A Preliminary Assessment of the GSMaP Version 08 Products over Indonesian Maritime Continent against Gauge Data
Abstract
1. Introduction
2. Data and Methodology
2.1. Study Area and Rain Gauge Data
2.2. GSMaP Precipitation Products
2.3. Validation Methods
3. Results
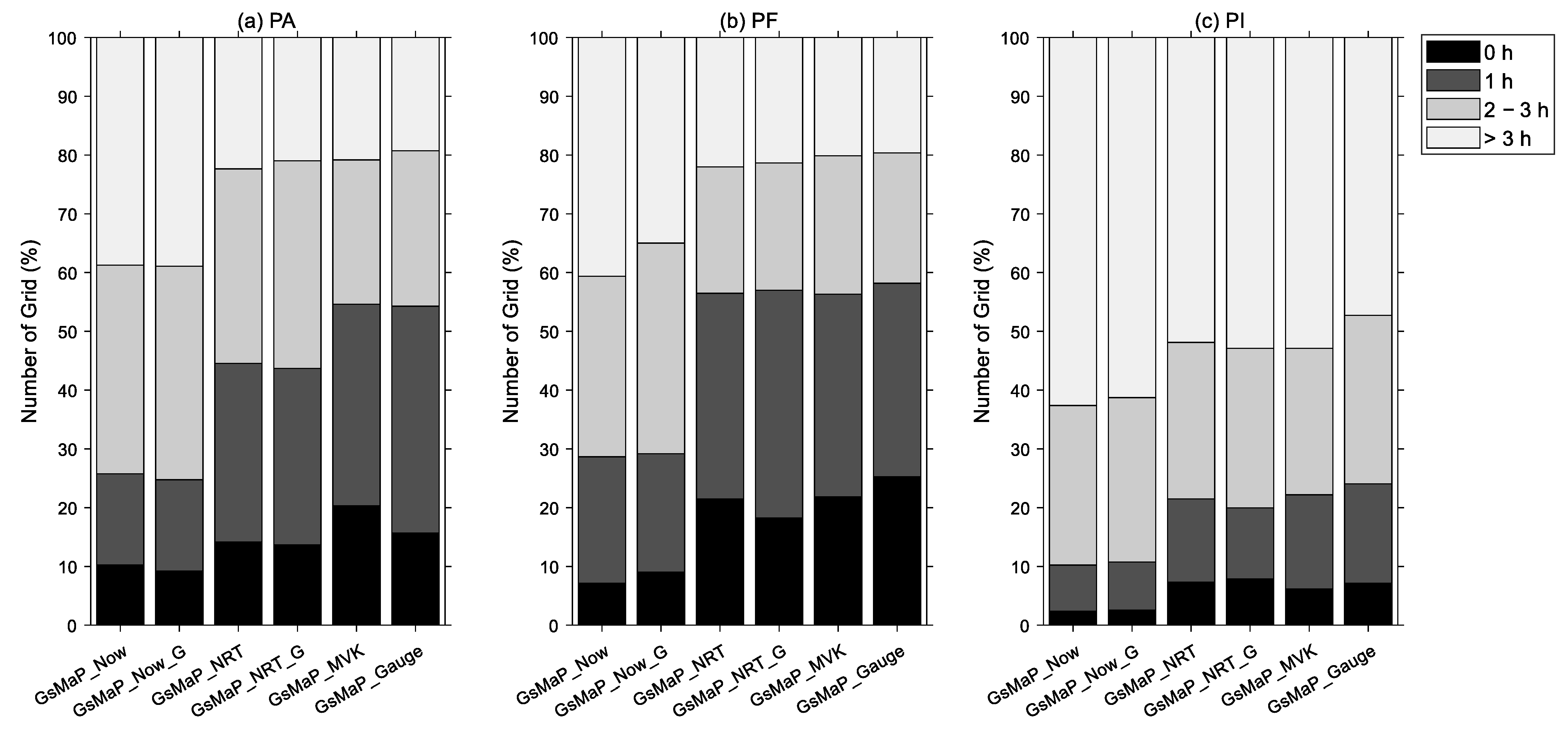
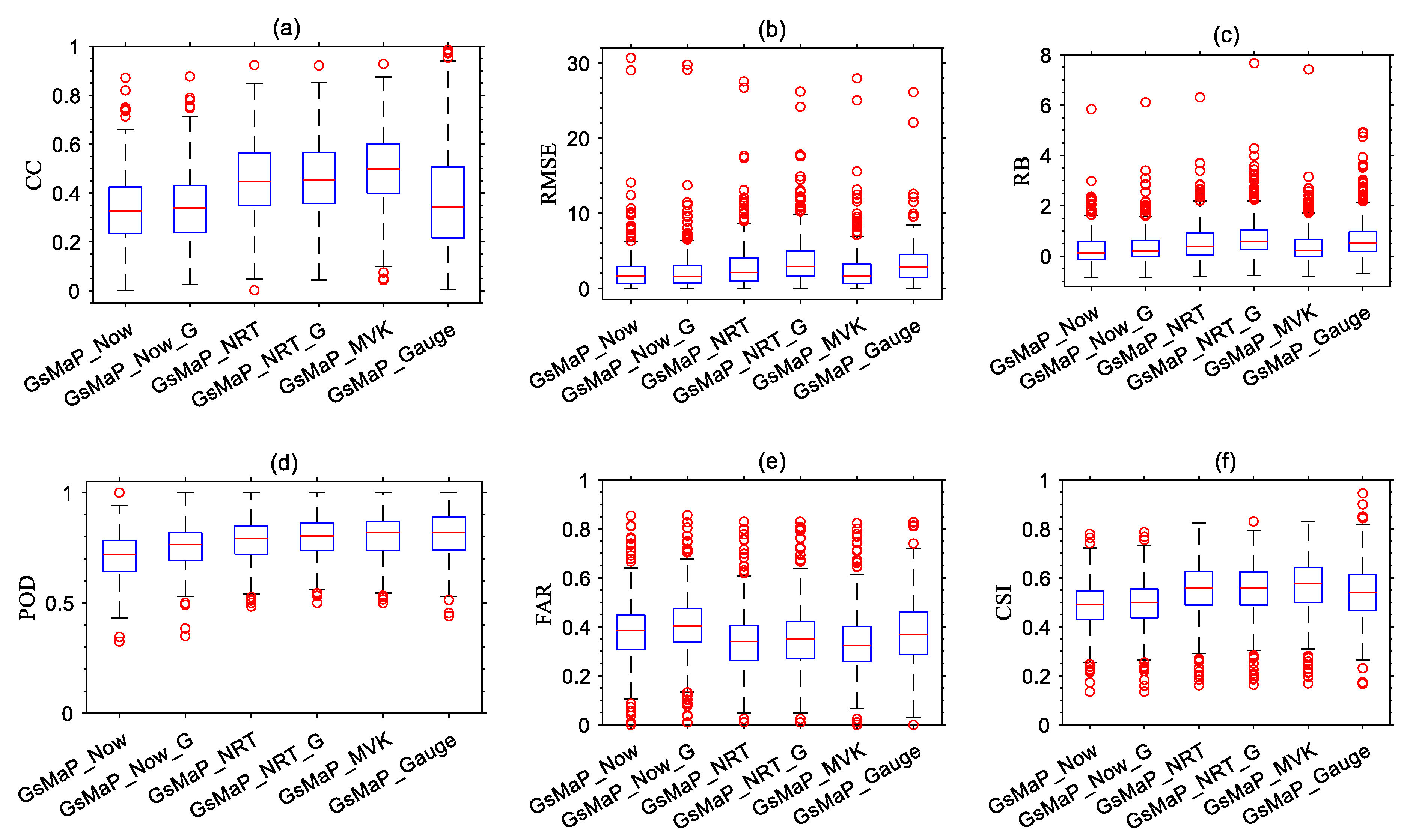
3.1. Hourly Assessment
3.2. Daily Assessment
3.3. Monthly Assessment
3.4. Topography and Elevation Dependence
4. Discussion
5. Conclusions
Author Contributions
Funding
Data Availability Statement
Acknowledgments
Conflicts of Interest
References
- Tan, M.L.; Ibrahim, A.L.; Duan, Z.; Cracknell, A.P.; Chaplot, V. Evaluation of Six High-Resolution Satellite and Ground-Based Precipitation Products over Malaysia. Remote Sens. 2015, 7, 1504–1528. [Google Scholar] [CrossRef]
- Satgé, F.; Ruelland, D.; Bonnet, M.P.; Molina, J.; Pillco, R. Consistency of Satellite-Based Precipitation Products in Space and over Time Compared with Gauge Observations and Snow- Hydrological Modelling in the Lake Titicaca Region. Hydrol. Earth Syst. Sci. 2019, 23, 595–619. [Google Scholar] [CrossRef]
- Tang, G.; Clark, M.P.; Papalexiou, S.M.; Ma, Z.; Hong, Y. Have Satellite Precipitation Products Improved over Last Two Decades? A Comprehensive Comparison of GPM IMERG with Nine Satellite and Reanalysis Datasets. Remote Sens. Environ. 2020, 240, 111697. [Google Scholar] [CrossRef]
- Sadeghi, M.; Nguyen, P.; Naeini, M.R.; Hsu, K.; Braithwaite, D.; Sorooshian, S. PERSIANN-CCS-CDR, a 3-Hourly 0.04° Global Precipitation Climate Data Record for Heavy Precipitation Studies. Sci. Data 2021, 8, 157. [Google Scholar] [CrossRef] [PubMed]
- Hsu, K.L.; Gao, X.; Sorooshian, S.; Gupta, H.V. Precipitation Estimation from Remotely Sensed Information Using Artificial Neural Networks. J. Appl. Meteorol. 1997, 36, 1176–1190. [Google Scholar] [CrossRef]
- Joyce, R.J.; Janowiak, J.E.; Arkin, P.A.; Xie, P. CMORPH: A Method That Produces Global Precipitation Estimates from Passive Microwave and Infrared Data at High Spatial and Temporal Resolution. J. Hydrometeorol. 2004, 5, 487–503. [Google Scholar] [CrossRef]
- Funk, C.; Peterson, P.; Landsfeld, M.; Pedreros, D.; Verdin, J.; Shukla, S.; Husak, G.; Rowland, J.; Harrison, L.; Hoell, A.; et al. The Climate Hazards Infrared Precipitation with Stations—A New Environmental Record for Monitoring Extremes. Sci. Data 2015, 2, 150066. [Google Scholar] [CrossRef]
- Massari, C.; Maggioni, V. Error and Uncertainty Characterization. In Advances in Global Change Research; Springer: Berlin/Heidelberg, Germany, 2020; Volume 69. [Google Scholar]
- Maggioni, V.; Massari, C. On the Performance of Satellite Precipitation Products in Riverine Flood Modeling: A Review. J. Hydrol. 2018, 558, 214–224. [Google Scholar] [CrossRef]
- Hur, J.; Raghavan, S.V.; Nguyen, N.S.; Liong, S.Y. Are Satellite Products Good Proxies for Gauge Precipitation over Singapore? Theor. Appl. Climatol. 2018, 132, 921–932. [Google Scholar] [CrossRef]
- Guilloteau, C.; Foufoula-Georgiou, E.; Kummerow, C.D. Global Multiscale Evaluation of Satellite Passive Microwave Retrieval of Precipitation during the TRMM and GPM Eras: Effective Resolution and Regional Diagnostics for Future Algorithm Development. J. Hydrometeorol. 2017, 18, 3051–3070. [Google Scholar] [CrossRef]
- Yuan, F.; Zhang, L.; Soe, K.M.W.; Ren, L.; Zhao, C.; Zhu, Y.; Jiang, S.; Liu, Y. Applications of TRMM- and GPM-Era Multiple- Satellite Precipitation Products for Flood Simulations at Sub-Daily Scales in a Sparsely Gauged Watershed in Myanmar. Remote Sens. 2019, 11, 140. [Google Scholar] [CrossRef]
- Tan, J.; Huffman, G.J.; Bolvin, D.T.; Nelkin, E.J. IMERG V06: Changes to the Morphing Algorithm. J. Atmos. Ocean. Technol. 2019, 36, 2471–2482. [Google Scholar] [CrossRef]
- Kubota, T.; Aonashi, K.; Ushio, T.; Shige, S.; Takayabu, Y.N.; Kachi, M.; Arai, Y.; Tashima, T.; Masaki, T.; Kawamoto, N.; et al. Global Satellite Mapping of Precipitation (GSMaP) Products in the GPM Era. In Advances in Global Change Research; Springer: Berlin/Heidelberg, Germany, 2020; Volume 67. [Google Scholar]
- Zhou, Z.; Guo, B.; Xing, W.; Zhou, J.; Xu, F.; Xu, Y. Comprehensive Evaluation of Latest GPM Era IMERG and GSMaP Precipitation Products over Mainland China. Atmos. Res. 2020, 246, 105132. [Google Scholar] [CrossRef]
- Wang, H.; Yong, B. Quasi-Global Evaluation of Imerg and Gsmap Precipitation Products over Land Using Gauge Observations. Water 2020, 12, 243. [Google Scholar] [CrossRef]
- Shi, J.; Yuan, F.; Shi, C.; Zhao, C.; Zhang, L.; Ren, L.; Zhu, Y.; Jiang, S.; Liu, Y. Statistical Evaluation of the Latest GPM-Era IMERG and GSMaP Satellite Precipitation Products in the Yellow River Source Region. Water 2020, 12, 1006. [Google Scholar] [CrossRef]
- Satgé, F.; Hussain, Y.; Bonnet, M.P.; Hussain, B.M.; Martinez-Carvajal, H.; Akhter, G.; Uagoda, R. Benefits of the Successive GPM Based Satellite Precipitation Estimates IMERG-V03, -V04, -V05 and GSMaP-V06, -V07 over Diverse Geomorphic and Meteorological Regions of Pakistan. Remote Sens. 2018, 10, 1373. [Google Scholar] [CrossRef]
- Salles, L.; Satgé, F.; Roig, H.; Almeida, T.; Olivetti, D.; Ferreira, W. Seasonal Effect on Spatial and Temporal Consistency of the New GPM-Based IMERG-v5 and GSMaP-v7 Satellite Precipitation Estimates in Brazil’s Central Plateau Region. Water 2019, 11, 668. [Google Scholar] [CrossRef]
- Ning, S.; Song, F.; Udmale, P.; Jin, J.; Thapa, B.R.; Ishidaira, H. Error Analysis and Evaluation of the Latest GSMap and IMERG Precipitation Products over Eastern China. Adv. Meteorol. 2017, 2017, 1803492. [Google Scholar] [CrossRef]
- Nepal, B.; Shrestha, D.; Sharma, S.; Shrestha, M.S.; Aryal, D.; Shrestha, N. Assessment of GPM-Era Satellite Products’ (IMERG and GSMaP) Ability to Detect Precipitation Extremes over Mountainous Country Nepal. Atmosphere 2021, 12, 254. [Google Scholar] [CrossRef]
- Lu, D.; Yong, B. Evaluation and Hydrological Utility of the Latest GPM IMERG V5 and GSMaP V7 Precipitation Products over the Tibetan Plateau. Remote Sens. 2018, 10, 2022. [Google Scholar] [CrossRef]
- Aslami, F.; Ghorbani, A.; Sobhani, B.; Esmali, A. Comprehensive Comparison of Daily IMERG and GSMaP Satellite Precipitation Products in Ardabil Province, Iran. Int. J. Remote Sens. 2019, 40, 3139–3153. [Google Scholar] [CrossRef]
- Wu, H.; Adler, R.F.; Tian, Y.; Huffman, G.J.; Li, H.; Wang, J. Real-Time Global Flood Estimation Using Satellite-Based Precipitation and a Coupled Land Surface and Routing Model. Water Resour. Res. 2014, 50, 2693–2717. [Google Scholar] [CrossRef]
- Yong, B.; Liu, D.; Gourley, J.J.; Tian, Y.; Huffman, G.J.; Ren, L.; Hong, Y. Global View of Real-Time Trmm Multisatellite Precipitation Analysis: Implications for Its Successor Global Precipitation Measurement Mission. Bull. Am. Meteorol. Soc. 2015, 96, 283–296. [Google Scholar] [CrossRef]
- Kidd, C.; Becker, A.; Huffman, G.J.; Muller, C.L.; Joe, P.; Skofronick-Jackson, G.; Kirschbaum, D.B. So, How Much of the Earth’s Surface Is Covered by Rain Gauges? Bull. Am. Meteorol. Soc. 2017, 98, 69–78. [Google Scholar] [CrossRef]
- Khatakho, R.; Talchabhadel, R.; Thapa, B.R. Evaluation of Different Precipitation Inputs on Streamflow Simulation in Himalayan River Basin. J. Hydrol. 2021, 599, 126390. [Google Scholar] [CrossRef]
- Su, J.; Li, X.; Ren, W.; Lü, H.; Zheng, D. How Reliable Are the Satellite-Based Precipitation Estimations in Guiding Hydrological Modelling in South China? J. Hydrol. 2021, 602, 126705. [Google Scholar] [CrossRef]
- Wang, Q.; Xia, J.; She, D.; Zhang, X.; Liu, J.; Zhang, Y. Assessment of Four Latest Long-Term Satellite-Based Precipitation Products in Capturing the Extreme Precipitation and Streamflow across a Humid Region of Southern China. Atmos. Res. 2021, 257, 105554. [Google Scholar] [CrossRef]
- Pradhan, R.K.; Markonis, Y.; Vargas Godoy, M.R.; Villalba-Pradas, A.; Andreadis, K.M.; Nikolopoulos, E.I.; Papalexiou, S.M.; Rahim, A.; Tapiador, F.J.; Hanel, M. Review of GPM IMERG Performance: A Global Perspective. Remote Sens. Environ. 2022, 268, 112754. [Google Scholar] [CrossRef]
- Zhou, Y.; Wang, S.; Fang, J. Diurnal Cycle and Dipolar Pattern of Precipitation over Borneo during an MJO Event: Lee Convergence and Offshore Propagation. J. Atmos. Sci. 2022, 79, 2145–2168. [Google Scholar] [CrossRef]
- Darand, M.; Fathi, H. Evaluation of High Resolution Global Satellite Precipitation Mapping during Meteorological Drought over Iran. Theor. Appl. Climatol. 2021, 145, 1421–1436. [Google Scholar] [CrossRef]
- Chua, Z.W.; Kuleshov, Y.; Watkins, A. Evaluation of Satellite Precipitation Estimates over Australia. Remote Sens. 2020, 12, 678. [Google Scholar] [CrossRef]
- Chua, Z.W.; Kuleshov, Y.; Watkins, A.B.; Choy, S.; Sun, C. A Two-Step Approach to Blending GSMaP Satellite Rainfall Estimates with Gauge Observations over Australia. Remote Sens. 2022, 14, 1903. [Google Scholar] [CrossRef]
- Wild, A.; Chua, Z.W.; Kuleshov, Y. Triple Collocation Analysis of Satellite Precipitation Estimates over Australia. Remote Sens. 2022, 14, 2724. [Google Scholar] [CrossRef]
- Roy, D.; Banu, S. Comparison of Satellite Derived Rainfall Estimations: CMORPH, IMERG and GSMaP with Observed Precipitation. Am. J. Clim. Chang. 2021, 10, 407–421. [Google Scholar] [CrossRef]
- Yamanaka, M.D. Physical Climatology of Indonesian Maritime Continent: An Outline to Comprehend Observational Studies. Atmos. Res. 2016, 178–179, 231–259. [Google Scholar] [CrossRef]
- Marzuki; Hashiguchi, H.; Yamamoto, M.K.; Yamamoto, M.; Mori, S.; Yamanaka, M.D.; Carbone, R.E.; Tuttle, J.D. Cloud Episode Propagation over the Indonesian Maritime Continent from 10years of Infrared Brightness Temperature Observations. Atmos. Res. 2013, 120–121, 268–286. [Google Scholar] [CrossRef]
- Supari; Tangang, F.; Juneng, L.; Aldrian, E. Observed Changes in Extreme Temperature and Precipitation over Indonesia. Int. J. Climatol. 2017, 37, 1979–1997. [Google Scholar] [CrossRef]
- Yoneyama, K.; Zhang, C. Years of the Maritime Continent. Geophys. Res. Lett. 2020, 47, e2020GL087182. [Google Scholar] [CrossRef]
- Harjupa, W.; Abdillah, M.R.; Azura, A.; Putranto, M.F.; Marzuki, M.; Nauval, F.; Risyanto; Saufina, E.; Jumianti, N.; Fathrio, I. On the Utilization of RDCA Method for Detecting and Predicting the Occurrence of Heavy Rainfall in Indonesia. Remote Sens. Appl. Soc. Environ. 2022, 25, 100681. [Google Scholar] [CrossRef]
- Badan Nasional Penanggulangan Bencana Dibi BNPB. Available online: https://dibi.bnpb.go.id/kbencana/index (accessed on 1 August 2022).
- Ramadhan, R.; Yusnaini, H.; Marzuki, M.; Muharsyah, R.; Suryanto, W.; Sholihun, S.; Vonnisa, M.; Harmadi, H.; Ningsih, A.P.; Battaglia, A.; et al. Evaluation of GPM IMERG Performance Using Gauge Data over Indonesian Maritime Continent at Different Time Scales. Remote Sens. 2022, 14, 1172. [Google Scholar] [CrossRef]
- Ramadhan, R.; Marzuki, M.; Yusnaini, H.; Muharsyah, R.; Suryanto, W.; Sholihun, S.; Vonnisa, M.; Battaglia, A.; Hashiguchi, H. Capability of GPM IMERG Products for Extreme Precipitation Analysis over the Indonesian Maritime Continent. Remote Sens. 2022, 14, 412. [Google Scholar] [CrossRef]
- Fatkhuroyan; TrinahWati. Accuracy Assessment of Global Satellite Mapping of Precipitation (GSMaP) Product over Indonesian Maritime Continent. IOP Conf. Ser. Earth Environ. Sci. 2018, 187, 012060. [Google Scholar] [CrossRef]
- Liu, C.-Y.; Aryastana, P.; Liu, G.-R.; Huang, W.-R. Assessment of Satellite Precipitation Product Estimates over Bali Island. Atmos. Res. 2020, 244, 105032. [Google Scholar] [CrossRef]
- Setiyoko, A.; Osawa, T.; Nuarsa, W. Evaluation of GSMaP Precipitation Estimates over Indonesia. Int. J. Environ. Geosci. 2019, 3, 26–43. [Google Scholar]
- Wati, T.; Hadi, T.W.; Sopaheluwakan, A.; Hutasoit, L.M. Statistics of the Performance of Gridded Precipitation Datasets in Indonesia. Adv. Meteorol. 2022, 2022, 7995761. [Google Scholar] [CrossRef]
- Sugiartha, N.; Ogawara, K.; Tanaka, T.; Mahendra, M.S. Application of GSMaP Product and Rain Gauge Data for Monitoring Rainfall Condition of Flood Events in Indonesia. Int. J. Environ. Geosci. 2017, 1, 36–47. [Google Scholar] [CrossRef]
- Tashima, T.; Kubota, T.; Mega, T.; Ushio, T.; Oki, R. Precipitation Extremes Monitoring Using the Near-Real-Time GSMaP Product. IEEE J. Sel. Top. Appl. Earth Obs. Remote Sens. 2020, 13, 5640–5651. [Google Scholar] [CrossRef]
- Priyambodoho, B.A.; Kure, S.; Yagi, R.; Januriyadi, N.F. Flood Inundation Simulations Based on GSMaP Satellite Rainfall Data in Jakarta, Indonesia. Prog. Earth Planet. Sci. 2021, 8, 34. [Google Scholar] [CrossRef]
- Kubota, T.; Aonashi, K.; Ushio, T.; Shige, S.; Yamaji, M. A New Version of Global Satellite Mapping of Precipitation (GSMaP) Product Released in December 2021. In Proceedings of the EGU General Assembly 2022, Vienna, Austria, 23–27 May 2022. [Google Scholar]
- Marzuki, M.; Suryanti, K.; Yusnaini, H.; Tangang, F.; Muharsyah, R.; Vonnisa, M.; Devianto, D. Diurnal Variation of Precipitation from the Perspectives of Precipitation Amount, Intensity and Duration over Sumatra from Rain Gauge Observations. Int. J. Climatol. 2021, 41, 4386–4397. [Google Scholar] [CrossRef]
- Marzuki, M.; Yusnaini, H.; Tangang, F.; Muharsyah, R.; Vonnisa, M.; Harmadi, H. Land—Sea Contrast of Diurnal Cycle Characteristics and Rain Event Propagations over Sumatra According to Different Rain Duration and Seasons. Atmos. Res. 2022, 270, 106051. [Google Scholar] [CrossRef]
- Nur’utami, M.N.; Hidayat, R. Influences of IOD and ENSO to Indonesian Rainfall Variability: Role of Atmosphere-Ocean Interaction in the Indo-Pacific Sector. Procedia Environ. Sci. 2016, 33, 196–203. [Google Scholar] [CrossRef]
- Kurniadi, A.; Weller, E.; Min, S.K.; Seong, M.G. Independent ENSO and IOD Impacts on Rainfall Extremes over Indonesia. Int. J. Climatol. 2021, 41, 3640–3656. [Google Scholar] [CrossRef]
- Zhang, C.; Ling, J. Barrier Effect of the Indo-Pacific Maritime Continent on the MJO: Perspectives from Tracking MJO Precipitation. J. Clim. 2017, 30, 3439–3459. [Google Scholar] [CrossRef]
- Pohl, B.; Camberlin, P. Intraseasonal and Interannual Zonal Circulations over the Equatorial Indian Ocean. Theor. Appl. Climatol. 2011, 104, 175–191. [Google Scholar] [CrossRef]
- Arushi, P.V.; Chakraborty, A.; Nanjundiah, R.S. Recent Weakening in MJO-Related Convective Activity over the Equatorial Indian Ocean and Maritime Continent. Theor. Appl. Climatol. 2021, 143, 267–278. [Google Scholar] [CrossRef]
- Zhang, T.; Yang, S.; Jiang, X.; Zhao, P. Seasonal-Interannual Variation and Prediction of Wet and Dry Season Rainfall over the Maritime Continent: Roles of ENSO and Monsoon Circulation. J. Clim. 2016, 29, 3675–3695. [Google Scholar] [CrossRef]
- Moron, V.; Robertson, A.W.; Boer, R. Spatial Coherence and Seasonal Predictability of Monsoon Onset over Indonesia. J. Clim. 2009, 22, 840–850. [Google Scholar] [CrossRef]
- Aldrian, E.; Dwi Susanto, R. Identification of Three Dominant Rainfall Regions within Indonesia and Their Relationship to Sea Surface Temperature. Int. J. Climatol. 2003, 23, 1435–1452. [Google Scholar] [CrossRef]
- JAXA GSMaP User Guide. Available online: https://sharaku.eorc.jaxa.jp/GSMaP/guide.html (accessed on 1 August 2022).
- Aonashi, K.; Liu, G. Passive Microwave Precipitation Retrievals Using TMI during Baiu Period of 1998. Part I: Algorithm Description and Validation. J. Appl. Meteorol. 2000, 39, 224–234. [Google Scholar] [CrossRef]
- Ushio, T.; Sasashige, K.; Kubota, T.; Shige, S.; Okamoto, K.; Aonashi, K.; Inoue, T.; Takahashi, N.; Iguchi, T.; Kachi, M.; et al. A Kalman Filter Approach to the Global Satellite Mapping of Precipitation (GSMaP) from Combined Passive Microwave and Infrared Radiometric Data. J. Meteorol. Soc. Jpn. 2009, 87A, 137–151. [Google Scholar] [CrossRef]
- Chen, M.; Shi, W.; Xie, P.; Silva, V.B.S.; Kousky, V.E.; Higgins, R.W.; Janowiak, J.E. Assessing Objective Techniques for Gauge-Based Analyses of Global Daily Precipitation. J. Geophys. Res. Atmos. 2008, 113, D04110. [Google Scholar] [CrossRef]
- Shawky, M.; Moussa, A.; Hassan, Q.K.; El-Sheimy, N. Performance Assessment of Sub-Daily and Daily Precipitation Estimates Derived from GPM and GSMaP Products over an Arid Environment. Remote Sens. 2019, 11, 2840. [Google Scholar] [CrossRef]
- ETCCDI. ETCCDI Climate Change Indices. Available online: http://etccdi.pacificclimate.org/list_27_indices.shtml (accessed on 1 August 2022).
- Ramadhan, R.; Marzuki, M.; Yusnaini, H.; Ningsih, A.P.; Hashiguchi, H.; Shimomai, T.; Vonnisa, M.; Ulfah, S.; Suryanto, W.; Sholihun, S. Ground Validation of GPM IMERG-F Precipitation Products with the Point Rain Gauge Records on the Extreme Rainfall over a Mountainous Area of Sumatra Island. J. Penelit. Pendidik. IPA 2022, 8, 163–170. [Google Scholar] [CrossRef]
- Tan, M.L.; Duan, Z. Assessment of GPM and TRMM Precipitation Products over Singapore. Remote Sens. 2017, 9, 720. [Google Scholar] [CrossRef]
- Spinoni, J.; Barbosa, P.; Bucchignani, E.; Cassano, J.; Cavazos, T.; Christensen, J.H.; Christensen, O.B.; Coppola, E.; Evans, J.; Geyer, B.; et al. Future Global Meteorological Drought Hot Spots: A Study Based on CORDEX Data. J. Clim. 2020, 33, 3635–3661. [Google Scholar] [CrossRef]
- Xu, C.Y.; Singh, V.P. A Review on Monthly Water Balance Models for Water Resources Investigations. Water Resour. Manag. 1998, 12, 20–50. [Google Scholar] [CrossRef]
- Hansen, J.W.; Ines, A.V.M. Stochastic Disaggregation of Monthly Rainfall Data for Crop Simulation Studies. Agric. For. Meteorol. 2005, 131, 233–246. [Google Scholar] [CrossRef]
- Garbrecht, J.D.; Zhang, X.C.; Schneider, J.M.; Steiner, J.L. Utility of Seasonal Climate Forecasts in Management of Winter-Wheat Grazing. Appl. Eng. Agric. 2010, 26, 855–866. [Google Scholar] [CrossRef]
- He, X.; Guan, H.; Zhang, X.; Simmons, C.T. A Wavelet-Based Multiple Linear Regression Model for Forecasting Monthly Rainfall. Int. J. Climatol. 2014, 34, 1898–1912. [Google Scholar] [CrossRef]
- Goyal, M.K. Monthly Rainfall Prediction Using Wavelet Regression and Neural Network: An Analysis of 1901–2002 Data, Assam, India. Theor. Appl. Climatol. 2014, 118, 25–34. [Google Scholar] [CrossRef]
- Li, D.; Min, X.; Xu, J.; Xue, J.; Shi, Z. Assessment of Three Gridded Satellite-Based Precipitation Products and Their Performance Variabilities during Typhoons over Zhejiang, Southeastern China. J. Hydrol. 2022, 610, 127985. [Google Scholar] [CrossRef]
- Shi, J.; Wang, B.; Wang, G.; Yuan, F.; Shi, C.; Zhou, X.; Zhang, L.; Zhao, C. Are the Latest GSMaP Satellite Precipitation Products Feasible for Daily and Hourly Discharge Simulations in the Yellow River Source Region? Remote Sens. 2021, 13, 4199. [Google Scholar] [CrossRef]
- Chen, H.; Yong, B.; Gourley, J.J.; Wen, D.; Qi, W.; Yang, K. A Novel Real-Time Error Adjustment Method with Considering Four Factors for Correcting Hourly Multi-Satellite Precipitation Estimates. IEEE Trans. Geosci. Remote Sens. 2022, 60, 4105211. [Google Scholar] [CrossRef]
- Tan, X.; Yong, B.; Ren, L. Error Features of the Hourly GSMaP Multi-Satellite Precipitation Estimates over Nine Major Basins of China. Hydrol. Res. 2018, 49, 761–779. [Google Scholar] [CrossRef]
- Kobayashi, Y.; Watanabe, F.; Suzuki, S.; Emmanuel, O.; Kanyike, T. Verification of Availability of GSMaP Rainfall Data Based on the Comparison of Observed Rainfall Data in Africa. J. Arid Land Stud. 2018, 28, 85–88. [Google Scholar]
- Shirmohammadi-Aliakbarkhani, Z.; Akbari, A. Ground Validation of Diurnal TRMM 3B42 V7 and GPM Precipitation Products over the Northeast of Iran. Theor. Appl. Climatol. 2020, 142, 1413–1423. [Google Scholar] [CrossRef]
- Tan, J.; Huffman, G.J.; Bolvin, D.T.; Nelkin, E.J. Diurnal Cycle of IMERG V06 Precipitation. Geophys. Res. Lett. 2019, 46, 13584–13592. [Google Scholar] [CrossRef]
- Ramadhan, R.; Marzuki, M.; Suryanto, W.; Sholihun, S.; Yusnaini, H.; Muharsyah, R.; Hanif, M. Trends in Rainfall and Hydrometeorological Disasters in New Capital City of Indonesia from Long-Term Satellite-Based Precipitation Products. Remote Sens. Appl. Soc. Environ. 2022, 28, 100827. [Google Scholar] [CrossRef]
- Su, J.; Lü, H.; Zhu, Y.; Wang, X.; Wei, G. Component Analysis of Errors in Four GPM-Based Precipitation Estimations over Mainland China. Remote Sens. 2018, 10, 1420. [Google Scholar] [CrossRef]
- Tang, S.; Li, R.; He, J.; Wang, H.; Fan, X.; Yao, S. Comparative Evaluation of the GPM IMERG Early, Late, and Final Hourly Precipitation Products Using the CMPA Data over Sichuan Basin of China. Water 2020, 12, 554. [Google Scholar] [CrossRef]
- Zeng, Q.; Wang, Y.; Chen, L.; Wang, Z.; Zhu, H.; Li, B. Inter-Comparison and Evaluation of Remote Sensing Precipitation Products over China from 2005 to 2013. Remote Sens. 2018, 10, 168. [Google Scholar] [CrossRef]
- An, Y.; Zhao, W.; Li, C.; Liu, Y. Evaluation of Six Satellite and Reanalysis Precipitation Products Using Gauge Observations over the Yellow River Basin, China. Atmosphere 2020, 11, 1223. [Google Scholar] [CrossRef]
- Wang, H.; Yuan, Y.; Zeng, S.; Li, W.; Tang, X. Evaluation of Satellite-Based Precipitation Products from GPM IMERG and GSMaP over the Three-River Headwaters Region, China. Hydrol. Res. 2021, 52, 1328–1343. [Google Scholar] [CrossRef]
- Gummadi, S.; Dinku, T.; Shirsath, P.B.; Kadiyala, M.D.M. Evaluation of Multiple Satellite Precipitation Products for Rainfed Maize Production Systems over Vietnam. Sci. Rep. 2022, 12, 485. [Google Scholar] [CrossRef]
- Trang, H.T.; Manomaiphiboon, K.; Singhrattna, N.; Assareh, N. Evaluation of Multiple Sub-Daily Satellite Precipitation Products for Thailand. J. Sustain. Energy Environ. 2020, 11, 81–91. [Google Scholar]
- Akrami, S.A.; El-Shafie, A.; Jaafar, O. Improving Rainfall Forecasting Efficiency Using Modified Adaptive Neuro-Fuzzy Inference System (MANFIS). Water Resour. Manag. 2013, 27, 3507–3523. [Google Scholar] [CrossRef]
- Behrangi, A.; Khakbaz, B.; Jaw, T.C.; AghaKouchak, A.; Hsu, K.; Sorooshian, S. Hydrologic Evaluation of Satellite Precipitation Products over a Mid-Size Basin. J. Hydrol. 2011, 397, 225–237. [Google Scholar] [CrossRef]
- Ma, Q.; Xiong, L.; Liu, D.; Xu, C.-Y.; Guo, S. Evaluating the Temporal Dynamics of Uncertainty Contribution from Satellite Precipitation Input in Rainfall-Runoff Modeling Using the Variance Decomposition Method. Remote Sens. 2018, 10, 1876. [Google Scholar] [CrossRef]
- Oliazadeh, A.; Bozorg-Haddad, O.; Pakdaman, M.; Baghbani, R.; Loáiciga, H.A. Optimal Merging of Multi-Satellite Precipitation Data in Urban Areas. Theor. Appl. Climatol. 2022, 147, 1697–1712. [Google Scholar] [CrossRef]
- Saber, M.; Yilmaz, K.K. Evaluation and Bias Correction of Satellite-Based Rainfall Estimates for Modelling Flash Floods over the Mediterranean Region: Application to Karpuz River Basin, Turkey. Water 2018, 10, 657. [Google Scholar] [CrossRef]
- Pereira, R.M.; Bufon, V.B.; Maia, F.C.O. Improving GSMaP V06 Precipitation Products over the Upper Tocantins River Basin in the Brazilian Cerrado, Based on Local Rain-Gauge Network. Theor. Appl. Climatol. 2022, 148, 1249–1260. [Google Scholar] [CrossRef]
- Iqbal, Z.; Shahid, S.; Ahmed, K.; Wang, X.; Ismail, T.; Gabriel, H.F. Bias Correction Method of High-Resolution Satellite-Based Precipitation Product for Peninsular Malaysia. Theor. Appl. Climatol. 2022, 148, 1429–1446. [Google Scholar] [CrossRef]
- Chen, H.; Yong, B.; Shen, Y.; Liu, J.; Hong, Y.; Zhang, J. Comparison Analysis of Six Purely Satellite-Derived Global Precipitation Estimates. J. Hydrol. 2020, 581, 124376. [Google Scholar] [CrossRef]
- Gao, Z.; Huang, B.; Ma, Z.; Chen, X.; Qiu, J.; Liu, D. Comprehensive Comparisons of State-of-the-Art Gridded Precipitation Estimates for Hydrological Applications over Southern China. Remote Sens. 2020, 12, 3997. [Google Scholar] [CrossRef]
- Lu, X.; Tang, G.; Wei, M.; Yang, L.; Zhang, Y. Evaluation of Multi-Satellite Precipitation Products in Xinjiang, China. Int. J. Remote Sens. 2018, 39, 7437–7462. [Google Scholar] [CrossRef]
- Zhang, L.; Chen, X.; Lai, R.; Zhu, Z. Performance of Satellite-Based and Reanalysis Precipitation Products under Multi-Temporal Scales and Extreme Weather in Mainland China. J. Hydrol. 2022, 605, 127389. [Google Scholar] [CrossRef]
- Fatkhuroyan, F.; Wati, T.; Sukmana, A.; Kurniawan, R. Validation of Satellite Daily Rainfall Estimates over Indonesia. Forum Geogr. 2018, 32, 170–180. [Google Scholar] [CrossRef]
- Kumar, M.; Hodnebrog, Ø.; Daloz, A.S.; Sen, S.; Badiger, S.; Krishnaswamy, J. Measuring Precipitation in Eastern Himalaya: Ground Validation of Eleven Satellite, Model and Gauge Interpolated Gridded Products. J. Hydrol. 2021, 599, 126252. [Google Scholar] [CrossRef]
- El Kenawy, A.M.; Lopez-Moreno, J.I.; McCabe, M.F.; Vicente-Serrano, S.M. Evaluation of the TMPA-3B42 Precipitation Product Using a High-Density Rain Gauge Network over Complex Terrain in Northeastern Iberia. Glob. Planet. Chang. 2015, 133, 188–200. [Google Scholar] [CrossRef]
- Watters, D.; Battaglia, A. The NASA-JAXA Global Precipitation Measurement Mission–Part II: New Frontiers in Precipitation Science. Weather 2021, 76, 52–56. [Google Scholar] [CrossRef]
- Watters, D.; Battaglia, A. The NASA-JAXA Global Precipitation Measurement Mission–Part I: New Frontiers in Precipitation. Weather 2021, 76, 41–44. [Google Scholar] [CrossRef]
- Battaglia, A.; Kollias, P.; Dhillon, R.; Roy, R.; Tanelli, S.; Lamer, K.; Grecu, M.; Lebsock, M.; Watters, D.; Mroz, K. Spaceborne Cloud and Precipitation Radars: Status, Challenges, and Ways Forward. Rev. Geophys. 2020, 58, e2019RG000686. [Google Scholar] [CrossRef]
- Alexander, L.V.; Bador, M.; Roca, R.; Contractor, S.; Donat, M.G.; Nguyen, P.L. Intercomparison of Annual Precipitation Indices and Extremes over Global Land Areas from in Situ, Space-Based and Reanalysis Products. Environ. Res. Lett. 2020, 15, 55002. [Google Scholar] [CrossRef]
- Ayoub, A.B.; Tangang, F.; Juneng, L.; Tan, M.L.; Chung, J.X. Evaluation of Gridded Precipitation Datasets in Malaysia. Remote Sens. 2020, 12, 613. [Google Scholar] [CrossRef]
- Ramadhan, R.; Muharsyah, R.; Yusnaini, H.; Vonnisa, M.; Hashiguchi, H.; Suryanto, W. Evaluation of GPM IMERG Products for Extreme Precipitation over Indonesia. J. Phys. Conf. Ser. 2022, 2309, 12008. [Google Scholar] [CrossRef]
- Yusnaini, H.; Ramadhan, R.; Marzuki, M.; Ningsih, A.P.; Hashiguchi, H.; Shimomai, T.; Vonnisa, M.; Harmadi, H.; Suryanto, W.; Sholihun, S. Statistical Comparison of IMERG Precipitation Products with Optical Rain Gauge Observations over Kototabang, Indonesia. J. Ilmu Fiska Univ. Andalas 2022, 14, 10–20. [Google Scholar] [CrossRef]
- Ma, M.; Wang, H.; Jia, P.; Tang, G.; Wang, D.; Ma, Z.; Yan, H. Application of the GPM-IMERG Products in Flash Flood Warning: A Case Study in Yunnan, China. Remote Sens. 2020, 12, 1954. [Google Scholar] [CrossRef]
- Kim, T.; Yang, T.; Zhang, L.; Hong, Y. Near Real-Time Hurricane Rainfall Forecasting Using Convolutional Neural Network Models with Integrated Multi-SatellitE Retrievals for GPM (IMERG) Product. Atmos. Res. 2022, 270, 106037. [Google Scholar] [CrossRef]
- Hong, Y.; Adler, R.E.; Huffman, G.J. Satellite Remote Sensing for Global Landslide Monitoring. Eos Trans. Am. Geophys. Union 2007, 88, 357–358. [Google Scholar] [CrossRef]
- Hong, Y.; Adler, R.F.; Negri, A.; Huffman, G.J. Flood and Landslide Applications of near Real-Time Satellite Rainfall Products. Nat. Hazards 2007, 43, 285–294. [Google Scholar] [CrossRef]
- Hong, Y.; Adler, R.F.; Huffman, G. An Experimental Global Prediction System for Rainfall-Triggered Landslides Using Satellite Remote Sensing and Geospatial Datasets. IEEE Trans. Geosci. Remote Sens. 2007, 45, 1671–1680. [Google Scholar] [CrossRef]
- Yang, H.; Adler, R.F. Predicting Global Landslide Spatiotemporal Distribution: Integrating Landslide Susceptibility Zoning Techniques and Real-Time Satellite Rainfall Estimates. Int. J. Sediment Res. 2008, 23, 249–257. [Google Scholar]
- Vernimmen, R.R.E.; Hooijer, A.; Aldrian, E.; Van Dijk, A. Evaluation and Bias Correction of Satellite Rainfall Data for Drought Monitoring in Indonesia. Hydrol. Earth Syst. Sci. 2012, 16, 133–146. [Google Scholar] [CrossRef]
- Chen, C.-Y.; Chen, T.-C.; Yu, F.-C.; Yu, W.-H.; Tseng, C.-C. Rainfall Duration and Debris-Flow Initiated Studies for Real-Time Monitoring. Environ. Geol. 2005, 47, 715–724. [Google Scholar] [CrossRef]
- Hansen, J.W.; Challinor, A.; Ines, A.; Wheeler, T.; Moron, V. Translating Climate Forecasts into Agricultural Terms: Advances and Challenges. Clim. Res. 2006, 33, 27–41. [Google Scholar] [CrossRef]














| Name | Abbrevation | Latency | Resolution |
|---|---|---|---|
| GSMaP real-time version | GSMaP_Now | 0 h | 0.1° hourly (updated every 30 min) |
| GSMaP real-time version gauge-calibrated | GSMaP_Now_G | 0 h | 0.1° hourly (updated every 30 min) |
| GSMaP near-real time | GSMaP_NRT | 4 h | 0.1° hourly |
| GSMaP near-real time gauge-calibrated | GSMaP_NRT_G | 4 h | 0.1° hourly |
| GSMaP mapping of precipitation microwave–IR combined product | GSMaP_MVK | 3-day | 0.1° hourly |
| GSMaP mapping of precipitation microwave–IR combined product gauge-calibrated | GSMaP_Gauge | 3-day | 0.1° hourly |
| Station per Grid | Number of Grid |
|---|---|
| 1 | 532 |
| 2 | 41 |
| 3 | 11 |
| 4 | 2 |
| Total | 586 |
| Gi ≥ Threshold | Gi < Threshold | |
|---|---|---|
| Si ≥ threshold | Hit (H) | False (F) |
| Si < threshold | Misses (M) | Correct negatives (Z) |
| Index | Definition | Unit |
|---|---|---|
| R1mm | Number of days when precipitation ≥ 1 mm | days |
| R10mm | Number of days when precipitation ≥ 10 mm | days |
| R20mm | Number of days when precipitation ≥ 20 mm | days |
| R50mm | Number of days when precipitation ≥ 50 mm | days |
| CWD | Number of consecutive wet days (precipitation ≥ 1 mm) | days |
| CDD | Number of consecutive dry days (precipitation ≤ 1 mm) | days |
| RX1day | Maximum of daily rainfall | mm/day |
| GSMaP Type | CC | RMSE | RB | POD | FAR | CSI |
|---|---|---|---|---|---|---|
| GSMaP_Now | 0.14 | 0.08 | 0.12 | 0.44 | 0.60 | 0.21 |
| GSMaP_Now_G | 0.14 | 0.08 | 0.20 | 0.49 | 0.71 | 0.19 |
| GSMaP_NRT | 0.23 | 0.11 | 0.38 | 0.49 | 0.62 | 0.28 |
| GSMaP_NRT_G | 0.24 | 0.14 | 0.55 | 0.52 | 0.75 | 0.28 |
| GSMaP_MVK | 0.29 | 0.09 | 0.26 | 0.59 | 0.60 | 0.30 |
| GSMaP_Gauge | 0.26 | 0.12 | 0.49 | 0.78 | 0.81 | 0.18 |
| GSMaP Type | CC | RMSE | RB | POD | FAR | CSI |
|---|---|---|---|---|---|---|
| GSMaP_Now | 0.34 | 1.86 | 0.14 | 0.71 | 0.38 | 0.49 |
| GSMaP_Now_G | 0.34 | 1.87 | 0.20 | 0.76 | 0.41 | 0.50 |
| GSMaP_NRT | 0.44 | 2.42 | 0.41 | 0.78 | 0.33 | 0.56 |
| GSMaP_NRT_G | 0.45 | 3.14 | 0.57 | 0.80 | 0.35 | 0.56 |
| GSMaP_MVK | 0.50 | 1.87 | 0.26 | 0.81 | 0.33 | 0.57 |
| GSMaP_Gauge | 0.36 | 3.12 | 0.51 | 0.81 | 0.37 | 0.54 |
| R1mm | R10mmm | R20mm | R50mm | CWD | CDD | RX1day | |
|---|---|---|---|---|---|---|---|
| CC | |||||||
| GSMaP_Now | 0.50 | 0.64 | 0.71 | 0.73 | 0.18 | 0.16 | 0.38 |
| GSMaP_Now_G | 0.54 | 0.68 | 0.72 | 0.71 | 0.19 | 0.16 | 0.41 |
| GSMaP_NRT | 0.54 | 0.66 | 0.72 | 0.71 | 0.31 | 0.19 | 0.37 |
| GSMaP_NRT_G | 0.54 | 0.67 | 0.73 | 0.71 | 0.31 | 0.16 | 0.47 |
| GSMaP_MVK | 0.55 | 0.67 | 0.72 | 0.72 | 0.29 | 0.20 | 0.34 |
| GSMaP_Gauge | 0.44 | 0.64 | 0.71 | 0.69 | 0.20 | 0.14 | 0.40 |
| RMSE | |||||||
| GSMaP_Now | 12.60 | 2.10 | 1.49 | 1.22 | 0.65 | 4.74 | 65.37 |
| GSMaP_Now_G | 22.15 | 0.41 | 0.11 | 1.35 | 5.02 | 5.38 | 55.35 |
| GSMaP_NRT | 16.64 | 7.10 | 5.18 | 3.22 | 0.83 | 4.97 | 68.77 |
| GSMaP_NRT_G | 20.02 | 11.96 | 8.96 | 4.59 | 1.41 | 5.41 | 71.42 |
| GSMaP_MVK | 17.94 | 3.38 | 2.31 | 2.43 | 1.58 | 5.06 | 50.68 |
| GSMaP_Gauge | 24.76 | 14.55 | 8.74 | 2.87 | 3.21 | 6.21 | 32.24 |
| RB | |||||||
| GSMaP_Now | 0.14 | −0.05 | −0.08 | 0.45 | 0.07 | −0.34 | 1.03 |
| GSMaP_Now_G | 0.24 | 0.01 | −0.01 | 0.50 | 0.51 | −0.39 | 0.87 |
| GSMaP_NRT | 0.18 | 0.18 | 0.28 | 1.20 | 0.08 | −0.36 | 1.08 |
| GSMaP_NRT_G | 0.22 | 0.31 | 0.48 | 1.71 | 0.14 | −0.39 | 1.12 |
| GSMaP_MVK | 0.20 | 0.09 | 0.12 | 0.91 | 0.16 | −0.37 | 0.80 |
| GSMaP_Gauge | 0.27 | 0.38 | 0.47 | 1.07 | 0.33 | −0.45 | 0.51 |
| Location | Parameter | GSMaP_Now | GSMaP_Now_G | GSMaP_ NRT | GSMaP_ NRT_G | GSMaP_ MVK | GSMaP_Gauge | Average |
|---|---|---|---|---|---|---|---|---|
| Sumatra | CC | 0.29 | 0.31 | 0.43 | 0.46 | 0.47 | 0.36 | 0.39 |
| (159 grid) | RMSE | 0.41 | 0.69 | 1.59 | 2.37 | 0.96 | 2.39 | 1.4 |
| RB | 0.08 | 0.14 | 0.32 | 0.47 | 0.19 | 0.47 | 0.28 | |
| POD | 0.69 | 0.72 | 0.78 | 0.79 | 0.80 | 0.76 | 0.76 | |
| FAR | 0.41 | 0.43 | 0.37 | 0.38 | 0.36 | 0.39 | 0.39 | |
| CSI | 0.46 | 0.47 | 0.54 | 0.53 | 0.55 | 0.51 | 0.51 | |
| Java | CC | 0.31 | 0.35 | 0.41 | 0.43 | 0.47 | 0.40 | 0.39 |
| (191 grid) | RMSE | 1.30 | 1.21 | 3.98 | 4.51 | 3.10 | 3.29 | 2.90 |
| RB | 0.18 | 0.17 | 0.54 | 0.62 | 0.42 | 0.45 | 0.40 | |
| POD | 0.77 | 0.80 | 0.82 | 0.83 | 0.84 | 0.84 | 0.82 | |
| FAR | 0.36 | 0.37 | 0.33 | 0.33 | 0.33 | 0.38 | 0.35 | |
| CSI | 0.54 | 0.54 | 0.58 | 0.58 | 0.60 | 0.55 | 0.57 | |
| Bali and | CC | 0.28 | 0.31 | 0.35 | 0.37 | 0.42 | 0.38 | 0.35 |
| Nusa | RMSE | 1.22 | 0.12 | 0.14 | 0.77 | 0.76 | 1.90 | 0.82 |
| Tenggara | RB | −0.25 | −0.02 | −0.03 | 0.16 | −0.15 | 0.38 | 0.01 |
| (60 grid) | POD | 0.59 | 0.71 | 0.67 | 0.69 | 0.68 | 0.76 | 0.68 |
| FAR | 0.37 | 0.43 | 0.34 | 0.35 | 0.33 | 0.40 | 0.37 | |
| CSI | 0.44 | 0.46 | 0.50 | 0.50 | 0.51 | 0.50 | 0.49 | |
| Borneo | CC | 0.37 | 0.40 | 0.48 | 0.50 | 0.51 | 0.48 | 0.46 |
| (77 grid) | RMSE | 0.63 | 1.62 | 1.72 | 3.74 | 0.65 | 2.85 | 1.87 |
| RB | 0.11 | 0.28 | 0.30 | 0.65 | 0.11 | 0.50 | 0.33 | |
| POD | 0.74 | 0.79 | 0.81 | 0.83 | 0.83 | 0.85 | 0.81 | |
| FAR | 0.38 | 0.40 | 0.32 | 0.34 | 0.31 | 0.33 | 0.35 | |
| CSI | 0.51 | 0.52 | 0.59 | 0.58 | 0.60 | 0.60 | 0.57 | |
| Sulawesi | CC | 0.24 | 0.24 | 0.31 | 0.32 | 0.33 | 0.27 | 0.28 |
| (64 grid) | RMSE | 0.06 | 0.88 | 1.30 | 2.82 | 1.04 | 2.93 | 1.51 |
| RB | 0.01 | 0.16 | 0.24 | 0.51 | 0.19 | 0.53 | 0.27 | |
| POD | 0.68 | 0.71 | 0.74 | 0.76 | 0.76 | 0.81 | 0.74 | |
| FAR | 0.42 | 0.43 | 0.38 | 0.39 | 0.37 | 0.41 | 0.40 | |
| CSI | 0.45 | 0.46 | 0.51 | 0.51 | 0.53 | 0.52 | 0.50 | |
| Molucca and | CC | 0.30 | 0.31 | 0.42 | 0.44 | 0.48 | 0.47 | 0.40 |
| New Guinea | RMSE | 2.3 | 2.37 | 3.85 | 4.81 | 2.89 | 3.46 | 3.28 |
| (18 grid) | RB | 0.45 | 0.46 | 0.75 | 0.93 | 0.56 | 0.67 | 0.64 |
| POD | 0.70 | 0.71 | 0.74 | 0.76 | 0.76 | 0.77 | 0.74 | |
| FAR | 0.30 | 0.31 | 0.27 | 0.28 | 0.27 | 0.28 | 0.29 | |
| CSI | 0.54 | 0.54 | 0.58 | 0.58 | 0.60 | 0.59 | 0.57 |
| Parameter | GSMaP_Now | GSMaP_Now_G | GSMaP_NRT | GSMaP_NRT_G | GSMaP_MVK | GSMaP_Gauge |
|---|---|---|---|---|---|---|
| CC | −0.20 | −0.20 | 0.02 | −0.03 | −0.05 | 0.14 |
| RMSE | −0.06 | −0.02 | −0.19 | −0.21 | −0.05 | 0.28 |
| RB | 0.18 | 0.30 | 0.09 | 0.14 | 0.13 | 0.42 |
| POD | −0.31 | −0.29 | 0.08 | 0.02 | −0.06 | 0.14 |
| FAR | −0.35 | −0.29 | −0.27 | −0.24 | −0.29 | −0.36 |
| CSI | 0.16 | 0.15 | 0.33 | 0.26 | 0.26 | 0.39 |
Disclaimer/Publisher’s Note: The statements, opinions and data contained in all publications are solely those of the individual author(s) and contributor(s) and not of MDPI and/or the editor(s). MDPI and/or the editor(s) disclaim responsibility for any injury to people or property resulting from any ideas, methods, instructions or products referred to in the content. |
© 2023 by the authors. Licensee MDPI, Basel, Switzerland. This article is an open access article distributed under the terms and conditions of the Creative Commons Attribution (CC BY) license (https://creativecommons.org/licenses/by/4.0/).
Share and Cite
Ramadhan, R.; Marzuki, M.; Yusnaini, H.; Muharsyah, R.; Tangang, F.; Vonnisa, M.; Harmadi, H. A Preliminary Assessment of the GSMaP Version 08 Products over Indonesian Maritime Continent against Gauge Data. Remote Sens. 2023, 15, 1115. https://doi.org/10.3390/rs15041115
Ramadhan R, Marzuki M, Yusnaini H, Muharsyah R, Tangang F, Vonnisa M, Harmadi H. A Preliminary Assessment of the GSMaP Version 08 Products over Indonesian Maritime Continent against Gauge Data. Remote Sensing. 2023; 15(4):1115. https://doi.org/10.3390/rs15041115
Chicago/Turabian StyleRamadhan, Ravidho, Marzuki Marzuki, Helmi Yusnaini, Robi Muharsyah, Fredolin Tangang, Mutya Vonnisa, and Harmadi Harmadi. 2023. "A Preliminary Assessment of the GSMaP Version 08 Products over Indonesian Maritime Continent against Gauge Data" Remote Sensing 15, no. 4: 1115. https://doi.org/10.3390/rs15041115
APA StyleRamadhan, R., Marzuki, M., Yusnaini, H., Muharsyah, R., Tangang, F., Vonnisa, M., & Harmadi, H. (2023). A Preliminary Assessment of the GSMaP Version 08 Products over Indonesian Maritime Continent against Gauge Data. Remote Sensing, 15(4), 1115. https://doi.org/10.3390/rs15041115

