Abstract
BeiDou Global Navigation Satellite System (BDS-3) broadcasts multifrequency signals that offer more choices of frequencies and more signal combinations for positioning. This paper analyzes the effect of timing group delay (TGD) and differential code bias (DCB) of BDS-3 on the corresponding triple-frequency positioning. The triple-frequency observation models of BDS-3 are summarized and the DCB correction models are derived for the four different frequency combinations of triple-frequency ionospheric-free (IF) combination (IF123), two dual-frequency IF combinations (IF1213) and triple-frequency uncombined (UC123) positioning modes. Standard point positioning (SPP) and precise point positioning (PPP) experiments were conducted using 30 days of observations from 25 multi-GNSS experiment (MGEX) stations. The results show that the TGD/DCB correction has a significant impact on the accuracy of SPP. The positioning accuracy using IF123 and IF1213 models improved by about 73~90% after TGD correction, in comparison to a 27~30% improvement achieved using the UC123 model. In addition, the correction effect of DCB is slightly better than TGD. The DCB correction significantly improves accuracy in the initial epoch of the PPP, which helps the convergence of the filtering and reduces the convergence time. The average convergence times of IF123, IF1213 and UC123 are 26.1, 26.9 and 38.3 min, respectively, which are reduced by 6.79, 2.54 and 8.59% with DCB correction. The pseudorange residuals are closer to zero-mean random noise after DCB correction. Furthermore, the DCB affects the evaluation of the inter-frequency bias (IFB), ionospheric delay and floating ambiguity parameters. However, the tropospheric delay is almost unaffected by DCB.
1. Introduction
The BeiDou Global Navigation Satellite System (BDS-3) of China, consisting of 3 geostationary earth orbit (GEO), 3 inclined geostationary orbit (IGSO) and 24 medium earth orbit (MEO) satellites, started its service in 2020 [1,2,3]. BDS-3 transmits a total of five frequency signals, including new signals, B1C (1575.420 MHz), B2a (1176.450 MHz) and B2b (1207.140 MHz), based on compatibility with the old signals, B1I (1561.098 MHz) and B3I (1268.520 MHz) [4,5]. The new signals, B1C and B2a, are divided into pilot and data components [6,7]. Some of the receivers in the International GNSS (global navigation satellite system) Service (IGS) network exclusively use the pilot component to generate pseudorange and carrier phase observations, and others use the pilot and data components jointly. Almost no receivers use the data component directly [8]. Undoubtedly, the new frequencies together with the old frequencies enable users to possess more choices in data processing (e.g., cycle slip detection) and linear signal combinations, with more distinctive features (e.g., lower observation noise) as well [9].
Slight time delays in the satellite signals during the transmission caused by the satellite or the receiver hardware, which are often referred to as hardware delay bias, exist in both code and carrier phase measurements and have different effects on different types of codes and carriers [10]. To address the pseudorange hardware delay problem, a correction is usually performed on the user side using the timing group delay (TGD) parameter from either the real-time broadcast ephemeris or a post-processed high-precision differential code bias (DCB) product [11]. The DCB is the difference between the hardware delay deviations of two code observations, which can be divided into inter-frequency and intra-frequency biases, depending on the frequency of the two code observations [12]. Currently, the only two IGS analysis centers (IAC) that provide multi-GNSS DCB products are the Chinese Academy of Sciences (CAS) and the German Aerospace Center (DLR) [13]. The estimation strategy of the DCB product of CAS and DLR are different; the former generates DCB products by single-site ionospheric total electron content (TEC) modeling through the IGGDCB method proposed by Li et al. [14,15], while the latter estimates DCB products after calculating TEC as ionospheric compensation through global ionospheric maps (GIM) [16]. The rapid CAS product lags by approximately two to three days while DLR products are updated once every three months [8].
The estimation and correcting methods of the DCB are hot research topics in geodesy since the DCB is one of the critical errors in GNSS precise positioning and ionospheric modeling [17]. Guo et al. [18] demonstrated the equivalence between BDS-2 TGD and DCB, derived a TGD/DCB correction model and performed standard point positioning (SPP) and precise point positioning (PPP) with and without DCB correction experiments using navigation messages and observations provided by the Multi-GNSS Experiment (MGEX). Ge et al. [19] summarized the TGD correction model for each GNSS and performed SPP and PPP experiments. Before the construction of the BDS-3 system, the experimental satellite constellation (BDS-3e), with two IGSO and three MEO satellites, was established at the end of 2016 [20]. Li et al. [21] estimated the BDS-3e DCB and analyzed its performance by using the data provided by the MGEX and International GNSS Monitoring and Assessment System (iGMAS). After the fundamental constellation of BDS-3 started its service in 2018, Dai et al. [22] first summarized the TGD correction of the new BDS-3 frequencies and evaluated the performance of the single- and dual-frequency SPP of BDS-2, BDS-3 and BDS-2/BDS-3, respectively. Subsequently, the DCB correction of the new frequencies of BDS-3 was analyzed and the effect of DCB correction on BDS-3 single- and dual-frequency positioning was tested using iGMAS data [23]. Due to the broadcast of new frequencies, triple-frequency, and even multifrequency positioning, have received wider attention [24,25,26,27]. However, the TGD/DCB correction model for the triple-frequency positioning of BDS-3 has not been summarized in detail, and the effect of TGD/DCB correction on the effectiveness and positioning performance of triple-frequency positioning is unclear. This study derived the BDS-3 triple-frequency TGD/DCB correction models and aims to analyze the effect of TGD/DCB correction on BDS-3 triple-frequency SPP and PPP. Moreover, the effects of DCB on pseudorange noise, inter-frequency bias (IFB), ionospheric delay, tropospheric delay and floating ambiguity are discussed.
The rest of this paper is organized as follows. After the introduction, the BDS-3 triple-frequency positioning model is first summarized in Section 2, and the triple-frequency TGD/DCB correction formulas are derived for different frequency combinations, including triple-frequency ionospheric free (IF) combination (IF123), two dual-frequency IF combinations (IF1213) and triple-frequency uncombined (UC123). Then, the stability of the DCB product released by the CAS is analyzed. Finally, the processing strategy is presented. Section 3 verifies the effectiveness of TGD/DCB correction and its effect on SPP and PPP. Discussion and conclusions are provided in Section 4 and Section 5, respectively.
2. Data and Methods
2.1. General Observation Model
For satellite , receiver and frequency , the original code and phase observation can be expressed as:
where and represent the code and phase observed minus computed (OMC) values, respectively; denotes the unit directional vector from the satellite to the receiver; denotes the vector of position correction relative to the a priori position; and represent the receiver and satellite clock offset, respectively; denotes the tropospheric zenith wet delay and wet mapping function ; denotes the ionospheric delay on the frequency, , with the scale factor ; is the phase ambiguity in meters, where is the integer phase ambiguity in the cycle and is the carrier wavelength; and represent the receiver and satellite uncalibrated code delays (UCDs), respectively; and represent uncalibrated phase delays (UPDs) of the receiver and satellite, respectively; and and represent the code and phase measurement noise, respectively.
2.2. Triple-Frequency Positioning Model of BDS-3
Multifrequency IF combination is commonly used in precise positioning to effectively eliminate ionospheric first-order term errors, but different linear combination coefficients result in different noise levels. UC cannot eliminate ionospheric errors, but it can use the ionospheric delay as the parameter to mitigate the ionospheric effects. This implies that more ionospheric information might be included in UC. In addition, UC is more flexible in multifrequency positioning without amplifying noise. The commonly used triple-frequency positioning model of BDS-3 includes two IF models (IF123, IF1213) and a UC model (UC123) [28].
2.2.1. IF1213
Typically, the code and carrier phase observation models of dual-frequency IF combinations can be expressed as:
with:
where and are the frequency factors of the dual-frequency IF combination; and are the receiver and satellite dual-frequency IF combination UCDs, respectively; and and are the receiver and satellite dual-frequency IF combination UPDs, respectively.
For three different frequencies, , and , after correction of the satellite clock offset, two mutually independent IF combinations can be formed by Equation (2), and IF1213 can be expressed as:
with:
where is the receiver clock offset that absorbs the dual-frequency IF receiver’s UCDs; and are the satellite UCDs for the / and / IF combinations after corrected satellite clock offset, respectively; is the IF1213 IFB parameter due to different frequency combinations of UCDs. When the satellite DCB is corrected, and will be eliminated. Receiver DCB can be expressed as and . and represent / and / IF combinations floating ambiguity, respectively, and is the satellite UCDs included in the clock product.
2.2.2. IF123
The code and phase observation models for the IF123 combinations from frequencies , and are expressed as:
with:
where , and are the combined coefficients of the IF123 model, which satisfy the constraints of distance invariance, elimination of ionospheric delay and noise minimization.
From Equation (7), we can further obtain:
The UCDs and UPDs of receivers and satellites in Equation (6) can be expressed as:
Similarly, three different frequencies, , and , after correcting the satellite clock offset, form the unique code and phase observation models, as follows:
with:
where is the receiver clock offset that absorbs the triple-frequency IF receiver’s UCDs; denotes the satellite UCDs for the , and IF combinations after correcting for the satellite clock offset; and denotes the , and IF combinations floating ambiguity.
2.2.3. UC123
For frequencies , and , after correcting for the satellite clock offset, we can obtain the UC123 code and phase observation equation after combining information with Equation (1).
with:
where , and represent the satellite UCDs after correcting for the satellite clock offset for frequencies , and , respectively; is the ionospheric delay that absorbs the DCB; is the IFB parameter of UC123; , and represent the floating ambiguity at frequencies , and , respectively.
2.3. Triple-Frequency Satellite TGD/DCB Correction Model for BDS-3
The satellite clock offset needs to be corrected for SPP and PPP using broadcast satellite clock and precise satellite clock, respectively. Notably, the clock offset in the BDS-3 broadcast ephemeris is based on the B3I frequency and the precise clock products offered by IACs are based on a combination of B1I and B3I IF [29]. Therefore, the BDS-3 broadcast ephemeris clock and precise clock products contain a part of the UCDs, expressed as:
where and are the satellite clock offset in the broadcast ephemeris and precise clock products, respectively.
Different linear combinations will result in different noise amplifications. Dual-frequency IF combinations are mainly in the range of 2~4, but B2a/B3I, B2b/B3I, B2a/B2b and B1I/B1C combinations have amplification factors reaching unacceptable values of 9.43, 14.29, 27.47 and 77.38, respectively, and these frequency combinations are not suitable for positioning. For the triple-frequency, linear combinations, namely, B1I/B2a/B3I, B1C/B2a/B3I, B1I/B2b/B3I and B1C/B2b/B3I, are selected for the data processing in this paper. Table 1 provides statistics on the main characteristics of the triple-frequency models with different frequency combinations of BDS-3. The combinations 0~3 of the table are defined for convenience; for example, IF123-0 represents the B1I/B2a/B3I triple-frequency IF123 combination.
Table 1.
BDS-3 triple-frequency model characteristics.
Table 1 shows that the IF combination amplifies the observation noise but eliminates the ionospheric influence. The noise amplification factor for the new frequency, B1C/B2a combination, is 2.588, which is smaller than that of the old frequency combination, B1I/B3I, with an amplification factor of 3.527. The remainder of the combinations has noise amplification factors between these values, which means that the new frequency combination has a minor observation noise. The differences between the four noise amplification factors of IF123 are insignificant. These values range from 2.5 to 2.9. For UC, the noise amplification factors are all 1; however, UC cannot eliminate the effect of the ionospheric delay. Therefore, the parameters to be estimated for UC include the receiver position, clock offset, tropospheric parameter and ambiguity parameter as well as the ionospheric parameter. Moreover, the IFB parameter needs to be estimated for IF1213 and UC123 due to the UCDs.
2.3.1. TGD/DCB Correction Model with Broadcast Satellite Clock
The partial UCDs are included when correcting the satellite clock offset using the broadcast ephemeris, as shown in Equation (14). This implies that there is no need to consider the TGD/DCB correction if the B3I is used for the single-frequency positioning.
The IF1213 model is essentially two independent IF combinations. The TGD/DCB correction formula for the dual frequency IF combination with the frequencies and , after correcting for the satellite clock offset using the broadcast ephemeris, can be expressed as:
CAS provides BDS-3 DCB products with the following definitions:
In addition, TGD and DCB can be converted as follows:
Substituting the corresponding frequencies into Equations (16) and (17), the DCB correction of IF1213 can be expressed as:
After correcting for the satellite clock offset, the DCB correction of IF123 can be expressed as follows:
then:
For UC123, the correction formula is the same as that for single frequency.
Furthermore, according to Equation (18), it is possible to transform Equations (19), (21) and (22) into the TGD correction.
2.3.2. DCB Correction Model with Precise Satellite Clock
Unlike the broadcast ephemeris, the UCDs included in the precise clock shown in Equation (15) imply that the DCB correction need not be considered when using the B1I/B3I dual-frequency IF combination. For the IF1213 model, any of the dual-frequency IF combination corrections can be expressed as:
then:
The DCB of the IF123 model after correcting for the satellite clock offset using precise clock products can be expressed as:
then
where .
Additionally, the UC123 DCB correction can be expressed as:
2.4. DCB Product Stability Analysis
To analyze the stability of the DCB products provided by CAS, we collected the data for one month from CAS. The time series of BDS-3 DCB products provided by CAS in one month are shown in Figure 1. The difference between the day of year (DOY) 182 TGD parameters and DCB products are shown in Figure 2.
Figure 1.
Time series of CAS DCB products for one month.
Figure 2.
Difference between TGD parameters and DCB products.
Except for C33, the DCB daily solution values of all satellites are approximately −30~30 ns, and most satellites have stable DCB values over the month, with standard deviation (STD) values smaller than 0.5 ns. However, some satellites showed jumps; for example, the DCB of satellite C32 suddenly increased by approximately 3 ns after DOY 201, and the C42 satellite also showed noticeable hops on DOY 205 and 206; these hops may be related to the satellite working health status during that month. We found that the monthly stability of was not as good as the remaining three types of DCB products, with the average STD of the other three types of DCB products being approximately 0.3 ns while the average STD of was approximately 0.5 ns. In addition, the difference between TGD and DCB for most satellites was less than 2 ns.
2.5. Observed Data
We selected BDS-3 observations from 25 stations in the MGEX network over 30 consecutive days from 1 July 2022 (DOY 182) to 30 July 2022 (DOY 211); the data sample interval was 30 s. All 25 stations could receive BDS-3 B1I, B1C, B2a, B2b and B3I signals. The distribution of stations is shown in Figure 3.
Figure 3.
Distribution of 25 MGEX stations.
2.6. Processing Strategies
GBM products provided by GeoForschungsZentrum (GFZ), including the precise orbit and clock of BDS-3, were used in precise positioning. The igs14.atx file provided by IGS was employed to correct the BDS-3 satellite phase center offset (PCO) and phase center variation (PCV). The BSX file of CAS provided the DCB parameters. The was obtained from the broadcast ephemeris provided by the IGS, and the and were obtained from the broadcast ephemeris provided by the iGMAS.
The BDS-3 GEO satellites have quasistatic characteristics, and the quality of the precise orbit and clock is worse than those of other types of satellites [30]. Additionally, the new signals, B1C and B2a, are used by the BeiDou satellite based augmentation service (BDSBAS) and the B2b signal is employed for satellite based PPP [3,31,32]. Therefore, only C19~C46 were used for the experiments. It should be noted that some outliers are excluded in the calculation of the root mean square errors (RMS) of the positioning deviations [22,23].
The latter, non-corr, is without TGD/DCB correction, tgd-corr is with TGD correction and dcb-corr is with DCB correction. Since TGD values for B2b were not available, only TGD corrections for B1I/B2a/B3I and B1C/B2a/B3I combinations were performed. The detailed processing strategies are shown in Table 2.
Table 2.
BDS-3 triple-frequency data processing strategy.
3. Results and Analysis
3.1. Analysis of SPP Positioning Accuracy
3.1.1. IF123 and IF1213
The positioning errors in the horizontal and vertical components for IF123-0 and IF1213-0 SPP of the AREG station on DOY 182, 2022, are presented in Figure 4. It is worth noting that the AREG station on DOY 182 (1 July 2022) is our randomly selected representative station and the other days, combinations and stations have similar characteristics.
Figure 4.
SPP positioning error of IF123-0 and IF1213-0 at AREG.
Several conclusions can be drawn from Figure 4. Firstly, both IF123 and IF1213 models without TGD/DCB correction have a scattered error distribution in the E, N and U components with significant positioning errors. This is because the IF combinations amplify the observation noise that includes the UCDs. Secondly, the error distribution is concentrated after TGD/DCB is corrected, and the positioning error magnitudes are reduced. Finally, the positioning accuracies of IF123 and IF1213 are similar after TGD/DCB is corrected, and there is no significant difference.
The box plots of the SPP positioning accuracy for different IF combinations are plotted in Figure 5.
Figure 5.
Box plot of IF123 and IF1213 SPP positioning accuracy.
The positioning accuracy of all combinations without TGD/DCB correction is poor, with an accuracy of 5~8 m in the horizontal component and approximately 10 m in the vertical component. It is also clear that tgd-corr and dcb-corr positioning accuracy perform better and have a more concentrated error distribution compared with non-corr. The 75% quantile error is less than 1.5 m in the horizontal component and 3.5 m in the vertical component, and the positioning accuracies of the IF123 and IF1213 models are comparable.
Furthermore, we found an interesting phenomenon: the accuracy of the 1 and 3 combinations was slightly better than that of the 0 and 2 combinations, especially in the E and N components. This phenomenon may be due to the use of old frequencies B1I and B3I in the 0 and 2 combinations, with an amplification factor of 3.527, which is greater than that of the new frequencies, B1C and B2a, used in the combination of 1 and 3.
The average positioning accuracies of SPP for the IF123 and IF1213 models are shown in Table 3. We found that the average positioning accuracy of IF123 and IF1213 achieved better than 1 m in the E and N components and better than 3 m in the U component after TGD/DCB correction. The improvement rate of tgd-corr relative to non-corr was 73~90% for both IF models and the DCB correction effect was slightly better than TGD.
Table 3.
Average positioning accuracy of SPP for IF123 and IF1213 models.
3.1.2. UC123
The positioning errors in the horizontal and vertical components for UC123-0 SPP of the AREG station on DOY 182, 2022, are presented in Figure 6. Comparing Figure 4 and Figure 6, the non-corr of UC has significantly smaller error fluctuations than IF. Because UC does not require a linear combination, it does not amplify the observation noise substantially. Moreover, the TGD/DCB correction improves the error distribution concentration and positioning accuracy and decreases the error fluctuation. This is the same situation as the IF combination performance.
Figure 6.
SPP positioning error of UC123-0 at AREG.
For visual verification and analysis, the box plots of the SPP positioning accuracy for UC combinations are plotted in Figure 7. This shows that the accuracy of the E component is between 1~2.5 m, the N component is between 1.2~3 m and the U component is between 3~6 m for UC123. The tgd-corr and dcb-corr have higher positioning accuracy for all combinations, 75% of which reach 1.5 m or better in the horizontal component and 3.5 m or better in the vertical component, and the deviation distributions of UC123-0~UC123-3 are the same.
Figure 7.
Box plot of UC123 SPP positioning accuracy.
The average positioning accuracies of SPP for the UC model are shown in Table 4. Comparing Table 3 and Table 4, we find that the average positioning accuracy of UC without DCB correction is about 3 m in the horizontal component and 5 m in the vertical component, which is much higher than the accuracy of IF. The positioning accuracy of UC123 in the E, N and U components after TGD correction is 1.00 m, 1.32 m and 2.84 m, respectively. These accuracy values are comparable to that of IF123 and IF1213 in the E and U components but are slightly worse in the N component. The tgd-corr has an accuracy improvement of 27~30% compared with non-corr, and the DCB correction effect is basically the same as TGD.
Table 4.
Average positioning accuracy of SPP for UC123 model.
3.2. Analysis of PPP Positioning Accuracy
3.2.1. IF123 and IF1213
The time series of positioning errors for IF123-0 and IF1213-0 PPP at AREG station are presented in Figure 8, and the inset in each figure is the time series during the first 1 h.
Figure 8.
Positioning errors of IF123-0 and IF1213-0 at AREG station; 24-h time series.
As seen in Figure 8, the filtering of both dcb-corr and non-corr is very smooth after convergence and can provide stable cm-level positioning. However, the accuracy of dcb-corr is significantly higher than that of non-corr in the first few tens of epochs, as illustrated in the inset. This means that the DCB correction improves the positioning accuracy for PPP only at the beginning of the filtering.
The average convergence times for different IF combinations are plotted in Figure 9. It can be seen that both IF123 and IF1213, after correcting the DCB, speed up the convergence of the filtering, and the convergence time between each frequency combination is not much different.
Figure 9.
Average convergence time of IF123 and IF1213.
The average positioning accuracies of the IF123 and IF1213 models in all-day solutions and after convergence are shown in Table 5 and Table 6, respectively. It is noted that the convergence condition is that the standard deviation of each coordinate component is smaller than 10 cm and keeps the convergence for at least 20 epochs. The time corresponding to the first epoch of convergence is denoted as the convergence time.
Table 5.
Average positioning accuracy of PPP for IF123 and IF1213 models.
Table 6.
Average positioning accuracy of PPP after convergence for IF123 and IF1213 models.
The IF123 and IF1213 dcb-corr have comparable accuracy, with an average positioning accuracy of 2~4 cm in the horizontal components and approximately 5 cm in the vertical component. Compared with non-corr, we find that the accuracy improvement of dcb-corr is 44~67% in the horizontal components and 45~60% in the vertical component. The average convergence times are 26.1 min and 26.9 min for the IF123 and IF1213 with dcb-corr, respectively. The improvement rates compared with the non-corr are 6.79% and 2.54%, respectively. In addition, both IF123 and IF1213 provided stable cm-level positioning after convergence. The positioning accuracy reached 1 cm in the N component, 2 cm in the E component and 2.5 cm in the U component, respectively. The maximum difference between the average positioning accuracy after convergence of the two IF models, non-corr and dcb-corr schemes, was less than 1 cm.
3.2.2. UC123
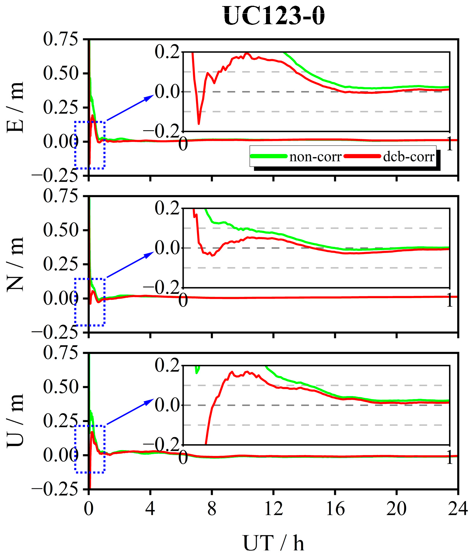
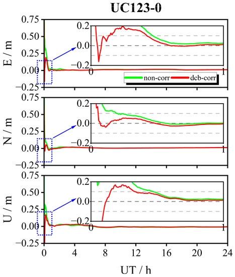
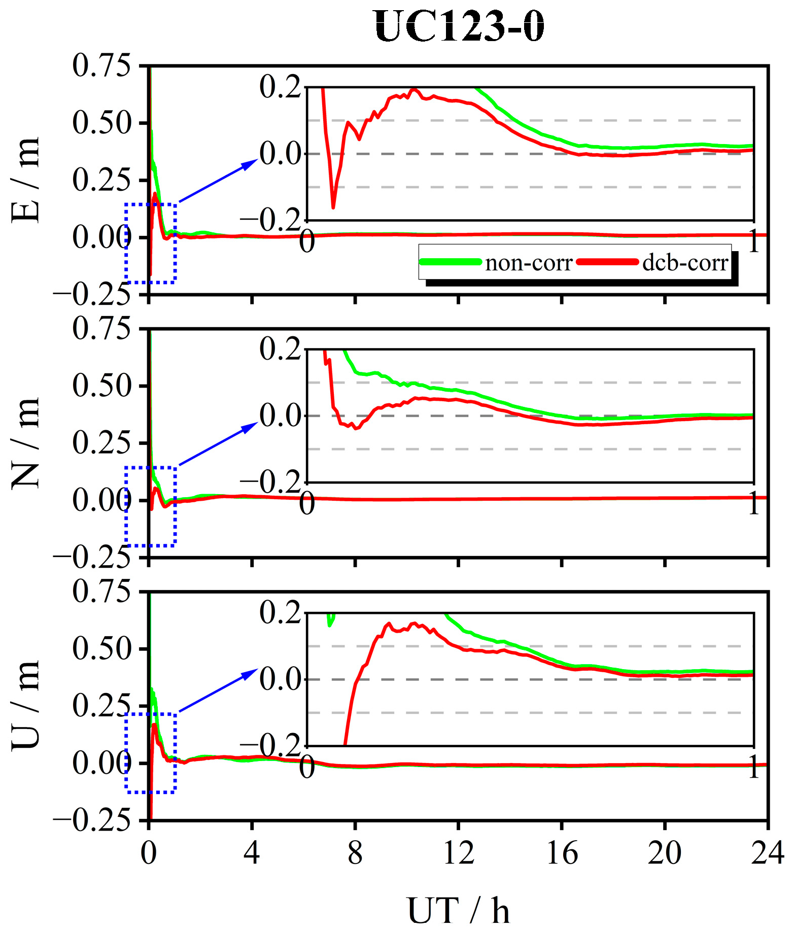
The time series of positioning errors for UC123-0 PPP at AREG station are presented in Figure 10, and the inset in each figure is the time series during the first 1 h. The UC in the figure shows the same situation as the IF combination filtering. Additionally, dcb-corr has better accuracy than the non-corr in the initial epoch. UC also provides stable cm-level positioning after convergence.
Figure 10.
Positioning errors of UC123-0 at AREG station; 24-h time series.
The average convergence times for different UC combinations are plotted in Figure 11. UC123 corrected by DCB shows significant accuracy improvement in the E, N and U components, but the accuracy improvement occurs mainly during the initial epochs. For the convergence time, the dcb-corr of UC123-0~UC123-3 all show an improvement compared with the non-corr, and the difference between the combinations after correction is insignificant.
Figure 11.
Average convergence time of UC123.
The average positioning accuracies of the UC123 model in all-day solutions and after convergence are shown in Table 7 and Table 8, respectively.
Table 7.
Average positioning accuracy of PPP for UC123 model.
Table 8.
Average positioning accuracy of PPP after convergence for UC123 model.
Table 7 and Table 8 show that the positioning accuracy of UC123 dcb-corr reached 5.69 cm, 4.39 cm and 8.46 cm in the E, N and U components, respectively, with improvement of approximately 31~41% compared with the non-corr positioning mode. The positioning accuracy of UC123 after convergence is comparable to that of IF123 and IF1213; all are better than 1 cm in the N component, 2 cm in the E component and 2.5 cm in the U component. The convergence time of the UC123 with dcb-corr is 38.3 min, which is approximately 8.59% shorter than that of non-corr. The slower convergence of UC than IF may be explained by the fact that UC requires estimating more parameters and a longer convergence time is needed. The IF and UC DCB corrections only have an accuracy improvement in the initial epoch. This is because the high-accuracy carrier makes a better contribution over time. Thus, the positioning accuracy after convergence of the non-corr and dcb-corr is essentially the same.
3.3. Effect of DCB on PPP Parameters
In this section, the effects of pseudorange residuals, IFB, tropospheric delay, ionospheric delay and floating ambiguity with and without DCB correction are examined.
Figure 12 provides the pseudorange residuals of IF123-0 at AREG on DOY 182, 2022; the different colors represent different satellites. The pseudorange residuals are significantly larger when the DCB is not corrected, and there is a systematic bias. The pseudorange residuals after correcting the DCB are closer to zero-mean random noise.
Figure 12.
Pseudorange residuals of IF123-0 model at AREG.
The IFB needs to be estimated for IF1213 and UC123 models due to the existing DCB. Figure 13 shows the IFB of the IF1213 and UC123 models at AREG. It is obvious from the figure that the non-corr is affected by satellite DCB, with significantly larger fluctuations, and gradually stabilizes with time. Moreover, dcb-corr positioning mode is only affected by the receiver DCB, and the fluctuation is less than 0.2 m over 24 h, indicating that the IFB parameters have short-term stability after correcting the satellite DCB.
Figure 13.
IFB of IF1213 and UC123 models at AREG.
Figure 14 shows the slant total electronic content (STEC) at AREG. Different colors in the figure represent different satellites. When the DCB is not corrected, the part of the DCB will be absorbed by the ionospheric delay, resulting in an abnormal STEC. When the DCB is corrected, the STEC is more stable. A significant increase in STEC occurs at approximately 12 h, likely owing to the location of the AREG station being near the equatorial region of South America where ionospheric activity is active. There is a strong correlation between DCB and the ionosphere, and DCB has a strong influence on estimated ionospheric parameters.
Figure 14.
STEC of UC123-0 model at AREG.
Figure 15 shows the tropospheric delay differences between dcb-corr and non-corr at AREG. There is almost no difference between the non-corr and dcb-corr tropospheric delays, and the difference remains less than 5 mm in the vast majority of epochs, indicating that the DCB correction has less impact on the estimated troposphere parameters.
Figure 15.
Differences of tropospheric delay of UC123-0 model at AREG.
Figure 16 shows the floating ambiguity differences between dcb-corr and non-corr at AREG. As seen from the figure, the DCB effects on floating ambiguities are different for different satellites, especially at the beginning of the observation epochs. In contrast, the floating ambiguity difference converges to the same value for all satellites with the increase of the filtering time, and the fluctuation is gradually stabilized.
Figure 16.
Differences of floating ambiguity of IF123-0 model at AREG.
4. Discussion
Four reasonable triple-frequency combinations are selected for the experiments, namely, B1I/B2a/B3I, B1C/B2a/B3I, B1I/B2b/B3I and B1C/B2a/B3I.
The TGD/DCB correction significantly improves the positioning accuracy of SPP, especially for the IF123 and IF1213 models, because the errors are amplified, including the UCDs by the signal combinations. When the satellite TGD/DCB is corrected, the positioning accuracies of UC123 in the E and U components reaches nearly the same as those of the IF123 and IF1213 modes but slightly worse in the N component.
The DCB correction improves the accuracy of the initial epochs of PPP, but the improvement effect gradually diminishes with time. Since the high-precision carrier phase contributes more and more in subsequent epochs, the positioning accuracies of the four combinations of IF123, IF1213 and UC123 models are nearly the same after the filtering convergence. However, the convergence time of UC123 is longer than that of IF123 and IF1213 because there are more parameters to be estimated.
DCB not only affects the PPP convergence time but also affects other parameters. The pseudorange residuals without DCB have a systematic bias of several meters, and the bias value varies quite differently for different satellites. When the DCB is corrected, the pseudorange residuals are significantly more reasonably distributed, approaching zero-mean random noise.
The IFB needs to be estimated for IF1213 and UC123 due to satellite and receiver UCDs. When the satellite DCB is corrected, the IFB fluctuates less during the day and has short-term stability. The DCB also affected the estimated STEC. If DCB is not taken into account, the estimated STEC will show anomalies or even negative numbers. The floating ambiguity of each satellite is affected differently by the DCB at the earliest epoch but converges to nearly the same value after some time. Tropospheric delay is nearly unaffected by DCB, and the differences between the estimated tropospheric parameters with or without DCB correction is less than 5 mm after convergence.
In summary, the DCB correction significantly improves the positioning accuracy of BDS-3 triple-frequency SPP and reduces the convergence time of PPP. Therefore, the correction should not be neglected in BDS-3 triple-frequency positioning.
5. Conclusions
The new signals, B1C and B2a of BDS-3, have better signal quality and higher code accuracy, leading to significant development of multifrequency positioning. DCB is the primary error in precise positioning and ionospheric modeling. The DCB correction models of BDS-3 for IF123, IF1213 and UC123, based on broadcast ephemeris clocks and precise clock products, are derived in this paper. The experiments of the DCB influences on the SPP and PPP are demonstrated. The following conclusions can be drawn:
- The 1-month average STD of the DCB product released by CAS for most of the satellites of the BDS-3 is smaller than 0.5 ns, and the difference between TGD and DCB for most satellites is less than 2 ns.
- The TGD significantly impacts the SPP positioning accuracy. The improvement rate of IF123 and IF1213 is in the range of 73~90%, and that of UC is in the range of 27~30% after the TGD is corrected. The average positioning accuracies of IF123 and IF1213 with TGD correction in the E, N and U components are 0.91, 0.91, 2.84 m and 0.96, 0.94, 2.79 m, respectively, while those of UC123 are 1.00, 1.32 and 2.84 m. In addition, the correction effect of the DCB is slightly better than TGD.
- IF123, IF1213 and UC123 PPP improved their positioning accuracy by 31~66% after DCB correction, but the accuracy improvement was shown mostly at the early stage of the epoch. After a period of convergence, the effect on the positioning accuracy of the 3 models was less than 3 mm with or without DCB corrections. The convergence time was 26.1, 26.9 and 38.3 min for IF123, IF1213 and UC123, respectively, which is 6.79%, 2.54% and 8.59% shorter than before the correction.
- The distribution of the pseudorange residuals approaches zero-mean random noise after the DCB is corrected. Usually, the uncorrected DCB is absorbed by IFB, ionospheric delay and floating ambiguity, but the tropospheric delay is less affected by DCB.
Author Contributions
Conceptualization, Y.D.; methodology, Y.D. and X.J.; software, Y.D. and J.L.; formal analysis, Y.D. and Q.L.; investigation, Y.D. and W.Y.; writing—original draft, Y.D.; writing—review and editing, Y.Y. and X.J.; visualization, Y.D., J.L. and Q.L.; resources, J.L. and W.Y.; validation, W.Y.; supervision, Y.Y.; funding acquisition, Y.Y. and X.J. All authors have read and agreed to the published version of the manuscript.
Funding
This research was funded by the National Natural Science Foundation of China (41874041 and 41931076).
Data Availability Statement
The GNSS observation data from the IGS MGEX networks can be obtained at ftp://igs.gnsswhu.cn/pub/gps/data (accessed on 10 April 2023). The precise products from GFZ are available at ftp://igs.gnsswhu.cn/pub/gps/products/mgex (accessed on 10 April 2023). The DCB products provided by CAS can be obtained at ftp://igs.gnsswhu.cn/pub/gps/products/mgex/dcb (accessed on 10 April 2023).
Acknowledgments
The authors are grateful to iGMAS and MGEX for providing data and products for analysis.
Conflicts of Interest
The authors declare no conflict of interest.
References
- Yang, Y.; Mao, Y.; Sun, B. Basic Performance and Future Developments of BeiDou Global Navigation Satellite System. Satell. Navig. 2020, 1, 1. [Google Scholar] [CrossRef]
- Yang, Y.; Liu, L.; Li, J.; Yang, Y.; Zhang, T.; Mao, Y.; Sun, B.; Ren, X. Featured Services and Performance of BDS-3. Sci. Bull. 2021, 66, 2135–2143. [Google Scholar] [CrossRef] [PubMed]
- Yang, Y.; Ding, Q.; Gao, W.; Li, J.; Xu, Y.; Sun, B. Principle and Performance of BDSBAS and PPP-B2b of BDS-3. Satell. Navig. 2022, 3, 5. [Google Scholar] [CrossRef]
- Xie, X.; Fang, R.; Geng, T.; Wang, G.; Zhao, Q.; Liu, J. Characterization of GNSS Signals Tracked by the IGMAS Network Considering Recent BDS-3 Satellites. Remote Sens. 2018, 10, 1736. [Google Scholar] [CrossRef]
- Zhang, X.; Wu, M.; Liu, W.; Li, X.; Yu, S.; Lu, C.; Wickert, J. Initial Assessment of the COMPASS/BeiDou-3: New-Generation Navigation Signals. J. Geod. 2017, 91, 1225–1240. [Google Scholar] [CrossRef]
- CSNO BeiDou Navigation Satellite System Signal in Space Interface Control Document: Open Service Signal B1C (Version 1.0). 2017. Available online: http://www.beidou.gov.cn/xt/gfxz/201712/P020171226741342013031.pdf (accessed on 10 April 2023).
- CSNO BeiDou Navigation Satellite System Signal in Space Interface Control Document: Open Service Signal B2a (Version 1.0). 2017. Available online: http://www.beidou.gov.cn/xt/gfxz/201712/P020171226742357364174.pdf (accessed on 10 April 2023).
- Montenbruck, O.; Steigenberger, P.; Wang, N.; Hauschild, A. Characterization and Performance Assessment of BeiDou-2 and BeiDou-3 Satellite Group Delays. Navig.-J. Inst. Navig. 2022, 69, navi.526. [Google Scholar] [CrossRef]
- Cao, X.; Li, J.; Zhang, S.; Kuang, K.; Gao, K.; Zhao, Q.; Hong, H. Uncombined Precise Point Positioning with Triple-Frequency GNSS Signals. Adv. Space Res. 2019, 63, 2745–2756. [Google Scholar] [CrossRef]
- Håkansson, M.; Jensen, A.B.O.; Horemuz, M.; Hedling, G. Review of Code and Phase Biases in Multi-GNSS Positioning. GPS Solut. 2017, 21, 849–860. [Google Scholar] [CrossRef]
- Montenbruck, O.; Steigenberger, P. The BeiDou Navigation Message. J. Glob. Position. Syst. 2013, 12, 1–12. [Google Scholar] [CrossRef]
- Li, M.; Yuan, Y.; Wang, N.; Li, Z.; Li, Y.; Huo, X. Estimation and Analysis of Galileo Differential Code Biases. J. Geod. 2017, 91, 279–293. [Google Scholar] [CrossRef]
- Wang, Q.; Jin, S.; Ye, X. A Novel Method to Estimate Multi-GNSS Differential Code Bias without Using Ionospheric Function Model and Global Ionosphere Map. Remote Sens. 2022, 14, 2002. [Google Scholar] [CrossRef]
- Li, Z.; Yuan, Y.; Li, H.; Ou, J.; Huo, X. Two-Step Method for the Determination of the Differential Code Biases of COMPASS Satellites. J. Geod. 2012, 86, 1059–1076. [Google Scholar] [CrossRef]
- Wang, N.; Yuan, Y.; Li, Z.; Montenbruck, O.; Tan, B. Determination of Differential Code Biases with Multi-GNSS Observations. J. Geod. 2016, 90, 209–228. [Google Scholar] [CrossRef]
- Montenbruck, O.; Hauschild, A.; Steigenberger, P. Differential Code Bias Estimation Using Multi-GNSS Observations and Global Ionosphere Maps: Mulit-GNSS DCB Estimation. Navig.-J. Inst. Navig. 2014, 61, 191–201. [Google Scholar] [CrossRef]
- Wang, Q.; Jin, S.; Yuan, L.; Hu, Y.; Chen, J.; Guo, J. Estimation and Analysis of BDS-3 Differential Code Biases from MGEX Observations. Remote Sens. 2019, 12, 68. [Google Scholar] [CrossRef]
- Guo, F.; Zhang, X.; Wang, J. Timing Group Delay and Differential Code Bias Corrections for BeiDou Positioning. J. Geod. 2015, 89, 427–445. [Google Scholar] [CrossRef]
- Ge, Y.; Zhou, F.; Sun, B.; Wang, S.; Shi, B. The Impact of Satellite Time Group Delay and Inter-Frequency Differential Code Bias Corrections on Multi-GNSS Combined Positioning. Sensors 2017, 17, 602. [Google Scholar] [CrossRef] [PubMed]
- Zhang, R.; Tu, R.; Liu, J.; Hong, J.; Fan, L.; Zhang, P.; Lu, X. Impact of BDS-3 Experimental Satellites to BDS-2: Service Area, Precise Products, Precise Positioning. Adv. Space Res. 2018, 62, 829–844. [Google Scholar] [CrossRef]
- Li, X.; Xie, W.; Huang, J.; Ma, T.; Zhang, X.; Yuan, Y. Estimation and Analysis of Differential Code Biases for BDS3/BDS2 Using IGMAS and MGEX Observations. J. Geod. 2019, 93, 419–435. [Google Scholar] [CrossRef]
- Dai, P.; Ge, Y.; Qin, W.; Yang, X. BDS-3 Time Group Delay and Its Effect on Standard Point Positioning. Remote Sens. 2019, 11, 1819. [Google Scholar] [CrossRef]
- Dai, P.; Xing, J.; Ge, Y.; Yang, X.; Qin, W.; Dong, Y.; Zhang, Z. The Effect of BDS-3 Time Group Delay and Differential Code Bias Corrections on Positioning. Appl. Sci. 2020, 11, 104. [Google Scholar] [CrossRef]
- Li, J.; Yang, Y.; He, H.; Guo, H. Benefits of BDS-3 B1C/B1I/B2a Triple-Frequency Signals on Precise Positioning and Ambiguity Resolution. GPS Solut. 2020, 24, 100. [Google Scholar] [CrossRef]
- Zhang, W.; Yang, H.; He, C.; Wang, Z.; Shao, W.; Zhang, Y.; Wang, J. Initial Performance Evaluation of Precise Point Positioning with Triple-Frequency Observations from BDS-2 and BDS-3 Satellites. J. Navig. 2020, 73, 763–775. [Google Scholar] [CrossRef]
- Cao, X.; Shen, F.; Ge, Y.; Liu, C.; Zhang, S. Inter-Frequency Code Bias Handling and Estimation for Multi-Frequency BeiDou-3/Galileo Uncombined Precise Point Positioning. Meas. Sci. Technol. 2022, 33, 015012. [Google Scholar] [CrossRef]
- Wu, Z.; Wang, Q.; Hu, C.; Yu, Z.; Wu, W. Modeling and Assessment of Five-Frequency BDS Precise Point Positioning. Satell. Navig. 2022, 3, 8. [Google Scholar] [CrossRef]
- Guo, F.; Zhang, X.; Wang, J.; Ren, X. Modeling and Assessment of Triple-Frequency BDS Precise Point Positioning. J. Geod. 2016, 90, 1223–1235. [Google Scholar] [CrossRef]
- Li, X.; Li, X.; Liu, G.; Xie, W.; Guo, F.; Yuan, Y.; Zhang, K.; Feng, G. The Phase and Code Biases of Galileo and BDS-3 BOC Signals: Effect on Ambiguity Resolution and Precise Positioning. J. Geod. 2020, 94, 9. [Google Scholar] [CrossRef]
- Steigenberger, P.; Hugentobler, U.; Hauschild, A.; Montenbruck, O. Orbit and Clock Analysis of Compass GEO and IGSO Satellites. J. Geod. 2013, 87, 515–525. [Google Scholar] [CrossRef]
- Liu, Y.; Yang, C.; Zhang, M. Comprehensive Analyses of PPP-B2b Performance in China and Surrounding Areas. Remote Sens. 2022, 14, 643. [Google Scholar] [CrossRef]
- Xu, Y.; Yang, Y.; Li, J. Performance Evaluation of BDS-3 PPP-B2b Precise Point Positioning Service. GPS Solut. 2021, 25, 142. [Google Scholar] [CrossRef]
- Wu, J.T.; Wu, S.C.; Hajj, G.A.; Bertiger, W.I.; Lichten, S.M. Effects of Antenna Orientation on GPS Carrier Phase. Manuscr. Geod. 1992, 18, 91–98. [Google Scholar]
- Petit, G.; Luzum, B. IERS Conventions (2010). Bur. Int. POIDS Mes. SEVRES Fr. 2010. Available online: https://www.researchgate.net/publication/235112142_IERS_conventions_2010 (accessed on 10 April 2023).
- Saastamoinen, J. Atmospheric Correction for the Troposphere and Stratosphere in Radio Ranging Satellites. Geophys. Monogr. Ser. 1972, 15, 247–251. [Google Scholar] [CrossRef]
- Yuan, Y.; Wang, N.; Li, Z.; Huo, X. The BeiDou Global Broadcast Ionospheric Delay Correction Model (BDGIM) and Its Preliminary Performance Evaluation Results. Navig.-J. Inst. Navig. 2019, 66, 55–69. [Google Scholar] [CrossRef]
Disclaimer/Publisher’s Note: The statements, opinions and data contained in all publications are solely those of the individual author(s) and contributor(s) and not of MDPI and/or the editor(s). MDPI and/or the editor(s) disclaim responsibility for any injury to people or property resulting from any ideas, methods, instructions or products referred to in the content. |
© 2023 by the authors. Licensee MDPI, Basel, Switzerland. This article is an open access article distributed under the terms and conditions of the Creative Commons Attribution (CC BY) license (https://creativecommons.org/licenses/by/4.0/).















