Derivation and Evaluation of LAI from the ICESat-2 Data over the NEON Sites: The Impact of Segment Size and Beam Type
Abstract
1. Introduction
2. Study Area and Data
2.1. Study Area and Field Data
2.2. ALS Data
2.3. ICESat-2 Data
2.4. CGLS LAI Collection
2.5. Ancillary Dataset
3. Methodology
3.1. Derivation of LAI from ICESat-2 Data
3.1.1. ICESat-2 Data Processing
3.1.2. ICESat-2 LAI Estimation
3.2. Deriving LAI from ALS
3.2.1. ALS Data Processing and Clipping
3.2.2. LAI Estimation from ALS
3.3. Comparison of ICESat-2 LAI with ALS and CGLS Data
4. Results
4.1. Comparison of Photons from Strong and Weak Beams
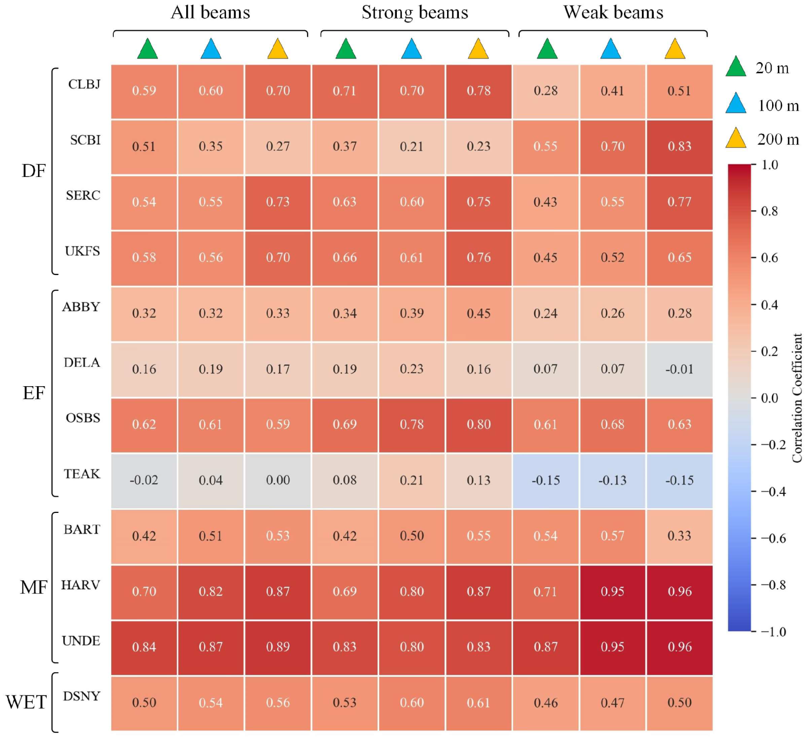
4.2. Comparison of LAI from ICESat-2 and ALS
4.3. Comparison of ICESat-2 LAI and CGLS LAI
5. Discussion
5.1. Performance of ICESat-2 LAI
5.2. Impact of Segment Size, Beam Type, and Land Cover Type on ICESat-2 LAI
5.3. Impact of Canopy Cover on ICESat-2 LAI
5.4. Limitations and Prospects
6. Conclusions
- The strong beam at a 200 m segment size shows the best LAI estimation compared with those from the ALS data (R = 0.67) and is recommended for future LAI estimation.
- The strong-beam LAI performs better than the weak beam, and the weak beam also presents the potential to estimate LAI when the number of return photons is sufficient.
- The ICESat-2 LAI partly alleviates the saturation effect and shows satisfactory agreement with the CGLS LAI product (R = 0.67, RMSE = 1.94).
- The / setting and photon classification algorithm are important for ICESat-2 LAI estimation, and specific / value and new classification algorithm are needed to improve LAI estimation.
Author Contributions
Funding
Data Availability Statement
Acknowledgments
Conflicts of Interest
Appendix A. The Variation in LAI Bias at Different / Values

Appendix B. An Example Profile of Icesat-2 Photons along Track Distance for Different Land Cover Types

Appendix C. The Field LAI from GBOV at Typical NEON Sites

Appendix D. The Comparison of ICESat-2 LAI from Different Photon Classifications

| Site | ATL08 Classification | ATL08 and Manual Classification | ||||
|---|---|---|---|---|---|---|
| R | RMSE | Bias | R | RMSE | Bias | |
| SERC | 0.75 | 1.45 | 1.39 | 0.79 | 1.35 | 1.14 |
| DELA | 0.16 | 3.11 | 1.72 | 0.20 | 2.92 | 1.37 |
| BART | 0.55 | 1.48 | 2.40 | 0.61 | 1.46 | 2.05 |
| DSNY | 0.61 | 1.00 | 0.68 | 0.69 | 0.86 | 0.51 |
References
- Chen, J.M.; Black, T.A. Defining leaf area index for non-flat leaves. Plant Cell Environ. 1992, 15, 421–429. [Google Scholar] [CrossRef]
- GCOS. The 2022 GCOS ECVs Requirements (GCOS 245); WMO: Geneva, Switzerland, 2022. [Google Scholar]
- Treuhaft, R.N.; Asner, G.P.; Law, B.E.; Van Tuyl, S. Forest leaf area density profiles from the quantitative fusion of radar and hyperspectral data. J. Geophys. Res. Atmos. 2002, 107, ACL 7-1–ACL 7-13. [Google Scholar] [CrossRef]
- Bonan, G.B.; Patton, E.G.; Finnigan, J.J.; Baldocchi, D.D.; Harman, I.N. Moving beyond the incorrect but useful paradigm: Reevaluating big-leaf and multilayer plant canopies to model biosphere-atmosphere fluxes–a review. Agric. For. Meteorol. 2021, 306, 108435. [Google Scholar] [CrossRef]
- Yan, G.; Hu, R.; Luo, J.; Weiss, M.; Jiang, H.; Mu, X.; Xie, D.; Zhang, W. Review of indirect optical measurements of leaf area index: Recent advances, challenges, and perspectives. Agric. For. Meteorol. 2019, 265, 390–411. [Google Scholar] [CrossRef]
- Weiss, M.; Baret, F.; Smith, G.J.; Jonckheere, I.; Coppin, P. Review of methods for in situ leaf area index (LAI) determination Part II. Estimation of LAI, errors and sampling. Agric. For. Meteorol. 2004, 121, 37–53. [Google Scholar] [CrossRef]
- Fang, H.L.; Zhang, Y.H.; Wei, S.S.; Li, W.J.; Ye, Y.C.; Sun, T.; Liu, W.W. Validation of global moderate resolution leaf area index (LAI) products over croplands in northeastern China. Remote Sens. Environ. 2019, 233, 19. [Google Scholar] [CrossRef]
- Fang, H.L.; Baret, F.; Plummer, S.; Schaepman-Strub, G. An Overview of Global Leaf Area Index (LAI): Methods, Products, Validation, and Applications. Rev. Geophys. 2019, 57, 739–799. [Google Scholar] [CrossRef]
- Ganguly, S.; Schull, M.A.; Samanta, A.; Shabanov, N.V.; Milesi, C.; Nemani, R.R.; Knyazikhin, Y.; Myneni, R.B. Generating vegetation leaf area index earth system data record from multiple sensors. Part 1: Theory. Remote Sens. Environ. 2008, 112, 4333–4343. [Google Scholar] [CrossRef]
- Shao, G.; Stark, S.C.; de Almeida, D.R.A.; Smith, M.N. Towards high throughput assessment of canopy dynamics: The estimation of leaf area structure in Amazonian forests with multitemporal multi-sensor airborne lidar. Remote Sens. Environ. 2019, 221, 1–13. [Google Scholar] [CrossRef]
- Canisius, F.; Fernandes, R. Evaluation of the information content of Medium Resolution Imaging Spectrometer (MERIS) data for regional leaf area index assessment. Remote Sens. Environ. 2012, 119, 301–314. [Google Scholar] [CrossRef]
- Wang, Y.; Fang, H. Estimation of LAI with the LiDAR Technology: A Review. Remote Sens. 2020, 12, 3457. [Google Scholar] [CrossRef]
- Gao, G.; Qi, J.; Lin, S.; Hu, R.; Huang, H. Estimating plant area density of individual trees from discrete airborne laser scanning data using intensity information and path length distribution. Int. J. Appl. Earth Obs. Geoinf. 2023, 118, 103281. [Google Scholar] [CrossRef]
- Guo, Q.H.; Su, Y.J.; Hu, T.Y.; Guan, H.C.; Jin, S.C.; Zhang, J.; Zhao, X.X.; Xu, K.X.; Wei, D.J.; Kelly, M.G.; et al. Lidar Boosts 3D Ecological Observations and Modelings: A Review and Perspective. IEEE Geosci. Remote Sens. Mag. 2021, 9, 232–257. [Google Scholar] [CrossRef]
- Richardson, J.J.; Moskal, L.M.; Kim, S.H. Modeling approaches to estimate effective leaf area index from aerial discrete-return LIDAR. Agric. For. Meteorol. 2009, 149, 1152–1160. [Google Scholar] [CrossRef]
- Zheng, G.; Ma, L.X.; Eitel, J.U.H.; He, W.; Magney, T.S.; Moskal, L.M.; Li, M.S. Retrieving Directional Gap Fraction, Extinction Coefficient, and Effective Leaf Area Index by Incorporating Scan Angle Information From Discrete Aerial Lidar Data. IEEE Trans. Geosci. Remote Sens. 2017, 55, 577–590. [Google Scholar] [CrossRef]
- Zhao, K.G.; Popescu, S. Lidar-based mapping of leaf area index and its use for validating GLOBCARBON satellite LAI product in a temperate forest of the southern USA. Remote Sens. Environ. 2009, 113, 1628–1645. [Google Scholar] [CrossRef]
- Tian, L.; Qu, Y.; Qi, J. Estimation of Forest LAI Using Discrete Airborne LiDAR: A Review. Remote Sens. 2021, 13, 2408. [Google Scholar] [CrossRef]
- Jiang, H.L.; Cheng, S.Y.; Yan, G.J.; Kuusk, A.; Hu, R.H.; Tong, Y.Y.; Mu, X.H.; Xie, D.H.; Zhang, W.M.; Zhou, G.Q.; et al. Clumping Effects in Leaf Area Index Retrieval From Large-Footprint Full-Waveform LiDAR. IEEE Trans. Geosci. Remote Sens. 2021, 60, 1–20. [Google Scholar] [CrossRef]
- Cook, B.; Corp, L.; Nelson, R.; Middleton, E.; Morton, D.; McCorkel, J.; Masek, J.; Ranson, K.; Ly, V.; Montesano, P. NASA Goddard’s LiDAR, Hyperspectral and Thermal (G-LiHT) Airborne Imager. Remote Sens. 2013, 5, 4045–4066. [Google Scholar] [CrossRef]
- Stereńczak, K.; Laurin, G.V.; Chirici, G.; Coomes, D.A.; Dalponte, M.; Latifi, H.; Puletti, N. Global Airborne Laser Scanning Data Providers Database (GlobALS)—A New Tool for Monitoring Ecosystems and Biodiversity. Remote Sens. 2020, 12, 1877. [Google Scholar] [CrossRef]
- Kampe, T.U.; Johnson, B.R.; Kuester, M.; Keller, M. NEON: The first continental-scale ecological observatory with airborne remote sensing of vegetation canopy biochemistry and structure. J. Appl. Remote Sens. 2010, 4, 043510. [Google Scholar] [CrossRef]
- Tang, H.; Dubayah, R.; Brolly, M.; Ganguly, S.; Zhang, G. Large-scale retrieval of leaf area index and vertical foliage profile from the spaceborne waveform lidar (GLAS/ICESat). Remote Sens. Environ. 2014, 154, 8–18. [Google Scholar] [CrossRef]
- Tang, H.; Ganguly, S.; Zhang, G.; Hofton, M.A.; Nelson, R.F.; Dubayah, R. Characterizing leaf area index (LAI) and vertical foliage profile (VFP) over the United States. Biogeosciences 2016, 13, 239–252. [Google Scholar] [CrossRef]
- Yang, X.; Wang, C.; Pan, F.; Nie, S.; Xi, X.; Luo, S. Retrieving leaf area index in discontinuous forest using ICESat/GLAS full-waveform data based on gap fraction model. ISPRS-J. Photogramm. Remote Sens. 2019, 148, 54–62. [Google Scholar] [CrossRef]
- Tang, H.; Brolly, M.; Zhao, F.; Strahler, A.H.; Schaaf, C.L.; Ganguly, S.; Zhang, G.; Dubayah, R. Deriving and validating Leaf Area Index (LAI) at multiple spatial scales through lidar remote sensing: A case study in Sierra National Forest, CA. Remote Sens. Environ. 2014, 143, 131–141. [Google Scholar] [CrossRef]
- Wang, Y.; Ni, W.; Sun, G.; Chi, H.; Zhang, Z.; Guo, Z. Slope-adaptive waveform metrics of large footprint lidar for estimation of forest aboveground biomass. Remote Sens. Environ. 2019, 224, 386–400. [Google Scholar] [CrossRef]
- Wang, Y.; Fang, H.; Zhang, Y.; Li, S.; Pang, Y.; Ma, T.; Li, Y. Retrieval and validation of vertical LAI profile derived from airborne and spaceborne LiDAR data at a deciduous needleleaf forest site. GISci. Remote Sens. 2023, 60, 2214987. [Google Scholar] [CrossRef]
- Dubayah, R.; Blair, J.B.; Goetz, S.; Fatoyinbo, L.; Hansen, M.; Healey, S.; Hofton, M.; Hurtt, G.; Kellner, J.; Luthcke, S.; et al. The Global Ecosystem Dynamics Investigation: High-resolution laser ranging of the Earth’s forests and topography. Sci. Remote Sens. 2020, 1, 100002. [Google Scholar] [CrossRef]
- Wang, C.; Jia, D.; Lei, S.; Numata, I.; Tian, L. Accuracy Assessment and Impact Factor Analysis of GEDI Leaf Area Index Product in Temperate Forest. Remote Sens. 2023, 15, 1535. [Google Scholar] [CrossRef]
- Brown, L.A.; Morris, H.; Meier, C.; Knohl, A.; Lanconelli, C.; Gobron, N.; Dash, J.; Danson, F.M. Stage 1 Validation of Plant Area Index From the Global Ecosystem Dynamics Investigation. IEEE Geosci. Remote Sens. Lett. 2023, 20, 1–5. [Google Scholar] [CrossRef]
- Hancock, S.; McGrath, C.; Lowe, C.; Davenport, I.; Woodhouse, I. Requirements for a global lidar system: Spaceborne lidar with wall-to-wall coverage. R. Soc. Open Sci. 2021, 8, 211166. [Google Scholar] [CrossRef]
- Markus, T.; Neumann, T.; Martino, A.; Abdalati, W.; Brunt, K.; Csatho, B.; Farrell, S.; Fricker, H.; Gardner, A.; Harding, D.; et al. The Ice, Cloud, and land Elevation Satellite-2 (ICESat-2): Science requirements, concept, and implementation. Remote Sens. Environ. 2017, 190, 260–273. [Google Scholar] [CrossRef]
- Popescu, S.C.; Zhou, T.; Nelson, R.; Neuenschwande, A.; Sheridan, R.; Narine, L.; Walsh, K.M. Photon counting LiDAR: An adaptive ground and canopy height retrieval algorithm for ICESat-2 data. Remote Sens. Environ. 2018, 208, 154–170. [Google Scholar] [CrossRef]
- Neuenschwander, A.; Pitts, K. The ATL08 land and vegetation product for the ICESat-2 Mission. Remote Sens. Environ. 2019, 221, 247–259. [Google Scholar] [CrossRef]
- Neumann, T.A.; Martino, A.J.; Markus, T.; Bae, S.; Bock, M.R.; Brenner, A.C.; Brunt, K.M.; Cavanaugh, J.; Fernandes, S.T.; Hancock, D.W.; et al. The Ice, Cloud, and Land Elevation Satellite–2 mission: A global geolocated photon product derived from the Advanced Topographic Laser Altimeter System. Remote Sens. Environ. 2019, 233, 111325. [Google Scholar] [CrossRef]
- Guerra-Hernández, J.; Narine, L.L.; Pascual, A.; Gonzalez-Ferreiro, E.; Botequim, B.; Malambo, L.; Neuenschwander, A.; Popescu, S.C.; Godinho, S. Aboveground biomass mapping by integrating ICESat-2, SENTINEL-1, SENTINEL-2, ALOS2/PALSAR2, and topographic information in Mediterranean forests. GISci. Remote Sens. 2022, 59, 1509–1533. [Google Scholar] [CrossRef]
- Narine, L.L.; Popescu, S.C.; Malambo, L. Synergy of ICESat-2 and Landsat for Mapping Forest Aboveground Biomass with Deep Learning. Remote Sens. 2019, 11, 1503. [Google Scholar] [CrossRef]
- Queinnec, M.; White, J.C.; Coops, N.C. Comparing airborne and spaceborne photon-counting LiDAR canopy structural estimates across different boreal forest types. Remote Sens. Environ. 2021, 262, 112510. [Google Scholar] [CrossRef]
- Narine, L.; Malambo, L.; Popescu, S. Characterizing canopy cover with ICESat-2: A case study of southern forests in Texas and Alabama, USA. Remote Sens. Environ. 2022, 281, 113242. [Google Scholar] [CrossRef]
- Feng, T.; Duncanson, L.; Montesano, P.; Hancock, S.; Minor, D.; Guenther, E.; Neuenschwander, A. A systematic evaluation of multi-resolution ICESat-2 ATL08 terrain and canopy heights in boreal forests. Remote Sens. Environ. 2023, 291, 113570. [Google Scholar] [CrossRef]
- Zhang, J.; Tian, J.; Li, X.; Wang, L.; Chen, B.; Gong, H.; Ni, R.; Zhou, B.; Yang, C. Leaf area index retrieval with ICESat-2 photon counting LiDAR. Int. J. Appl. Earth Obs. Geoinf. 2021, 103, 102488. [Google Scholar] [CrossRef]
- Guo, D.; Hu, R.; Song, X.; Li, X.; Lin, H.; Zhang, Y.; Gao, L.; Zhu, X. Exploring Photon-Counting Laser Altimeter ICESat-2 in Retrieving LAI and Correcting Clumping Effect. IEEE Trans. Geosci. Remote Sens. 2023, 61, 1–9. [Google Scholar] [CrossRef]
- Neuenschwander, A.L.; Magruder, L.A. Canopy and Terrain Height Retrievals with ICESat-2: A First Look. Remote Sens. 2019, 11, 1721. [Google Scholar] [CrossRef]
- Rehman, K.; Fareed, N.; Chu, H.-J. NASA ICESat-2: Space-Borne LiDAR for Geological Education and Field Mapping of Aeolian Sand Dune Environments. Remote Sens. 2023, 15, 2882. [Google Scholar] [CrossRef]
- Moudrý, V.; Gdulová, K.; Gábor, L.; Šárovcová, E.; Barták, V.; Leroy, F.; Špatenková, O.; Rocchini, D.; Prošek, J. Effects of environmental conditions on ICESat-2 terrain and canopy heights retrievals in Central European mountains. Remote Sens. Environ. 2022, 279, 113112. [Google Scholar] [CrossRef]
- Wang, Y.; Wang, C.; Yang, X.; Nie, S. Verification of Leaf Area Index Retrieved by ICESAT-2 Photon-Counting Lidar with Airborne Lidar. In Proceedings of the IGARSS 2022—2022 IEEE International Geoscience and Remote Sensing Symposium, Kuala Lumpur, Malaysia, 17–22 July 2022; pp. 7305–7308. [Google Scholar]
- Brown, L.A.; Meier, C.; Morris, H.; Pastor-Guzman, J.; Bai, G.; Lerebourg, C.; Gobron, N.; Lanconelli, C.; Clerici, M.; Dash, J. Evaluation of global leaf area index and fraction of absorbed photosynthetically active radiation products over North America using Copernicus Ground Based Observations for Validation data. Remote Sens. Environ. 2020, 247, 111935. [Google Scholar] [CrossRef]
- Li, S.; Fang, H.; Zhang, Y.; Wang, Y. Comprehensive evaluation of global CI, FVC, and LAI products and their relationships using high-resolution reference data. Sci. Remote Sens. 2022, 6, 100066. [Google Scholar] [CrossRef]
- National Ecological Observatory Network (NEON). Discrete Return LiDAR Point Cloud (DP1.30003.001); National Ecological Observatory Network (NEON): Boulder, CO, USA, 2023. [Google Scholar] [CrossRef]
- Neuenschwander, A.; Guenther, E.; White, J.C.; Duncanson, L.; Montesano, P. Validation of ICESat-2 terrain and canopy heights in boreal forests. Remote Sens. Environ. 2020, 251, 112110. [Google Scholar] [CrossRef]
- Narine, L.L.; Popescu, S.; Neuenschwander, A.; Zhou, T.; Srinivasan, S.; Harbeck, K. Estimating aboveground biomass and forest canopy cover with simulated ICESat-2 data. Remote Sens. Environ. 2019, 224, 1–11. [Google Scholar] [CrossRef]
- Fuster, B.; Sánchez-Zapero, J.; Camacho, F.; García-Santos, V.; Verger, A.; Lacaze, R.; Weiss, M.; Baret, F.; Smets, B. Quality Assessment of PROBA-V LAI, fAPAR and fCOVER Collection 300 m Products of Copernicus Global Land Service. Remote Sens. 2020, 12, 1017. [Google Scholar] [CrossRef]
- Baret, F.; Weiss, M.; Verger, A.; Smets, B. Atbd for Lai, Fapar and Fcover from Proba-V Products at 300 Mresolution (Geov3). Imagines_rp2.1_atbd-lai 300 m. Issue 1.73. Available online: https://land.copernicus.eu/global/sites/cgls.vito.be/files/products/ImagineS_RP2.1_ATBD-LAI300m_I1.73.pdf (accessed on 22 October 2023).
- Verger, A.; Descals, A. Algorithm theorethical basis document, Leaf Area Index (LAI), Fraction of Absorbed Photosynthetically Active Radiation (FAPAR), Fraction of Green Vegetation Cover (FCover) Collection 300m Version 1.1. Available online: https://land.copernicus.eu/global/sites/cgls.vito.be/files/products/CGLOPS1_ATBD_LAI300m-V1.1_I1.10.pdf (accessed on 22 October 2023).
- Wickham, J.; Stehman, S.V.; Sorenson, D.G.; Gass, L.; Dewitz, J.A. Thematic accuracy assessment of the NLCD 2016 land cover for the conterminous United States. Remote Sens. Environ. 2021, 257, 112357. [Google Scholar] [CrossRef]
- Homer, C.; Dewitz, J.; Jin, S.; Xian, G.; Costello, C.; Danielson, P.; Gass, L.; Funk, M.; Wickham, J.; Stehman, S.; et al. Conterminous United States land cover change patterns 2001–2016 from the 2016 National Land Cover Database. ISPRS-J. Photogramm. Remote Sens. 2020, 162, 184–199. [Google Scholar] [CrossRef]
- Tang, H.; Dubayah, R.; Swatantran, A.; Hofton, M.; Sheldon, S.; Clark, D.B.; Blair, B. Retrieval of vertical LAI profiles over tropical rain forests using waveform lidar at La Selva, Costa Rica. Remote Sens. Environ. 2012, 124, 242–250. [Google Scholar] [CrossRef]
- Neuenschwander, A.L.; Magruder, L.A. The Potential Impact of Vertical Sampling Uncertainty on ICESat-2/ATLAS Terrain and Canopy Height Retrievals for Multiple Ecosystems. Remote Sens. 2016, 8, 1039. [Google Scholar] [CrossRef]
- García, M.; Riaño, D.; Chuvieco, E.; Danson, F.M. Estimating biomass carbon stocks for a Mediterranean forest in central Spain using LiDAR height and intensity data. Remote Sens. Environ. 2010, 114, 816–830. [Google Scholar] [CrossRef]
- Luo, S.; Wang, C.; Xi, X.; Nie, S.; Fan, X.; Chen, H.; Ma, D.; Liu, J.; Zou, J.; Lin, Y.; et al. Estimating forest aboveground biomass using small-footprint full-waveform airborne LiDAR data. Int. J. Appl. Earth Obs. Geoinf. 2019, 83, 101922. [Google Scholar] [CrossRef]
- Ni-Meister, W.; Jupp, D.L.B.; Dubayah, R. Modeling lidar waveforms in heterogeneous and discrete canopies. IEEE Trans. Geosci. Remote Sens. 2001, 39, 1943–1958. [Google Scholar] [CrossRef]
- Purslow, M.; Hancock, S.; Neuenschwander, A.; Armston, J.; Duncanson, L. Can ICESat-2 estimate stand-level plant structural traits? Validation of an ICESat-2 simulator. Sci. Remote Sens. 2023, 7, 100086. [Google Scholar] [CrossRef]
- Bacour, C.; Baret, F.; Béal, D.; Weiss, M.; Pavageau, K. Neural network estimation of LAI, fAPAR, fCover and LAI×Cab, from top of canopy MERIS reflectance data: Principles and validation. Remote Sens. Environ. 2006, 105, 313–325. [Google Scholar] [CrossRef]
- Urbazaev, M.; Hess, L.L.; Hancock, S.; Sato, L.Y.; Ometto, J.P.; Thiel, C.; Dubois, C.; Heckel, K.; Urban, M.; Adam, M.; et al. Assessment of terrain elevation estimates from ICESat-2 and GEDI spaceborne LiDAR missions across different land cover and forest types. Sci. Remote Sens. 2022, 6, 100067. [Google Scholar] [CrossRef]
- Zhao, R.; Ni, W.; Zhang, Z.; Dai, H.; Yang, C.; Li, Z.; Liang, Y.; Liu, Q.; Pang, Y.; Li, Z.; et al. Optimizing ground photons for canopy height extraction from ICESat-2 data in mountainous dense forests. Remote Sens. Environ. 2023, 299, 113851. [Google Scholar] [CrossRef]
- Nie, S.; Wang, C.; Xi, X.; Luo, S.; Li, G.; Tian, J.; Wang, H. Estimating the vegetation canopy height using micro-pulse photon-counting LiDAR data. Opt. Express 2018, 26, A520–A540. [Google Scholar] [CrossRef] [PubMed]
- Meier, C.; Everhart, J.; Jones, K. TOS Protocol and Procedure: Measurement of Leaf Area Index. 2018. Available online: https://data.neonscience.org/api/v0/documents/NEON.DOC.014039vK (accessed on 7 June 2023).







| Site Name | Code | Dominant NLCD | Elevation (m) | Slope (°) | ALS Data (2019) | ICESat-2 Data (2019) | CGLS Data (2019) |
|---|---|---|---|---|---|---|---|
| Abby Road | ABBY | Evergreen forest | 365 | 15.0 | 14 July | 29 July | 31 July |
| Bartlett Experimental Forest | BART | Mixed forest | 274 | 15.6 | 25 August | 3 September | 10 September |
| Lyndon B. Johnson National Grassland | CLBJ | Deciduous forest | 272 | 5.2 | 20 April | 16 May | 20 May |
| Dead Lake | DELA | Evergreen forest | 25 | 4.3 | 29 April | 7 May | 10 May |
| Disney Wilderness Preserve | DSNY | Woody wetlands | 20 | 4.3 | 15 April | 7 March | 10 March |
| Harvard Forest | HARV | Mixed forest | 348 | 7.5 | 11 August | 9 August | 10 August |
| Ordway-Swisher Biological Station | OSBS | Evergreen needleleaf | 46 | 4.5 | 15 April | 5 May | 10 May |
| Smithsonian Conservation Biology Institute | SCBI | Deciduous broadleaf | 352 | 13.2 | 24 May | 8 May | 10 May |
| Smithsonian Environmental Research Center | SERC | Deciduous broadleaf | 33 | 6.5 | 15 May | 2 May | 10 May |
| Teakettle | TEAK | Evergreen forest | 2149 | 17.7 | 14 June | 7 June | 10 June |
| University of Kansas Field Station | UKFS | Deciduous forest | 322 | 5.2 | 26 May | 10 May | 10 May |
| UNDERC | UNDE | Mixed forest | 521 | 5.9 | 8 June | 2 June | 10 June |
| Acquisition Date | April to August 2019 |
|---|---|
| Sensor | Optech Incorporated Airborne Laser Terrain Mapper (ALTM) Gemini |
| Beam wavelength | 1064 nm |
| Footprint diameter | 0.25 m (at 1000 m flying height), 0.8 m in wide beam divergence mode |
| Sampling density | 1–4 points per square meter |
| Horizontal accuracy | <5–15 cm; 1 σ |
| Elevation accuracy | <5–35 cm; 1 σ |
| Derived products | DTM and CHM |
| Product resolution | Uniform grid (1 m × 1 m) |
| Vertical datum | GEOID12A |
| Segment Sizes (m) | Beam Type | R | RMSE | rRMSE | Bias |
|---|---|---|---|---|---|
| 20 | all | 0.58 | 2.35 | 54.09% | 2.04 |
| strong | 0.63 | 2.33 | 51.08% | 1.99 | |
| weak | 0.37 | 2.37 | 61.74% | 2.15 | |
| 100 | all | 0.61 | 2.66 | 58.44% | 2.47 |
| strong | 0.66 | 2.65 | 55.42% | 2.41 | |
| weak | 0.48 | 2.68 | 64.47% | 2.58 | |
| 200 | all | 0.64 | 2.50 | 59.92% | 2.30 |
| strong | 0.67 | 2.55 | 58.00% | 2.25 | |
| weak | 0.52 | 2.39 | 63.79% | 2.39 |
| Land Cover Types | Statistics | 20 m | 100 m | 200 m | ||||||
|---|---|---|---|---|---|---|---|---|---|---|
| All Beams | Strong Beams | Weak Beams | All Beams | Strong Beams | Weak Beams | All Beams | Strong Beams | Weak Beams | ||
| Deciduous forest (DF) | R | 0.60 | 0.66 | 0.48 | 0.59 | 0.60 | 0.59 | 0.65 | 0.63 | 0.73 |
| RMSE | 2.18 | 2.16 | 2.14 | 2.61 | 2.85 | 2.23 | 2.40 | 2.77 | 1.65 | |
| rRMSE (%) | 53.20 | 51.01 | 55.47 | 62.32 | 60.76 | 64.64 | 63.89 | 64.20 | 56.40 | |
| Bias | 2.28 | 2.37 | 2.13 | 2.64 | 2.68 | 2.59 | 2.39 | 2.51 | 2.21 | |
| Evergreen forest (EF) | R | 0.27 | 0.37 | 0.10 | 0.30 | 0.42 | 0.13 | 0.27 | 0.34 | 0.22 |
| RMSE | 2.57 | 2.54 | 2.55 | 2.96 | 2.86 | 2.97 | 2.81 | 2.71 | 2.80 | |
| rRMSE (%) | 55.14 | 52.90 | 55.54 | 56.37 | 52.43 | 57.69 | 56.89 | 50.64 | 59.74 | |
| Bias | 2.98 | 2.81 | 3.30 | 3.60 | 3.17 | 4.20 | 3.43 | 2.89 | 4.23 | |
| Mixed forest (MF) | R | 0.52 | 0.51 | 0.60 | 0.62 | 0.59 | 0.74 | 0.66 | 0.66 | 0.68 |
| RMSE | 1.85 | 1.83 | 1.69 | 1.95 | 1.93 | 1.96 | 1.77 | 1.72 | 2.31 | |
| rRMSE (%) | 26.17 | 25.47 | 29.88 | 25.42 | 24.74 | 28.91 | 23.77 | 23.01 | 32.73 | |
| Bias | 1.60 | 1.64 | 1.11 | 2.57 | 2.64 | 2.13 | 2.6 | 2.61 | 2.51 | |
| Woody wetlands (WET) | R | 0.50 | 0.53 | 0.46 | 0.54 | 0.60 | 0.47 | 0.56 | 0.61 | 0.50 |
| RMSE | 1.72 | 1.69 | 1.79 | 1.41 | 1.29 | 1.57 | 1.12 | 1.00 | 1.30 | |
| rRMSE (%) | 73.76 | 73.34 | 74.89 | 77.06 | 70.28 | 86.22 | 68.61 | 62.17 | 77.75 | |
| Bias | 1.03 | 1.01 | 1.09 | 0.80 | 0.82 | 0.77 | 0.67 | 0.68 | 0.66 | |
Disclaimer/Publisher’s Note: The statements, opinions and data contained in all publications are solely those of the individual author(s) and contributor(s) and not of MDPI and/or the editor(s). MDPI and/or the editor(s) disclaim responsibility for any injury to people or property resulting from any ideas, methods, instructions or products referred to in the content. |
© 2024 by the authors. Licensee MDPI, Basel, Switzerland. This article is an open access article distributed under the terms and conditions of the Creative Commons Attribution (CC BY) license (https://creativecommons.org/licenses/by/4.0/).
Share and Cite
Wang, Y.; Fang, H. Derivation and Evaluation of LAI from the ICESat-2 Data over the NEON Sites: The Impact of Segment Size and Beam Type. Remote Sens. 2024, 16, 3078. https://doi.org/10.3390/rs16163078
Wang Y, Fang H. Derivation and Evaluation of LAI from the ICESat-2 Data over the NEON Sites: The Impact of Segment Size and Beam Type. Remote Sensing. 2024; 16(16):3078. https://doi.org/10.3390/rs16163078
Chicago/Turabian StyleWang, Yao, and Hongliang Fang. 2024. "Derivation and Evaluation of LAI from the ICESat-2 Data over the NEON Sites: The Impact of Segment Size and Beam Type" Remote Sensing 16, no. 16: 3078. https://doi.org/10.3390/rs16163078
APA StyleWang, Y., & Fang, H. (2024). Derivation and Evaluation of LAI from the ICESat-2 Data over the NEON Sites: The Impact of Segment Size and Beam Type. Remote Sensing, 16(16), 3078. https://doi.org/10.3390/rs16163078

