Abstract
Satellite remote sensing is currently the best monitoring means to obtain global carbon source and sink data. The United States, Japan, China and other countries are vigorously developing spaceborne detection technology. However, the important factors that restrict the application of greenhouse gas satellite remote sensing technology include the limited accuracy of data products. How to improve the retrieval level of greenhouse gas payloads is a problem that needs to be solved urgently. One effective way to improve data quality is to carry out satellite ground synchronous authenticity verification and system error correction. This paper mainly aims at the shortcomings of the existing TCCON and the portable verification equipment EM27/SUN, and develops a High-Resolution Fourier Transform Spectrometer (HRFTS) based on dynamic collimation technology. Through the gas absorption method and the band scanning method of the hyperspectral monochromatic light source, the instrument’s absorption spectrum measurement capability and the Instrument Line Shape (ILS) are demonstrated. The instrument’s spectral resolution is consistent with the on-orbit greenhouse gas satellite load, reaching 0.26 cm−1. For the interference data obtained by the spectrometer, spectral restoration processing, data quality control and inversion algorithm optimization were carried out to solve the problems of baseline correction, spectral fine registration, and environmental parameter profile reconstruction, and cross comparison experiments with EM27/SUN were carried out simultaneously. Finally, for the gases monitoring instrument (GMI) of the GF5-02 satellite launched on 7 September 2021, the first satellite ground synchronization verification experiment with high space-time matching was carried out. The results showed that the CO2 column concentration deviation of the satellite ground synchronization inversion was about 1.5 ppm, and the CH4 column concentration deviation was about 11.3 ppb, which verified the on-orbit detection accuracy of the GMI, and laid a foundation for the subsequent satellite inversion algorithm optimization and systematic error correction.
1. Introduction
The rise of greenhouse gas concentration has led to global warming, which has been unanimously recognized by the scientific community. In response to the goal of controlling global temperature rise to within 1.5 degrees as required by the “Paris Agreement” [1,2], accurate access to high-precision greenhouse gas concentration data is the key. Satellite remote sensing monitoring is the best way to obtain global greenhouse gases. The greenhouse gas satellites that have been launched include GOSAT [3], OCO-2/3 [4], TanSat [5], GF5-01/02 [6] (the GMI payload is developed by the research team in this paper), etc. To obtain inversion accuracy better than 1% for CO2 and 2% for CH4, not only hyperspectral, high signal to noise ratio satellite payloads, and robust inversion algorithms are required, but also the authenticity verification of satellite ground synchronization data products is an important technical link. Because ground-based observation directly detects the solar spectrum in the near-infrared band, the radiation signal source is strong, and the influence of aerosols and high cirrus clouds can be ignored. The high-precision greenhouse gas column concentration results can be obtained through inversion of a nonlinear least square fitting algorithm, making it an ideal way to verify satellite data products.
TCCON (Total Carbon Column Observing Network) [7,8] can be used to observe CO2, CH4, CO, N2O, H2O, HDO, O2 and other gas components. The equipment used is a Bruker IFS 125HR Fourier spectrometer, with the highest spectral resolution of 0.0035 cm−1. TCCON is recognized as a global greenhouse gas standard ground verification station which can provide long-term monitoring data and is an ideal data source for verifying the results of relevant satellite remote sensing detection. Both Japanese GOSAT and American OCO-2 satellites used TCCON station data to match and verify their inversion results [9,10]. However, TCCON stations are distributed unevenly around the world and are few in number. Furthermore, the operation of observation instruments is complex and they are inconvenient to transport. Therefore, the frequency of satellite verification is limited. In order to solve the problems in transportation and operation of TCCON stations, Bruker and KIT developed the EM27/SUN portable Fourier Transform Spectrometer which can achieve 0.7~2.0μm, and the spectrum is collected with a spectral resolution of 0.5 cm−1 [11,12,13]. At present, some research institutions have also carried out satellite data verification of this equipment [12,14]. However, the spectral resolution of the EM27/SUN instrument is low (the resolution of GOSAT, GMI and other satellites is 0.27 cm−1), so the accuracy of observation and inversion must be guaranteed when using it for satellite observation verification. Therefore, many scholars have studied the sensitivity of the XCO2 observed by EM27/SUN to the observation parameters and inversion parameters [15,16,17].
This paper mainly focuses on the requirements and problems of the existing greenhouse gas satellite data products for high time and space matching verification, and carries out the development of ground-based high-resolution Fourier spectrometer (HRFTS) suitable for the verification of greenhouse gas satellite outfield data products. The spectral resolution is consistent with the satellite payload, and the instrument can be easily operated in the field to facilitate the development of verification experiments and improve the authenticity of data. Through spectral restoration and quality control of spectrometer interference data, effective spectral data that can be retrieved are obtained. Considering the inversion algorithm, the problems such as wavelength precision registration and environment parameter reconstruction were mainly solved, and cross validation experiments were carried out with EM27/SUN. Finally, at the Hefei Remote Sensing Experimental Field, the first high space-time matching ground-based verification experiment was completed for the GMI of the GF5-02 satellite after launch, and the deviation value of satellite–ground greenhouse gas retrieval results was obtained.
2. Spectrometer
In order to keep consistent with the spectral resolution of greenhouse gas satellite payloads such as GMI, the interference optical path difference of the spectrometer needs to be about twice as high as EM27/SUN. The principle of Fourier transform spectrometer is easier to achieve in the infrared band and is more difficult to achieve in the visible and near-infrared bands due to the high wave values. In addition, the foundation verification requires that the instrument be easy to move, and the stability of the interferometer is required to be high. The Fourier spectrometer interferometer developed in this paper is different from the swing arm structure used by EM27/SUN, and uses a movable mirror combined with a fixed mirror structure suitable for outdoor work. The spectrometer consists of a solar tracking system, a Fourier transform spectrometer system, a control and data acquisition unit, and a data processing and inversion unit (as shown in Figure 1). The sun tracking system completes the sun tracking and leads the light into the detector’s entrance pupil to obtain the signal source and maintain a high signal to noise ratio. The solar radiation is collected and collimated by the front optical system and enters the interference spectrometer system of the Fourier transform spectrometer system. Based on the Michelson principle, the interferometer beam splitter modulates the correlated radiation signals to form interferograms. The optical signal of the interferogram is converted into an electrical signal by the detector, and the electronic processing system realizes the collection, pre-processing, data transmission and other functions of the interference electrical signal. The data processing and inversion unit carry out error correction and Fourier transform on the obtained interferogram data to obtain high-resolution spectral data. Based on the spectral data, greenhouse gas inversion is performed to obtain the final CO2 and CH4 column concentration information. The design value of spectral resolution of the spectrometer is required to be less than or equal to 0.27 cm−1, with a spectral coverage of 5000~13500 cm−1 (0.75~2.0 ). Because ground-based remote sensing detection is carried out in sunny weather with low aerosol values, the band is not extended to the 2.06-micron channel. In addition, the spectral resolution and spectral range of HRFTS are mainly consistent with the three channels of GMI load O2, CH4 and CO2-1. In the future, we will optimize the band range of the instrument according to the use of HRFTS, and replace the detector to include the 2.06-micron channel. See Table 1 for the main technical indicators of spectrometer.
Figure 1.
The overall composition block diagram of HRFTS.
Table 1.
Main performance index of HRFTS.
The solar tracking system includes an altitude angle mirror, azimuth angle mirror, sensor unit, controller unit, driver unit and mechanical unit (as shown in Figure 2). The sun tracking adopts the working mode of sun viewing motion track assisted photoelectric tracking. When weather and light permit, the GPS module is used to obtain the current sun azimuth information, and the optical path calibration module is driven to preliminarily position the incidence angle of the direct sunlight. When the direct sunlight falls into the field of view of the light position sensor, it automatically switches to the accurate photoelectric tracking mode with position error feedback, combined with the image recognition technology of the incident aperture. This ensures that the direct sunlight can accurately enter the back-end Fourier spectrometer through the receiving optical path. The omnidirectional tracking of the sun is realized by the combination of a height angle scanning mirror and an azimuth angle scanning mirror. The height angle scanning mirror and azimuth angle scanning mirror (Figure 2) are placed at an angle of 45° relative to the vertical direction. The height angle scanning mirror can rotate 360° around the horizontal axis, and the height angle scanning mirror and azimuth angle scanning mirror can rotate 360° around the vertical axis as a whole, so as to achieve all-round tracking of the sun. This structure can keep the luminous flux stable after passing through the system.
Figure 2.
Layout Diagram of Solar Tracking System.
The Fourier transform spectrometer system includes a collimating unit (turning incident light into parallel light), an interferometer (forming interference phenomenon through different phase information of two optical signals), and an imaging unit (compressing interference fringes to the detector) (as shown in Figure 3). To ensure high stability measurements in outdoor application, the interferometer adopts dynamic alignment technology. By monitoring the phase difference of laser interferograms at different positions of the interferometer, the change in the angle between the moving mirror and the beam splitter can be obtained in real-time, and the attitude of the fixed mirror can be dynamically adjusted through the electromagnetic actuator. The electromagnetic driver generates thrust and tension to drive the fixed mirror, so that it can rotate to correct the tilt error angle generated by the moving mirror in the process of movement. This ensures that the positions of the fixed mirror and the moving mirror are perpendicular to each other and accurately compensate the optical misalignment caused by the axial deflection of the moving mirror, with the result that the modulation of the whole system is always in the best state, thereby greatly improving the performance and reliability of the system. Based on the dynamic alignment interference scheme, a flexible pivot without lubrication is used as the moving mechanism of the moving mirror, which has good low-temperature adaptability and long-term stability. The interferometer is based on a highly integrated modular design. The beam splitter, moving mirror, bearing, fixed mirror and collimating system are all integrated in a cavity, which greatly improves the stability of the system and facilitates the installation and maintenance of the system.
Figure 3.
Optical path layout of HRFTS system.
The data acquisition and control system utilize a high dynamic range interference signal acquisition scheme and a piecewise variable gain circuit to improve the system’s signal-to-noise ratio. A characteristic of the interferogram is that the signal is strongest at the zero optical path difference position, and the signal waveform is in the shape of a spike. With the distance from the zero optical path difference position, that is, the two wings of the interferogram, the intensity of the interference signal decreases rapidly. Therefore, when ADC collects the interferogram signal, the quantization efficiency is higher only near the zero optical path difference spike but it is lower for the two wings. Due to the limited accuracy of the used ADC, when the signal is less than the least significant bit (LSB) of the ADC, there is signal distortion and loss of the information it carries. In order to improve the dynamic range of the acquisition system, the interferogram is divided into two different gains to achieve the gain adjustment of the detection signal (as shown in Figure 4). Among them, the laser interference shaping signal is the HeNe laser interferometer zero crossing pulse signal, which is used as the input signal to calculate the scanning distance of the interferometer. The starting point signal is used to control the starting point of a scanning process and can also be used as the trigger signal for interferogram sampling.
Figure 4.
Schematic Diagram of Sectional Variable Gain Circuit Scheme Design.
The overall structure of the spectrometer is shown in Figure 5, including the solar tracking system, Fourier spectrometer system (corresponding to the breadboard structure shown in Figure 3), signal acquisition unit, overall structure and other components. The compact integrated design can better meet the requirements of portable field foundation measurement. The overall weight is about 20 kg, and a single person can easily carry out satellite calibration experiments.
Figure 5.
The three-dimensional model diagram of HRFTS structure (left figure) and real object (right figure).
3. Calibration
The factors affecting the detection capability of greenhouse gases mainly include absorption spectral sensitivity, instrument spectral resolution, etc. After the spectrometer is developed, its basic performance needs to be tested and characterized to provide basic data for subsequent applications. A long optical path gas absorption cell was used to test the sensitivity of the greenhouse gas absorption spectrum, and a hyperspectral tunable laser scanning system was used to test the Instrument Line Shape (ILS).
3.1. Gas Absorption Transmittance
According to Lambert Beer absorption law, the calculation formula of theoretical transmittance of radiant energy absorbed by target gas is:
where is the atmospheric absorption cross-section, in cm2/molecules; C is the target gas concentration, in molecules/cm3; and L is the absorption path length of the target gas, in cm. It can be seen from the ideal gas state equation that the molecular number density of the target absorption gas in unit volume under standard state (P0 = 101,333 Pa; V0 = 1 cm3; R = 8.31434 J/mol·K; T0 = 273.16 K) is:
If the partial pressure of the target absorption gas is P and the ambient temperature of the gas is T, the concentration C of the target absorption gas is:
In addition, the atmospheric absorption section data can be obtained from the HITRAN molecular spectrum data set. If the absorption length L of the target gas is known, the spectral transmittance curve of the target gas can be simulated with high accuracy.
In order to achieve the above goal of fine theoretical absorption spectrum calibration, an atmospheric greenhouse gas simulation calibration chamber was developed which can be used to study the transmission spectrum change of the incident standard light source after being absorbed by greenhouse gas. The equipment can input the concentration ratio of different greenhouse gases, simulate different cold and hot gas environments, and effectively control, monitor and record the temperature and vacuum in different pressure spaces. In order to obtain better temperature uniformity, the equipment is equipped with a circulating air device. The simulation device mainly includes the following parts: vacuum main pipeline, vacuum guarantee system, gas distribution system and circulating air pipeline, temperature guarantee system, control monitoring system and auxiliary supporting system (as shown in Figure 6). The main performance indicators are as follows: optical path length 5000 m; a limit vacuum degree better than 1 × 10−5 Pa; a temperature regulation range of −20 °C~50 °C; a temperature stability better than ±0.1 °C; and an uncertainty of gas distribution better than ±1%.
Figure 6.
Simulated calibration chamber system of main atmospheric greenhouse gases.
The experimental scheme of the spectral absorption method based on the simulated calibration cabin of main greenhouse gases in the atmosphere is as follows. Firstly, the cabin is extracted to the high vacuum state by using the air extraction equipment to measure the background spectrum. Then the gas distribution equipment is used to match the standard concentration of greenhouse gases, and the temperature control equipment is used to control the temperature. When the temperature, pressure and other parameters are stable, the spectrometer measures the absorption spectrum. The absorption spectrum data is acquired according to target spectrum and background spectrum. During the experiment, the atmospheric greenhouse gas simulation calibration chamber is gradually filled with 1 × 105 pa CO2 through the gas distribution system. The gas temperature is controlled at 20 °C. During inflation, the spectrometer synchronously collects interference data. Figure 7a shows the CO2 absorption spectrum data under different concentration conditions. The absorption depth gradually deepens, indicating that the spectrometer has good spectral detection sensitivity. After the concentration of the injected gas reaches the final state and is stable, multiple interferograms are collected and averaged to obtain the measured transmittance spectrum. Figure 7b shows the superposition of the measured and theoretical spectral transmittance curves of CO2. The average error of the transmittance of each absorption peak is 1.2%.
Figure 7.
Test data of absorption spectral transmittance of CO2 spectral channel. ((a): absorption spectra at different gas distribution states, (b): theoretical spectrum and measured absorption spectrum, (c): difference between theoretical and measured absorption spectra).
Because the absorption characteristic of the CH4 spectral line is strong and the absorption peak is easy to saturate when the concentration is large, 500 pa CH4 is filled into the calibration chamber, and the gas temperature is maintained at 20 °C. As the gas concentration is low, the process absorption spectrum is not easy to collect. Figure 8 shows the superposition of the measured spectral transmittance curve and the theoretical spectral transmittance curve of CH4 under the final stable concentration state. The average error of the transmittance of each absorption peak is 2.3%.
Figure 8.
Test data of absorption spectral transmittance of CH4 spectral channel.
3.2. Instrument Line Shape
With the aim of achieving high-precision retrieval of atmospheric greenhouse gases, the main limitations are associated with three aspects: atmospheric radiative transfer calculations, instrument models, and inversion algorithms. The most important parameter in the instrument model is the instrument line shape which determines the final spectral form of incident radiation after passing through the instrument and represents the instrument spectral resolution and spectral line energy distribution. Therefore, accurate acquisition of the ILS of the spectrometer is of great significance for accurate simulation of theoretical spectrum (forward modeling) and quantitative retrieval. The ideal monochromatic light is an infinite cosine function in the interference domain. After Fourier transform, the spectral domain is a straight line without width. However, due to the limited moving mirror movement range of the instrument, it is equivalent to multiplying the cosine function and rectangular function in the interference domain, leaving only the interference data within the range of the optical path difference of the moving mirror. After Fourier transform, the width of the observed spectral line is not zero. In addition, because the incident light is not parallel, the light incident at the focal length of the collimating mirror can only be detected when it is within the detection range of the probe element. These light rays have a certain angle with the main optical axis, which is called the finite field angle, which results in a smaller optical path difference for the light rays deviating from the main optical axis. The final spectrum with ILS error is obtained by convolution of the spectrum with a finite optical path difference and ILS function.
Among them, is the influence of the limited optical path difference in the spectral domain and is also the influence of off-axis effects (including limited field angle).
The influencing factor of instrument line function is a comprehensive effect, and it is difficult to accurately derive the mathematical expression of the function from the physical model. Generally, it needs to be obtained through actual measurement, mainly using monochromatic light sources or molecular absorption spectral lines with narrow linewidth, such as element spectral line lamps, lasers, monochromators, gas absorption cells, etc. For high-resolution spectral instruments, it is necessary to accurately obtain the ILS of each spectral channel. For measuring light sources, there are the following special requirements. Firstly, there must be excellent monochromaticity, which should be one order of magnitude less than the spectral resolution of the instrument. It must have a high radiance output that meets the requirements of interferogram signal-to-noise ratio (SNR). It must fill the field of view (FOV) of the interferometer and obtain complete interference fringes. Finally, the wavelength output must cover the spectral range of the instrument.
According to the above requirements, a new method for measuring the ILS of tunable monochromatic light sources was designed that consists of a of tunable laser, integrating sphere, rotating mirror, wavelength meter and power meter (as shown in Figure 9). The tunable laser is used to output monochromatic light sources with different wavelengths. The laser is symmetrically introduced into the integrating sphere using a rotating mirror. After multiple diffuse reflections of the laser on the inner wall of the sphere, a uniform, quasi Lambertian monochromatic light source is formed at the outlet. The wavelength meter and power meter are used for real-time monitoring of the laser output wavelength and power. The laser has good spatial and temporal coherence. If the laser is directly introduced into the integrating sphere, it forms an irregular intensity distribution in the outgoing light field, which is called speckle. The existence of speckle affects the uniformity and stability of the radiance of the integrating sphere light source. Therefore, the method of rotating the diffusion plate inside the sphere is designed to suppress laser speckle. A micro-DC motor is installed on the integrating sphere. The motor rotates with an animated plate, and the external laser is incident on the rotating diffusion plate.
Figure 9.
Tunable laser monochromatic light source (left is the layout diagram; right is the site diagram).
During the test, the tunable laser and spectrometer respectively are turned on and allowed to stabilize for 20 min to the working state. The laser output wavelength is adjusted to a certain value and the wavelength meter and power meter are used for monitoring. After the wavelength and power are stabilized, the spectrometer collects the interferogram data. Within the range of the greenhouse gas absorption spectrum (1.575 for CO2 absorption band, CH4 selection 1.650 absorption band) scans are performed at intervals of about 0.5 nm and 50 groups of monochromatic light interferogram data are collected at each wavelength point. The restored spectrum is normalized at the maximum signal, the center wavelength of each peak after normalization is shifted to the origin of coordinates, and the ILS data for CO2 (Figure 10a) and CH4 (Figure 10b) are obtained. The instrument spectral resolution is obtained by calculating the FWHM of ILS. The mean values of the CO2 and CH4 channels are 0.255 cm−1 and 0.265 cm−1, respectively, which meet the requirements of satellite payload resolution.
Figure 10.
ILS test results: (a) CO2 channel, and (b) CH4 channel.
4. Methodology
The original data obtained by the spectrometer are interferograms which cannot be directly inverted. First, spectral restoration calculations should be carried out to obtain the greenhouse gas absorption spectrum. The quality control should be carried out on the spectral data, and the subsequent inversion calculations should be carried out on the data that meet the requirements. Through the optimized inversion algorithm, the greenhouse gas column concentration results are finally obtained, and the overall process is shown in the following Figure 11 and Table 2.
Figure 11.
Flow Chart of Greenhouse Gas Retrieval.
Table 2.
Data processing and correction steps of HRFTS.
4.1. Spectral Restoration
The interference data obtained by Fourier spectrometer can only be converted into a spectrum after a series of processing procedures. The inversion of spectral information can obtain the greenhouse gas concentration results. First of all, there are DC and AC components in the interference fringes, so it is necessary to eliminate the useless DC components through a baseline correction. Due to the complex external environment and the internal structure of the instrument, the interference signal obtained by the Fourier spectrometer has errors, which are mainly manifested as abnormal points generated in the interferogram, the nonlinear response of the detector, apodization processing, phase error, etc. After all kinds of errors are corrected, a Fourier transform can be carried out to obtain spectral data. The following focuses on the introduction of algorithms for baseline correction and phase correction of the spectrometer.
4.1.1. Baseline Correction
Due to the interference of the surrounding environment or unstable circuits and other factors, the interferogram collected contains low-frequency noise, which is superimposed on a signal component that changes slowly with the optical path difference. This slowly changing signal component is called the trend term. The trend term is not effective interference information. Its existence interferes with the selection of zero optical path difference position in the spectral restoration process, and the restored spectral curve will overlap with the spectrum of the trend term, resulting in distortion or false spectral peaks in the restored spectrum. Common baseline correction methods include polynomial fitting, difference filtering, empirical mode decomposition, etc. Among them, the empirical mode decomposition (EMD) method can linearize and stabilize the nonlinear and non-stationary signals without any prior information and initial conditions of signals, so it has good adaptability.
The basic idea of the EMD method is that any complex time-domain signal can be decomposed into a finite number of intrinsic mode functions (IMF) and a trend term , namely:
Each IMF component must meet the following two conditions:
(1) Global condition: within the whole data segment, the number of extreme points and zero crossing points is equal or the difference is at most 1;
(2) Locality condition: the mean value of the upper and lower envelope formed by the local maximum and minimum at any point is zero.
The specific steps of baseline correction method based on empirical mode decomposition are as follows:
(1) The cubic spline function is used to fit all local minima of the original interferogram sequence to obtain the upper and lower envelopes, so that the mean functions of the upper and lower envelopes are ;
(2) Definition
If does not meet the two conditions of the IMF component, is taken as the new decomposition objective function and the above screening steps are repeated until the first IMF component meeting the conditions is found, which is recorded as . The residual error between the original signal and the IMF component is calculated:
The above steps are repeated with as a new sequence to extract in turn the IMF components . The sum of K IMF components is the effective interferogram after eliminating the trend term.
The original interferograms collected by the spectrometer are decomposed by EMD to obtain 8 IMF components and 1 margin (Figure 12). IMF9 and the margin together constitute the trend item of the interferogram, as shown in the figure below.
Figure 12.
EMD Decomposition Results of Interferogram.
Therefore, by removing it, an effective interferogram without low-frequency baseline can be obtained, as shown in Figure 13.
Figure 13.
Effect Picture of Interferogram Baseline Correction.
4.1.2. Phase Correction
Ideally, the interferogram should be symmetrical about the center of the zero optical path difference. However, in the actual sampling process, due to the optical system deviation, electronic circuit error, uneven sampling and other factors, the zero optical path difference of the interferogram is offset, thus introducing phase error . Asymmetric interferograms with phase errors are shown as:
The recovered spectrum is:
where and are the real part and imaginary part of the restored spectrum, respectively, from which the phase error can be calculated:
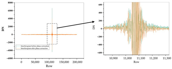
The commonly used phase correction methods mainly include the Forman convolution method and the Mertz product method. The basic idea of the Forman convolution method is to obtain symmetrical interferograms by convolving the original sampled interferograms and the function of phase error. The phase error is calculated based on the zero-crossing small bilateral interferograms according to the above formula. The advantage of the Forman convolution method is that it has high calculation accuracy and good effects for both linear and nonlinear phase errors. The disadvantage is that the convolution process is complex (if the single correction result is not satisfactory, multiple convolutions are required) and time-consuming. The Mertz product method also uses the phase error calculated from small bilateral interferograms to correct the entire sampled interferograms. Different from the Forman method, the Mertz product method obtains a phase error of original resolution through interpolation and fitting, so as to obtain the spectrum after phase correction. The method is carried out in the frequency domain, and the calculation speed is fast, but the correction effect for nonlinear errors is not ideal. The Figure 14 shows the interferogram comparison results before and after the phase correction using the Forman method.
Figure 14.
Comparison of interferograms before and after phase correction.
4.1.3. Fourier Transform
Fourier transform is the core of Fourier spectrum technology and it truly realizes the conversion from interference information to spectral information. Fast Fourier transform (FFT) technology is mostly used in engineering. By continuously converting the long sequence of discrete Fourier transform to the short sequence of discrete Fourier transform, the calculation time is greatly reduced from (N is the number of sampling points) to . In order to provide the signal-to-noise ratio of spectral data, ten interferograms are generally used to average the single observation data, which takes about 3 min. The reconstructed spectrum is obtained by averaging the interferograms acquired by the ground-based carbon column total amount observed many times through baseline correction, apodization, phase correction and Fourier transform, as shown in the Figure 15. The spectral range is 5000~14,000 cm−1 (0.70~2.0 μm).
Figure 15.
Spectral curve of HRFTS after Fourier transform.
4.2. Quality Control
Compared with satellite-based greenhouse gas remote sensing measurement, the ground-based spectrometer observation is subject to less interference from the atmosphere and other elements. However, in the measurement process, due to the influence of a variety of interference elements such as the occlusion of foreign objects in the optical path and the fluctuation of solar light, the measurement results are ultimately unreliable, and such spectral data cannot be inversed. In the process of utilizing spectral in gas inversion, this anomaly is inevitable, so quality control of multiple elements is required before inversion to ensure the reliability of the final inversion results. HRFTS is a newly developed instrument, which has some deficiencies in spectral stability and other aspects. Therefore, data quality control has been implemented for this instrument.
4.2.1. Measuring Interference
Since the spectrometer tracks the sun and measures the greenhouse gas content on the path connecting with the sun, when there are external environmental interference factors on the measurement path, such as people, cars, trees (leaves), wires, buildings and clouds (as shown in Figure 16), the final measurement data quality is subject to fatal interference. In the measurement process, in order to shield the influence of these elements, a synchronous camera is used to track and shoot (pictures and video capture) during the measurement process. At the same time, the measuring personnel record the environmental information at the time of measurement and adjust the measuring instruments to ensure the authenticity and reliability of the data measurement.
Figure 16.
Typical interference factors in optical path measurement.
The following is a measurement process (Figure 17) that encountered wire interference and high-temperature chamber gas emission sources (power plants) in the optical path of the field of vision measurement. With the change in the solar altitude angle, there wire interference noise in the measurement process occurs at a certain stage. At the same time, by comparing the CO2 content inversion results before and after the interference, it can be clearly seen that the CO2 concentration after the interference is significantly different from the measurement results before and after the interference.
Figure 17.
Line of sight interference (left figure) and anomaly inversion results (right figure).
4.2.2. Solar Light Fluctuation
The ground-based HRFTS measures the solar spectrum and uses the transmission and absorption characteristics of the solar spectrum in the atmosphere to obtain the abundance of atmospheric greenhouse gases. In theory, the incident light intensity detected by the instrument changes slowly with the change in the solar altitude angle during the observation of one day. However, cloud interference, instrument anomalies and other comprehensive factors tend to occur in the measurement process, leading to sudden changes (increase or decrease) in the incident light intensity. These data also do not meet the inversion requirements. Figure 18 shows the change in the average intensity of the interferogram (reflecting the value of solar intensity) measured by the spectrometer within the time range of a day. It can be seen that there is a sudden change in some periods.
Figure 18.
Mean value change of interferogram during one day measurement.
In addition, the spectrometer continuously collects multiple interferograms for averaging in order to improve the signal-to-noise ratio of data in a single measurement process. Theoretically, the light intensity does not change in a short time, and the spectral data should be consistent. Figure 19 shows that the spectral data is inconsistent in a measurement process (six interference data are collected consecutively to recover the average spectrum). At this time, two processing methods can be used. The first is directly removing the abnormal spectrum. In the second method, the baseline of the abnormal spectrum is corrected, and the average is taken as a measurement result after reaching the baseline of normal spectrum data (as shown in Figure 20).
Figure 19.
Spectral fluctuation during one measurement.
Figure 20.
Results after baseline correction of spectral data.
4.3. Gas Inversion
The spectrometer collects the solar spectrum and obtains the greenhouse gas concentration through inversion. Representative inversion algorithms mainly include the GFIT inversion algorithm developed by the Jet Propulsion Laboratory of the United States [18], the PROFFIT algorithm developed by Hasef et al. of the Kalruse Atmospheric Laboratory [19], and the SFIT algorithm developed by RINSLANDC et al. [20]. The PROFFIT and SFIT algorithms based on the optimal estimation algorithm are widely used and constantly updated. The PROFFIT inversion algorithm is applicable to the inversion of gas concentration in the near infrared band, and the SFIT inversion algorithm is applicable to the inversion of gas concentration in the mid infrared band. The Tikhonov–Philips constraint condition is used to perform inversion on the logarithmic scale, which has the advantage of avoiding negative results and reducing the operation time. The iteration strategy of the inversion algorithm uses Gauss–Newton iteration. In this paper, the PROFFIT inversion algorithm is used. Compared with the PROFFIT algorithm, spectral calibration coefficient correction and real-time acquisition of environmental parameters are added.
4.3.1. Spectral Correction
Before inversion iteration calculation, it is necessary to superimpose the theoretical spectrum of forward simulation and the measured spectrum data measured by the spectrometer. There is a certain deviation between their spectral peaks, which requires accurate registration. Figure 21 shows the spectral coordinate deviation of each absorption peak in the CO2 channel, and the average spectral deviation of each absorption peak is 0.03 cm−1.
Figure 21.
Position deviation of absorption peak between theoretical spectrum and measured spectrum.
Due to the nonlinear effect of spectral peak deviation, the “peak valley wavelength” mapping relationship of absorption spectral lines can be expressed as follows:
The cost function is defined as:
The goal of wavelength correction is to find a set of correction coefficients Δαk, which can minimize the adjusted cost function. In general, the relationship between the cost function and the independent variable is nonlinear, and the relationship between them is not analytical. Therefore, a nonlinear iteration method is required to find the most appropriate one to reduce alignment error. The common methods of nonlinear iteration include the steepest descent method, Gauss–Newton method and Levenberg–Marquardt (LM) method. The steepest descent method has good stability but its convergence speed is too slow. The Gauss–Newton method is fast in solving, but singular matrices and non-positive definite matrices tend to appear in the process of solving, which makes it difficult to carry out iteration. The Gauss–Newton method is sensitive to the initial values of the model parameters, and improper settings will lead to convergence failure of iteration. The Levenberg–Marquardt method combines the advantages of the gradient method and Gauss–Newton method, with faster and more stable convergence speed. In this paper, the algorithm is used to iteratively correct the positions of spectral peaks.
The expression of the LM algorithm is:
where, is the sum of residual squares, that is, the cost function; is the Jacobian matrix of partial differential of pair of parameter vectors, I is the identity matrix, and is the damping factor. The algorithm process is as follows:
- (1)
- Given initial value, , > 0, ε > 0;
- (2)
- Calculation of ;
- (3)
- Calculate according to the LM algorithm expression;
- (4)
- Judge whether is less than ε. If it is less, then end the iteration, otherwise continue with step (5);
- (5)
- If , will increase; if < , will be reduced.
The LM iteration algorithm is used to calculate each absorption peak of the measured spectrum and theoretical spectrum and obtain the correction value of each wavelength point. Then the corrected measured spectrum and theoretical spectrum are superimposed, and the spectral coordinate deviation of each absorption peak is calculated, with the average value of 0.008 cm−1, as shown in Figure 22. From the results of fine registration, it can be seen that the spectral errors of each absorption peak fluctuate around the zero value, and there is no overall systematic increasing trend. The fluctuation outliers are eliminated.
Figure 22.
Experimental results after fine spectral registration.
4.3.2. Profiles Reconstruction
In the process of greenhouse gas inversion, the correct selection of atmospheric environmental parameters (temperature, pressure, water vapor, etc.) is an important indicator to determine whether the final inversion result is reliable. The reanalysis data obtained through assimilation and correction, such as the NCEP (National Centers for Environmental Prediction) dataset, ECMWF (European Centre for Medium-Range Weather) dataset and GRAPHES dataset, can be selected. For ground-based greenhouse gas inversion, there are some shortcomings in the timeliness and spatial resolution; for example, NCEP provides data with time resolution of 1 day, 6 h and 1 month, and a spatial resolution of 2.5° × 2.5°. The best approach is to obtain the corresponding atmospheric environmental parameter profiles in real time during the measurement process, but this requires high experimental conditions. In this paper, a portable ground-based meteorological observation station is set up to obtain the ground meteorological environment parameters in real time, and the accuracy of the environment parameters is improved through the profile reconstruction of the reanalysis data.
According to the reanalysis data of temperature, pressure and water vapor density, combined with the real-time surface atmospheric parameters, the atmospheric parameter profile at any time can be obtained through scale factor interpolation. The reanalysis data are used for the atmospheric temperature and pressure above 30 km and the water vapor density profile above 10 km. The specific methods are as follows:
The scale factor is set, where h is the height, and the altitude of the station is set as The maximum interpolation height of each atmospheric parameter scale factor is . At the scale factor f (h ≥ ) above the altitude = 1.0 (reanalysis data mode is used above this altitude). For temperature and air pressure, = 30 km, and for water vapor density, = 10 km. The subscripts represent temperature, pressure, and water vapor density respectively. represent ground measured data. and represent the reanalysis data analysis of each atmospheric parameter at each altitude.
At the altitude where the station is located, the scaling factors of temperature, air pressure and water vapor density are:
within the height range of . is obtained according to the height linear “c” value, that is:
In the range of altitude, the temperature, air pressure and water vapor density at altitude are:
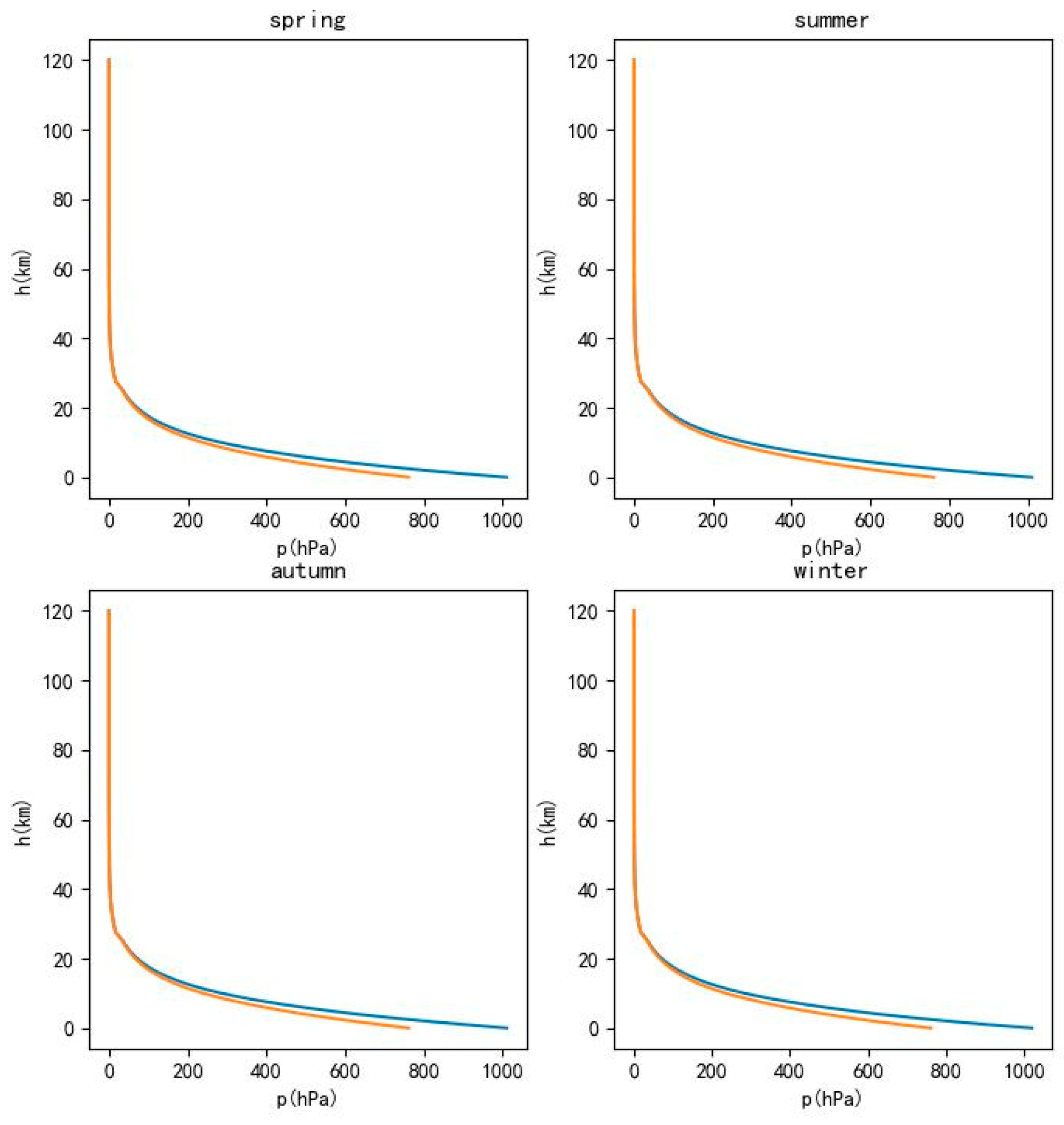
Using the above method, the observation point of the remote sensing experimental site of Hefei Science Island (117°09′E, 31°54′N) is considered as an example. The meteorological station at this station conducts observation year-round and has many years of historical data. The observation data of one day in the four seasons of 2021 are selected to reconstruct the reanalysis data ECMWF atmospheric profile. The results are shown in Figure 23, Figure 24 and Figure 25. The yellow curve is the reanalysis data profile, and the blue curve is the reconstructed curve. It can be seen from the above calculation results that the reconstruction of temperature, pressure and water vapor data based on the near ground temperature, pressure and water vapor data has a great impact on the near ground profile, while the upper atmosphere has little impact, which also shows that it is necessary to modify the temperature, pressure and water vapor profile based on the actual measured data near the ground. At the same time, due to the changes in the temperature, pressure and water vapor profiles, it can be seen from the static atmospheric equation that the distribution characteristics of atmospheric molecules also changes, which is also illustrated by the reconstructed profile graphics.
Figure 23.
Temperature profile reconstruction results (yellow curve—profile before correction, blue curve—profile after correction).
Figure 24.
Pressure profile reconstruction results (yellow curve—profile before correction, blue curve—profile after correction).
Figure 25.
Water vapor profile reconstruction results (yellow curve—profile before correction, blue curve—profile after correction).
4.3.3. Experiment
In order to verify the performance of the HRFTS instrument, we compared the equipment with the data of EM27/SUN and TCCON stations because these two datasets are recognized greenhouse monitoring standard data. Before the comparison, we also calibrated the data of EM27/SUN and TCCON stations, which have good consistency. Our EM27/SUN instrument, number SN156, was received in October 2021 and has been measured since then. In particular, the instrument was factory verified on 5 September 2021 and the installation specifications were verified on 26 October 2021, both of which ensured that the instrument met the performance specifications given by the manufacturer. Meanwhile, we performed EM27 with data from the nearby TCCON site (Hefei, China, (31°91′N, 117°17′E)), as shown in Figure 26 and Figure 27, where the agreement reached 0.912 for XCO2 and 0.958 for XCH4.
Figure 26.
EM27/SUN and TCCON-HEFEI multi-day XCO2 and XCH4 observation results.
Figure 27.
Consistency between XCO2 and XCH4 of EM27/SUN and TCCON-HEFEI.
In May 2022, it is sunny, cloudless, the atmosphere is mixed evenly, and the optical path at the instrument’s entrance pupil is pure without interference. The HRFTS and EM27/SUN are observed synchronously, and the same environmental parameters are used to reconstruct the profile data for CO2 concentration inversion. After the measured data are inversed to the atmospheric CO2 column concentration, the results are matched and compared. The experimental site is shown in the following Figure 28.
Figure 28.
Synchronous observation of HRFTS and EM27/SUN.
Through synchronous measurement, the interference free and high-quality spectral data were screened and time matched with the EM27/SUN data. Then, the inversion algorithm was used to retrieve the CO2 and CH4 concentrations. Through comparison, it was found that the average deviations between the CO2 and CH4 concentrations retrieved from the spectrometer observation data and the inversion results of EM27/SUN were 0.83 ppm and 10.15 ppb (as shown in Figure 29), and the results of the two observation devices were consistent.
Figure 29.
Comparison between spectrometer and EM27/SUN inversion results.
Scientists at the Anhui Institute of Optics and Fine Mechanics (AIOFM), Hefei Institutes of Physical Science, Chinese Academy of Sciences have operated a new ground-based high-resolution Fourier Transform Spectrometer (FTS) for remote sensing of greenhouse gases and pollution gases according to a program finalized on 19 June 2017 in Hefei. This is China’s first observatory of TCCON. The TCCON is operated by the author’s institute and is 500 m away from the spectrometer experimental site in a straight line, as shown in the Figure 30. In June 2022, we carried out a comparative experiment between HRFTS and TCCON-HEFEI. The inversion deviations of CO2 and CH4 were 1.0 ppm and 20 ppb, respectively.
Figure 30.
Results of comparison between TCCON-HEFEI and HRFTS spectrometer.
The errors in the comparison results between HRFTS, EM27/SUN and TCCON show that the instrument is affected by spectral stability, uncertainty of the calibration coefficient, etc. In the future, it is necessary to optimize the instrument performance and improve the inversion algorithm.
5. Results
The atmospheric main greenhouse gas monitor (GMI) is a CO2 and CH4 detection payload on the hyperspectral observation satellite (GF5-02), which was successfully launched at Taiyuan Satellite Launch Center on 7 September 2021. It is the only passive carbon monitoring satellite in China that can normally obtain valid data in orbit. GMI light splitting adopts the principle of spatial heterodyne spectrum technology, which is different from the greenhouse gas satellite remote sensor of the Fourier interference (GOSAT) and grating light splitting (OCO-2) systems. The composition and physical objects of the load optical system are shown in Figure 31. GMI has four optical channels: O2 channels (center wavelength 0.765 μm); the CO2 weak absorption channel (central wavelength 1.575 μm) (defined as CO2-1); the CO2 strong absorption channel (central wavelength 2.050 μm) (defined as CO2-2); and the CH4 channel (center wavelength 1.650 μm). See Table 3 for the main technical indicators of the payload.
Figure 31.
Composition of the GMI load optical system (above figure) and physical photos (bottom figure).
Table 3.
Main performance index of GMI.
The spectrometer was placed in the Hefei Science Island Remote Sensing Experimental Field to carry out the first synchronous calibration observation of the hyperspectral observation satellite GMI. The site is located in the northwest suburb of Hefei, about 10 km away from the urban area. The site is surrounded by lakes and far from pollution sources that affect atmospheric retrieval (as shown in Figure 32). The surrounding site is open, and there is no object blocking the sun during the experiment. For atmospheric inversion, the weather conditions are required to be clear and cloudless for at least half a day. In addition, in order to obtain the actual aerosol and meteorological parameters, a CE318 solar radiometer (to obtain the aerosol optical thickness) and automatic weather station (to measure the surface temperature, humidity and pressure, and reconstruct the reanalysis data profile) were set up synchronously.
Figure 32.
GMI data product foundation authenticity verification laboratory.
Because ground-based observation is limited by weather conditions and satellite ground sampling points are affected by observation mode and subsatellite point location changes, ground-based observation and satellite observation are rarely accurate at the same location and time. At present, the matching method of satellite and ground-based observations is to average satellite and ground-based observations within a certain longitude, latitude and time window [9]. The GMI of the GF5-02 satellite is in a sun synchronous orbit, and the transit time is 10:30 in the local morning. In order to ensure that the observation geometric path of the spectrometer and GMI is the closest during the ground-based verification experiment, the observation mode of GMI is sub satellite point observation. According to the satellite orbit forecast, the transit test site was passed on 16 September 2022. The difference between the longitude and latitude of the satellite sub satellite point was within 0.3°, and the weather on that day was fine. The aerosol optical thickness measured by CE318 before and after the satellite transit is shown in Figure 33.
Figure 33.
Aerosol optical thickness measured by CE318.
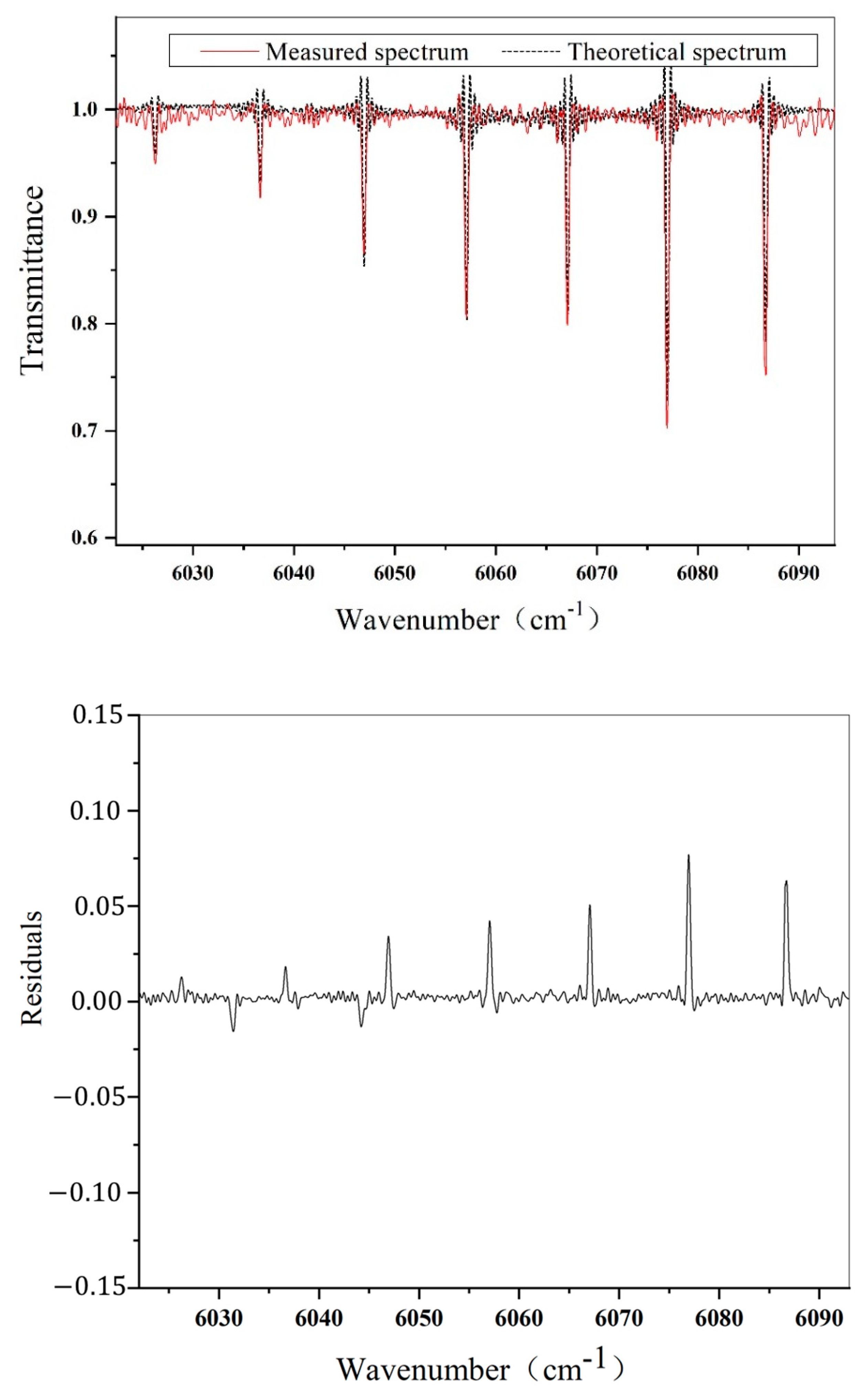
The GMI greenhouse gas inversion results are derived from the level 2 column concentration products of the ground treatment system jointly developed by the research team and the user unit [21,22]. It was the first time that the satellite ground synchronization verification and the GMI payload achieved high space-time matching, and the verification results could truly represent the on-orbit detection capability of the satellite load. Since the GMI payload crossed at 10:30 a.m., in order to increase the objectivity of the data, the ground-based Fourier spectrometer carried out synchronous measurement for 4 h continuously at about one spectral data per minute. Spectral restoration, quality control, and spectral fine registration were performed on the obtained interference data. The Figure 34 shows the superposition of the measured spectrum and theoretical spectrum of the spectrometer during the satellite transit.
Figure 34.
Measured spectra and corresponding simulated spectra of CO2 and CH4 channels obtained by HRFTS. ((a): theoretical and measured spectra, (b): difference between theoretical and measured spectra).
The obtained ground-based observation spectra were inverted to obtain the inversion results of CO2 and CH4 continuously observed. The GMI inversion results are directly derived from the secondary products of the ground processing system. The average CO2 obtained by the spectrometer in the corresponding time period was 415.7, and the concentration at the GMI transit time was 414.2 ppm, with a difference of 1.5 ppm. The mean CH4 obtained by the spectrometer in the corresponding time period was 1902.4 ppb, and the concentration at the GMI transit time was 1891.1, with a difference of 11.3 ppb (Figure 35).
Figure 35.
HRFTS and GMI inversion results.
6. Conclusions
Due to the complexity of satellite remote sensing links for atmospheric composition, there are many difficulties and uncertainties in data processing and composition retrieval. As a component of satellite remote sensing technology, high-precision retrieval is the core technology of satellite remote sensing. On the other hand, high-precision inversion needs to be supported by authenticity testing means. Ground observation results can systematically calibrate and verify the load observation results and provide timely correction of systematic errors of on orbit observation. The ground-based high-resolution spectrometer uses Fourier Transform Spectroscopy (FTS) to perform spectral light splitting, uses the direct sunlight as the system’s receiving light source, and uses the interference modulation of the signal source to obtain the spectrum of the corresponding absorption band of greenhouse gases. Through the inversion of the measured whole layer of high-resolution large gas transmittance spectrum, high-precision atmospheric CO2 and CH4 integral column concentrations can be obtained. The method is applicable to high-precision observation equipment used for satellite foundation authenticity verification, and has portable characteristics. It can select suitable areas (such as a satellite calibration field) for continuous observation. The spectrometer developed in this paper represents an integrated design consisting of a portable detection system, interferometer components, a high-precision solar tracking system and other core components. Combined with the ground-based carbon column total amount detection data processing and inversion algorithm, it determines the total amount of the greenhouse gas column, which has good consistency with EM27/SUN inversion. The spectrometer was used to verify the accuracy of the CO2 and CH4 products of the only passive greenhouse gas load GMI launched recently in China, with high space-time matching and representative verification results.
With the proposal of China’s dual carbon strategy, pollution reduction and carbon reduction will become one of the key tasks of atmospheric environment remote sensing in the future. This spectrometer can not only serve satellite verification, but also be extended to dual carbon monitoring and assessment. The remote sensing observation result is the atmospheric integral column concentration data, which is not affected by the atmospheric boundary layer and can represent the regional carbon emissions. In addition, remote sensing observation has the advantages of wide regional coverage and low labor and material resources consumption. Due to the limited amount of satellite observation data, carbon flux estimation in urban areas needs to be carried out using ground-based remote sensing monitoring data and satellite remote sensing observation data. Preprocessing satellite remote sensing data and ground-based monitoring data is necessary for data quality control. Preparing the prior list, meteorological field, boundary field, background field and other data of the target city is also necessary. The atmospheric transmission model is used to simulate and calculate the CO2 concentration distribution characteristics of the urban carbon flux, and the ensemble Kalman filter assimilation inversion method is used to obtain the CO2 concentration distribution and carbon flux of the city according to the satellite ground measured data and simulated calculation data. This provides a verification reference for multi-level carbon emission flux accounting results, and supports the management and control of the key emission areas and time periods, as well as the formulation of pollution reduction and carbon reduction policies.
Author Contributions
Conceptualization, X.W.; Data curation, H.L.; Formal analysis, Z.L.; Funding acquisition, W.X.; Investigation, H.Y.; Methodology, H.Y.; Project administration, W.X.; Resources, S.W.; Software, F.Z.; Supervision, H.S.; Validation, C.L.; Writing—original draft, H.S.; Writing—review and editing, H.S. and Z.L. All authors have read and agreed to the published version of the manuscript.
Funding
This research was funded by Key deployment projects of the Chinese Academy of Sciences (ZDRW-KT-2020-3).
Data Availability Statement
Restrictions apply to the availability of these data. GF-5 GMI Data was obtained from CRESDA and are available [http://www.cresda.com/CN/, accessed on 20 December 2022] with the permission of CRESDA.
Conflicts of Interest
The authors declare no conflict of interest.
References
- Rogelj, J.; Den Elzen, M.; Höhne, N.; Fransen, T.; Fekete, H.; Winkler, H.; Schaeffer, R.; Sha, F.; Riahi, K.; Meinshausen, M. Paris Agreement climate proposals need a boost to keep warming well below 2 °C. Nature 2016, 534, 631–639. [Google Scholar] [CrossRef]
- Jiang, K. IPCC Special Report on 1.5 °C Warming: A Starting of New Era of Global Mitigation. Clim. Chang. Res. 2018, 14, 640–642. [Google Scholar]
- Kuze, A.; Suto, H.; Nakajima, M.; Hamazaki, T. Thermal and near infrared sensor for carbon observation Fourier-transform spectrometer on the Greenhouse Gases Observing Satellite for greenhouse gases monitoring. Appl. Opt. 2009, 48, 6716–6733. [Google Scholar] [CrossRef]
- Miller, C.E.; Crisp, D.; DeCola, P.L.; Olsen, S.C.; Randerson, J.T.; Michalak, A.M.; Alkhaled, A.; Rayner, P.; Jacob, D.J.; Suntharalingam, P.; et al. Precision requirements for space-based data. J. Geophys. Res. Atmos. 2007, 112. [Google Scholar] [CrossRef]
- Wang, S.; van der A, R.J.; Stammes, P.; Wang, W.; Zhang, P.; Lu, N.; Zhang, X.; Bi, Y.; Wang, P.; Fang, L. Carbon Dioxide Retrieval from TanSat Observations and Validation with TCCON Measurements. Remote Sens. 2020, 12, 2204. [Google Scholar] [CrossRef]
- Xiong, W. Greenhouse gases Monitoring Instrument(GMI) on GF-5 satellite (invited). Infrared Laser Eng. 2019, 48, 303002. [Google Scholar] [CrossRef]
- Pollard, D.F.; Sherlock, V.; Robinson, J.; Deutscher, N.M.; Connor, B.; Shiona, H. The Total Carbon Column Observing Network site description for Lauder, New Zealand. Earth Syst. Sci. Data 2017, 9, 977–992. [Google Scholar] [CrossRef]
- Wunch, D.; Toon, G.C.; Blavier, J.-F.L.; Washenfelder, R.A.; Notholt, J.; Connor, B.J.; Griffith, D.W.T.; Sherlock, V.; Wennberg, P.O. The Total Carbon Column Observing Network. Philos. Trans. R. Soc. A Math. Phys. Eng. Sci. 2011, 369, 2087–2112. [Google Scholar] [CrossRef] [PubMed]
- Nguyen, H.; Osterman, G.; Wunch, D.; O’Dell, C.; Mandrake, L.; Wennberg, P.; Fisher, B.; Castano, R. A method for colocating satellite XCO2 data to ground-based data and its application to ACOS-GOSAT and TCCON. Atmos. Meas. Tech. 2014, 7, 2631–2644. [Google Scholar] [CrossRef]
- Wunch, D.; Wennberg, P.O.; Osterman, G.; Fisher, B.; Naylor, B.; Roehl, C.M.; O’Dell, C.; Mandrake, L.; Viatte, C.; Griffith, D.W.; et al. Comparisons of the Orbiting Carbon Observatory-2 (OCO-2) XCO2 measurements with TCCON. Atmos. Meas. Tech. 2017, 10, 2209–2238. [Google Scholar] [CrossRef]
- Gisi, M.; Hase, F.; Dohe, S.; Blumenstock, T.; Simon, A.; Keens, A. XCO2-measurements with a tabletop FTS using solar absorption spectroscopy. Atmos. Meas. Tech. 2012, 5, 2969–2980. [Google Scholar] [CrossRef]
- Velazco, V.A.; Deutscher, N.M.; Morino, I.; Uchino, O.; Bukosa, B.; Ajiro, M.; Kamei, A.; Jones, N.B.; Paton-Walsh, C.; Griffith, D.W.T. Satellite and ground-based measurements of XCO2 in a remote semiarid region of Australia. Earth Syst. Sci. Data 2019, 11, 935–946. [Google Scholar] [CrossRef]
- Frey, M.; Sha, M.K.; Hase, F.; Kiel, M.; Blumenstock, T.; Harig, R.; Surawicz, G.; Deutscher, N.M.; Shiomi, K.; Franklin, J.E.; et al. Building the COllaborative Carbon Column Observing Network (COCCON): Long-term stability and ensemble performance of the EM27/SUN Fourier transform spectrometer. Atmos. Meas. Tech. 2019, 12, 1513–1530. [Google Scholar] [CrossRef]
- Jacobs, N.; Simpson, W.R.; Wunch, D.; O’Dell, C.W.; Osterman, G.B.; Hase, F.; Blumenstock, T.; Tu, Q.; Frey, M.; Dubey, M.K.; et al. Quality controls, bias, and seasonality of CO2 columns in the boreal forest with Orbiting Carbon Observatory-2, Total Carbon Column ObservingNetwork, and EM27/SUN/SUN measurements. Atmos. Meas. Tech. 2020, 13, 5033–5063. [Google Scholar] [CrossRef]
- Frey, M.; Hase, F.; Blumenstock, T.; Groß, J.; Kiel, M.; Tsidu, G.M.; Schäfer, K.; Sha, M.K.; Orphal, J. Calibration and instrumental line shape characterization of a set of portable FTIR spectrometers for detecting greenhouse gas emissions. Atmos. Meas. Tech. 2015, 8, 3047–3057. [Google Scholar] [CrossRef]
- Hedelius, J.K.; Viatte, C.; Wunch, D.; Roehl, C.M.; Toon, G.C.; Chen, J.; Jones, T.; Wofsy, S.C.; Franklin, J.E.; Parker, H.; et al. Assessment of errors and biases in retrievals of XCO2, XCH4, XCO, and XN2O from a 0.5 cm–1 resolution solar-viewing spectrometer. Atmos. Meas. Tech. 2016, 9, 3527–3546. [Google Scholar] [CrossRef]
- Liu, D.; Huang, Y.; Cao, Z.; Lu, X.; Liu, X. The Influence of Instrumental Line Shape Degradation on Gas Retrievals and Observation of Greenhouse Gases in Maoming, China. Atmosphere 2021, 12, 863. [Google Scholar] [CrossRef]
- Connor, B.J.; Sherlock, V.; Toon, G.; Wunch, D.; Wennberg, P.O. GFIT2: An experimental algorithm for vertical profile retrieval from near-IR spectra. Atmos. Meas. Tech. 2016, 9, 3513–3525. [Google Scholar] [CrossRef]
- Hase, F.; Frey, M.; Blumenstock, T.; Groß, J.; Kiel, M.; Tsidu, G.M.; Schäfer, K.; Sha, M.K.; Orphal, J. Application of portable FTIR spectrometers for detecting greenhouse gas emissions of the major city Berlin. Atmos. Meas. Tech. 2015, 8, 3059–3068. [Google Scholar] [CrossRef]
- Meier, A.; Goldman, A.; Manning, P.S.; Stephen, T.M.; Rinsland, C.P.; Jones, N.B.; Wood, S.W. Improvements to air mass calculations for ground-based infrared measurements. J. Quant. Spectrosc. Radiat. Transf. 2004, 83, 109–113. [Google Scholar] [CrossRef]
- Shi, H.; Li, Z.; Ye, H.; Luo, H.; Xiong, W.; Wang, X. First Level 1 Product Results of the Greenhouse Gas Monitoring Instrument on the GaoFen-5 Satellite. IEEE Trans. Geosci. Remote. Sens. 2020, 59, 899–914. [Google Scholar] [CrossRef]
- Ye, H.; Shi, H.; Li, C.; Wang, X.; Xiong, W.; An, Y.; Wang, Y.; Liu, L. A Coupled BRDF CO2 Retrieval Method for the GF-5 GMI and Improvements in the Correction of Atmospheric Scattering. Remote. Sens. 2022, 14, 488. [Google Scholar] [CrossRef]
Disclaimer/Publisher’s Note: The statements, opinions and data contained in all publications are solely those of the individual author(s) and contributor(s) and not of MDPI and/or the editor(s). MDPI and/or the editor(s) disclaim responsibility for any injury to people or property resulting from any ideas, methods, instructions or products referred to in the content. |
© 2023 by the authors. Licensee MDPI, Basel, Switzerland. This article is an open access article distributed under the terms and conditions of the Creative Commons Attribution (CC BY) license (https://creativecommons.org/licenses/by/4.0/).


































