Spatial Influence of Multifaceted Environmental States on Habitat Quality: A Case Study of the Three Largest Chinese Urban Agglomerations
Abstract
1. Introduction
2. Materials and Methods
2.1. Study Areas
2.2. Data Preparation and Treatment
2.3. Research Framework
2.4. Quantification of Habitat Quality
2.5. Evaluation of Multifaceted Environmental States
2.6. Relationship Profiling
2.6.1. Correlation and Local Bivariate Analysis
2.6.2. Geographical Detector Model
3. Results
3.1. Spatial Characteristics of Habitat Quality Based on Land Cover/Use Evaluation
3.2. Spatial Stratification of Multi-dimensional Environmental Situations
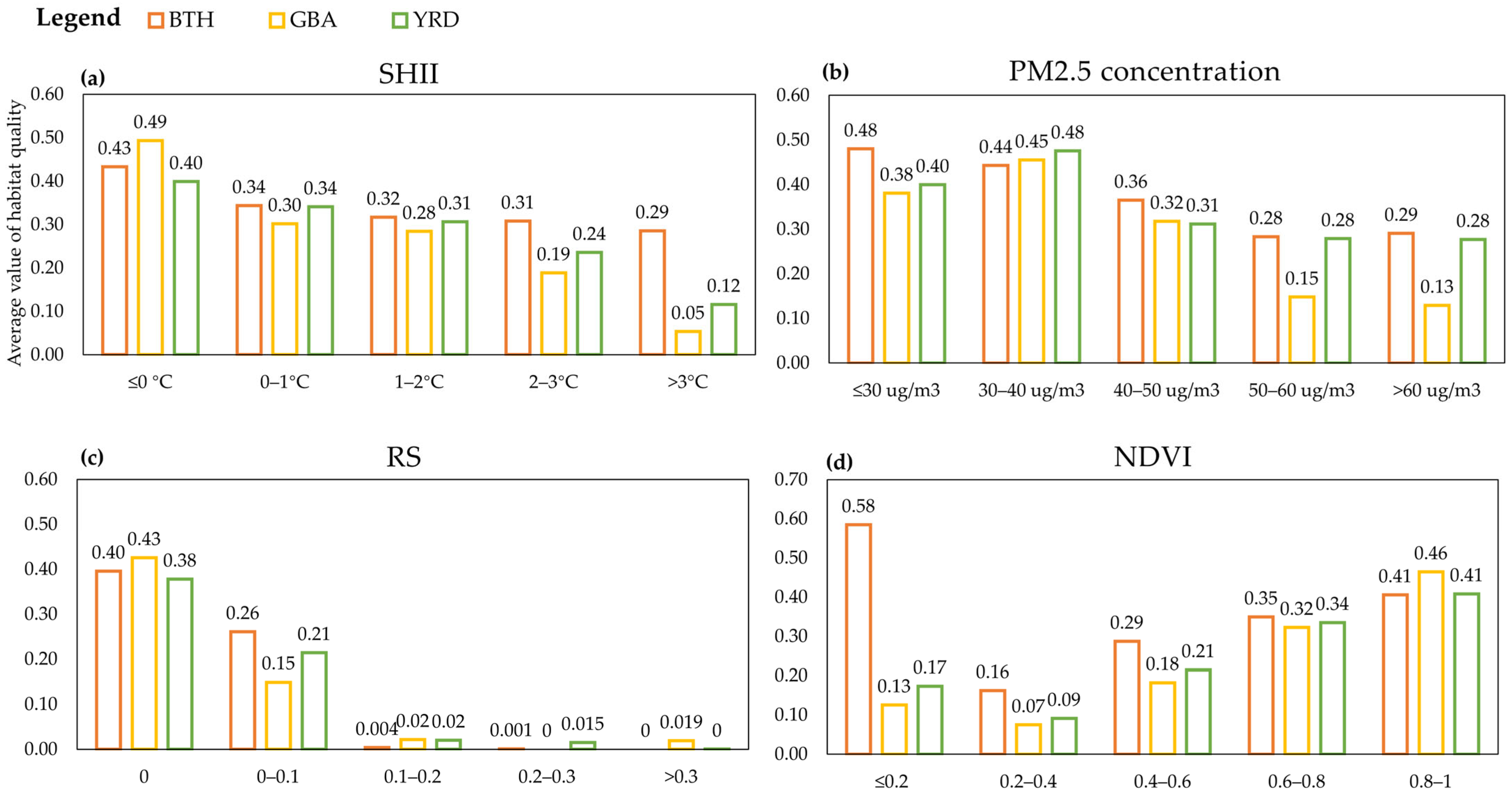
3.3. Correlations of Environmental States
3.4. GeoDetector-Based Interactive Effects Assessment
4. Discussion
4.1. The Impacts of Multifaceted Environmental States on Habitat Quality in the Three Urban Agglomerations
4.2. Road Ahead and Implication for the Spatial Management of Multi-Dimensional Environmental Issues
5. Conclusions
Supplementary Materials
Author Contributions
Funding
Data Availability Statement
Acknowledgments
Conflicts of Interest
References
- IPCC. Climate Change 2022: Impacts, Adaptation, and Vulnerability. Contribution of Working Group II to the Sixth Assessment Report of the Intergovernmental Panel on Climate Change; Pörtner, H.-O., Roberts, D., Tignor, M., Poloczanska, E., Mintenbeck, K., Alegría, A., Craig, M., Langsdorf, S., Löschke, S., Möller, V., et al., Eds.; Cambridge University Press: Cambridge, UK; New York, NY, USA, 2022. [Google Scholar]
- Liu, J.; Hull, V.; Godfray, H.C.J.; Tilman, D.; Gleick, P.; Hoff, H.; Pahl-Wostl, C.; Xu, Z.; Chung, M.G.; Sun, J.; et al. Nexus Approaches to Global Sustainable Development. Nat. Sustain. 2018, 1, 466–476. [Google Scholar] [CrossRef]
- United Nations, Department of Economic and Social Affairs, Population Division. World Urbanization Prospects: The 2018 Revision (ST/ESA/SER.A/420); United Nations: New York, NY, USA, 2019. [Google Scholar]
- Almenar, J.B.; Elliot, T.; Rugani, B.; Philippe, B.; Gutierrez, T.N.; Sonnemann, G.; Geneletti, D. Nexus between Nature-Based Solutions, Ecosystem Services and Urban Challenges. Land Use Policy 2021, 100, 104898. [Google Scholar] [CrossRef]
- Cortinovis, C.; Geneletti, D. A Framework to Explore the Effects of Urban Planning Decisions on Regulating Ecosystem Services in Cities. Ecosyst. Serv. 2019, 38, 100946. [Google Scholar] [CrossRef]
- Fang, C.; Yu, D. Urban Agglomeration: An Evolving Concept of an Emerging Phenomenon. Landsc. Urban Plan. 2017, 162, 126–136. [Google Scholar] [CrossRef]
- Li, L.; Ma, S.; Zheng, Y.; Xiao, X. Integrated Regional Development: Comparison of Urban Agglomeration Policies in China. Land Use Policy 2022, 114, 105939. [Google Scholar] [CrossRef]
- Yang, G.; Ge, Y.; Xue, H.; Yang, W.; Shi, Y.; Peng, C.; Du, Y.; Fan, X.; Ren, Y.; Chang, J. Using Ecosystem Service Bundles to Detect Trade-Offs and Synergies across Urban-Rural Complexes. Landsc. Urban Plan. 2015, 136, 110–121. [Google Scholar] [CrossRef]
- Fu, X.; Yao, L.; Xu, W.; Wang, Y.; Sun, S. Exploring the Multitemporal Surface Urban Heat Island Effect and Its Driving Relation in the Beijing-Tianjin-Hebei Urban Agglomeration. Appl. Geogr. 2022, 144, 102714. [Google Scholar] [CrossRef]
- Ouyang, X.; Wei, X.; Li, Y.; Wang, X.C.; Klemeš, J.J. Impacts of Urban Land Morphology on PM2.5 Concentration in the Urban Agglomerations of China. J. Environ. Manag. 2021, 283, 112000. [Google Scholar] [CrossRef]
- Wen, Y.; Zhang, Z.; Liang, D.; Xu, Z. Rural Residential Land Transition in the Beijing-Tianjin-Hebei Region: Spatial-Temporal Patterns and Policy Implications. Land Use Policy 2020, 96, 104700. [Google Scholar] [CrossRef]
- Zhang, D.; Huang, Q.; He, C.; Yin, D.; Liu, Z. Planning Urban Landscape to Maintain Key Ecosystem Services in a Rapidly Urbanizing Area: A Scenario Analysis in the Beijing-Tianjin-Hebei Urban Agglomeration, China. Ecol. Indic. 2019, 96, 559–571. [Google Scholar] [CrossRef]
- Sun, M.; Wang, J.; He, K. Analysis on the Urban Land Resources Carrying Capacity during Urbanization—A Case Study of Chinese YRD. Appl. Geogr. 2020, 116, 102170. [Google Scholar] [CrossRef]
- Feng, R.; Wang, F.; Wang, K.; Wang, H.; Li, L. Urban Ecological Land and Natural-Anthropogenic Environment Interactively Drive Surface Urban Heat Island: An Urban Agglomeration-Level Study in China. Environ. Int. 2021, 157, 106857. [Google Scholar] [CrossRef] [PubMed]
- Zhang, H.; Yin, Y.; An, H.; Lei, J.; Li, M.; Song, J.; Han, W. Surface Urban Heat Island and Its Relationship with Land Cover Change in Five Urban Agglomerations in China Based on GEE. Environ. Sci. Pollut. Res. 2022, 29, 82271–82285. [Google Scholar] [CrossRef]
- Wang, Y.; Yao, L.; Xu, Y.; Sun, S.; Li, T. Potential Heterogeneity in the Relationship between Urbanization and Air Pollution, from the Perspective of Urban Agglomeration. J. Clean. Prod. 2021, 298, 126822. [Google Scholar] [CrossRef]
- Zhao, R.; Zhan, L.; Yao, M.; Yang, L. A Geographically Weighted Regression Model Augmented by Geodetector Analysis and Principal Component Analysis for the Spatial Distribution of PM2.5. Sustain. Cities Soc. 2020, 56, 102106. [Google Scholar] [CrossRef]
- Mao, X.; Huang, X.; Song, Y.; Zhu, Y.; Tan, Q. Response to Urban Land Scarcity in Growing Megacities: Urban Containment or Inter-City Connection? Cities 2020, 96, 102399. [Google Scholar] [CrossRef]
- Lafortezza, R.; Sanesi, G. Nature-Based Solutions: Settling the Issue of Sustainable Urbanization. Environ. Res. 2019, 172, 394–398. [Google Scholar] [CrossRef]
- Tittonell, P.; Struik, P.C.; Kuyper, T.W. Ecological Intensification of Agriculture—Sustainable by Nature. Curr. Opin. Environ. Sustain. 2014, 8, 53–61. [Google Scholar] [CrossRef]
- Bush, J.; Doyon, A. Building Urban Resilience with Nature-Based Solutions: How Can Urban Planning Contribute? Cities 2019, 95, 102483. [Google Scholar] [CrossRef]
- Nesshöver, C.; Assmuth, T.; Irvine, K.N.; Rusch, G.M.; Waylen, K.A.; Delbaere, B.; Haase, D.; Jones-Walters, L.; Keune, H.; Kovacs, E.; et al. The Science, Policy and Practice of Nature-Based Solutions: An Interdisciplinary Perspective. Sci. Total Environ. 2017, 579, 1215–1227. [Google Scholar] [CrossRef]
- Westman, L.; Patterson, J.; Macrorie, R.; Orr, C.J.; Ashcraft, C.M.; Broto, V.C.; Dolan, D.; Gupta, M.; van der Heijden, J.; Hickmann, T.; et al. Compound Urban Crises. Ambio 2022, 51, 1402–1415. [Google Scholar] [CrossRef] [PubMed]
- Cord, A.F.; Bartkowski, B.; Beckmann, M.; Dittrich, A.; Hermans-Neumann, K.; Kaim, A.; Lienhoop, N.; Locher-Krause, K.; Priess, J.; Schröter-Schlaack, C.; et al. Towards Systematic Analyses of Ecosystem Service Trade-Offs and Synergies: Main Concepts, Methods and the Road Ahead. Ecosyst. Serv. 2017, 28, 264–272. [Google Scholar] [CrossRef]
- Piracha, A.; Chaudhary, M.T. Urban Air Pollution, Urban Heat Island and Human Health: A Review of the Literature. Sustainability 2022, 14, 9234. [Google Scholar] [CrossRef]
- Singh, N.; Singh, S.; Mall, R.K. Urban Ecology and Human Health: Implications of Urban Heat Island, Air Pollution and Climate Change Nexus. In Urban Ecology; Elsevier Inc.: Cambridge, MA, USA, 2020; pp. 317–334. [Google Scholar]
- Niu, L.; Zhang, Z.; Peng, Z.; Liang, Y.; Liu, M.; Jiang, Y.; Wei, J.; Tang, R. Identifying Surface Urban Heat Island Drivers and Their Spatial Heterogeneity in China’s 281 Cities: An Empirical Study Based on Multiscale Geographically Weighted Regression. Remote Sens. 2021, 13, 4428. [Google Scholar] [CrossRef]
- Deilami, K.; Kamruzzaman, M.; Liu, Y. Urban Heat Island Effect: A Systematic Review of Spatio-Temporal Factors, Data, Methods, and Mitigation Measures. Int. J. Appl. Earth Obs. Geoinf. 2018, 67, 30–42. [Google Scholar] [CrossRef]
- Guo, D. Local Entropy Map: A Nonparametric Approach to Detecting Spatially Varying Multivariate Relationships. Int. J. Geogr. Inf. Sci. 2010, 24, 1367–1389. [Google Scholar] [CrossRef]
- Wang, J.F.; Li, X.H.; Christakos, G.; Liao, Y.L.; Zhang, T.; Gu, X.; Zheng, X.Y. Geographical Detectors-Based Health Risk Assessment and Its Application in the Neural Tube Defects Study of the Heshun Region, China. Int. J. Geogr. Inf. Sci. 2010, 24, 107–127. [Google Scholar] [CrossRef]
- Wang, J.F.; Zhang, T.L.; Fu, B.J. A Measure of Spatial Stratified Heterogeneity. Ecol. Indic. 2016, 67, 250–256. [Google Scholar] [CrossRef]
- Outline Development Plan for the Guangdong-Hong Kong-Macao Greater Bay Area. Available online: https://www.bayarea.gov.hk/en/outline/plan.html (accessed on 30 November 2022).
- The Outline Plan of Beijing-Tianjin-Hebei Integrated Development. Available online: http://jjj.chinadevelopment.com.cn/ (accessed on 30 November 2022). (In Chinese).
- The Yangtze River Delta Integration Plan. Available online: http://www.gov.cn/zhengce/2019-12/01/content_5457442.htm (accessed on 30 November 2022). (In Chinese)
- Wu, L.; Sun, C.; Fan, F. Estimating the Characteristic Spatiotemporal Variation in Habitat Quality Using the Invest Model—A Case Study from Guangdong–Hong Kong–Macao Greater Bay Area. Remote Sens. 2021, 13, 1008. [Google Scholar] [CrossRef]
- Lin, M.; Lin, T.; Sun, C.; Jones, L.; Sui, J.; Zhao, Y.; Liu, J.; Xing, L.; Ye, H.; Zhang, G.; et al. Using the Eco-Erosion Index to Assess Regional Ecological Stress Due to Urbanization—A Case Study in the Yangtze River Delta Urban Agglomeration. Ecol. Indic. 2020, 111, 106028. [Google Scholar] [CrossRef]
- Dong, L.; Longwu, L.; Zhenbo, W.; Liangkan, C.; Faming, Z. Exploration of Coupling Effects in the Economy–Society–Environment System in Urban Areas: Case Study of the Yangtze River Delta Urban Agglomeration. Ecol. Indic. 2021, 128, 107858. [Google Scholar] [CrossRef]
- Wang, J.; Zhou, W.; Pickett, S.T.A.; Yu, W.; Li, W. A Multiscale Analysis of Urbanization Effects on Ecosystem Services Supply in an Urban Megaregion. Sci. Total Environ. 2019, 662, 824–833. [Google Scholar] [CrossRef] [PubMed]
- Gao, K.; Yang, X.; Wang, Z.; Zhang, H.; Huang, C.; Zeng, X. Spatial Sustainable Development Assessment Using Fusing Multisource Data from the Perspective of Production-Living-Ecological Space Division: A Case of Greater Bay Area, China. Remote Sens. 2022, 14, 2772. [Google Scholar] [CrossRef]
- Jiang, H.; Peng, J.; Dong, J.; Zhang, Z.; Xu, Z.; Meersmans, J. Linking Ecological Background and Demand to Identify Ecological Security Patterns across the Guangdong-Hong Kong-Macao Greater Bay Area in China. Landsc. Ecol. 2021, 36, 2135–2150. [Google Scholar] [CrossRef]
- Lin, G.; Jiang, D.; Fu, J.; Cao, C.; Zhang, D. Spatial Conflict of Production-Living-Ecological Space and Sustainable-Development Scenario Simulation in Yangtze River Delta Agglomerations. Sustainability 2020, 12, 2175. [Google Scholar] [CrossRef]
- Fang, G.; Wang, Q.; Tian, L. Green Development of Yangtze River Delta in China under Population-Resources-Environment-Development-Satisfaction Perspective. Sci. Total Environ. 2020, 727, 138710. [Google Scholar] [CrossRef] [PubMed]
- Yang, Y.; Bao, W.; Liu, Y. Coupling Coordination Analysis of Rural Production-Living-Ecological Space in the Beijing-Tianjin-Hebei Region. Ecol. Indic. 2020, 117, 106512. [Google Scholar] [CrossRef]
- Peng, C.; Li, B.; Nan, B. An Analysis Framework for the Ecological Security of Urban Agglomeration: A Case Study of the Beijing-Tianjin-Hebei Urban Agglomeration. J. Clean. Prod. 2021, 315, 128111. [Google Scholar] [CrossRef]
- National Bureau of Statistics of China (NBSC). Available online: http://www.stats.gov.cn/english/Statisticaldata/AnnualData/ (accessed on 30 November 2022).
- Wang, X.; Yan, F.; Zeng, Y.; Chen, M.; Su, F.; Cui, Y. Changes in Ecosystems and Ecosystem Services in the Guangdong-Hong Kong-Macao Greater Bay Area since the Reform and Opening up in China. Remote Sens. 2021, 13, 1611. [Google Scholar] [CrossRef]
- Zhou, M.; Lu, L.; Guo, H.; Weng, Q.; Cao, S.; Zhang, S.; Li, Q. Urban Sprawl and Changes in Land-Use Efficiency in the Beijing–Tianjin–Hebei Region, China from 2000 to 2020: A Spatiotemporal Analysis Using Earth Observation Data. Remote Sens. 2021, 13, 2850. [Google Scholar] [CrossRef]
- Wu, J.; Li, X.; Luo, Y.; Zhang, D. Spatiotemporal Effects of Urban Sprawl on Habitat Quality in the Pearl River Delta from 1990 to 2018. Sci. Rep. 2021, 11, 1–15. [Google Scholar] [CrossRef] [PubMed]
- Wang, H.; Tang, L.; Qiu, Q.; Chen, H. Assessing the Impacts of Urban Expansion on Habitat Quality by Combining the Concepts of Land Use, Landscape, and Habitat in Two Urban Agglomerations in China. Sustainability 2020, 12, 4346. [Google Scholar] [CrossRef]
- He, C.; Gao, B.; Huang, Q.; Ma, Q.; Dou, Y. Environmental Degradation in the Urban Areas of China: Evidence from Multi-Source Remote Sensing Data. Remote Sens. Environ. 2017, 193, 65–75. [Google Scholar] [CrossRef]
- Zhang, D.; Huang, Q.; He, C.; Wu, J. Impacts of Urban Expansion on Ecosystem Services in the Beijing-Tianjin-Hebei Urban Agglomeration, China: A Scenario Analysis Based on the Shared Socioeconomic Pathways. Resour. Conserv. Recycl. 2017, 125, 115–130. [Google Scholar] [CrossRef]
- Lu, D.; Song, K.; Zang, S.; Jia, M.; Du, J.; Ren, C. The Effect of Urban Expansion on Urban Surface Temperature in Shenyang, China: An Analysis with Landsat Imagery. Environ. Model. Assess. 2015, 20, 197–210. [Google Scholar] [CrossRef]
- Zhang, G.; Gao, Y.; Li, J.; Su, B.; Chen, Z.; Lin, W. China’s Environmental Policy Intensity for 1978–2019. Sci. Data 2022, 9, 75. [Google Scholar] [CrossRef]
- European Space Agency (ESA). Land Cover CCI Product User Guide Version Tech Rep. 2017. Available online: http://maps.elie.ucl.ac.be/CCI/viewer/download/ESACCI-LC-Ph2-PUGv2_2.0.pdf (accessed on 30 November 2022).
- IUCN Habitats Classification Scheme. Available online: https://www.iucnredlist.org/resources/habitat-classification-scheme (accessed on 30 November 2022).
- Jung, M.; Dahal, P.R.; Butchart, S.H.M.; Donald, P.F.; De Lamo, X.; Lesiv, M.; Kapos, V.; Rondinini, C.; Visconti, P. A Global Map of Terrestrial Habitat Types. Sci. Data 2020, 7, 1–8. [Google Scholar] [CrossRef]
- Wei, J.; Li, Z.; Cribb, M.; Huang, W.; Xue, W.; Sun, L.; Guo, J.; Peng, Y.; Li, J.; Lyapustin, A.; et al. Improved 1km Resolution PM2.5 Estimates across China Using Enhanced Space-Time Extremely Randomized Trees. Atmos. Chem. Phys. 2020, 20, 3273–3289. [Google Scholar] [CrossRef]
- Wei, J.; Li, Z.; Lyapustin, A.; Sun, L.; Peng, Y.; Xue, W.; Su, T.; Cribb, M. Reconstructing 1-Km-Resolution High-Quality PM2.5 Data Records from 2000 to 2018 in China: Spatiotemporal Variations and Policy Implications. Remote Sens. Environ. 2021, 252, 112136. [Google Scholar] [CrossRef]
- Lloyd, C.T.; Sorichetta, A.; Tatem, A.J. High Resolution Global Gridded Data for Use in Population Studies. Sci. Data 2017, 4, 170001. [Google Scholar] [CrossRef]
- Natural Capital Project. InVEST-Habitat Quality. Available online: https://storage.googleapis.com/releases.naturalcapitalproject.org/invest-userguide/latest/habitat_quality.html (accessed on 30 November 2022).
- Hall, L.S.; Krausman, P.R.; Morrison, M.L. The Habitat Concept and a Plea for Standard Terminology Key Words Peer Refereed. Wildl. Soc. Bull. 1997, 25, 173–182. [Google Scholar]
- Mckinney, M.L. Urbanization, Biodiversity, and Conservation. Bioscience 2002, 52, 883–890. [Google Scholar] [CrossRef]
- Tang, F.; Fu, M.; Wang, L.; Song, W.; Yu, J.; Wu, Y. Dynamic Evolution and Scenario Simulation of Habitat Quality under the Impact of Land-Use Change in the Huaihe River Economic Belt, China. PLoS ONE 2021, 16, e0249566. [Google Scholar] [CrossRef] [PubMed]
- Chen, T.; Feng, Z.; Zhao, H.; Wu, K. Dataset of Ecosystem Services in Beijing and Its Surrounding Areas. Data Br. 2020, 29, 105151. [Google Scholar] [CrossRef] [PubMed]
- Xu, L.; Chen, S.S.; Xu, Y.; Li, G.; Su, W. Impacts of Land-Use Change on Habitat Quality during 1985-2015 in the Taihu Lake Basin. Sustainability 2019, 11, 3513. [Google Scholar] [CrossRef]
- Li, F.; Wang, L.; Chen, Z.; Clarke, K.C.; Li, M.; Jiang, P. Extending the SLEUTH Model to Integrate Habitat Quality into Urban Growth Simulation. J. Environ. Manag. 2018, 217, 486–498. [Google Scholar] [CrossRef]
- Zhou, D.; Xiao, J.; Bonafoni, S.; Berger, C.; Deilami, K.; Zhou, Y.; Frolking, S.; Yao, R.; Qiao, Z.; Sobrino, J.A. Satellite Remote Sensing of Surface Urban Heat Islands: Progress, Challenges, and Perspectives. Remote Sens. 2019, 11, 48. [Google Scholar] [CrossRef]
- Liu, F.; Zhang, X.; Murayama, Y.; Morimoto, T. Impacts of Land Cover/Use on the Urban Thermal Environment: A Comparative Study of 10 Megacities in China. Remote Sens. 2020, 12, 307. [Google Scholar] [CrossRef]
- Wang, Q.; Wang, H.; Zeng, H.; Chang, R.; Bai, X. Understanding Relationships between Landscape Multifunctionality and Land-Use Change across Spatiotemporal Characteristics: Implications for Supporting Landscape Management Decisions. J. Clean. Prod. 2022, 377, 134474. [Google Scholar] [CrossRef]
- Naimi, B.; Hamm, N.A.S.; Groen, T.A.; Skidmore, A.K.; Toxopeus, A.G.; Alibakhshi, S. ELSA: Entropy-Based Local Indicator of Spatial Association. Spat. Stat. 2019, 29, 66–88. [Google Scholar] [CrossRef]
- Kalantari, M.; Ghavagh, A.R.; Toomanian, A.; Dero, Q.Y. A New Methodological Framework for Crime Spatial Analysis Using Local Entropy Map. Mod. Appl. Sci. 2016, 10, 179. [Google Scholar] [CrossRef]
- Yaakub, N.F.; Masron, T.; Marzuki, A.; Soda, R. GIS-Based Spatial Correlation Analysis: Sustainable Development and Two Generations of Demographic Changes. Sustainability 2022, 14, 1490. [Google Scholar] [CrossRef]
- Wang, H.; Qin, F.; Xu, C.; Li, B.; Guo, L.; Wang, Z. Evaluating the Suitability of Urban Development Land with a Geodetector. Ecol. Indic. 2021, 123, 107339. [Google Scholar] [CrossRef]
- Zhang, X.; Liao, L.; Xu, Z.; Zhang, J.; Chi, M.; Lan, S.; Gan, Q. Interactive Effects on Habitat Quality Using InVEST and GeoDetector Models in Wenzhou, China. Land 2022, 11, 630. [Google Scholar] [CrossRef]
- Wang, Y.; Guo, Z.; Han, J. The Relationship between Urban Heat Island and Air Pollutants and Them with Influencing Factors in the Yangtze River Delta, China. Ecol. Indic. 2021, 129, 107976. [Google Scholar] [CrossRef]
- Yang, Y.; Zheng, Z.; Yim, S.Y.L.; Roth, M.; Ren, G.; Gao, Z.; Wang, T.; Li, Q.; Shi, C.; Ning, G.; et al. PM2.5 Pollution Modulates Wintertime Urban Heat Island Intensity in the Beijing-Tianjin-Hebei Megalopolis, China. Geophys. Res. Lett. 2020, 47, e2019GL084288. [Google Scholar] [CrossRef]
- Wu, H.; Wang, T.; Wang, Q.; Riemer, N.; Cao, Y.; Liu, C.; Ma, C.; Xie, X. Relieved Air Pollution Enhanced Urban Heat Island Intensity in the Yangtze River Delta, China. Aerosol Air Qual. Res. 2019, 19, 2683–2696. [Google Scholar] [CrossRef]
- Wu, D.; Xu, Y.; Zhang, S. Will Joint Regional Air Pollution Control Be More Cost-Effective? An Empirical Study of China’s Beijing-Tianjin-Hebei Region. J. Environ. Manag. 2015, 149, 27–36. [Google Scholar]
- Wang, L.; Zhang, F.; Pilot, E.; Yu, J.; Nie, C.; Holdaway, J.; Yang, L.; Li, Y.; Wang, W.; Vardoulakis, S.; et al. Taking Action on Air Pollution Control in the Beijing-Tianjin-Hebei (BTH) Region: Progress, Challenges and Opportunities. Int. J. Environ. Res. Public Health 2018, 15, 306. [Google Scholar] [CrossRef]
- Li, Y.; Huang, S.; Yin, C.; Sun, G.; Ge, C. Construction and Countermeasure Discussion on Government Performance Evaluation Model of Air Pollution Control: A Case Study from Beijing-Tianjin-Hebei Region. J. Clean. Prod. 2020, 254, 120072. [Google Scholar] [CrossRef]
- Li, Y.; Zhang, L.; Qiu, J.; Yan, J.; Wan, L.; Wang, P.; Hu, N.; Cheng, W.; Fu, B. Spatially Explicit Quantification of the Interactions among Ecosystem Services. Landsc. Ecol. 2017, 32, 1181–1199. [Google Scholar] [CrossRef]
- Shen, J.; Li, S.; Liang, Z.; Liu, L.; Li, D.; Wu, S. Exploring the Heterogeneity and Nonlinearity of Trade-Offs and Synergies among Ecosystem Services Bundles in the Beijing-Tianjin-Hebei Urban Agglomeration. Ecosyst. Serv. 2020, 43, 101103. [Google Scholar] [CrossRef]
- Li, G.; Fang, C.; Wang, S. Exploring Spatiotemporal Changes in Ecosystem-Service Values and Hotspots in China. Sci. Total Environ. 2016, 545–546, 609–620. [Google Scholar] [CrossRef] [PubMed]
- Hou, Y.; Li, B.; Müller, F.; Fu, Q.; Chen, W. A Conservation Decision-Making Framework Based on Ecosystem Service Hotspot and Interaction Analyses on Multiple Scales. Sci. Total Environ. 2018, 643, 277–291. [Google Scholar] [CrossRef] [PubMed]















| Interaction Types | Judging Criteria | Interaction Relationship Descriptions |
|---|---|---|
| Nonlinear-weakened | The synergistic effect is nonlinearly weakened by the interplay of two variables. | |
| Univariate-weakened | The synergistic effect is univariately weakened by the interplay of two variables. | |
| Independent | The effects of individual variables are independent. | |
| Bivariate-enhanced | The synergistic effect is mutually enhanced by the interplay of two variables. | |
| Nonlinear-enhanced | The synergistic effect is nonlinearly enhanced by the interplay of two variables. |
| BTH | ||||
| Type of Relationship | HQ–SHII | HQ–PM2.5 | HQ–RS | HQ–NDVI |
| Positive Linear | 6.99% | 4.62% | 0.11% | 20.87% |
| Negative Linear | 16.96% | 10.47% | 21.16% | 4.27% |
| Concave | 4.86% | 3.77% | 1.00% | 9.87% |
| Convex | 5.73% | 4.56% | 10.44% | 5.48% |
| Undefined Complex | 3.89% | 3.95% | 1.15% | 2.66% |
| Not Significant | 61.57% | 72.63% | 66.15% | 56.86% |
| GBA | ||||
| Type of relationship | HQ–SHII | HQ–PM2.5 | HQ–RS | HQ–NDVI |
| Positive Linear | 4.17% | 1.35% | 0.01% | 16.91% |
| Negative Linear | 30.17% | 10.48% | 16.50% | 4.78% |
| Concave | 11.53% | 3.23% | 0.03% | 9.28% |
| Convex | 12.26% | 1.91% | 10.01% | 10.81% |
| Undefined Complex | 7.25% | 6.72% | 2.25% | 7.43% |
| Not Significant | 34.63% | 76.30% | 71.20% | 50.80% |
| YRD | ||||
| Type of relationship | HQ–SHII | HQ–PM2.5 | HQ–RS | HQ–NDVI |
| Positive Linear | 4.16% | 3.20% | 0.01% | 22.00% |
| Negative Linear | 21.41% | 11.36% | 27.99% | 5.46% |
| Concave | 16.18% | 4.08% | 0.30% | 11.43% |
| Convex | 6.23% | 2.11% | 16.86% | 10.53% |
| Undefined Complex | 5.65% | 7.20% | 3.37% | 6.42% |
| Not Significant | 46.36% | 72.05% | 51.47% | 44.16% |
Disclaimer/Publisher’s Note: The statements, opinions and data contained in all publications are solely those of the individual author(s) and contributor(s) and not of MDPI and/or the editor(s). MDPI and/or the editor(s) disclaim responsibility for any injury to people or property resulting from any ideas, methods, instructions or products referred to in the content. |
© 2023 by the authors. Licensee MDPI, Basel, Switzerland. This article is an open access article distributed under the terms and conditions of the Creative Commons Attribution (CC BY) license (https://creativecommons.org/licenses/by/4.0/).
Share and Cite
Liu, F.; Murayama, Y.; Masago, Y. Spatial Influence of Multifaceted Environmental States on Habitat Quality: A Case Study of the Three Largest Chinese Urban Agglomerations. Remote Sens. 2023, 15, 921. https://doi.org/10.3390/rs15040921
Liu F, Murayama Y, Masago Y. Spatial Influence of Multifaceted Environmental States on Habitat Quality: A Case Study of the Three Largest Chinese Urban Agglomerations. Remote Sensing. 2023; 15(4):921. https://doi.org/10.3390/rs15040921
Chicago/Turabian StyleLiu, Fei, Yuji Murayama, and Yoshifumi Masago. 2023. "Spatial Influence of Multifaceted Environmental States on Habitat Quality: A Case Study of the Three Largest Chinese Urban Agglomerations" Remote Sensing 15, no. 4: 921. https://doi.org/10.3390/rs15040921
APA StyleLiu, F., Murayama, Y., & Masago, Y. (2023). Spatial Influence of Multifaceted Environmental States on Habitat Quality: A Case Study of the Three Largest Chinese Urban Agglomerations. Remote Sensing, 15(4), 921. https://doi.org/10.3390/rs15040921

