Optical Properties and Possible Origins of Atmospheric Aerosols over LHAASO in the Eastern Margin of the Tibetan Plateau
Abstract
1. Introduction
2. Methodology
Observation Site
3. Results and Discussion
3.1. Meteorological Feature
3.2. Baseline Continental Aerosol at LHAASO
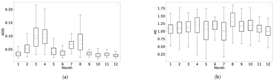
3.3. Seasonal Variations of the AOD and AE
3.4. Diurnal Daytime Variation of AOD and AE
3.5. Characterization of Aerosol Types
3.6. Analysis of Possible Origins of Aerosols
3.7. Discussion
4. Summary
Author Contributions
Funding
Data Availability Statement
Acknowledgments
Conflicts of Interest
References
- Ramanathan, V.; Crutzen, P.J.; Kiehl, J.; Rosenfeld, D. Aerosols, climate, and the hydrological cycle. Science 2001, 294, 2119–2124. [Google Scholar] [CrossRef] [PubMed]
- Schuster, G.L.; Dubovik, O.; Holben, B.N. Angstrom exponent and bimodal aerosol size distributions. J. Geophys. Res. Atmos. 2006, 111. [Google Scholar] [CrossRef]
- Bibi, H.; Alam, K.; Chishtie, F.; Bibi, S.; Shahid, I.; Blaschke, T. Intercomparison of MODIS, MISR, OMI, and CALIPSO aerosol optical depth retrievals for four locations on the Indo-Gangetic plains and validation against AERONET data. Atmos. Environ. 2015, 111, 113. [Google Scholar] [CrossRef]
- Mehta, M.; Singh, R.; Singh, A.; Singh, N. Recent global Aerosol Optical Depth variations and trends—A comparative study using MODIS and MISR level 3 datasets. Remote Sens. Environ. 2016, 181, 137. [Google Scholar] [CrossRef]
- You, Y.C.; Zhao, T.L.; Xie, Y.; Zheng, Y.; Zhu, J.; Xia, J.; Cao, L.; Wang, C.; Che, H.; Liao, Y.; et al. Variation of the aerosol optical properties and validation of MODIS AOD products over the eastern edge of the Tibetan Plateau based on ground-based remote sensing in 2017. Atmos. Environ. 2020, 223, 117257. [Google Scholar] [CrossRef]
- Wu, L.; Lv, X.; Qin, K.; Bai, Y.; Li, J.; Ren, C.; Zhang, Y. Analysis to Xuzhou aerosol optical characteristics with ground–based measurements by sun photometer. Chin. Sci. Bull. 2016, 61, 2287. [Google Scholar]
- Barreto, Á.; Cuevas, E.; Granados-Muñoz, M.J.; Alados-Arboledas, L.; Romero, P.M.; Gröbner, J.; Kouremeti, N.; Almansa, A.F.; Stone, T.; Toledano, C.; et al. The new sun-sky-lunar Cimel CE318-T multiband photometer–a comprehensive performance evaluation. Atmos. Meas. Tech. 2016, 9, 631. [Google Scholar] [CrossRef]
- Cao, Z.; Aharonian, F.; An, Q.; Axikegu; Bai, L.; Bai, Y.; Bao, Y.; Bastieri, D.; Bi, X.; Bi, Y.; et al. Ultrahigh-energy photons up to 1.4 petaelectronvolts from 12 γ-ray Galactic sources. Nature 2021, 594, 33. [Google Scholar] [CrossRef]
- Cao, Z.; Chen, M.J.; Song-Zhan, C.; Hong-Bo, H.; Cheng, L.; Ye, L.; Ling-Ling, M.; Xin-Hua, M.; Xiang-Dong, S.; Han-Rong, W.; et al. Introduction to Large High Altitude Air Shower Observatory (LHAASO). Chin. Astron. Astrophys. 2019, 43, 457. [Google Scholar] [CrossRef]
- Li, Z.X.; He, Y.Q.; Wang, C.; Wang, X.; Xin, H.; Zhang, W.; Cao, W. Spatial and temporal trends of temperature and precipitation during 1960–2008 at the Hengduan Mountains, China. Quat. Int. 2011, 236, 127. [Google Scholar] [CrossRef]
- Fan, J.S.; Shao, L.Y.; Hu, Y.; Wang, J.; Wang, J.; Ma, J. Classification and chemical compositions of individual particles at an eastern marginal site of Tibetan Plateau. Atmos. Pollut. Res. 2016, 7, 833. [Google Scholar] [CrossRef]
- Liu, B.; Cong, Z.Y.; Wang, Y.; Xin, J.; Wan, X.; Pan, Y.; Liu, Z.; Wang, Y.; Zhang, G.; Wang, Z.; et al. Background aerosol over the Himalayas and Tibetan Plateau: Observed characteristics of aerosol mass loading. Atmos. Chem. Phys. 2017, 17, 449. [Google Scholar] [CrossRef]
- Pi, W.X.; Huang, M.; Zhu, F.R.; He, Y.; Xie, N.; Zhang, Y.; Chen, Q.H.; Jia, H.Y. Extinction coefficients of surface atmospheric aerosol above LHAASO. Chin. Physics C 2019, 43, 085001. [Google Scholar] [CrossRef]
- Liu, J.; Tang, X.F.; Xia, J.J.; Zhu, F.R. Variation of the Atmospheric Boundary Layer Height at the Eastern Edge of the Tibetan Plateau. arXiv 2023, arXiv:2306.01358. [Google Scholar] [CrossRef]
- Zhu, F.R.; Zhang, Y.; Xie, N.; Jia, H.Y.; Li, X.M. Study on the calibration optimization of the laser lidar for WFCTA of LHAASO. In Proceedings of the 35th International Cosmic Ray Conference, Busan, Republic of Korea, 12–20 July 2017; Volume 301, p. 366. [Google Scholar] [CrossRef]
- Xie, N.; Liu, H.; Hu, Y.; Long, W.; Jia, H.; Zhu, F.; Chen, Q. The Performance of the Laser Systems in the Calibration System of LHAASO-WFCTA. In Proceedings of the 36th International Cosmic Ray Conference (ICRC2019), Madison, WI, USA, 24 July–1 August 2019; Volume 358, p. 498. [Google Scholar] [CrossRef]
- Chen, L.; Li, X.; Ge, L.; Liu, H.; Sun, Q.; Wang, Y.; Xia, J.; Zhu, F.; Zhang, Y. Application of the nitrogen laser calibration system in LHAASO-WFCTA. In Proceedings of the 37th International Cosmic Ray Conference, Berlin, Germany, 15–22 July 2021; Volume 395, p. 269. [Google Scholar] [CrossRef]
- Sun, Q.N.; Geng, L.S.; Li, X.; Chen, L.; Liu, H.; Wang, Y.; Zhu, F.; Zhang, Y.; Ji, X.; Collaboration, L.; et al. The YAG Lidar System Applied in LHAASO. In Proceedings of the 37th International Cosmic Ray Conference, Berlin, Germany, 15–22 July 2021; Volume 395, p. 272. [Google Scholar] [CrossRef]
- Sun, Q.N.; Zhu, F.R.; Zhang, Y.; Chen, L.; Zhang, S.; Geng, L.; Liu, H.; Min, Z.; Wang, Y.; Wang, Y.; et al. Properties and performance of nitrogen laser systems for calibration of LHAASO-WFCTA. Nucl. Instrum. Methods Phys. Res. Sect. A Accel. Spectrometers Detect. Assoc. Equip. 2023, 1057, 168759. [Google Scholar] [CrossRef]
- Sun, Q.N.; Xie, L.; Yuan, G.; Chen, L.; Wang, Y.; Zhu, F.; Zhang, Y.; Zhang, S. Design and development of laser temperature control system of LHAASO. J. Instrum. 2023, 18, T06008. [Google Scholar] [CrossRef]
- Tao, W.C.; Huang, G.; Dong, D.; Wang, P.; Yu, T.; Gong, H. Dominant modes of interannual variability in precipitation over the Hengduan Mountains during rainy seasons. Int. J. Climatol. 2021, 41, 2795. [Google Scholar] [CrossRef]
- Liu, Y.; Zhao, L. The preliminary analysis of sunshine durations with meteorological data for the Chinese Giant Solar Telescope site survey. Mon. Not. R. Astron. Soc. 2013, 434, 1674. [Google Scholar] [CrossRef]
- Fan, W.W.; Hu, Z.Y.; Xun, X.; Yang, Y.X.; Yu, H.P.; Fu, C.W.; Wu, D. Review of Qinghai-Xizang Plateau monsoon’s evolution and climatic effects. Plateau Meteorol. 2021, 40, 1294. [Google Scholar]
- Tanré, D.; Kaufman, Y.; Holben, B.E.A.; Chatenet, B.; Karnieli, A.; Lavenu, F.; Blarel, L.; Dubovik, O.; Remer, L.; Smirnov, A. Climatology of dust aerosol size distribution and optical properties derived from remotely sensed data in the solar spectrum. J. Geophys. Res. Atmos. 2001, 106, 18205. [Google Scholar] [CrossRef]
- Smith, S.; Toumi, R. Measuring cloud cover and brightness temperature with a ground-based thermal infrared camera. J. Appl. Meteorol. Climatol. 2008, 47, 683. [Google Scholar] [CrossRef]
- Xu, C.; Ma, Y.; You, C.; Zhu, Z. The regional distribution characteristics of Aerosol Optical Depth over the Tibetan Plateau. Atmos. Chem. Phys. 2015, 15, 12065. [Google Scholar] [CrossRef]
- Kaufman, Y.J.; Smirnov, A.; Holben, B.N.; Dubovik, O. Baseline maritime aerosol: Methodology to derive the optical thickness and scattering properties. Geophys. Res. Lett. 2001, 28, 3251. [Google Scholar] [CrossRef]
- Xia, X.; Zong, X.; Cong, Z.; Chen, H.; Kang, S.; Wang, P. Baseline continental aerosol over the central Tibetan Plateau and a case study of aerosol transport from South Asia. Atmos. Environ. 2011, 45, 7370. [Google Scholar] [CrossRef]
- Andreae, M.O. Aerosols before pollution. Science 2007, 315, 50. [Google Scholar] [CrossRef]
- Hamilton, D.S.; Lee, L.A.; Pringle, K.J.; Reddington, C.L.; Spracklen, D.V.; Carslaw, K.S. Occurrence of pristine aerosol environments on a polluted planet. Proc. Natl. Acad. Sci. USA 2014, 111, 18466. [Google Scholar] [CrossRef]
- Xia, X.; Che, H.; Zhu, J.; Chen, H.; Cong, Z.; Deng, X.; Fan, X.; Fu, Y.; Goloub, P.; Jiang, H.; et al. Ground-based remote sensing of aerosol climatology in China: Aerosol optical properties, direct radiative effect and its parameterization. Atmos. Environ. 2016, 124, 243. [Google Scholar] [CrossRef]
- Che, H.; Wang, Y.; Sun, J. Aerosol optical properties at Mt. Waliguan Observatory, China. Atmos. Environ. 2011, 45, 6004. [Google Scholar] [CrossRef]
- Holben, B.N.; Tanre, D.; Smirnov, A.; Eck, T.; Slutsker, I.; Abuhassan, N.; Newcomb, W.; Schafer, J.; Chatenet, B.; Lavenu, F.; et al. An emerging ground-based aerosol climatology: Aerosol Optical Depth from AERONET. J. Geophys. Res. Atmos. 2001, 106, 12067. [Google Scholar] [CrossRef]
- Zhang, Y.; Yu, H.; Eck, T.F.; Smirnov, A.; Chin, M.; Remer, L.A.; Bian, H.; Tan, Q.; Levy, R.; Holben, B.N.; et al. Aerosol daytime variations over North and South America derived from multiyear AERONET measurements. J. Geophys. Res. Atmos. 2012, 117. [Google Scholar] [CrossRef]
- Smirnov, A.; Holben, B.N.; Dubovik, O.; O’Neill, N.T.; Eck, T.F.; Westphal, D.L.; Goroch, A.K.; Pietras, C.; Slutsker, I. Atmospheric aerosol optical properties in the Persian Gulf. J. Atmos. Sci. 2002, 59, 620. [Google Scholar] [CrossRef]
- Pokharel, M.; Guang, J.; Liu, B.; Kang, S.; Ma, Y.; Holben, B.N.; Xia, X.; Xin, J.; Ram, K.; Rupakheti, D.; et al. Aerosol properties over Tibetan Plateau from a decade of AERONET measurements: Baseline, types, and influencing factors. J. Geophys. Res. Atmos. 2019, 124, 13357. [Google Scholar] [CrossRef]
- Kleist, D.T.; Parrish, D.F.; Derber, J.C.; Treadon, R.; Wu, W.S.; Lord, S. Introduction of the GSI into the NCEP global data assimilation system. Weather. Forecast. 2009, 24, 1691. [Google Scholar] [CrossRef]
- Wang, J.Y.; Cao, X.J.; Li, M.; Tang, C.; Zhang, Z.; Zhang, H.; Tian, P.; Liang, J.; Zhang, L.; Shi, J. Optical characteristics of aerosol and its potential sources over Nam Co in the Tibetan Plateau during Asian summer monsoon period. Atmos. Environ. 2023, 298, 119611. [Google Scholar] [CrossRef]
- Wang, Y.Q. MeteoInfo: GIS software for meteorological data visualization and analysis. Meteorol. Appl. 2014, 21, 360. [Google Scholar] [CrossRef]
- Aab, A.; Abreu, P.; Aglietta, M.; Ahlers, M.; Ahn, E.; Albuquerque, I.; Allekotte, I.; Allen, J.; Allison, P.; Almela, A.; et al. Origin of atmospheric aerosols at the Pierre Auger Observatory using studies of air mass trajectories in South America. Atmos. Environ. 2014, 149, 120. [Google Scholar] [CrossRef]
- Badarinath, K.; Madhavi Latha, K.; Kiran Chand, T.; Gupta, P.K.; Ghosh, A.; Jain, S.; Gera, B.; Singh, R.; Sarkar, A.; Singh, N.; et al. Characterization of aerosols from biomass burning–A case study from Mizoram (Northeast), India. Chemosphere 2004, 54, 167. [Google Scholar] [CrossRef] [PubMed]
- Shi, Y.S.; Sa Sai, T.; Yamaguchi, Y. Spatio-temporal evaluation of carbon emissions from biomass burning in Southeast Asia during the period 2001–2010. Ecol. Model. 2014, 272, 98. [Google Scholar] [CrossRef]
- Zhu, J.; Xia, X.; Che, H.; Wang, J.; Zhang, J.; Duan, Y. Study of aerosol optical properties at Kunming in southwest China and long-range transport of biomass burning aerosols from North Burma. Atmos. Res. 2016, 169, 237. [Google Scholar] [CrossRef]














| Station | Time Period | AOD440nm | AE440–870nm | Site Information |
|---|---|---|---|---|
| LHAASO | 2020.10 –2022.10 | 0.05 ± 0.03 | 1.17 ± 0.30 | Mountain background station in TP, N, E, 4410 m a.s.l |
| Litang | 2017.01–2017.12 | 0.08 ± 0.03 | 0.72 ± 0.23 | Urban station in TP, N, E, 3950.5 m a.s.l |
| WLG | 2009.09–2012.12 | 0.14 ± 0.07 | 0.59 ± 0.24 | Background station in TP, N, E, 3816 m a.s.l |
| Lhasa | 2011.12–2013.12 | 0.10 ± 0.08 | 0.67 ± 0.30 | Urban station in TP, N, E, 3648 m a.s.l |
| NAM−CO | 2006.08–2011.01 | 0.04 ± 0.02 | 0.94 ± 0.44 | Background station in TP, N, E, 4740 m a.s.l |
| QOMS−CAS | 2010.09–2012.12 | 0.05 ± 0.29 | 0.79 ± 0.44 | Mountain background station in TP, N, E, 4276 m a.s.l |
Disclaimer/Publisher’s Note: The statements, opinions and data contained in all publications are solely those of the individual author(s) and contributor(s) and not of MDPI and/or the editor(s). MDPI and/or the editor(s) disclaim responsibility for any injury to people or property resulting from any ideas, methods, instructions or products referred to in the content. |
© 2024 by the authors. Licensee MDPI, Basel, Switzerland. This article is an open access article distributed under the terms and conditions of the Creative Commons Attribution (CC BY) license (https://creativecommons.org/licenses/by/4.0/).
Share and Cite
Xia, J.; Zhu, F.; Zhao, X.; Liu, J.; Liu, H.; Yuan, G.; Sun, Q.; Xie, L.; Jin, M.; Chen, L.; et al. Optical Properties and Possible Origins of Atmospheric Aerosols over LHAASO in the Eastern Margin of the Tibetan Plateau. Remote Sens. 2024, 16, 1695. https://doi.org/10.3390/rs16101695
Xia J, Zhu F, Zhao X, Liu J, Liu H, Yuan G, Sun Q, Xie L, Jin M, Chen L, et al. Optical Properties and Possible Origins of Atmospheric Aerosols over LHAASO in the Eastern Margin of the Tibetan Plateau. Remote Sensing. 2024; 16(10):1695. https://doi.org/10.3390/rs16101695
Chicago/Turabian StyleXia, Junji, Fengrong Zhu, Xingbing Zhao, Jing Liu, Hu Liu, Guotao Yuan, Qinning Sun, Lei Xie, Min Jin, Long Chen, and et al. 2024. "Optical Properties and Possible Origins of Atmospheric Aerosols over LHAASO in the Eastern Margin of the Tibetan Plateau" Remote Sensing 16, no. 10: 1695. https://doi.org/10.3390/rs16101695
APA StyleXia, J., Zhu, F., Zhao, X., Liu, J., Liu, H., Yuan, G., Sun, Q., Xie, L., Jin, M., Chen, L., Wang, Y., Liu, Y., & Song, T. (2024). Optical Properties and Possible Origins of Atmospheric Aerosols over LHAASO in the Eastern Margin of the Tibetan Plateau. Remote Sensing, 16(10), 1695. https://doi.org/10.3390/rs16101695

