A Modified Temperature Vegetation Dryness Index (mTVDI) for Agricultural Drought Assessment Based on MODIS Data: A Case Study in Northeast China
Abstract
1. Introduction
2. Materials and Methods
2.1. Study Area
2.2. Data
2.3. Methodology
2.3.1. The Technical Route
2.3.2. Canopy Reflectance Simulation by PROSAIL
2.3.3. Water Stress Experiments
2.3.4. Multispectral Vegetation Dryness Index (MVDI)
2.3.5. Modified Temperature Vegetation Dryness Index (mTVDI)
2.3.6. Other Drought Indices
2.3.7. Statistical Metrics
3. Results
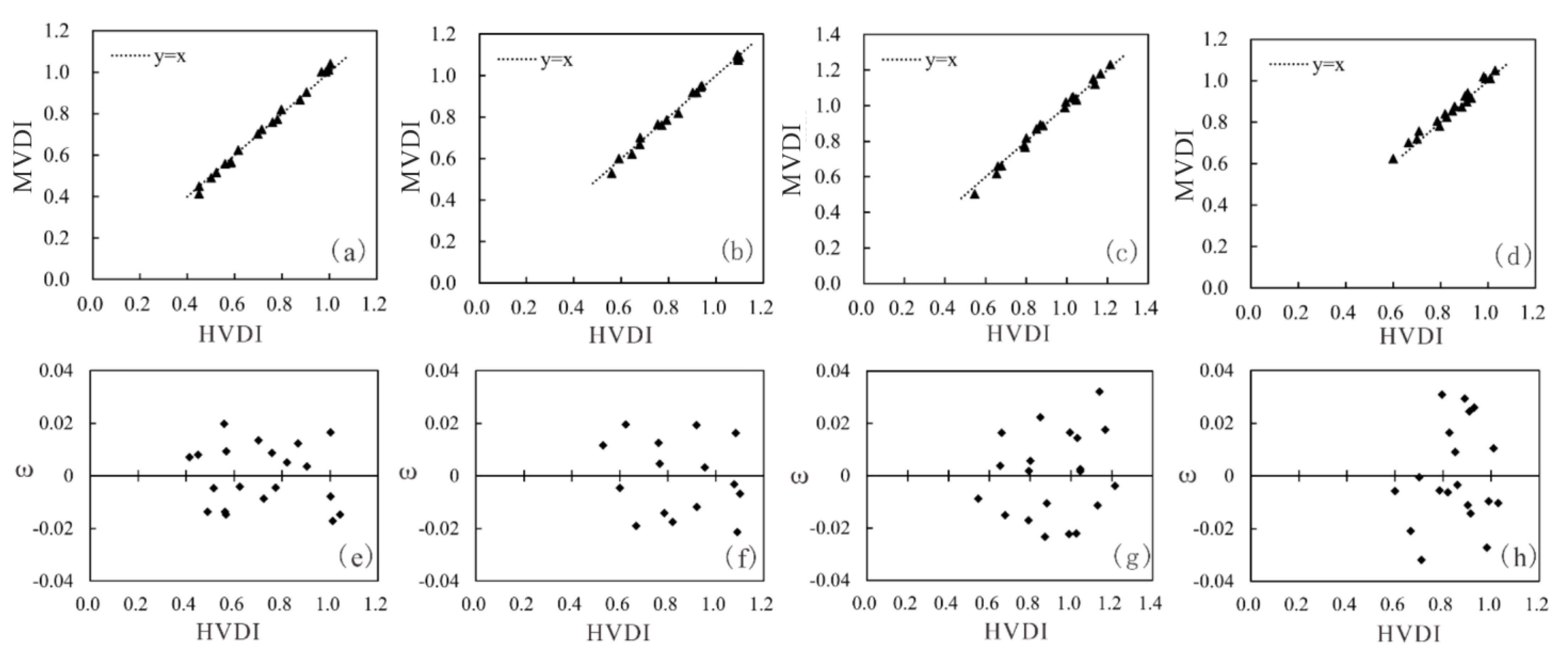
3.1. Comparison of the MVDI with Other Vegetation Indices
3.2. Evaluating the Feature Space of the MVDI–LST
3.3. Applying the mTVDI in Drought Monitoring in Northeast China
3.4. Comparison of the mTVDI with Other Drought Indices
3.5. Performance of the mTVDI in the Major Drought Events
4. Discussion
4.1. Matching between HVDI Bands and MODIS Channels
4.2. Anti-Saturation of the mTVDI in High FVC
4.3. Limitation and Future Research
5. Conclusions
Author Contributions
Funding
Data Availability Statement
Conflicts of Interest
References
- Du, L.; Tian, Q.; Yu, T.; Meng, Q.; Jancso, T.; Udvardy, P.; Huang, Y. A comprehensive drought monitoring method integrating MODIS and TRMM data. Int. J. Appl. Earth Obs. Geoinf. 2013, 23, 245–253. [Google Scholar] [CrossRef]
- Chang, K.Y.; Xu, L.; Starr, G.; Kyaw Tha Paw, U. A drought indice reflecting ecosystem responses to water availability: The Normalized Ecosystem Drought Index. Agric. For. Meteorol. 2018, 250–251, 102–117. [Google Scholar] [CrossRef]
- Kogan, F.N. Global drought watch from space. Bull. Am. Meteorol. Soc. 1997, 78, 621–636. [Google Scholar] [CrossRef]
- Yang, J.; Chang, J.; Wang, Y.; Li, Y.; Hu, H.; Chen, Y.; Huang, Q.; Yao, J. Comprehensive drought characteristics analysis based on a nonlinear multivariate drought index. J. Hydrol. 2018, 557, 651–667. [Google Scholar] [CrossRef]
- Hao, C.; Zhang, J.; Yao, F. Combination of multi-sensor remote sensing data for drought monitoring over Southwest China. Int. J. Appl. Earth Obs. Geoinf. 2015, 35, 270–283. [Google Scholar] [CrossRef]
- Gerhards, M.; Schleft, M.; Mallick, K.; Udelhoven, T. Challenges and future perspectives of multi-/hyperspectral thermal infrared remote sensing for crop water-stress detection: A review. Remote Sens. 2019, 11, 1240. [Google Scholar] [CrossRef]
- Chaerle, L.; Van Der Straeten, D. Imaging techniques and the early detection of plant stress. Trends Plant Sci. 2000, 5, 495–501. [Google Scholar] [CrossRef]
- Tucker, C.J.; Newcomb, W.W.; Los, S.O.; Prince, S.D. Mean and inter-year variation of growing season normalized difference vegetation index for the Sahel 1981–1989. Int. J. Remote Sens. 1991, 12, 1133–1135. [Google Scholar] [CrossRef]
- Qin, Q.; Wu, Z.; Zhang, T.; Sagan, V.; Zhang, Z.; Zhang, Y.; Zhang, C.; Ren, H.; Sun, Y.; Xu, W.; et al. Optical and Thermal Remote Sensing for Monitoring Agricultural Drought. Remote Sens. 2021, 13, 5092. [Google Scholar] [CrossRef]
- Huete, A.; Didan, K.; Miura, T.; Rodriguez, E.P.; Gao, X.; Ferreira, L.G. Overview of the radiometric and biophysical performance of the MODIS vegetation indices. Remote Sens. Environ. 2002, 83, 195–213. [Google Scholar] [CrossRef]
- Saleska, S.R.; Didan, K.; Huete, A.R.; Da Rocha, H.R. Amazon forests green-up during 2005 drought. Science 2007, 318, 612. [Google Scholar] [CrossRef]
- Jackson, T.J.; Chen, D.; Cosh, M.; Li, F.; Anderson, M.; Walthall, C.; Hunt, E.R. Vegetation water content mapping using Landsat data derived normalized difference water index for corn and soybeans. Remote Sens. Environ. 2004, 92, 475–482. [Google Scholar] [CrossRef]
- AghaKouchak, A.; Farahmand, A.; Melton, F.S.; Teixeira, J.; Anderson, M.C.; Wardlow, B.D.; Hain, C.R. Remote sensing of drought: Progress, challenges and opportunities. Rev. Geophys. 2015, 53, 452–480. [Google Scholar] [CrossRef]
- Gutman, G.G. Towards monitoring droughts from space. J. Clim. 1990, 3, 282–295. [Google Scholar] [CrossRef]
- Bhuiyan, C.; Singh, R.P.; Kogan, F.N. Monitoring drought dynamics in the Aravalli region (India) using different indices based on ground and remote sensing data. Int. J. Appl. Earth Obs. Geoinf. 2006, 8, 289–302. [Google Scholar] [CrossRef]
- Jain, S.K.; Keshri, R.; Goswami, A.; Sarkar, A.; Chaudhry, A. Identification of drought–vulnerable areas using NOAA AVHRR data. Int. J. Remote Sens. 2009, 30, 2653–2668. [Google Scholar] [CrossRef]
- McVicar, T.R.; Jupp, D.L. The current and potential operational uses of remote sensing to aid decisions on drought exceptional circumstances in Australia: A review. Agric. Syst. 1998, 57, 399–468. [Google Scholar] [CrossRef]
- Goetz, S.J. Multi-sensor analysis of NDVI, surface temperature and biophysical variables at a mixed grassland site. Int. J. Remote Sens. 1997, 18, 71–94. [Google Scholar] [CrossRef]
- Moran, M.S. Thermal infrared measurement as an indicator of planet ecosystem health. Therm. Remote Sens. Land Surf. Processes 2004, 1, 257–282. [Google Scholar]
- Price, J.C. On the analysis of thermal infrared imagery: The limited utility of apparent thermal inertia. Remote Sens. Environ. 1985, 18, 59–73. [Google Scholar] [CrossRef]
- Kogan, F.N. Application of vegetation index and brightness temperature for drought detection. Adv. Space Res. 1995, 15, 91–100. [Google Scholar] [CrossRef]
- Sandholt, I.; Rasmussen, K.; Andersen, J. A simple interpretation of the surface temperature/vegetation index space for assessment of surface moisture status. Remote Sens. Environ. 2002, 79, 213–224. [Google Scholar] [CrossRef]
- Liu, L.; Liao, J.; Chen, X.; Zhou, G.; Su, Y.; Xiang, Z.; Wang, Z.; Liu, X.; Li, Y.; Wu, J.; et al. The Microwave Temperature Vegetation Dryness Index (MTVDI) based on AMSR-E brightness temperatures for long-term drought assessment across China (2003–2010). Remote Sens. Environ. 2017, 199, 302–320. [Google Scholar] [CrossRef]
- Liu, Y.; Yue, H. The Temperature Vegetation Dryness Index (TVDI) Based on Bi-Parabolic NDVI-Ts Space and Gradient-Based Structural Similarity (GSSIM) for Long-Term Drought Assessment Across Shaanxi Province, China (2000–2016). Remote Sens. 2018, 10, 959. [Google Scholar] [CrossRef]
- Zhao, S.; Cong, D.; He, K.; Yang, H.; Qin, Z. Spatial-temporal variation of drought in China from 1982 to 2010 based on a modified Temperature Vegetation Dryness Index (mTVDI). Sci. Rep. 2017, 7, 1–12. [Google Scholar] [CrossRef]
- Qi, S.; Wang, C.; Niu, Z. Evaluating soil moisture status in China using the temperature/vegetation dryness index (TVDI). J. Remote Sens. 2003, 7, 420–427. [Google Scholar]
- Sun, L.; Sun, R.; Li, X.; Liang, S.; Zhang, R. Monitoring surface soil moisture status based on remotely sensed surface temperature and vegetation index information. Agric. For. Meteorol. 2012, 166, 175–187. [Google Scholar] [CrossRef]
- West, H.; Quinn, N.; Horswell, M. Remote sensing for drought monitoring & impact assessment: Progress, past challenges and future opportunities. Remote Sens. Environ. 2019, 232, 111291. [Google Scholar]
- Sha, S.; Guo, N.; Li, Y.; Han, T.; Zhao, Y. Introduction of Application of Temperature Vegetation Dryness Index in China. J. Arid Meteorol. 2014, 32, 128–134. [Google Scholar]
- Cong, D.M.; Zhao, S.H.; Chen, C.; Duan, Z. Characterization of droughts during 2001–2014 based on remote sensing: A case study of Northeast China. Ecol. Inform. 2017, 39, 56–67. [Google Scholar] [CrossRef]
- Guo, E.L.; Liu, X.P.; Zhang, J.Q.; Wang, Y.F.; Wang, C.L.; Wang, R.; Li, D.J. Assessing spatiotemporal variation of drought and its impact on maize yield in Northeast China. J. Hydrol. 2017, 553, 231–247. [Google Scholar] [CrossRef]
- You, N.; Dong, J.; Huang, J.; Du, G.; Zhang, G.; He, Y.; Yang, T.; Di, Y.; Xiao, X. The 10-m crop type maps in Northeast China during 2017–2019. Sci. Data 2021, 8, 41. [Google Scholar] [CrossRef] [PubMed]
- Feret, J.B.; Gitelson, A.A.; Noble, S.D.; Jacquemoud, S. PROSPECT-D: Towards modeling leaf optical properties through a complete lifecycle. Remote Sens. Environ. 2017, 193, 204–215. [Google Scholar] [CrossRef]
- Feret, J.B.; Franois, C.; Asner, G.P.; Gitelson, A.A.; Martin, R.E.; Bidel, L.P.; Ustin, S.L.; le Maire, G.; Jacquemoud, S.p. PROSPECT-4 and 5: Advances in the leaf optical properties model separating photosynthetic pigments. Remote Sens. Environ. 2008, 112, 3030–3043. [Google Scholar] [CrossRef]
- Jacquemoud, S.; Verhoef, W.; Baret, F.; Bacour, C.; Zarco-Tejada, P.J.; Asner, G.P.; Francois, C.; Ustin, S.L. PROSPECT + SAIL models: A review of use for vegetation characterization. Remote Sens. Environ. 2009, 113, 556–566. [Google Scholar] [CrossRef]
- Vinod, P.; Ratnadeep, R. Hyperspectal remote sensing for agriculture: A review. Int. J. Comput. Appl. 2017, 172, 30–34. [Google Scholar] [CrossRef]
- Hunt, J.; Ramond, E.; Rock, B.N. Detection in changes in leaf water content using near and mid-infrared reflectance. Remote Sens. Environ. 1989, 30, 45–54. [Google Scholar]
- Xu, Z.Y.; Chen, S.B.; Lu, P.; Wang, Z.B.; Li, A.Z.; Zeng, Q.H.; Chen, L.W. Optimizing a standard spectral measurement protocol to enhance the quality of soil spectra: Exploration of key variables in lab-based VNIR-SWIR spectral measurement. Remote Sens. 2022, 14, 1558. [Google Scholar] [CrossRef]
- Chaves, M.M.; Oliveira, M.M. Mechanisms underlying plant resilience to water deficits: Prospects for water-saving agriculture. J. Exp. Bot. 2004, 55, 2365–2384. [Google Scholar] [CrossRef]
- Li, C.; Adu, B.; Wu, J.; Qin, G.; Li, H.; Han, Y. Spatial and temporal variations of drought in Sichuan Province from 2001 to 2020 based on modified Temperature Vegetation Dryness Index (TVDI). Ecol. Indic. 2022, 139, 108883. [Google Scholar] [CrossRef]
- Keshavarz, M.R.; Vazifedoust, M.; Alizadeh, A. Drought monitoring using a soil wetness deficit index (SWDI) derived from MODIS satellite data. Agric. Water Manag. 2014, 132, 37–45. [Google Scholar] [CrossRef]
- Petropoulos, G.; Carlson, T.; Wooster, M.; Islam, S. A review of Ts/VI remote sensing based methods for the retrieval of land surface energy fluxes and soil surface moisture. Prog. Phys. Geogr. 2009, 33, 224–250. [Google Scholar] [CrossRef]
- Carlson, T.N.; Gillies, R.R.; Perry, E.M. A method to make use of thermal infrared temperature and NDVI measurements to infer surface soil water content and fractional vegetation cover. Remote Sens. Rev. 1994, 9, 161–173. [Google Scholar] [CrossRef]
- Tucker, C.J. Red and photographic infrared linear combinations for monitoring vegetation. Remote Sens. Environ. 1979, 8, 127–150. [Google Scholar] [CrossRef]
- Roujean, J.L.; Breon, F.M. Estimating PAR absorbed by vegetation from bidirectional reflectance measurements. Remote Sens. Environ. 1995, 51, 375–384. [Google Scholar] [CrossRef]
- Gamon, J.A.; Penuelas, J.; Field, C.B. A narrow-waveband spectral index that tracks diurnal changes in photosynthetic efficiency. Remote Sens. Environ. 1992, 41, 35–44. [Google Scholar] [CrossRef]
- Penelas, J.; Filella, I. Visible and near-infrared reflectance techniques for diagnosing plant physiological status. Trends Plant Sci. 1998, 3, 151–156. [Google Scholar] [CrossRef]
- Daughtry, C.S.T.; Walthall, C.L.; Kim, M.S.; Brown de Conlstoun, E.; McMurtrey, J.E., III. Estimating corn leaf chlorophyll concentration from leaf and canopy reflectance. Remote Sens. Environ. 2000, 74, 229–239. [Google Scholar] [CrossRef]
- Gao, B. NDWI—A normalized difference water index for remote sensing of vegetation liquid water from space. Remote Sens. Environ. 1996, 58, 257–266. [Google Scholar] [CrossRef]
- Penuelas, J.; Isla, R.; Filella, I.; Araus, J.L. Visible and near-infrared reflectance assessment of salinity effects on barley. Crop Sci. 1997, 37, 198–202. [Google Scholar] [CrossRef]
- Vicente-Serrano, S.M.; Beguería, S.; López-Moreno, J.I. A multi-scalar drought index sensitive to global warming: The standardized precipitation evapotranspiration index–SPEI. J. Clim. 2010, 23, 1696–1718. [Google Scholar] [CrossRef]
- Rouault, M.; Richard, Y. Intensity and spatial extension of droughts at different time scale since 1921 in South Africa. In Proceedings of the EGS—AGU—EUG Joint Assembly, Nice, France, 6–11 April 2003. [Google Scholar]
- Cao, X.J.; Yin, G.H.; Gu, J.; Ma, N.N.; Wang, Z.H. Application of WNN-PSO model in drought prediction at crop growth stages: A case study of spring maize in semi-arid regions of northern China. Comput. Electro. Agric. 2022, 199, 107155. [Google Scholar]
- Yang, X.J.; Liu, Y.; Bai, W.; Liu, B.C. Spatiotemporal assessment of drought related to soybean production and sensitivity analysis in Northeast China. J. Appl. Meteorol. Clim. 2017, 56, 937–952. [Google Scholar] [CrossRef]
- Tong, Q.X.; Zhang, B.; Zheng, L.F. Hyperspectral Remote Sensing; Higher Education Press: Beijing, China, 2006. [Google Scholar]
- Swain, P.H.; Davis, S.M. Remote Sensing: The Quantitative Approach; McGrow-Hill Inc: New York, NY, USA, 1978. [Google Scholar]
- Wang, C.; Linderholm, H.W.; Song, Y.; Wang, F.; Ren, G. Impacts of drought on maize and soybean production in northeast china during the past five decades. Int. J. Environ. Res. Public Health 2020, 17, 2459. [Google Scholar] [CrossRef] [PubMed]
- Huang, Y.; Li, J.; Wang, Y.; Zhang, X.Y.; Li, X.Y. Impact simulation of drought on maize growth and yield in different growth stages. J. Agric. Catastrophol. 2019, 9, 47–49. [Google Scholar]
- Dong, S.; Jiang, Y.; Dong, Y.; Wang, L.; Wang, W.; Ma, Z.; Yan, C.; Ma, C.; Liu, L. A study on soybean responses to drought stress and rehydration. Saudi J. Biol. Sci. 2019, 26, 2006–2017. [Google Scholar] [CrossRef]
- Buezo, J.; Sanz-Saez, Á.; Moran, J.F.; Soba, D.; Aranjuelo, I.; Esteban, R. Drought tolerance response of high-yielding soybean varieties to mild drought: Physiological and photochemical adjustments. Physiol. Plant. 2019, 166, 88–104. [Google Scholar] [CrossRef]
- Horler, D.N.H.; Dockray, M.; Barber, J. The red edge of plant leaf reflectance. Int. J. Remote Sens. 1983, 4, 273–288. [Google Scholar] [CrossRef]
- Zhao, H.; Xu, Z.; Zhao, J.; Huang, W. A drought rarity and evapotranspiration-based index as a suitable agricultural drought indice. Ecol. Indic. 2017, 82, 530–538. [Google Scholar] [CrossRef]
- Tian, L.Y.; Yuan, S.S.; Quiring, S.M. Evaluation of six indices for monitoring agricultural drought in the south-central United States. Agric. For. Meteorol. 2018, 249, 107–119. [Google Scholar] [CrossRef]
- Cao, Y.J.; Chen, S.B.; Wang, L.; Zhu, B.X.; Yu, Y. An agricultural drought index for assessing droughts using a water balance method: A case study in jilin province, northeast china. Remote Sens. 2019, 11, 1066. [Google Scholar] [CrossRef]
- Leal, L.H.C.; Violante, F.G.M.; Carvalho, L.G.; Garrido, B.C.; Rego, E.C.P.; Sarmanho, G.F.; Rocha, W.F.C. A new methodology for proficiency testing scheme interpretation based on residual analysis. Accredit. Qual. Assur. 2022, 27, 349–357. [Google Scholar] [CrossRef]
- Danson, F.M.; Steven, M.D.; Malthus, T.J.; Clark, J.A. High-spectral resolution data for determining leaf water content. Int. J. Remote Sens. 1992, 13, 461–470. [Google Scholar] [CrossRef]
- Patel, C.K.N.; Tam, A.C. Optical absorption coefficients of water. Nature 1979, 280, 302–304. [Google Scholar] [CrossRef]
- Holben, B.N.; Schutt, J.B.; Mcmurtrey, J. Leaf water stress detection utilizing thematic mapper bands 3, 4 and 5 in soybean plants. Int. J. Remote Sens. 1983, 4, 289–297. [Google Scholar] [CrossRef]
- Everitt, J.H.; Nixon, P.R. Canopy reflectance of two drought-stressed shrubs. Photogramm. Eng. Remote Sens. 1986, 52, 1189–1192. [Google Scholar]
- Liang, S.; Li, X.; Wang, J. Advanced Remote Sensing: Terrestrial Information Extraction and Applications; Academic Press: Cambridge, MA, USA, 2012. [Google Scholar]
- Houborg, R.; Fisher, J.B.; Skidmore, A.K. Advances in remote sensing of vegetation function and traits. Int. J. Appl. Earth Obs. Geoinf. 2015, 43, 1–6. [Google Scholar] [CrossRef]












| Model | Parameter | Quantity | Value | Step | Unit |
|---|---|---|---|---|---|
| PROSPECT | N | Leaf structure parameter | 2.5 | - | - |
| Cab | Chlorophyll a+b content | 10~100 | 1 | μg/cm2 | |
| Car | Carotenoid content | 8 | - | μg/cm2 | |
| CW | Equivalent water thickness | 0.005~0.03 | 0.001 | cm | |
| Cm | Dry matter content | 0.009 | - | g/cm2 | |
| Cbp | Brown pigments content | 0 | - | - | |
| SAIL | LAI | Leaf area index | 1~6 | 0.1 | - |
| LIDF | Leaf inclination distribution function | Beta distribution | - | - | |
| SL. | Hot spot parameter | 0.01 | - | - | |
| sza of θS | Solar zenith angle | 30 | - | deg | |
| vza of θV | Viewing zenith angle | 10 | - | deg | |
| raa of θSV | Relative azimuth angle | 90 | - | deg |
| Stage | Maize | Soybean | ||
|---|---|---|---|---|
| Growth Period | Acquisition Time (2021) | Growth Period | Acquisition Time (2020) | |
| Early | Jointing | 24 June | Seedling | 16 June, 28 June |
| Middle | Tasseling | 14 July | Branch | 9 July, 15 July |
| Late | Milking | 9 August | Pod bearing | 21 July, 25 July, 6 August |
| Mature | Maturing | 30 August | Pod filling | 12 August, 20 August, 26 August |
| Abbreviation | Index Name | Equation | References |
|---|---|---|---|
| Structural Indices | |||
| 1. NDVI | Normalized difference vegetation index | Tucker [44] | |
| 2. RDVI | Renormalized difference vegetation index | Roujean [45] | |
| 3. EVI | Enhanced vegetation index | Huete [9] | |
| Chlorophyll Indices | |||
| 4. PRI | Photochemical reflectance index | Gamon [46] | |
| 5. SIPI | Structure-intensive pigment index | Penelas [47] | |
| 6. MCARI | Modified chlorophyll absorption ratio index | Daughtry [48] | |
| Water Indices | |||
| 7. NDII | Normalized difference infrared index | Jackson [12] | |
| 8. NDWI | Normalized difference water index | Gao [49] | |
| 9. WI | Water index | Penuelas [50] | |
| Type | Index | Early Stage | Middle Stage | ||||||
|---|---|---|---|---|---|---|---|---|---|
| N–L | L–M | M–S | Average | N–L | L–M | M–S | Average | ||
| Structural Indices | NDVI | 2.77 | 0.93 | 2.49 | 2.06 | 1.27 | 0.86 | 0.97 | 1.03 |
| RDVI | 2.52 | 0.49 | 1.44 | 1.48 | 1.24 | 0.66 | 0.25 | 0.72 | |
| EVI | 2.56 | 0.58 | 1.67 | 1.60 | 1.26 | 0.75 | 0.43 | 0.81 | |
| Chlorophyll Indices | PRI | 3.40 | 1.22 | 2.37 | 2.33 | 1.22 | 1.11 | 2.25 | 1.53 |
| SIPI | 2.14 | 0.73 | 1.70 | 1.52 | 1.29 | 0.83 | 0.76 | 0.96 | |
| MCARI | 0.83 | 0.96 | 1.82 | 1.20 | - | - | - | - | |
| Water Indices | NDII | 3.35 | 4.18 | 4.11 | 3.88 | 0.87 | 0.95 | 1.19 | 1.00 |
| NDWI | 2.15 | 2.93 | 2.83 | 2.64 | 0.90 | 0.62 | 1.51 | 1.01 | |
| WI | 2.73 | 2.28 | 1.60 | 2.20 | 0.79 | 0.43 | 1.16 | 0.79 | |
| This Study Index | MVDI | 4.32 | 4.47 | 5.03 | 4.61 | 1.59 | 0.89 | 1.45 | 1.31 |
| Type | Index | Late stage | Mature stage | ||||||
| N–L | L–M | M–S | Average | N–L | L–M | M–S | Average | ||
| Structural Indices | NDVI | 1.55 | 2.64 | 2.44 | 2.21 | - | - | - | - |
| RDVI | 2.57 | 1.22 | 1.55 | 1.78 | 1.22 | 1.09 | 1.43 | 1.25 | |
| EVI | 2.30 | 1.76 | 1.93 | 2.00 | - | - | - | - | |
| Chlorophyll Indices | PRI | 1.00 | 0.44 | 1.96 | 1.13 | - | - | - | - |
| SIPI | 1.58 | 3.27 | 2.38 | 2.41 | - | - | - | - | |
| MCARI | - | - | - | - | - | - | - | - | |
| Water Indices | NDII | 0.41 | 0.05 | 0.27 | 0.24 | - | - | - | - |
| NDWI | 0.84 | 0.78 | 0.52 | 0.71 | - | - | - | - | |
| WI | 0.82 | 0.86 | 0.38 | 0.69 | - | - | - | - | |
| This Study Index | MVDI | 2.55 | 2.65 | 2.83 | 2.68 | 1.60 | 1.39 | 1.40 | 1.46 |
| Mon | Method | Heilongjiang | Jilin | Liaoning | Neimenggu | Mean | ||||||||
|---|---|---|---|---|---|---|---|---|---|---|---|---|---|---|
| SPEI1 | SPEI3 | SPEI6 | SPEI1 | SPEI3 | SPEI6 | SPEI1 | SPEI3 | SPEI6 | SPEI1 | SPEI3 | SPEI6 | |||
| May | mTVDI | −0.83 | −0.86 | −0.84 | −0.39 | −0.75 | −0.76 | −0.62 | −0.78 | −0.88 | −0.61 | −0.80 | −0.82 | −0.75 |
| TVDI | −0.80 | −0.81 | −0.80 | −0.38 | −0.65 | −0.66 | −0.62 | −0.68 | −0.77 | −0.60 | −0.72 | −0.74 | −0.69 | |
| Jun | mTVDI | −0.36 | −0.39 | −0.48 | −0.52 | −0.69 | −0.68 | −0.64 | −0.72 | −0.81 | −0.69 | −0.78 | −0.78 | −0.63 |
| TVDI | −0.37 | −0.32 | −0.40 | −0.48 | −0.57 | −0.58 | −0.66 | −0.66 | −0.46 | −0.50 | −0.52 | −0.48 | −0.55 | |
| Jul | mTVDI | −0.68 | −0.65 | −0.68 | −0.86 | −0.76 | −0.81 | −0.72 | −0.69 | −0.51 | −0.75 | −0.70 | −0.66 | −0.71 |
| TVDI | −0.66 | −0.62 | −0.65 | −0.68 | −0.68 | −0.72 | −0.64 | −0.50 | −0.38 | −0.66 | −0.60 | −0.58 | −0.61 | |
| Aug | mTVDI | −0.54 | −0.79 | −0.80 | −0.45 | −0.59 | −0.52 | −0.73 | −0.67 | −0.66 | −0.57 | −0.68 | −0.66 | −0.64 |
| TVDI | −0.47 | −0.79 | −0.77 | 0.29 | −0.35 | −0.61 | −0.68 | −0.66 | −0.69 | −0.29 | −0.60 | −0.69 | −0.56 | |
| Sep | mTVDI | −0.77 | −0.74 | −0.81 | −0.62 | −0.69 | −0.89 | −0.65 | −0.76 | −0.83 | −0.68 | −0.73 | −0.84 | −0.75 |
| TVDI | −0.75 | −0.63 | −0.73 | −0.65 | −0.62 | −0.76 | −0.66 | −0.71 | −0.69 | −0.69 | −0.65 | −0.72 | −0.69 | |
| Region | Drought Month |
|---|---|
| Heilongjiang | September 2008, September 2010 |
| Jilin | July 2009, August 2009, September 2009, September 2010 |
| Liaoning | September 2008, July 2009, August 2009, September 2009 |
| Neimenggu | June 2007, July 2007, September 2009 |
Disclaimer/Publisher’s Note: The statements, opinions and data contained in all publications are solely those of the individual author(s) and contributor(s) and not of MDPI and/or the editor(s). MDPI and/or the editor(s) disclaim responsibility for any injury to people or property resulting from any ideas, methods, instructions or products referred to in the content. |
© 2023 by the authors. Licensee MDPI, Basel, Switzerland. This article is an open access article distributed under the terms and conditions of the Creative Commons Attribution (CC BY) license (https://creativecommons.org/licenses/by/4.0/).
Share and Cite
Dai, R.; Chen, S.; Cao, Y.; Zhang, Y.; Xu, X. A Modified Temperature Vegetation Dryness Index (mTVDI) for Agricultural Drought Assessment Based on MODIS Data: A Case Study in Northeast China. Remote Sens. 2023, 15, 1915. https://doi.org/10.3390/rs15071915
Dai R, Chen S, Cao Y, Zhang Y, Xu X. A Modified Temperature Vegetation Dryness Index (mTVDI) for Agricultural Drought Assessment Based on MODIS Data: A Case Study in Northeast China. Remote Sensing. 2023; 15(7):1915. https://doi.org/10.3390/rs15071915
Chicago/Turabian StyleDai, Rui, Shengbo Chen, Yijing Cao, Yufeng Zhang, and Xitong Xu. 2023. "A Modified Temperature Vegetation Dryness Index (mTVDI) for Agricultural Drought Assessment Based on MODIS Data: A Case Study in Northeast China" Remote Sensing 15, no. 7: 1915. https://doi.org/10.3390/rs15071915
APA StyleDai, R., Chen, S., Cao, Y., Zhang, Y., & Xu, X. (2023). A Modified Temperature Vegetation Dryness Index (mTVDI) for Agricultural Drought Assessment Based on MODIS Data: A Case Study in Northeast China. Remote Sensing, 15(7), 1915. https://doi.org/10.3390/rs15071915

