Characteristics of Raindrop Size Distributions in the Southwest Mountain Areas of China According to Seasonal Variation and Rain Types
Abstract
1. Introduction
2. Data and Methods
2.1. Observation Sites and Instruments
2.2. Quality Control and Data Processing
2.3. Classification of Rain Types
2.4. Climatological Backgrounds
2.5. Precipitation Duration and Rainfall Contribution
3. Results
3.1. Microphysical Parameter Characteristics
3.2. Characteristics of RSD
3.3. Distribution of Dm and log10Nw
3.4. μ–Λ Relationship
3.5. Z–R Relationship
3.6. KE–R Relationship
3.7. Comparison of RSD at Different Heights
4. Discussion
5. Conclusions
- (1)
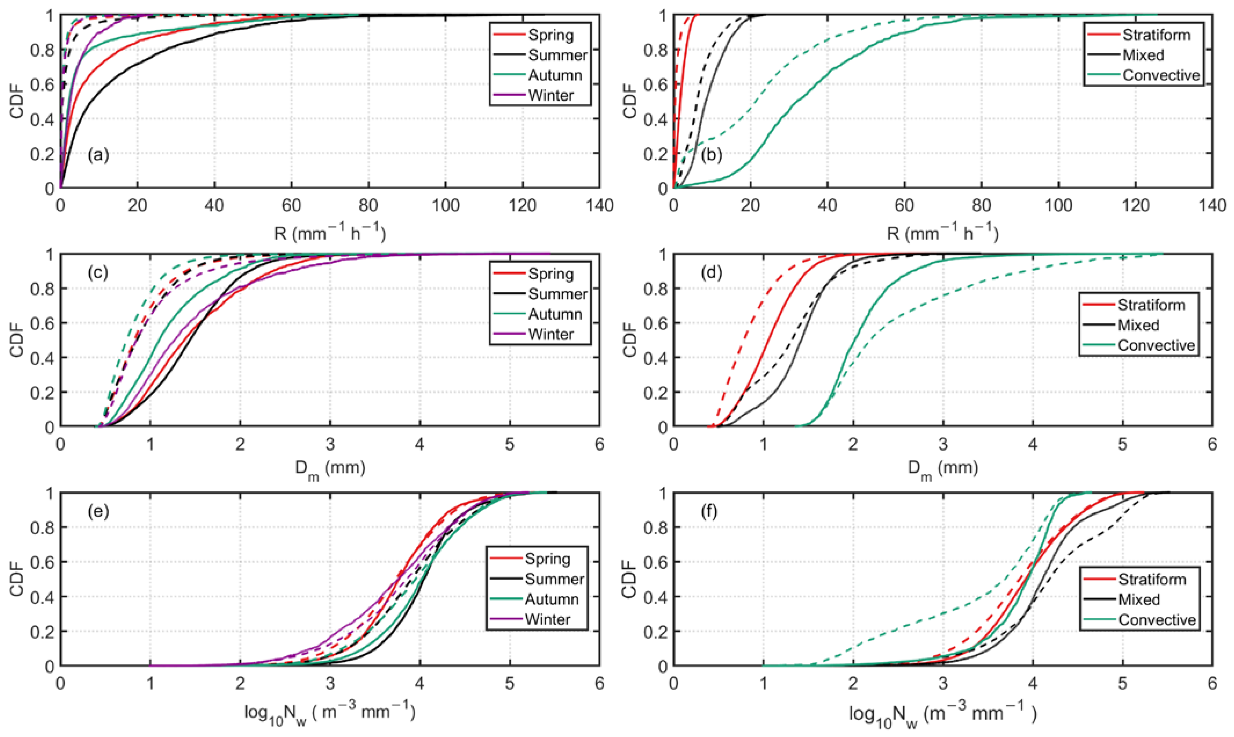
- Precipitation was mainly stratiform rain in the southwest mountain areas, accounting for 92.7% of the total precipitation time, while the precipitation time of mixed rain and convective rain accounted for 6.1% and 1.6%, respectively. Winter rainfall was dominated by convective rain (62.9%), while, in the other seasons, the total contribution of mixed rain and stratiform rain to the rainfall amount was more than 80%. The composite raindrop spectra for stratiform rain and mixed rain were unimodal, while that of convective rain was multi-peaked, with their peaks being one or two orders of magnitude higher than those of the plains. The peaks of mixed rain were the highest in all the seasons.
- (2)
- The Dm of stratiform rain was the smallest, and the log10Nw of mixed rain was the largest. The convective rain in spring and autumn was very close to the ocean-like convective mass. In winter, the stratiform rain in the southwest mountains had a small Dm and large log10Nw, while convective rain had a large Dm and small log10Nw, reflecting an N0 jump effect.
- (3)
- There was a good binomial fitting relationship between the μ and Λ of the RSDs of the three rain types in the southwest mountain areas. Given the same Λ value, the μ-Λ relationship in the southwest mountain areas had a higher μ than that in Florida, which resulted from a higher Dm in the southwest mountain areas. The Z–R relationship varied with geographical location, climatic condition, and rain types. The standard relationship Z = 300R1.4 used in the radar estimation of precipitation partially overestimated stratiform rain and mixed rain in the southwest mountain areas, especially stratiform rain. Given the same high R, the KE was larger in the southwest mountain areas than in other areas, which made it more prone to natural disasters.
- (4)
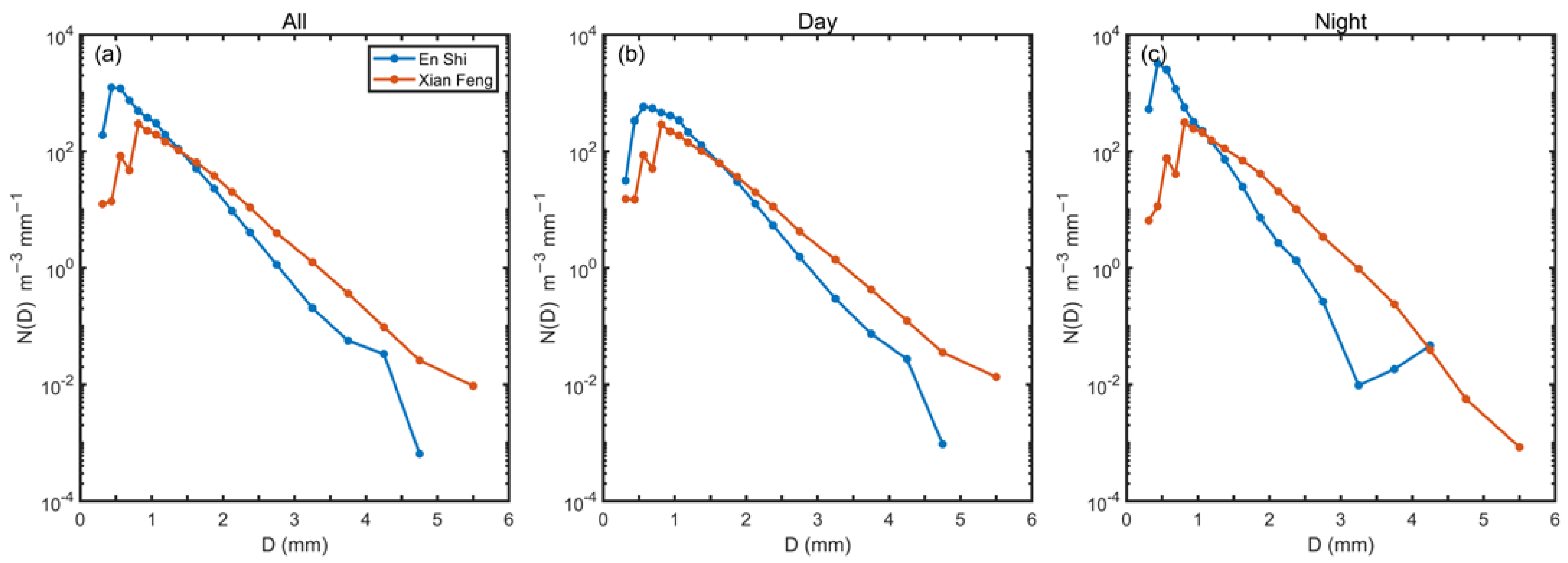
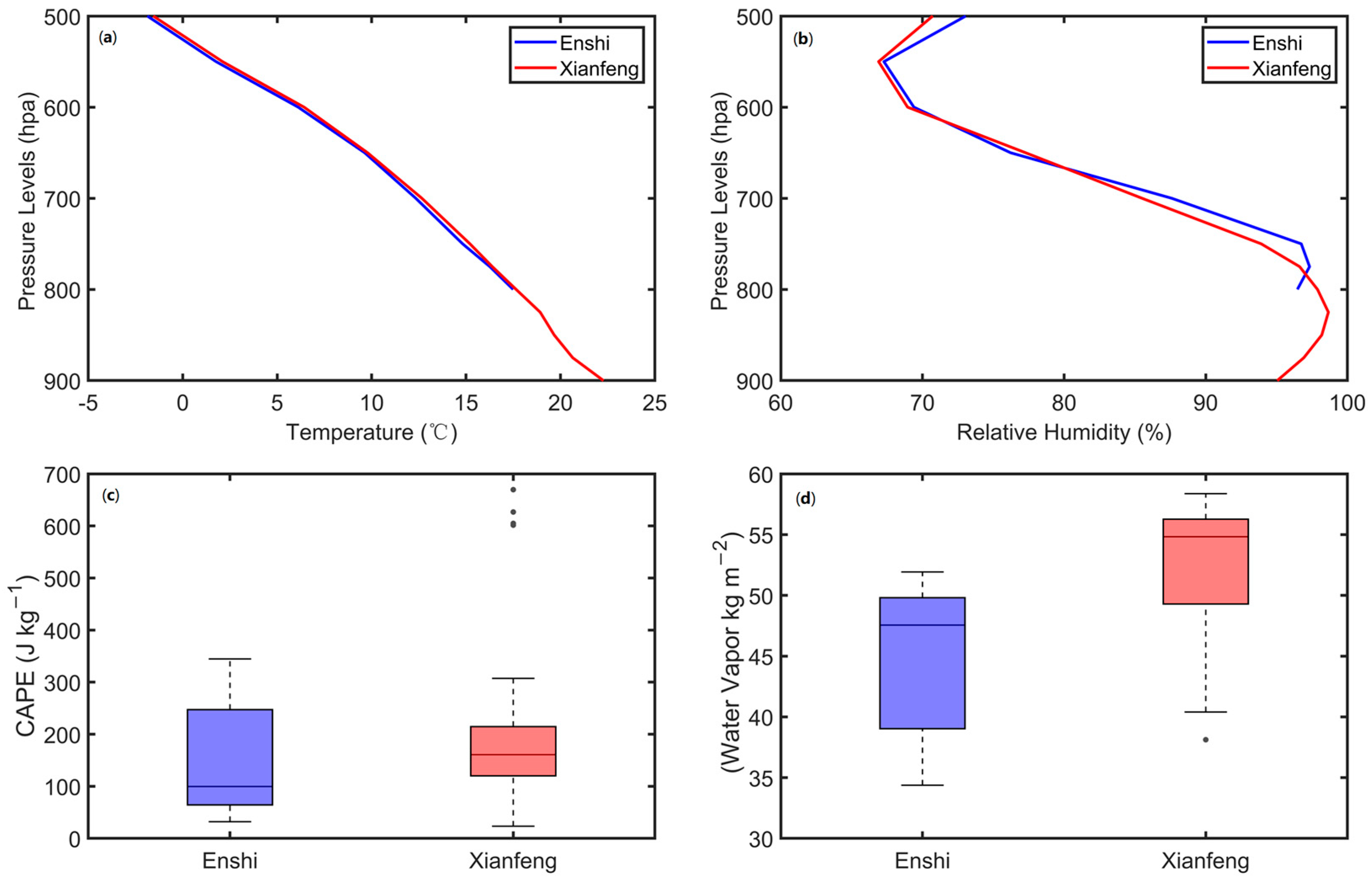
- The Dm (log10Nw) in the southwest mountains was smaller (greater) than that in Xianfeng, indicating that there were more particles with smaller particle size and higher concentration in summer precipitation in the mountain area. The high wind speed at the top of the mountain made the large raindrops unstable, thus breaking them up into smaller raindrops and resulting in a higher density of small raindrops at the top of the mountain than at the foot of the mountain. A stronger evaporation rate and CAPE as well as a greater water vapor occurred at the foot of the mountain, which strengthened the coagulation between the raindrops and increased the larger droplets, broadening the raindrop size distribution and resulting in a higher density of large droplets at the foot of the mountain than at the top.
Author Contributions
Funding
Data Availability Statement
Acknowledgments
Conflicts of Interest
References
- Rosenfeld, D.; Ulbrich, C.W. Cloud microphysical properties, processes, and rainfall estimation opportunities. Meteor. Monogr. 2003, 30, 237–258. [Google Scholar] [CrossRef]
- Das, S.K.; Konwar, M.; Chakravarty, K.; Deshpande, S.M. Raindrop size distribution of different cloud types over the Western Ghats using simultaneous measurements from Micro-Rain Radar and disdrometer. Atmos. Res. 2017, 186, 72–82. [Google Scholar] [CrossRef]
- Iguchi, T.; Matsui, T.; Tokay, A.; Kollias, P.; Tao, W.-K. Two distinct modes in one-day rainfall event during MC3E field campaign: Analyses of disdrometer observations and WRF-SBM simulation. Geophys. Res. Lett. 2012, 39, L24805. [Google Scholar] [CrossRef]
- Maki, M.; Keenan, T.D.; Sasaki, Y.; Nakamura, K. Characteristics of the Raindrop Size Distribution in Tropical Continental Squall Lines Observed in Darwin, Australia. J. Appl. Meteorol. 2001, 40, 1393–1412. [Google Scholar] [CrossRef]
- Sui, C.-H.; Tsay, C.-T.; Li, X. Convective–stratiform rainfall separation by cloud content. J. Geophys. Res. Atmos. 2007, 112, D14213. [Google Scholar] [CrossRef]
- Houze, R.A., Jr. Cloud Dynamics, 2nd ed.; Academic Press: Oxford, UK, 2014. [Google Scholar]
- Tokay, A.; Short, D.A. Evidence from Tropical Raindrop Spectra of the Origin of Rain from Stratiform versus Convective Clouds. J. Appl. Meteorol. 1996, 35, 355–371. [Google Scholar] [CrossRef]
- Bringi, V.N.; Chandrasekar, V.; Hubbert, J.; Gorgucci, E.; Randeu, W.L.; Schoenhuber, M. Raindrop Size Distribution in Different Climatic Regimes from Disdrometer and Dual-Polarized Radar Analysis. J. Atmos. Sci. 2003, 60, 354–365. [Google Scholar] [CrossRef]
- Thurai, M.; Gatlin, P.N.; Bringi, V.N. Separating stratiform and convective rain types based on the drop size distribution characteristics using 2D video disdrometer data. Atmos. Res. 2016, 169 Pt B, 416–423. [Google Scholar] [CrossRef]
- Zeng, Q.; Zhang, Y.; Lei, H.; Xie, Y.; Gao, T.; Zhang, L.; Wang, C.; Huang, Y. Microphysical Characteristics of Precipitation during Pre-monsoon, Monsoon, and Post-monsoon Periods over the South China Sea. Adv. Atmos. Sci. 2019, 36, 1103–1120. [Google Scholar] [CrossRef]
- Tang, Q.; Xiao, H.; Guo, C.; Feng, L. Characteristics of the raindrop size distributions and their retrieved polarimetric radar parameters in northern and southern China. Atmos. Res. 2014, 135–136, 59–75. [Google Scholar] [CrossRef]
- Wen, L.; Zhao, K.; Wang, M.; Zhang, G. Seasonal Variations of Observed Raindrop Size Distribution in East China. Adv. Atmos. Sci. 2019, 36, 346–362. [Google Scholar] [CrossRef]
- Chen, B.; Hu, Z.; Liu, L.; Zhang, G. Raindrop Size Distribution Measurements at 4500 m on the Tibetan Plateau During TIPEX-III. J. Geophys. Res. Atmos. 2017, 122, 11092–11106. [Google Scholar] [CrossRef]
- Gatlin, P.N.; Thurai, M.; Bringi, V.N.; Petersen, W.; Wolff, D.; Tokay, A.; Carey, L.; Wingo, M. Searching for Large Raindrops: A Global Summary of Two-Dimensional Video Disdrometer Observations. J. Appl. Meteorol. Climatol. 2015, 54, 1069–1089. [Google Scholar] [CrossRef]
- Chen, B.; Yang, J.; Pu, J. Statistical Characteristics of Raindrop Size Distribution in the Meiyu Season Observed in Eastern China. J. Meteorol. Soc. Jpn. 2013, 91, 215–227. [Google Scholar] [CrossRef]
- Ushiyama, T.; Krishna Reddy, K.; Kubota, H.; Yasunaga, K.; Shirooka, R. Diurnal to interannual variation in the raindrop size distribution over Palau in the western tropical Pacific. Geophys. Res. Lett. 2009, 36, L02810. [Google Scholar] [CrossRef]
- Chen, B.; Wang, J.; Gong, D. Raindrop Size Distribution in a Midlatitude Continental Squall Line Measured by Thies Optical Disdrometers over East China. J. Appl. Meteorol. Clim. 2016, 55, 621–634. [Google Scholar] [CrossRef]
- Suh, S.-H.; You, C.-H.; Lee, D.-I. Climatological characteristics of raindrop size distributions in Busan, Republic of Korea. Hydrol. Earth Syst. Sci. 2016, 20, 193–207. [Google Scholar] [CrossRef]
- Porcù, F.; D’Adderio, L.P.; Prodi, F.; Caracciolo, C. Rain drop size distribution over the Tibetan Plateau. Atmos. Res. 2014, 150, 21–30. [Google Scholar] [CrossRef]
- Levin, Z.; Feingold, G.; Tzivion, S.; Waldvogel, A. The Evolution of Raindrop Spectra: Comparisons between Modeled and Observed Spectra along a Mountain Slope in Switzerland. J. Appl. Meteorol. 1991, 30, 893–900. [Google Scholar] [CrossRef]
- Löffler-Mang, M.; Joss, J. An Optical Disdrometer for Measuring Size and Velocity of Hydrometeors. J. Atmos. Ocean. Technol. 2000, 17, 130–139. [Google Scholar] [CrossRef]
- Tokay, A.; Wolff, D.B.; Petersen, W.A. Evaluation of the New Version of the Laser-Optical Disdrometer, OTT PARSIVEL2. J. Atmos. Ocean. Technol. 2014, 31, 1276–1288. [Google Scholar] [CrossRef]
- Wen, L. Microphysical Characteristics of the Raindrop Size Distribution Observed in East China during the Asian Summer Monsoon Season. Master’s Thesis, Nanjing University, Nanjing, China, 2016. (In Chinese). [Google Scholar]
- Fu, Z.; Dong, X.; Zhou, L.; Cui, W.; Wang, J.; Wan, R.; Leng, L.; Xi, B. Statistical Characteristics of Raindrop Size Distributions and Parameters in Central China during the Meiyu Seasons. J. Geophys. Res. Atmos. 2020, 125, e2019JD031954. [Google Scholar] [CrossRef]
- Jia, X.; Liu, Y.; Ding, D.; Ma, X.; Chen, Y.; Bi, K.; Tian, P.; Lu, C.; Quan, J. Combining disdrometer, microscopic photography, and cloud radar to study distributions of hydrometeor types, size and fall velocity. Atmos. Res. 2019, 228, 176–185. [Google Scholar] [CrossRef]
- Gunn, R.; Kinzer, G.D. The terminal velocity of fall for water drops in stagnant air. J. Atmos. Sci. 1949, 6, 243–248. [Google Scholar]
- Locatelli, J.D.; Hobbs, P.V. Fall speeds and masses of solid precipitation particles. J. Geophys. Res. Atmos. 1974, 79, 2185–2197. [Google Scholar] [CrossRef]
- Niu, S.; Jia, X.; Sang, J.; Liu, X.; Lu, C.; Liu, Y. Distributions of Raindrop Sizes and Fall Velocities in a Semiarid Plateau Climate: Convective versus Stratiform Rains. J. Appl. Meteorol. Clim. 2010, 49, 632–645. [Google Scholar] [CrossRef]
- Wen, L.; Zhao, K.; Zhang, G.; Xue, M.; Zhou, B.; Liu, S.; Chen, X. Statistical characteristics of raindrop size distributions observed in East China during the Asian summer monsoon season using 2-D video disdrometer and Micro Rain Radar data. J. Geophys. Res. Atmos. 2016, 121, 2265–2282. [Google Scholar] [CrossRef]
- Ulbrich, C.W. Natural Variations in the Analytical Form of the Raindrop Size distribution. J. Clim. Appl. Meteorol. 1983, 22, 1764–1775. [Google Scholar] [CrossRef]
- Vivekanandan, J.; Zhang, G.; Brandes, E. Polarimetric Radar Estimators Based on a Constrained Gamma Drop Size Distribution Model. J. Appl. Meteorol. 2004, 43, 217–230. [Google Scholar] [CrossRef]
- Bringi, V.N.; Williams, C.R.; Thurai, M.; May, P.T. Using dual-polarized radar and dual-frequency profiler for dsd characterization: A case study from Darwin. Australia. J. Atmos. Ocean. Technol. 2009, 26, 2107. [Google Scholar] [CrossRef]
- Ding, Y.H.; Liu, Y.J.; Sun, Y.; Song, Y.F. Weakening of the Asian summer monsoon and its impact on the precipitation pattern in China. Int. J. Water Resour. Dev. 2010, 26, 423–439. [Google Scholar] [CrossRef]
- Huang, Z.W.; Peng, S.Y.; Zhang, H.R.; Zheng, J.F.; Zeng, Z.M.; Wang, Y.J. Characteristics of raindrop size distribution at Anxi of Fujian. J. Appl. Meteor. Sci. 2022, 33, 205–217. (In Chinese) [Google Scholar]
- Smith, R.K. The Physics and Parameterization of Moist Atmospheric Convection; Springer: Berlin/Heidelberg, Germany, 1997; 2176p. [Google Scholar]
- Li, H.; Yin, Y.; Shan, Y.; Jin, Q. Statistical characteristics of raindrop size distribution for stratiform and convective precipitation at different altitudes in Mt. Huangshan. Chin. J. Atmos. Sci. 2018, 42, 268–280. (In Chinese) [Google Scholar]
- Guo, L.J.; Guo, X.L.; Lou, X.F.; Lu, G.X.; Lyu, K.; Sun, H.M.; Li, J.; Zhang, X.P. An observational study of diurnal and seasonal variations, and macroscopic and microphysical properties of clouds and precipitation over Mount Lu, Jiangxi, China. Acta Meteorol. Sin. 2019, 77, 923–937. (In Chinese) [Google Scholar]
- Fang, B.; Guo, X.; Xiao, H. A study on characteristics of spectral parameters and characteristic variables of raindrop size distribution for different cloud systems in Liaoning Province. Chin. J. Atmos. Sci. 2020, 40, 1154–1164. (In Chinese) [Google Scholar]
- Seela, B.K.; Janapati, J.; Lin, P.-L.; Wang, P.K.; Lee, M.-T. Raindrop Size Distribution Characteristics of Summer and Winter Season Rainfall over North Taiwan. J. Geophys. Res. Atmos. 2018, 123, 11–602. [Google Scholar] [CrossRef]
- Waldvogel, A. The N0 jump of raindrop spectra. J. Atmos. Sci. 1974, 31, 1067–1078. [Google Scholar] [CrossRef]
- Dolan, B.; Fuchs, B.; Rutledge, A.; Barnes, E.A.; Thompson, E.J. Primary Modes of Global Drop Size Distributions. J. Atmos. Sci. 2018, 75, 1453–1476. [Google Scholar] [CrossRef]
- Milbrandt, J.A.; Yau, M.K. A multimoment bulk microphysics parameterization. Part I: Analysis of the role of the spectral shape parameter. J. Atmos. Sci. 2005, 62, 3051–3064. [Google Scholar]
- Zhang, G.; Vivekanandan, J.; Brandes, E. A method for estimating rain rate and drop size distribution from polarimetric radarmeasurements. IEEE Trans. Geosci. Remote Sens. 2001, 39, 830–841. [Google Scholar] [CrossRef]
- Thurai, M.; Bringi, V.N.; May, P.T. CPOL Radar-Derived Drop Size Distribution Statistics of Stratiform and Convective Rain for Two Regimes in Darwin, Australia. J. Atmos. Ocean. Technol. 2010, 27, 932–942. [Google Scholar] [CrossRef]
- Zhang, G.; Vivekanandan, J.; Brandes, E.A.; Meneghini, R.; Kozu, T. The Shape–Slope Relation in Observed Gamma Raindrop Size Distributions: Statistical Error or Useful Information? J. Atmos. Ocean. Technol. 2003, 20, 1106–1119. [Google Scholar] [CrossRef]
- Chu, Y.-H.; Su, C.-L. An Investigation of the Slope–Shape Relation for Gamma Raindrop Size Distribution. J. Appl. Meteorol. Clim. 2008, 47, 2531–2544. [Google Scholar] [CrossRef]
- Chang, W.-Y.; Wang, T.-C.C.; Lin, P.-L. Characteristics of the Raindrop Size Distribution and Drop Shape Relation in Typhoon Systems in the Western Pacific from the 2D Video Disdrometer and NCU C-Band Polarimetric Radar. J. Atmos. Ocean. Technol. 2009, 26, 1973–1993. [Google Scholar] [CrossRef]
- Zeng, Y.; Yang, L.M.; Zhou, Y.S.; Tong, Z.P.; Jiang, Y.F.; Chen, P. Characteristics of orographic raindrop size distribution in the Tianshan Mountains, China. Atmos. Res. 2022, 278, 106332. [Google Scholar] [CrossRef]
- Seela, B.K.; Janapati, J.; Lin, P.-L.; Lan, C.-H.; Shirooka, R.; Hashiguchi, H.; Reddy, K.K. Raindrop size distribution characteristics of the western Pacific tropical cyclones measured in the Palau islands. Remote Sens. 2022, 14, 470. [Google Scholar] [CrossRef]
- Cao, Q.; Zhang, G.; Brandes, E.; Schuur, T.; Ryzhkov, A.; Ikeda, K. Analysis of video disdrometer and polarimetric radar data to characterize rain microphysics in Oklahoma. J. Appl. Meteorol. Clim. 2008, 47, 2238–2255. [Google Scholar] [CrossRef]
- Chandrasekar, V.; Meneghini, R.; Zawadzki, I. Global and Local Precipitation Measurements by Radar. Meteorol. Monogr. 2003, 30, 215. [Google Scholar] [CrossRef]
- Zheng, H.; Wu, Z.; Zhang, L.; Xie, Y.; Lei, H. Improving Radar Rainfall Estimations with Scaled Raindrop Size Spectra in Mei-Yu Frontal Rainstorms. Sensors 2020, 20, 5257. [Google Scholar] [CrossRef]
- Fulton, R.A. Sensitivity of WSR-88D Rainfall Estimates to the Rain-Rate Threshold and Rain Gauge Adjustment: A Flash Flood Case Study. Weather. Forecast. 1999, 14, 604–624. [Google Scholar] [CrossRef]
- Zhang, P.; Liu, X.; Zhou, Z.; Song, K.; Yang, P. Research on Precipitation Estimators of Microwave Link and Weather Radar Based on Raindrop Size Distribution Data. Meteor. Mon. 2021, 47, 843–853. (In Chinese) [Google Scholar]
- Liu, Y. Analysis on Microphysical Characteristics of Convective and Stratiform Cloud Precipitation in Beijing. Master’s Thesis, Nanjing University of Information Science and Technology, Nanjing, China, 2013. (In Chinese). [Google Scholar]
- Wang, J.; Yue, Z.; He, W.; Dai, C.; Pang, L.; Liu, H.; Zhang, L. Research on the Z-R relationship of mixed convective-stratiform clouds in Xi’an area. Torrential Rain Disasters 2020, 39, 409–417. (In Chinese) [Google Scholar]
- Luo, Y.; Wu, M.; Ren, F.; Li, J.; Wong, W.-K. Synoptic Situations of Extreme Hourly Precipitation over China. J. Clim. 2016, 29, 8703–8719. [Google Scholar] [CrossRef]
- Kinnell, P.I.A. Rainfall Intensity-Kinetic Energy Relationships for Soil Loss Prediction1. Soil Sci. Soc. Am. J. 1981, 45, 153. [Google Scholar] [CrossRef]
- Jayawardena, A.W.; Rezaur, R.B. Measuring drop size distribution and kinetic energy of rainfall using a force transducer. Hydrol. Process. 2000, 14, 37–49. [Google Scholar] [CrossRef]
- Fornis, R.L.; Vermeulen, H.R.; Nieuwenhuis, J.D. Kinetic energy–rainfall intensity relationship for Central Cebu, Philippines for soil erosion studies. J. Hydrol. 2005, 300, 20–32. [Google Scholar] [CrossRef]
- Seela, B.K.; Janapati, J.; Kalath Unnikrishnan, C.; Lin, P.-L.; Le Loh, J.; Chang, W.-Y.; Kumar, U.; Reddy, K.K.; Lee, D.-I.; Reddy, M.V. Raindrop size distributions of North Indian Ocean tropical cyclones observed at the coastal and inland stations in South India. Remote Sens. 2021, 13, 3178. [Google Scholar] [CrossRef]
- Steiner, M.; Smith, J.A. Reflectivity, Rain Rate, and Kinetic Energy Flux Relationships Based on Raindrop Spectra. J. Appl. Meteorol. 2000, 39, 1923–1940. [Google Scholar] [CrossRef]
- Hu, Z.; Srivastava, R.C. Evolution of raindrop size distribution by coalescence, breakup, and evaporation: Theory and observations. J. Atmos. Sci. 1995, 52, 1761–1783. [Google Scholar] [CrossRef]














| Hydrometer Types | Terminal Velocity |
|---|---|
| Raindrop | Vt = 1.250.5 (9.65 − 10.3 × 10−0.6D) |
| Graupel | Vt = 1.250.5 (1.3D0.66) |
| Aggregates of unrimed radiating assemblages of plants, bullets, and columns | Vt = 1.250.5 (0.69D0.41) |
| Graupel-like snow of hexagonal type | Vt = 1.250.5 (0.86D0.25) |
| Aggregates of densely rimed radiating assemblages of dendrites | Vt = 1.250.5 (0.79D0.27) |
| Densely rimed dendrites | Vt = 1.250.5 (0.62D0.33) |
| Aggregates of unrimed radiating assemblages of dendrites | Vt = 1.250.5 (0.8D0.16) |
| Season | Rain Type | Duration | The Total Duration of the Season |
|---|---|---|---|
| Spring | Stratiform | 26,050 min | |
| Mixed | 1078 min | 27,491 min | |
| Convective | 363 min | ||
| Summer | Stratiform | 35,440 min | |
| Mixed | 4325 min | 40,814 min | |
| Convective | 1049 min | ||
| Autumn | Stratiform | 34,879 min | |
| Mixed | 1017 min | 36,115 min | |
| Convective | 219 min | ||
| Winter | Stratiform | 7066 min | |
| Mixed | 431 min | 7662 min | |
| Convective | 165 min |
| Rain Type | Season | Samples (min) | Nt (m−3) | LWC (g m−3) | R (mm h−1) | Dm (mm) | log10Nw (m−3 mm−1) | Z (dBZ) |
|---|---|---|---|---|---|---|---|---|
| Stratiform | Spring | 26,050 | 250 | 0.05 | 0.66 | 0.87 | 3.72 | 15.47 |
| Summer | 35,440 | 345 | 0.07 | 0.87 | 0.86 | 3.86 | 16.65 | |
| Autumn | 34,879 | 351 | 0.06 | 0.65 | 0.79 | 3.91 | 14.83 | |
| Winter | 7066 | 336 | 0.07 | 0.71 | 0.91 | 3.81 | 18.03 | |
| Mixed | Spring | 1078 | 886 | 0.46 | 7.19 | 1.56 | 3.85 | 35.27 |
| Summer | 4325 | 1247 | 0.48 | 7.15 | 1.24 | 4.28 | 32.34 | |
| Autumn | 1017 | 1349 | 0.40 | 5.64 | 1.18 | 4.34 | 30.53 | |
| Winter | 431 | 805 | 0.36 | 4.67 | 1.64 | 3.71 | 34.50 | |
| Convective | Spring | 363 | 745 | 0.98 | 19.20 | 2.68 | 3.16 | 45.82 |
| Summer | 1049 | 1193 | 1.37 | 26.58 | 2.28 | 3.63 | 45.01 | |
| Autumn | 219 | 900 | 1.03 | 19.64 | 2.79 | 3.10 | 45.67 | |
| Winter | 165 | 218 | 0.43 | 5.74 | 3.33 | 2.41 | 45.35 | |
| All | Spring | 27,491 | 282 | 0.08 | 1.16 | 0.92 | 3.72 | 16.65 |
| Summer | 40,814 | 462 | 0.15 | 2.20 | 0.94 | 3.90 | 19.04 | |
| Autumn | 36,115 | 383 | 0.07 | 0.91 | 0.82 | 3.91 | 15.46 | |
| Winter | 7662 | 360 | 0.09 | 1.04 | 1.01 | 3.78 | 19.55 |
| Region | Stratiform | Mixed | Convective |
|---|---|---|---|
| This study | 103 | 103 | 103 |
| Mt. Huang [36] | 103 | - | 103 |
| Mt. Lu Shang [37] | 103 | 104 | 104 |
| Liao Ning [38] | 48 | 48 | 46 |
| Nang Jing [15] | 102 | - | 102 |
| Gu Yuan [28] | 102 | - | 102 |
| Reference | Location | KEtime–R | KEmm–R | ||||||
|---|---|---|---|---|---|---|---|---|---|
| Linear: KEtime = aR + b | Power: KEtime = cRd | Power: KEmm = eRf | Log: KEmm = g log10R + h | ||||||
| a | b | c | d | e | f | g | h | ||
| Present study | Enshi, Southwest China | 34.600 | 1.044 | 37.710 | 0.974 | 33.710 | 0.069 | 2.332 | 33.970 |
| [60] | Urumqi, Northwest China | 20.399 | −8.765 | 7.432 | 1.441 | 9.762 | 0.149 | 2.861 | 9.789 |
| [60] | Tianchi, Northwest China | 24.440 | −14.575 | 7.641 | 1.415 | 9.251 | 0.281 | 5.299 | 9.685 |
| [38] | Coast Station, South India | 23.408 | −29.057 | 8.838 | 1.244 | 10.648 | 0.175 | 4.898 | 11.028 |
| [38] | Inland Station, South India | 18.336 | −12.372 | 7.724 | 1.266 | 8.588 | 0.209 | 4.244 | 8.925 |
| [10] | Nanjing, Eastern China | _ | _ | _ | _ | _ | _ | 5.930 | 10.120 |
| Time | Location | R (mm h−1) | Dm (mm) | log10Nw (mm−3 m−1) | Z (dBZ) | Λ (mm−1) |
|---|---|---|---|---|---|---|
| ALL | Enshi | 3.62 | 1.07 | 3.98 | 24.91 | 19.96 |
| Xianfeng | 15.30 | 1.37 | 3.49 | 26.33 | 15.30 | |
| Day | Enshi | 4.10 | 1.19 | 3.78 | 27.03 | 12.74 |
| Xianfeng | 14.32 | 1.37 | 3.47 | 26.36 | 14.32 | |
| Night | Enshi | 2.57 | 0.82 | 4.41 | 20.35 | 35.43 |
| Xianfeng | 17.38 | 1.36 | 3.51 | 26.27 | 17.38 |
Disclaimer/Publisher’s Note: The statements, opinions and data contained in all publications are solely those of the individual author(s) and contributor(s) and not of MDPI and/or the editor(s). MDPI and/or the editor(s) disclaim responsibility for any injury to people or property resulting from any ideas, methods, instructions or products referred to in the content. |
© 2023 by the authors. Licensee MDPI, Basel, Switzerland. This article is an open access article distributed under the terms and conditions of the Creative Commons Attribution (CC BY) license (https://creativecommons.org/licenses/by/4.0/).
Share and Cite
Wu, H.; Niu, S.; Zhou, Y.; Sun, J.; Lv, J.; He, Y. Characteristics of Raindrop Size Distributions in the Southwest Mountain Areas of China According to Seasonal Variation and Rain Types. Remote Sens. 2023, 15, 1246. https://doi.org/10.3390/rs15051246
Wu H, Niu S, Zhou Y, Sun J, Lv J, He Y. Characteristics of Raindrop Size Distributions in the Southwest Mountain Areas of China According to Seasonal Variation and Rain Types. Remote Sensing. 2023; 15(5):1246. https://doi.org/10.3390/rs15051246
Chicago/Turabian StyleWu, Haopeng, Shengjie Niu, Yue Zhou, Jing Sun, Jingjing Lv, and Yixiao He. 2023. "Characteristics of Raindrop Size Distributions in the Southwest Mountain Areas of China According to Seasonal Variation and Rain Types" Remote Sensing 15, no. 5: 1246. https://doi.org/10.3390/rs15051246
APA StyleWu, H., Niu, S., Zhou, Y., Sun, J., Lv, J., & He, Y. (2023). Characteristics of Raindrop Size Distributions in the Southwest Mountain Areas of China According to Seasonal Variation and Rain Types. Remote Sensing, 15(5), 1246. https://doi.org/10.3390/rs15051246
