309–316. [Google Scholar] [CrossRef]
- Minh Tuan, B.; Lu, J.; Nie, L. Evaluation of the Climate Forecast System Reanalysis data for hydrological model in the Arctic watershed Målselv. J. Water Clim. Chang. 2021, 12, 3481–3504. [Google Scholar] [CrossRef]
- Tshimanga, R.M. Two Decades of Hydrologic Modeling and Predictions in the Congo River Basin. In Congo Basin Hydrology, Climate, and Biogeochemistry; Tshimanga, R.M., N’kaya, G.D.M., Alsdorf, D., Eds.; John Wiley & Sons: Hoboken, NJ, USA, 2022. [Google Scholar] [CrossRef]
- Lambert, T.; Bouillon, S.; Darchambeau, F.; Massicotte, P.; Borges, A.V. Shift in the chemical composition of dissolved organic matter in the Congo River network. Biogeosciences 2016, 13, 5405–5420. [Google Scholar] [CrossRef]
- Mushi, C.A.; Ndomba, P.M.; Trigg, M.A.; Tshimanga, R.M.; Mtalo, F. Assessment of basin-scale soil erosion within the Congo River Basin: A review. CATENA 2019, 178, 64–76. [Google Scholar] [CrossRef]
- Tshimanga, R.M. Hydrological Uncertainty Analysis and Scenario-Based Stream Flow Modelling for the Congo River Basin. Ph.D. Thesis, Rhodes University Repository, Grahamstown, South Africa, 2012. [Google Scholar]
- Runge, J. Of deserts and forests: Insights into Central African palaeoenvironments since the Last Glacial Maximum. Palaeoecol. Afr. 2008, 28, 15–27. [Google Scholar]
- Laraque, A.; Mahé, G.; Orange, D.; Marieu, B. Spatiotemporal variations in hydrological regimes within Central Africa during the XXth century. J. Hydrol. 2001, 245, 104–117. [Google Scholar] [CrossRef]
- Aloysius, N.; Saiers, J. Simulated hydrologic response to projected changes in precipitation and temperature in the Congo River basin. Hydrol. Earth Syst. Sci. 2017, 21, 4115–4130. [Google Scholar] [CrossRef]
- Alsdorf, D.; Beighley, E.; Laraque, A.; Lee, H.; Tshimanga, R.; O’Loughlin, F.; Mahé, G.; Dinga, B.; Moukandi, G.; Spencer, R.G.M. Opportunities for hydrologic research in the Congo Basin. Rev. Geophys. 2016, 54, 378–409. [Google Scholar] [CrossRef]
- Nguimalet, C.R.; Orange, D. Caractérisation de la baisse hydrologique actuelle de la rivière Oubangui à Bangui, République Centrafricaine. La Houille Blanche 2019, 105, 78–84. [Google Scholar] [CrossRef]
- Dile, Y.T.; Srinivasan, R. Evaluation of CFSR climate data for hydrologic prediction in data-scarce watersheds: An application in the Blue Nile River Basin. J. Am. Water Resour. Assoc. (JAWRA) 2014, 50, 1226–1241. [Google Scholar] [CrossRef]
- Fuka, D.R.; MacAllister, C.A.; Degaetano, A.T.; Easton, Z.M. Using the Climate Forecast System Reanalysis dataset to improve weather input data for watershed models. Hydrol. Proc. 2013, 28, 5613–5623. [Google Scholar] [CrossRef]
- Huffman, G.J.; Bolvin, D.T.; Braithwaite, D.; Hsu, K.; Joyce, R.; Kidd, C.; Nelkin, E.J.; Xie, P. NASA Global Precipitation Measurement (GPM) Integrated Multi-Satellite Retrievals for GPM (IMERG). Algorithm Theoretical Basis Document (ATBD) Version, 4; NASA: Washington, DC, USA, 2018.
- Universität Hamburg. Rainfall Estimates for Africa from TAMSAT. Available online: https://www.cen.uni-hamburg.de/en/icdc/data/atmosphere/tamsat-rainfall-africa.html (accessed on 1 June 2023).
- Maidment, R.I.; Grimes, D.; Allan, R.P.; Tarnavsky, E.; Stringer, M.; Hewison, T.; Roebeling, R.; Black, E. The 30-year TAMSAT African Rainfall Climatology And Time series (TARCAT) data set. J. Geophys. Res. 2014, 119, 10619–10644. [Google Scholar] [CrossRef]
- NASA’s Integrated Multi-Satellite Retrievals for GPM (IMERG). Available online: https://gpm.nasa.gov/data/imerg (accessed on 1 June 2023).
- Tramblay, Y.; Rouché, N.; Paturel, J.E.; Mahé, G.; Boyer, J.F.; Amoussou, E.; Bodian, A.; Dacosta, H.; Dakhlaoui, H.; Dezetter, A.; et al. ADHI: The African database of hydrometric indices (1950–2018). Earth Syst. Sci. Data 2021, 13, 1547–1560. [Google Scholar] [CrossRef]
- Arnold, J.G.; Srinivasan, R.; Muttiah, R.S.; Williams, J.R. Large area hydrologic modeling and assessment part I: Model development. JAWRA J. Am. Water Resour. Assoc. 1998, 34, 73–89. [Google Scholar] [CrossRef]
- Neitsch, S.L.; Arnold, J.G.; Kiniry, J.R.; Williams, J.R. Soil and Water Assessment Tool Theoretical Documentation Version 2009; Texas Water Resources Institute: College Station, TX, USA, 2011.
- SWAT. Chapter 32: SWAT Output Data: Primary Output Files. 2005. Available online: https://swat.tamu.edu/media/69395/ch32_output.pdf (accessed on 4 December 2022).
- Rallison, R.E.; Miller, N. Past, present and future SCS runoff procedure. In Rainfallrunoff Relationship—Proceedings of the International Symposium on Rainfall-Runoff Modelling; Singh, V.P., Ed.; Water Resources Publications: Littleton, CO, USA, 1981. [Google Scholar]
- Abbaspour, C.K. SWAT-CUP SWAT Calibration and Uncertainty Programs. 2012. Available online: https://swat.tamu.edu/media/114860/usermanual_swatcup.pdf (accessed on 10 January 2023).
- Moriasi, D.N.; Arnold, J.G.; Van Liew, M.W.; Bingner, R.L.; Harmel, R.D.; Veith, T.L. Model evaluation guidelines for systematic quantification of accuracy in watershed simulations. Trans. ASABE 2007, 50, 885–900. [Google Scholar] [CrossRef]
- Motovilov, Y.G.; Gottschalk, L.; Engeland, K.; Rodhe, A. Validation of a distributed hydrological model against spatial observations. Agric. For. Meteorol. 1999, 98, 257–277. [Google Scholar] [CrossRef]









| Dataset Used | Period | Spatial and Temporal Resolution | Source |
|---|---|---|---|
| CHIRPS v2 | 2007–2010 | 0.05° × 0.05°, daily | University of California, Santa Barbara Channel (https://data.chc.ucsb.edu/products/CHIRPS-2.0/, accessed on 5 December 2022) |
| TAMSAT v3 | 2007–2010 | 0.0375° × 0.0375°, daily | TAMSAT Research Group Channel (https://www.tamsat.org.uk/data/archive, accessed on 5 December 2022) |
| TMPA | 2007–2010 | 0.25° × 0.25, daily | Tropical Rainfall Measuring Mission (TRMM) (2011), TRMM (TMPA/3B43) Rainfall doi:10.5067/TRMM/TMPA/MONTH/7 |
| IMERG (ER, LR, and FR) | 2007–2010 | 0.1° × 0.1°, daily | GPM IMERG Final Precipitation L3 1 day 0.1 degree × 0.1 degree V06, Edited by Andrey Savtchenko, Greenbelt, MD, Goddard Earth Sciences Data and Information Services Center (GES DISC), Accessed: [5 December 2022], doi:10.5067/GPM/IMERGDF/DAY/06 |
| Statistics | OBSERVED | CHIRPS | TAMSAT | TMPA | IMERG-ER | IMERGE-LR | IMERG-FR |
|---|---|---|---|---|---|---|---|
| Mean (m3/s) | 2994.6 | 3036.9 | 4929.7 | 3595.6 | 4588.9 | 5592.9 | 3312.4 |
| Standard Deviation (m3/s) | 2418.5 | 3122.4 | 4715.7 | 2661.1 | 4697.7 | 4515.0 | 3001.3 |
| Coefficient of Variation (%) | 80.8 | 102.8 | 95.7 | 74.0 | 102.4 | 80.7 | 90.6 |
| Skewness | 0.8 | 1.0 | 0.8 | 1.1 | 1.3 | 1.1 | 1.2 |
| Minimum (m3/s) | 371.4 | 227.0 | 246.0 | 862.0 | 230.0 | 334.0 | 234.0 |
| Maximum (m3/s) | 7976.0 | 10,300 | 16,300 | 10,100 | 17,300 | 18,700 | 12,200 |
| CHIRPS | TMPA | TAMSAT | IMERG-ER | IMERG-LR | IMGERG-FR | |
|---|---|---|---|---|---|---|
| NSE | 0.79 | 0.77 | −0.73 | −0.75 | −1.26 | 0.8 |
| KGE | 0.7 | 0.76 | −0.149 | −0.087 | −0.229 | 0.731 |
| PBIAS | 1.4 | 20.1 | 64.6 | 53.2 | 86.8 | 10.6 |
| RMSE | 1087 | 1159 | 3148 | 3169 | 3599 | 1081 |
| RSR | 0.45 | 0.48 | 1.3 | 1.31 | 1.5 | 0.45 |
Disclaimer/Publisher’s Note: The statements, opinions and data contained in all publications are solely those of the individual author(s) and contributor(s) and not of MDPI and/or the editor(s). MDPI and/or the editor(s) disclaim responsibility for any injury to people or property resulting from any ideas, methods, instructions or products referred to in the content. |
© 2024 by the author. Licensee MDPI, Basel, Switzerland. This article is an open access article distributed under the terms and conditions of the Creative Commons Attribution (CC BY) license (https://creativecommons.org/licenses/by/4.0/).
Share and Cite
Boluwade, A. Spatial-Temporal Evaluation of Satellite-Derived Rainfall Estimations for Water Resource Applications in the Upper Congo River Basin. Remote Sens. 2024, 16, 3868. https://doi.org/10.3390/rs16203868
Boluwade A. Spatial-Temporal Evaluation of Satellite-Derived Rainfall Estimations for Water Resource Applications in the Upper Congo River Basin. Remote Sensing. 2024; 16(20):3868. https://doi.org/10.3390/rs16203868
Chicago/Turabian StyleBoluwade, Alaba. 2024. "Spatial-Temporal Evaluation of Satellite-Derived Rainfall Estimations for Water Resource Applications in the Upper Congo River Basin" Remote Sensing 16, no. 20: 3868. https://doi.org/10.3390/rs16203868
APA StyleBoluwade, A. (2024). Spatial-Temporal Evaluation of Satellite-Derived Rainfall Estimations for Water Resource Applications in the Upper Congo River Basin. Remote Sensing, 16(20), 3868. https://doi.org/10.3390/rs16203868

