Microphysical Characteristics of Monsoon Precipitation over Yangtze-and-Huai River Basin and South China: A Comparative Study from GPM DPR Observation
Abstract
1. Introduction
2. Data and Methodology
2.1. Data
2.1.1. GPM DPR
2.1.2. ERA5
2.2. Rainy Season Dates of YHRB and SC
2.3. The Precipitation Systems, Rainfall Intensity, and Precipitation Efficiency Index
3. Results
3.1. The Distribution of Various Precipitation Intensities, Types, and PEIs
3.2. The DSD and Vertical Structure of Precipitation
3.3. Precipitation Microphysical Properties
4. Conclusions
- The comparative analyses present the general precipitation characteristics and uncover the interrelationships among these characteristics. The mean near-surface rain rate and PEI are typically greater over SC, which may be associated with the more frequent occurrence of convective precipitation. When precipitation intensity or PEI remains nearly constant and the other is increasing, the proportion of convective precipitation increases as the rise in precipitation intensity or PEI, verifying the larger intensity and PEI owned by convective precipitation. It was found that although convective precipitation is dominant in the strong precipitation (>8 mm/h), stratiform precipitation can also be a significant contributor to the less intense strong precipitation (8–20 mm/h), accounting for 60% over YHRB. Specifically, moderate PEI precipitation is the primary contributor to strong precipitation (>8 mm/h) rather than high PEI precipitation;
- There are similarities and differences in the DSD characteristics between YHRB and SC. The DSD characteristics of strong precipitation (>8 mm/h) over the two regions are similar to that of deep ocean convection, with a possible explanation being that the monsoon precipitation contains a large amount of water vapor. However, the Dm at 1 km altitude over SC is generally larger, while the Nw is smaller, indicating that SC is featured by fewer and larger raindrop particles in the near-surface precipitation. However, there are more and smaller raindrop particles over YHRB;
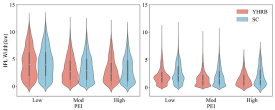
- Smaller IPL width is often associated with higher precipitation efficiency. This relationship exhibits different characteristics in convective and stratiform precipitation. In convective precipitation, a thinner IPL indicates weaker ice phase processes, which typically leads to a reduction in condensation and aggregation processes, resulting in a decrease in the size of raindrops near the ground. In contrast, the formation mechanism of stratiform precipitation differs from convective precipitation, and the role of the IPL in its formation may not be as significant. Even with a reduction in IPL, the Dm in stratiform precipitation may increase due to the highly efficient precipitation process. This increase may be attributed to the enhancement of collision–coalescence process below the melting layer;
- The vertical structure characteristics of precipitation are affected by microphysical processes within the different layers and environmental factors, which may shape the efficiency and intensity characteristics of precipitation;
- Over SC, a stronger trend of particle aggregation is observed in convective precipitation, with Dm increasing with altitude in the upper layers while Nw decreases. Additionally, the growth rate of Dm near the melting layer is higher in stratiform precipitation. This can be explained by the fact that the average vertical wind velocity in the lower layers and the average CAPE is greater over SC, indicating more intense convective activity. As a result, the average STH is approximately 0.63 km higher than YHRB. This leads to a more expansive IPL and melting layer, which reach greater heights and widths. Such an environment is conducive to more vigorous aggregation and deposition processes in the IPL, as well as more pronounced melting and collision–coalescence processes in the melting layer;
- At the same time, the microphysical processes occurring within both the IPL and the melting layer likely contribute to the enhancement of near-surface precipitation. However, Ze near the surface for both convective and stratiform precipitation over SC is not significantly different from and is even slightly lower than that over YHRB. This discrepancy is likely due to the significant influence of liquid phase processes below the melting layer on the vertical structure of precipitation. The stronger collisional break-up processes over SC lead to a reduction in Dm below the melting layer. Given that Ze is directly proportional to the sixth power of Dm, this reduction significantly offsets any potential enhancement in reflectivity.
5. Discussion
Author Contributions
Funding
Data Availability Statement
Acknowledgments
Conflicts of Interest
References
- Chen, F.; Zheng, X.; Wen, H.; Yuan, Y. Microphysics of Convective and Stratiform Precipitation during the Summer Monsoon Season over the Yangtze–Huaihe River Valley, China. J. Hydrometeorol. 2022, 23, 239–252. [Google Scholar] [CrossRef]
- Hu, X.; Han, D.; Hu, S.; Ai, W.; Qiao, J.; Yan, W. Microphysics of Summer Precipitation over Yangtze-Huai River Valley Region in China Revealed by GPM DPR Observation. Earth Space Sci. 2022, 9, e2021EA002021. [Google Scholar] [CrossRef]
- Ding, Y.; Liu, Y.; Hu, Z.-Z. The Record-breaking Mei-yu in 2020 and Associated Atmospheric Circulation and Tropical SST Anomalies. Adv. Atmos. Sci. 2021, 38, 1980–1993. [Google Scholar] [CrossRef] [PubMed]
- Xie, J.; Hsu, P.-C.; Hu, Y.; Lin, Q.; Ye, M. Disastrous Persistent Extreme Rainfall Events of the 2022 Pre-Flood Season in South China: Causes and Subseasonal Predictions. J. Meteorol. Res. 2023, 37, 469–485. [Google Scholar] [CrossRef]
- Yin, L.; Ping, F.; Mao, J.; Jin, S. Analysis on precipitation efficiency of the “21.7” Henan extremely heavy rainfall event. Adv. Atmos. Sci. 2023, 40, 374–392. [Google Scholar] [CrossRef]
- Zhang, G.; Sun, J.; Brandes, E.A. Improving Parameterization of Rain Microphysics with Disdrometer and Radar Observations. J. Atmos. Sci. 2006, 63, 1273–1290. [Google Scholar] [CrossRef]
- Willis, P.T. Functional Fits to Some Observed Drop Size Distributions and Parameterization of Rain. J. Atmos. Sci. 1984, 41, 1648–1661. [Google Scholar] [CrossRef]
- Wen, L.; Chen, G.; Yang, C.; Zhang, H.; Fu, Z. Seasonal variations in precipitation microphysics over East China based on GPM DPR observations. Atmos. Res. 2023, 293, 106933. [Google Scholar] [CrossRef]
- Yamaji, M.; Takahashi, H.G. Seasonal Differences of Precipitation and Microphysical Characteristics over the Asian Monsoon Region Using Spaceborne Dual-Frequency Precipitation Radar. J. Atmos. Sci. 2023, 80, 2115–2128. [Google Scholar] [CrossRef]
- Battaglia, A.; Kollias, P.; Dhillon, R.; Roy, R.; Tanelli, S.; Lamer, K.; Grecu, M.; Lebsock, M.; Watters, D.; Mroz, K.; et al. Spaceborne Cloud and Precipitation Radars: Status, Challenges, and Ways Forward. Rev. Geophys. 2020, 58, e2019RG000686. [Google Scholar] [CrossRef]
- Luo, Y.; Wang, H.; Zhang, R.; Qian, W.; Luo, Z. Comparison of Rainfall Characteristics and Convective Properties of Monsoon Precipitation Systems over South China and the Yangtze and Huai River Basin. J. Clim. 2013, 26, 110–132. [Google Scholar] [CrossRef]
- Hou, A.Y.; Kakar, R.K.; Neeck, S.; Azarbarzin, A.A.; Kummerow, C.D.; Kojima, M.; Oki, R.; Nakamura, K.; Iguchi, T. The Global Precipitation Measurement Mission. Bull. Am. Meteorol. Soc. 2014, 95, 701–722. [Google Scholar] [CrossRef]
- Huang, H.; Zhao, K.; Fu, P.; Chen, H.; Chen, G.; Zhang, Y. Validation of Precipitation Measurements from the Dual-Frequency Precipitation Radar Onboard the GPM Core Observatory Using a Polarimetric Radar in South China. IEEE Trans. Geosci. Remote Sens. 2022, 60, 4104216. [Google Scholar] [CrossRef]
- Jin, X.; Shao, H.; Zhang, C.; Yan, Y. Applicability Analysis of GPM Satellite Precipitation Data in the Tianshan Mountain Area. J. Nat. Resour. 2016, 31, 2074–2085. [Google Scholar]
- Li, D.; Qi, Y.; Li, H. Statistical characteristics of convective and stratiform precipitation during the rainy season over South China based on GPM-DPR observations. Atmos. Res. 2024, 301, 107267. [Google Scholar] [CrossRef]
- Du, S.; Wang, D.H.; Li, G.P.; Cai, Q.B.; Xu, X.C. Analysis of Precipitation Vertical Structure Characteristics in South China Based on Dual-Frequency Satellite-Borne Precipitation Radar GPM Data. J. Trop. Meteorol. 2020, 36, 115–130. [Google Scholar] [CrossRef]
- Sun, Y.; Zhao, C.; Fan, H. Microphysical Characteristics of Precipitation over Eastern China and Its Coastal Regions. J. Geophys. Res. Atmos. 2024, 129, e2023JD039817. [Google Scholar] [CrossRef]
- Sun, N.; Lu, G.; Fu, Y. Microphysical characteristics of precipitation within convective overshooting over East China observed by GPM DPR and ERA5. Atmos. Chem. Phys. 2024, 24, 7123–7135. [Google Scholar] [CrossRef]
- Yu, S.; Luo, Y.; Wu, C.; Zheng, D.; Liu, X.; Xu, W. Convective and Microphysical Characteristics of Extreme Precipitation Revealed by Multisource Observations over the Pearl River Delta at Monsoon Coast. Geophys. Res. Lett. 2022, 49, e2021GL097043. [Google Scholar] [CrossRef]
- Qiang, X.M.; Xuemin, Q.; Yang, X.Q.; Xiuqun, Y.; Sun, C.Y.; Chengyi, S. A Review of Methods for Determining the Start and End Dates of the Pre-Flood Season Precipitation in South China. Int. J. Meterol. 2008, 3, 10–15. [Google Scholar]
- GB/T 33671-2017; Meiyu Monitoring Indices. China Meteorological Press: Beijing, China, 2017.
- QX/T 395—2017; Monitoring Indices of Rainy Season in China: Flood Season in South China. China Meteorological Press: Beijing, China, 2017.
- China Climate Bulletin; China Meteorological Administration National Climate Center: Beijing, China, 2014.
- Masaki, T.; Kubota, T.; Oki, R.; Furukawa, K.; Kojima, M.; Miura, T.; Iguchi, T.; Hanado, H.; Kai, H.; Yoshida, N.; et al. Current status of GPM/DPR level 1 algorithm development and DPR calibration. In Proceedings of the 2015 IEEE International Geoscience and Remote Sensing Symposium (IGARSS), Milan, Italy, 26–31 July 2015; pp. 2615–2618. [Google Scholar]
- T/CMSA 0013—2019; The Grade of Rainfall in Short Time Weather Service. China Meteorological Press: Beijing, China, 2019.
- Huang, H.; Chen, F. Precipitation Microphysics of Tropical Cyclones over the Western North Pacific Based on GPM DPR Observations: A Preliminary Analysis. J. Geophys. Res. Atmos. 2019, 124, 3124–3142. [Google Scholar] [CrossRef]
- Sui, C.-H.; Li, X.; Yang, M.-J. On the Definition of Precipitation Efficiency. J. Atmos. Sci. 2007, 64, 4506–4513. [Google Scholar] [CrossRef]
- Bringi, V.N.; Chandrasekar, V.; Hubbert, J.; Gorgucci, E.; Randeu, W.L.; Schoenhuber, M. Raindrop Size Distribution in Different Climatic Regimes from Disdrometer and Dual-Polarized Radar Analysis. J. Atmos. Sci. 2003, 60, 354–365. [Google Scholar] [CrossRef]
- Ryu, J.; Song, H.; Sohn, B.; Liu, C. Global Distribution of Three Types of Drop Size Distribution Representing Heavy Rainfall from GPM/DPR Measurements. Geophys. Res. Lett. 2021, 48, e2020GL090871. [Google Scholar] [CrossRef]
- Chen, F.; Fu, Y.; Yang, Y. Regional Variability of Precipitation in Tropical Cyclones over the Western North Pacific Revealed by the GPM Dual-Frequency Precipitation Radar and Microwave Imager. J. Geophys. Res. Atmos. 2019, 124, 11281–11296. [Google Scholar] [CrossRef]
- Sun, Y.; Dong, X.; Cui, W.; Zhou, Z.; Fu, Z.; Zhou, L.; Deng, Y.; Cui, C. Vertical Structures of Typical Meiyu Precipitation Events Retrieved from GPM-DPR. J. Geophys. Res. Atmos. 2020, 125, e2019JD031466. [Google Scholar] [CrossRef]
- Zhou, L.; Xu, G.; Xiao, Y.; Wan, R.; Wang, J.; Leng, L. Vertical structures of abrupt heavy rainfall events over southwest China with complex topography detected by dual-frequency precipitation radar of global precipitation measurement satellite. Int. J. Climatol. 2022, 42, 7628–7647. [Google Scholar] [CrossRef]
- Houze, R.A.; Rasmussen, K.L.; Zuluaga, M.D.; Brodzik, S.R. The variable nature of convection in the tropics and subtropics: A legacy of 16 years of the Tropical Rainfall Measuring Mission satellite. Rev. Geophys. 2015, 53, 994–1021. [Google Scholar] [CrossRef]
- Hu, X.; Ai, W.; Qiao, J.; Yan, W. Insight into global climatology of melting layer: Latitudinal dependence and orographic relief. Theor. Appl. Climatol. 2024, 155, 4863–4873. [Google Scholar] [CrossRef]
- Wu, Y.; Hu, X.; Ai, W.; Qiao, J.; Zhao, X. Seasonal variations in microphysics of convective and stratiform precipitation over North China revealed by GPM dual-frequency precipitation radar. Theor. Appl. Climatol. 2024, 155, 7275–7284. [Google Scholar] [CrossRef]















| Year | SC | YHRB |
|---|---|---|
| 2014 | 30 March–7 July | 16 June–20 July |
| 2015 | 5 May–25 June | 26 May–27 July |
| 2016 | 21 March–19 June | 25 May–21 July |
| 2017 | 20 April–30 June | 4 June–11 July |
| 2018 | 7 May–27 June | 19 June–13 July |
| 2019 | 9 March–26 July | 16 June–17 July |
| 2020 | 25 March–27 June | 29 May–2 August |
| 2021 | 26 April–2 July | 9 June–11 July |
| 2022 | 24 March–22 June | 29 May–8 July |
| 2023 | 26 March–28 June | 16 June–2 July |
| Characteristic | Convective | Stratiform | Shallow Convective |
|---|---|---|---|
| YHRB | |||
| No. of samples | 76,648 | 326,685 | 8664 |
| Proportion (%) | 18.48 | 78.78 | 2.09 |
| nsRR (mm/h) | 4.92 | 1.68 | 0.29 |
| Dm (mm) | 1.34 | 1.24 | 0.97 |
| Nw | 35.03 | 33.37 | 32.69 |
| PEI (h−1) | 4.70 | 2.89 | 2.43 |
| SC | |||
| No. of samples | 128,550 | 261,782 | 4148 |
| Proportion (%) | 32.59 | 66.36 | 1.05 |
| nsRR (mm/h) | 4.99 | 1.86 | 0.28 |
| Dm (mm) | 1.42 | 1.30 | 0.97 |
| Nw | 34.14 | 33.00 | 32.54 |
| PEI (h−1) | 4.66 | 2.86 | 2.30 |
Disclaimer/Publisher’s Note: The statements, opinions and data contained in all publications are solely those of the individual author(s) and contributor(s) and not of MDPI and/or the editor(s). MDPI and/or the editor(s) disclaim responsibility for any injury to people or property resulting from any ideas, methods, instructions or products referred to in the content. |
© 2024 by the authors. Licensee MDPI, Basel, Switzerland. This article is an open access article distributed under the terms and conditions of the Creative Commons Attribution (CC BY) license (https://creativecommons.org/licenses/by/4.0/).
Share and Cite
Wang, Z.; Hu, X.; Ai, W.; Qiao, J.; Zhao, X. Microphysical Characteristics of Monsoon Precipitation over Yangtze-and-Huai River Basin and South China: A Comparative Study from GPM DPR Observation. Remote Sens. 2024, 16, 3433. https://doi.org/10.3390/rs16183433
Wang Z, Hu X, Ai W, Qiao J, Zhao X. Microphysical Characteristics of Monsoon Precipitation over Yangtze-and-Huai River Basin and South China: A Comparative Study from GPM DPR Observation. Remote Sensing. 2024; 16(18):3433. https://doi.org/10.3390/rs16183433
Chicago/Turabian StyleWang, Zelin, Xiong Hu, Weihua Ai, Junqi Qiao, and Xianbin Zhao. 2024. "Microphysical Characteristics of Monsoon Precipitation over Yangtze-and-Huai River Basin and South China: A Comparative Study from GPM DPR Observation" Remote Sensing 16, no. 18: 3433. https://doi.org/10.3390/rs16183433
APA StyleWang, Z., Hu, X., Ai, W., Qiao, J., & Zhao, X. (2024). Microphysical Characteristics of Monsoon Precipitation over Yangtze-and-Huai River Basin and South China: A Comparative Study from GPM DPR Observation. Remote Sensing, 16(18), 3433. https://doi.org/10.3390/rs16183433

