Attributing Evapotranspiration Changes with an Extended Budyko Framework Considering Glacier Changes in a Cryospheric-Dominated Watershed
Abstract
1. Introduction
2. Materials and Methods
2.1. Study Area
2.2. Data Collection
2.3. Methods
2.3.1. Water Balance and Budyko Framework
2.3.2. Extended Budyko Framework
2.3.3. Sensitivity Analysis
2.3.4. Contribution Analysis of ET Change
3. Results
3.1. Variations of ET, P, ET0, and ∆W
3.2. Sensitivity of ET to Environmental Variables
3.3. Attribution Analysis of ET Change
4. Discussion
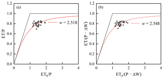
4.1. Performances of the Budyko Framework Considering Glaciers
4.2. Relationship between the Parameter w and NDVI
4.3. Uncertainty Analysis
5. Conclusions
Supplementary Materials
Author Contributions
Funding
Data Availability Statement
Acknowledgments
Conflicts of Interest
References
- Berry, S.L.; Farquhar, G.D.; Roderick, M.L. Co-Evolution of Climate, Vegetation, Soil and Air. In Theory, Organization and Scale, Encyclopedia of Hydrological Sciences, 1; Blöschl, G., Sivapalan, M., Eds.; John Wiley & Sons: Hoboken, NJ, USA, 2005; pp. 177–192. [Google Scholar]
- Yang, Y.; Roderick, M.L.; Yang, D.; Wang, Z.; Ruan, F.; McVicar, T.R.; Zhang, S.; Beck, H.E. Streamflow stationarity in a changing world. Environ. Res. Lett. 2021, 16, 064096. [Google Scholar] [CrossRef]
- Liu, Q.; Yang, Y.; Liang, L.; Yan, D.; Wang, X.; Li, C.; Sun, T. Hydrological effects of the snow fraction and its ecohydrological explication within the Budyko framework. J. Hydrol. 2022, 610, 127813. [Google Scholar] [CrossRef]
- Chang, Y.; Ding, Y.; Zhang, S.; Qin, J.; Zhao, Q. Dynamics and environmental controls of evapotranspiration for typical alpine meadow in the northeastern Tibetan Plateau. J. Hydrol. 2022, 612, 128282. [Google Scholar] [CrossRef]
- Ning, T.; Li, Z.; Feng, Q.; Li, Z.; Qin, Y. Attribution of growing season evapotranspiration variability considering snowmelt and vegetation changes in the arid alpine basins. Hydrol. Earth Syst. Sci. 2021, 25, 3455–3469. [Google Scholar] [CrossRef]
- Liu, J.J.; Zhou, Z.H.; Yan, Z.Q.; Gong, J.G.; Jia, Y.W.; Xu, C.Y.; Wang, H. A new approach to separating the impacts of climate change and multiple human activities on water cycle processes based on a distributed hydrological model. J. Hydrol. 2019, 578, 124096. [Google Scholar] [CrossRef]
- Hu, J.; Ma, J.; Nie, C.; Xue, L.; Zhang, Y.; Ni, F.; Deng, Y.; Liu, J.; Zhou, D.; Li, L.; et al. Attribution analysis of runoff change in minTuo River basin based on SWAT model simulations, China. Sci. Rep. 2020, 10, 2900. [Google Scholar] [CrossRef]
- Van Loon, A.F.; Rangecroft, S.; Coxon, G.; Naranjo, J.A.B.; Van Ogtrop, F.; Van Lanen, H.A.J. Using paired catchments to quantify the human influence on hydrological droughts. Hydrol. Earth Syst. Sci. 2019, 23, 1725–1739. [Google Scholar] [CrossRef]
- Xu, X.Y.; Yang, D.W.; Yang, H.B.; Lei, H.M. Attribution analysis based on the Budyko hypothesis for detecting the dominant cause of runoff decline in Haihe basin. J. Hydrol. 2014, 510, 530–540. [Google Scholar] [CrossRef]
- Dey, P.; Mishra, A. Separating the impacts of climate change and human activities on streamflow: A review of methodologies and critical assumptions. J. Hydrol. 2017, 548, 278–290. [Google Scholar] [CrossRef]
- Li, Z.; Liu, W.Z.; Zhang, X.C.; Zheng, F.L. Impacts of land use change and climate variability on hydrology in an agricultural catchment on the Loess Plateau of China. J. Hydrol. 2009, 377, 35–42. [Google Scholar] [CrossRef]
- Kure, S.; Jang, S.; Ohara, N.; Kavvas, M.L.; Chen, Z.Q. Hydrologic impact of regional climate change for the snow-fed and glacier-fed river basins in the Republic of Tajikistan: Statistical downscaling of global climate model projections. Hydrol. Process. 2013, 27, 4071–4090. [Google Scholar] [CrossRef]
- Budyko, M.I.; Zubenok, L.I. Determination of evaporation from the land surface. Izv. Akad. SSSR. Ser. Geogr. 1961, 6, 3–17. (In Russian) [Google Scholar]
- Budyko, M.I. Climate and Life; Academic Press: New York, NY, USA, 1974. [Google Scholar]
- Greve, P.; Gudmundsson, L.; Orlowsky, B.; Seneviratne, S.I. A two-parameter Budyko function to represent conditions under which evapotranspiration exceeds precipitation. Hydrol. Earth Syst. Sci. 2016, 20, 2195–2205. [Google Scholar] [CrossRef]
- Wu, J.; Miao, C.; Wang, Y.; Duan, Q.; Zhang, X. Contribution analysis of the long-term changes in seasonal runoff on the loess plateau, China, using eight Budyko-based methods. J. Hydrol. 2017, 545, 263–275. [Google Scholar] [CrossRef]
- Lavenne, A.; Andréassian, V. Impact of climate seasonality on catchment yield: A parameterization for commonly-used water balance formulas. J. Hydrol. 2018, 558, 266–274. [Google Scholar] [CrossRef]
- Li, H.J.; Shi, C.X.; Zhang, Y.S.; Ning, T.T.; Sun, P.C.; Liu, X.F.; Ma, X.; Liu, W.; Collins, A.L. Using the Budyko hypothesis for detecting and attributing changes in runoff to climate and vegetation change in the soft sandstone area of the middle Yellow River basin, China. Sci. Total Environ. 2020, 703, 11. [Google Scholar] [CrossRef] [PubMed]
- Shen, Q.N.; Cong, Z.T.; Lei, H.M. Evaluating the impact of climate and underlying surface change on runoff within the Budyko framework: A study across 224 catchments in China. J. Hydrol. 2017, 554, 251–262. [Google Scholar] [CrossRef]
- Ning, T.; Li, Z.; Liu, W. Separating the impacts of climate change and land surface alteration on runoff reduction in the Jing River catchment of China. Catena 2017, 147, 80–86. [Google Scholar] [CrossRef]
- Yang, L.; Feng, Q.; Adamowski, J.; Alizadeh, M.; Yin, Z.; Wen, X.; Zhu, M. The role of climate change and vegetation greening on the variation of terrestrial evapotranspiration in northwest China’s Qilian Mountains. Sci. Total Environ. 2021, 759, 143532. [Google Scholar] [CrossRef]
- Choudhury, B.J. Evaluation of an empirical equation for annual evaporation using field observations and results from a biophysical model. J. Hydrol. 1999, 216, 99–110. [Google Scholar] [CrossRef]
- Fu, B. On the calculation of the evaporation from land surface. Sci. Atmos. Sin. 1981, 5, 23–31. (In Chinese) [Google Scholar]
- Zhang, L.; Dawes, W.R.; Walker, G.R. Response of mean annual evapotranspiration to vegetation changes at catchment scale. Water Resour. Res. 2001, 37, 701–708. [Google Scholar] [CrossRef]
- Wang, D.B.; Tang, Y. A one-parameter Budyko model for water balance captures emergent behavior in darwinian hydrologic models. Geophys. Res. Lett. 2014, 41, 4569–4577. [Google Scholar] [CrossRef]
- Saha, A.; Joseph, J.; Ghosh, S. Climate controls on the terrestrial water balance: Influence of aridity on the basin characteristics parameter in the Budyko framework. Sci. Total Environ. 2020, 739, 139863. [Google Scholar] [CrossRef] [PubMed]
- Li, S.; Wang, G.; Zhu, C.; Lu, J.; Ullah, W.; Hagan, D.; Kattel, G.; Peng, J. Attribution of global evapotranspiration trends based on the Budyko framework. Hydrol. Earth Syst. Sci. 2022, 26, 3691–3707. [Google Scholar] [CrossRef]
- Teuling, A.J.; de Badts, E.A.G.; Jansen, F.A.; Fuchs, R.; Buitink, J.; Hoek van Dijke, A.J.; Sterling, S.M. Climate change, reforestation/afforestation, and urbanization impacts on evapotranspiration and streamflow in Europe. Hydrol. Earth Syst. Sci. 2019, 23, 3631–3652. [Google Scholar] [CrossRef]
- Zeng, R.; Cai, X. Assessing the temporal variance of evapotranspiration considering climate and catchment storage factors. Adv. Water Resour. 2015, 79, 51–60. [Google Scholar] [CrossRef]
- Li, S.J.; Wang, G.J.; Sun, S.L.; Hagan, T.F.D.; Chen, T.X.; Dolman, H.; Liu, Y. Long-term changes in evapotranspiration over China and attribution to climatic drivers during 1980–2010. J. Hydrol. 2021, 595, 126037. [Google Scholar] [CrossRef]
- Berghuijs, W.R.; Woods, R.A.; Hrachowitz, M. A precipitation shift from snow towards rain leads to a decrease in streamflow. Nat. Clim. Change. 2014, 4, 583–586. [Google Scholar] [CrossRef]
- Zhang, D.; Cong, Z.; Ni, G.; Yang, D.; Hu, S. Effects of snow ratio on annual runoff within the Budyko framework. Hydrol. Earth Syst. Sci. 2015, 19, 1977–1992. [Google Scholar] [CrossRef]
- Xin, J.; Sun, X.; Liu, L.; Li, X.; Cheng, L.; Xu, Z. Quantifying the contribution of climate and underlying surface changes to alpine runoff alterations associated with glacier melting. Hydrol. Process. 2021, 35, e14069. [Google Scholar] [CrossRef]
- Bai, J.; Li, J.; Shi, H.; Liu, T.; Zhong, R. Snowmelt water alters the regime of runoff in the arid region of Northwest China. Water 2018, 10, 902. [Google Scholar] [CrossRef]
- Liu, S.; Wang, X.; Zhang, L.; Kong, W.; Gao, H.; Xiao, C. Effect of glaciers on the annual catchment water balance within Budyko framework. Adv. Climate Change Res. 2022, 13, 51–62. [Google Scholar] [CrossRef]
- Wang, T.; Yang, H.; Yang, D.; Qin, Y.; Wang, Y. Quantifying the streamflow response to frozen ground degradation in the source region of the Yellow River within the Budyko framework. J. Hydrol. 2018, 558, 301–313. [Google Scholar] [CrossRef]
- Saydi, M.; Tang, G.; Fang, H. Major controls on streamflow of the Glacierized Urumqi River Basin in the arid region of Northwest China. Water 2020, 12, 3062. [Google Scholar] [CrossRef]
- Yang, Z. Glacier meltwater runoff in China and its nourishment to river. Chin. Geogr. Sci. 1995, 5, 66–76. [Google Scholar] [CrossRef]
- Roger, G.B. The status of research on glaciers and global glacier recession: A review. Prog. Phys. Geogr. 2006, 30, 285–306. [Google Scholar]
- Fujita, K.; Ohta, T.; Ageta, Y. Characteristics and climatic sensitivities of runoff from a cold-type glacier on the Tibetan Plateau. Hydrol. Process. 2007, 21, 2882–2891. [Google Scholar] [CrossRef]
- Yao, T.D.; Qin, D.H.; Shen, Y.P.; Zhao, L.; Wang, N.L. Cryospheric changes and their impacts on regional water cycle and ecological conditions in the Qinghai Tibetan Plateau. Chinese J. Nature. 2013, 35, 179–186. [Google Scholar]
- Chang, Y.; Ding, Y.; Zhao, Q.; Zhang, S. Remote estimation of terrestrial evapotranspiration by Landsat 5 TM and the SEBAL model in cold and high-altitude regions: A case study of the upper reach of the Shule River Basin, China. Hydrol. Process. 2017, 31, 514–524. [Google Scholar] [CrossRef]
- Xu, M.; Kang, S.; Wang, X.; Pepin, N.; Wu, H. Understanding changes in the water budget driven by climate change in cryospheric-dominated watershed of the northeast Tibetan Plateau, China. Hydrol. Process. 2019, 33, 1040–1058. [Google Scholar] [CrossRef]
- Guo, W.; Liu, S.; Xu, J.; Wu, L.; Shangguan, D.; Yao, X.; Wei, J.; Bao, W.; Yu, P.; Liu, Q.; et al. The second Chinese glacier inventory: Data, methods and results. J. Glaciol. 2015, 61, 357–372. [Google Scholar] [CrossRef]
- Jin, Z.; Zhao, Q.; Qin, X.; Zhang, J.; Zhang, H.; Qin, J.; Qin, Y.; Li, H.; Chen, J.; Liu, Y.; et al. Quantifying the impact of landscape changes on hydrological variables in the alpine and cold region using hydrological model and remote sensing data. Hydrol. Process. 2021, 35, e14392. [Google Scholar] [CrossRef]
- Sheng, Y.; Li, J.; Wu, J.C.; Ye, B.S.; Wang, J. Distribution patterns of permafrost in the upper area of Shule River with the application of GIS technique. J. China Univ. Min. Tech. 2010, 39, 32–39. [Google Scholar]
- Muñoz-Sabater, J.; Dutra, E.; Agustí-Panareda, A.; Albergel, C.; Arduini, G.; Balsamo, G.; Boussetta, S.; Choulga, M.; Harrigan, S.; Hersbach, H.; et al. ERA5-Land: A state-of-the-art global reanalysis dataset for land applications. Earth Syst. Sci. Data. 2021, 13, 4349–4383. [Google Scholar] [CrossRef]
- Yilmaz, M. Accuracy assessment of temperature trends from ERA5 and ERA5-Land. Sci. Total Environ. 2023, 856, 159182. [Google Scholar] [CrossRef]
- Zhao, P.; He, Z. A first evaluation of ERA5-Land reanalysis temperature product over the Chinese Qilian Mountains. Front. Earth Sci. 2022, 10, 907730. [Google Scholar] [CrossRef]
- Xie, W.; Yi, S.; Leng, C.; Xia, D.; Li, M.; Zhong, Z.; Ye, J. The evaluation of IMERG and ERA5-Land daily precipitationover China with consideringthe influence of gauge data bias. Sci. Rep. 2022, 12, 8085. [Google Scholar] [CrossRef]
- Lu, W.; Tang, J.; Lu, C.; Lu, C.; Jia, Y.; Sun, Q.; He, X.; Zhang, X. Attribution analysis of the spatiotemporal variation in water balance in a typical semiarid basin in northern China. Hydrol. Processes. 2022, 36, e14651. [Google Scholar] [CrossRef]
- Hock, R. Glacier melt: A review of processes and their modelling. Prog. Phys. Geog. 2005, 29, 362–391. [Google Scholar] [CrossRef]
- Fu, B.P. On the calculation of evaporation from land surface in mountainous areas. Sci. Atmos. Sin. 1996, 16, 8. [Google Scholar]
- Yang, H.B.; Yang, D.W.; Lei, Z.D.; Sun, F.B. New analytical derivation of the mean annual water-energy balance equation. Water Resour. Res. 2008, 44, W03410. [Google Scholar] [CrossRef]
- Yang, H.B.; Qi, J.; Xu, X.Y.; Yang, D.W.; Lv, H.F. The regional variation in climate elasticity and climate contribution to runoff across China. J. Hydrol. 2014, 517, 607–616. [Google Scholar] [CrossRef]
- McCuen, R.H. A sensitivity and error analysis of procedures used for estimating evaporation. Water Resour. Bull. 1974, 10, 486–498. [Google Scholar] [CrossRef]
- Zhang, Y.; Guan, D.; Jin, C.; Wang, A.; Wu, J.; Yuan, F. Analysis of impacts of climate variability and human activity on streamflow for a river basin in Northeast China. J. Hydrol. 2011, 410, 239–247. [Google Scholar] [CrossRef]
- Zeng, S.; Zhan, C.; Sun, F.; Du, H.; Wang, F. Effects of climate change and human activities on surface runoff in the Luan River Basin. Adv. Meteorol. 2015, 2015, 740239. [Google Scholar] [CrossRef]
- Shi, G.; Gao, B. Attribution analysis of runoff change in the upper reaches of the Kaidu River basin based on a modified Budyko framework. Atmosphere 2022, 13, 1385. [Google Scholar] [CrossRef]
- McCrystall, M.R.; Stroeve, J.; Serreze, M.; Forbes, B.C.; Screen, J.A. New climate models reveal faster and larger increases in Arctic precipitation than previously projected. Nat. Commun. 2021, 12, 6765. [Google Scholar] [CrossRef]
- Zhang, Y.; Ma, N.; Park, H.; Walsh, J.E.; Zhang, K. Evaporation Processes and Changes over the Northern Regions. In Arctic Hydrology, Permafrost and Ecosystems; Yang, D., Kane, D.L., Eds.; Springer International Publishing: Cham, Switzerland, 2021; pp. 101–131. [Google Scholar]
- Huang, Q.W.; Ma, N.J.; Wang, P. Faster increase in evapotranspiration in permafrost-dominated basins in the warming Pan-Arctic. J. Hydrol. 2022, 615, 128678. [Google Scholar] [CrossRef]
- Wang, G.; Lin, S.; Hu, Z.; Lu, Y.; Sun, X.; Huang, K. Improving actual evapotranspiration estimation integrating energy consumption for ice phase change across the Tibetan Plateau. J. Geophys. Res. Atmos. 2020, 125, e2019JD031799. [Google Scholar] [CrossRef]
- Li, N.; Jia, L.; Lu, J. An improved algorithm to estimate the surface soil heat flux over a heterogeneous surface: A case study in the Heihe River Basin. Sci. China Earth Sci. 2015, 58, 1169–1181. [Google Scholar] [CrossRef]
- Kojima, Y.; Heitman, J.L.; Flerchinger, G.N.; Ren, T.; Horton, R. Sensible heat balance estimates of transient soil ice contents. Vadose Zone J. 2016, 15, 1–11. [Google Scholar] [CrossRef]
- Lin, Z.; Gao, Z.; Fan, X.; Niu, F.; Luo, J.; Yin, G.; Liu, M. Factors controlling near surface ground-ice characteristics in a region of warm permafrost, Beiluhe Basin, Qinghai-Tibet Plateau. Geoderma 2020, 376, 114540. [Google Scholar] [CrossRef]








Disclaimer/Publisher’s Note: The statements, opinions and data contained in all publications are solely those of the individual author(s) and contributor(s) and not of MDPI and/or the editor(s). MDPI and/or the editor(s) disclaim responsibility for any injury to people or property resulting from any ideas, methods, instructions or products referred to in the content. |
© 2023 by the authors. Licensee MDPI, Basel, Switzerland. This article is an open access article distributed under the terms and conditions of the Creative Commons Attribution (CC BY) license (https://creativecommons.org/licenses/by/4.0/).
Share and Cite
Chang, Y.; Ding, Y.; Zhao, Q.; Zhang, S. Attributing Evapotranspiration Changes with an Extended Budyko Framework Considering Glacier Changes in a Cryospheric-Dominated Watershed. Remote Sens. 2023, 15, 558. https://doi.org/10.3390/rs15030558
Chang Y, Ding Y, Zhao Q, Zhang S. Attributing Evapotranspiration Changes with an Extended Budyko Framework Considering Glacier Changes in a Cryospheric-Dominated Watershed. Remote Sensing. 2023; 15(3):558. https://doi.org/10.3390/rs15030558
Chicago/Turabian StyleChang, Yaping, Yongjian Ding, Qiudong Zhao, and Shiqiang Zhang. 2023. "Attributing Evapotranspiration Changes with an Extended Budyko Framework Considering Glacier Changes in a Cryospheric-Dominated Watershed" Remote Sensing 15, no. 3: 558. https://doi.org/10.3390/rs15030558
APA StyleChang, Y., Ding, Y., Zhao, Q., & Zhang, S. (2023). Attributing Evapotranspiration Changes with an Extended Budyko Framework Considering Glacier Changes in a Cryospheric-Dominated Watershed. Remote Sensing, 15(3), 558. https://doi.org/10.3390/rs15030558

