A First Step towards Meteosat Third Generation Day-2 Precipitation Rate Product: Deep Learning for Precipitation Rate Retrieval from Geostationary Infrared Measurements
Abstract
1. Introduction
2. Materials and Methods
2.1. Data and Products Used
2.1.1. MSG SEVIRI Measurements
2.1.2. The GPM-CO DPR and GMI
2.1.3. H SAF GEO/LEO MW/IR Products
2.1.4. The NASA GPM IMERG Product
2.1.5. Ancillary Data
2.2. Deep Learning Applied to Satellite Data
2.2.1. Building Datasets for Learning and Test Phase
2.2.2. U-Net Configuration and Setting
3. Results
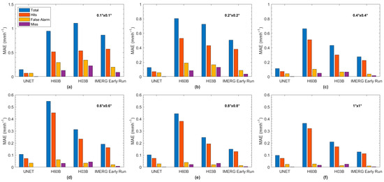
3.1. Precipitation Rate Quantitative Analysis
3.2. Precipitation Rate Detection Analysis
3.3. Parallax Displacement Error
4. Discussion
5. Conclusions
Author Contributions
Funding
Data Availability Statement
Acknowledgments
Conflicts of Interest
List of Acronyms
| Acronym | Definition | Acronym | Definition |
| AMSU | Advanced Microwave Sounding Unit | ML | Machine Learning |
| AMSR2 | Advanced Microwave Scanning Radiometer 2 | MHS | Microwave Humidity Sounder |
| ATMS | Advanced Technology Microwave Sounder | MSG | Meteosat geostationary system Second Generation |
| AVNNET | Averaged Neural Network | MTG | Meteosat Third Generation |
| CC | Pearson correlation coefficient | NASA | National Aeronautics and Space Administration |
| CNN | convolutional neural network | NCEP | National Centers for Environmental Prediction |
| CSI | Critical Success Index | NNET | Neural Network |
| CTH | Cloud Top Height | NOAA | National Oceanic and Atmospheric Administration |
| DPR | Dual-Frequency Precipitation Radar | NRT | Near Real-Time |
| ESA | European Space Agency | NWC SAF | Nowcasting SAF |
| FAR | False Alarm Ratio | PMW | Passive MicroWave |
| FCI | Flexible Combined Imager | POD | Probability of Detection |
| GEO | Geostationary | RF | Random Forest |
| GMI | GPM Microwave Imager | RMSE | Root Mean Square Error |
| GPCC | Global Precipitation Climatology Centre | SEVIRI | Spinning Enhanced Visible and Infrared Instrument |
| GPM | Global Precipitation Measurement Mission | SSMIS | Special Sensor Microwave Imager/Sounder |
| GPM-CO | GPM Core Observatory | STD | Standard Deviation |
| H SAF | Hydrology SAF | TB | Brightness Temperature |
| HRV | High Resolution Visible | TD | Test Dataset |
| IMERG | Integrated Multi-satellitE Retrievals for GPM | TRD | Training Dataset |
| IR | Infrared | VD | Validation Dataset |
| LEO | Low Earth Orbit | VIS | Visible |
| MAE | Mean Absolute Error |
References
- Iturbide-Sanchez, F.; Boukabara, S.-A.; Chen, R.; Garrett, K.; Grassotti, C.; Chen, W.; Weng, F. Assessment of a Variational Inversion System for Rainfall Rate Over Land and Water Surfaces. IEEE Trans. Geosci. Remote Sens. 2011, 49, 3311–3333. [Google Scholar] [CrossRef]
- Kidd, C.; Bauer, P.; Turk, J.; Huffman, G.J.; Joyce, R.; Hsu, K.-L.; Braithwaite, D. Intercomparison of High-Resolution Precipitation Products over Northwest Europe. J. Hydrometeorol. 2012, 13, 67–83. [Google Scholar] [CrossRef]
- Kidd, C.; Matsui, T.; Chern, J.; Mohr, K.; Kummerow, C.; Randel, D. Global Precipitation Estimates from Cross-Track Passive Microwave Observations Using a Physically Based Retrieval Scheme. J. Hydrometeorol. 2016, 17, 383–400. [Google Scholar] [CrossRef]
- Levizzani, V.; Cattani, E. Satellite Remote Sensing of Precipitation and the Terrestrial Water Cycle in a Changing Climate. Remote Sens. 2019, 11, 2301. [Google Scholar] [CrossRef]
- Sorooshian, S.; AghaKouchak, A.; Arkin, P.; Eylander, J.; Foufoula-Georgiou, E.; Harmon, R.; Hendrickx, J.M.H.; Imam, B.; Kuligowski, R.; Skahill, B.; et al. Advanced Concepts on Remote Sensing of Precipitation at Multiple Scales. Bull. Am. Meteorol. Soc. 2011, 92, 1353–1357. [Google Scholar] [CrossRef]
- Kirstetter, P.-E.; Hong, Y.; Gourley, J.J.; Chen, S.; Flamig, Z.; Zhang, J.; Schwaller, M.; Petersen, W.; Amitai, E. Toward a Framework for Systematic Error Modeling of Spaceborne Precipitation Radar with NOAA/NSSL Ground Radar–Based National Mosaic QPE. J. Hydrometeorol. 2012, 13, 1285–1300. [Google Scholar] [CrossRef]
- Kidd, C.; Becker, A.; Huffman, G.J.; Muller, C.L.; Joe, P.; Skofronick-Jackson, G.; Kirschbaum, D.B. So, How Much of the Earth’s Surface Is Covered by Rain Gauges? Bull. Am. Meteorol. Soc. 2017, 98, 69–78. [Google Scholar] [CrossRef]
- Hong, Y.; Tang, G.; Ma, Y.; Huang, Q.; Han, Z.; Zeng, Z.; Yang, Y.; Wang, C.; Guo, X. Remote Sensing Precipitation: Sensors, Retrievals, Validations, and Applications. In Observation and Measurement; Li, X., Vereecken, H., Eds.; Ecohydrology; Springer: Berlin/Heidelberg, Germany, 2018; pp. 1–23. ISBN 978-3-662-47871-4. [Google Scholar]
- Ebert, E.E.; Manton, M.J. Performance of Satellite Rainfall Estimation Algorithms during TOGA COARE. J. Atmos. Sci. 1998, 55, 1537–1557. [Google Scholar] [CrossRef]
- Negri, A.J. A TRMM-Calibrated Infrared Rainfall Algorithm Applied over Brazil. J. Geophys. Res. 2002, 107, 8048. [Google Scholar] [CrossRef]
- Scofield, R.A.; Kuligowski, R.J. Status and Outlook of Operational Satellite Precipitation Algorithms for Extreme-Precipitation Events. Weather Forecast. 2003, 18, 1037–1051. [Google Scholar] [CrossRef]
- Lahuerta, J.A.; Lliso, L.; Ripodas, P. Algorithm Theoretical Basis Document for the Precipitation Product Processors of the NWC/GEO 2021. Available online: https://www.nwcsaf.org/Downloads/GEO/2021/Documents/Scientific_Docs/NWC-CDOP3-GEO-AEMET-SCI-ATBD-Precipitation_v1.0.1.pdf (accessed on 18 November 2023).
- Lahuerta, J.A.; Lliso, L.; Ripodas, P. Scientific and Validation Report for the Precipitation Product Processors of the NWC/GEO 2022. Available online: https://www.nwcsaf.org/Downloads/GEO/2021/Documents/Scientific_Docs/NWC-CDOP3-GEO-AEMET-SCI-VR-Precipitation_v2.0.1.pdf (accessed on 18 November 2023).
- Karagiannidis, A.; Lahuerta, J.A.; Calbet, X.; Lliso, L.; Lagouvardos, K.; Kotroni, V.; Ripodas, P. Efficiency of the NWC SAF Version 2021 CRRPh Precipitation Product: Comparison against Previous NWC SAF Precipitation Products and the Influence of Topography. Climate 2023, 11, 34. [Google Scholar] [CrossRef]
- Arkin, P.A.; Meisner, B.N. The Relationship between Large-Scale Convective Rainfall and Cold Cloud over the Western Hemisphere during 1982–84. Mon. Weather. Rev. 1987, 115, 51–74. [Google Scholar] [CrossRef]
- Adler, R.F.; Negri, A.J. A Satellite Infrared Technique to Estimate Tropical Convective and Stratiform Rainfall. J. Appl. Meteor. 1988, 27, 30–51. [Google Scholar] [CrossRef]
- Kühnlein, M.; Appelhans, T.; Thies, B.; Nauß, T. Precipitation Estimates from MSG SEVIRI Daytime, Nighttime, and Twilight Data with Random Forests. J. Appl. Meteorol. Climatol. 2014, 53, 2457–2480. [Google Scholar] [CrossRef]
- Ebert, E.E.; Janowiak, J.E.; Kidd, C. Comparison of Near-Real-Time Precipitation Estimates from Satellite Observations and Numerical Models. Bull. Amer. Meteor. Soc. 2007, 88, 47–64. [Google Scholar] [CrossRef]
- Huffman, G.J.; Bolvin, D.T.; Braithwaite, D.; Hsu, K.-L.; Joyce, R.J.; Kidd, C.; Nelkin, E.J.; Sorooshian, S.; Stocker, E.F.; Tan, J.; et al. Integrated Multi-Satellite Retrievals for the Global Precipitation Measurement (GPM) Mission (IMERG). In Satellite Precipitation Measurement; Levizzani, V., Kidd, C., Kirschbaum, D.B., Kummerow, C.D., Nakamura, K., Turk, F.J., Eds.; Advances in Global Change Research; Springer International Publishing: Cham, Switzerland, 2020; Volume 67, pp. 343–353. ISBN 978-3-030-24567-2. [Google Scholar]
- Mugnai, A.; Casella, D.; Cattani, E.; Dietrich, S.; Laviola, S.; Levizzani, V.; Panegrossi, G.; Petracca, M.; Sanò, P.; Di Paola, F.; et al. Precipitation Products from the Hydrology SAF. Nat. Hazards Earth Syst. Sci. 2013, 13, 1959–1981. [Google Scholar] [CrossRef]
- Ricciardelli, E.; Cimini, D.; Di Paola, F.; Romano, F.; Viggiano, M. A Statistical Approach for Rain Intensity Differentiation Using Meteosat Second Generation–Spinning Enhanced Visible and InfraRed Imager Observations. Hydrol. Earth Syst. Sci. 2014, 18, 2559–2576. [Google Scholar] [CrossRef]
- Nauss, T.; Kokhanovsky, A.A. Assignment of Rainfall Confidence Values Using Multispectral Satellite Data at Mid-Latitudes: First Results. Adv. Geosci. 2007, 10, 99–102. [Google Scholar] [CrossRef][Green Version]
- Thies, B.; Nauß, T.; Bendix, J. Precipitation Process and Rainfall Intensity Differentiation Using Meteosat Second Generation Spinning Enhanced Visible and Infrared Imager Data. J. Geophys. Res. 2008, 113, D23206. [Google Scholar] [CrossRef]
- Cattani, E.; Torricella, F.; Laviola, S.; Levizzani, V. On the Statistical Relationship between Cloud Optical and Microphysical Characteristics and Rainfall Intensity for Convective Storms over the Mediterranean. Nat. Hazards Earth Syst. Sci. 2009, 9, 2135–2142. [Google Scholar] [CrossRef]
- Lazri, M.; Ameur, S. A Satellite Rainfall Retrieval Technique over Northern Algeria Based on the Probability of Rainfall Intensities Classification from MSG-SEVIRI. J. Atmos. Sol. Terr. Phys. 2016, 147, 106–120. [Google Scholar] [CrossRef]
- Feidas, H.; Giannakos, A. Classifying Convective and Stratiform Rain Using Multispectral Infrared Meteosat Second Generation Satellite Data. Theor. Appl. Climatol. 2012, 108, 613–630. [Google Scholar] [CrossRef]
- Thies, B.; Nauss, T.; Bendix, J. Discriminating Raining from Non-Raining Clouds at Mid-Latitudes Using Meteosat Second Generation Daytime Data. Atmos. Chem. Phys. 2008, 8, 2341–2349. [Google Scholar] [CrossRef]
- Kidd, C.; Huffman, G. Global Precipitation Measurement: Global Precipitation Measurement. Met. App 2011, 18, 334–353. [Google Scholar] [CrossRef]
- Gorooh, V.A.; Asanjan, A.A.; Nguyen, P.; Hsu, K.; Sorooshian, S. Deep Neural Network High Spatiotemporal Resolution Precipitation Estimation (Deep-STEP) Using Passive Microwave and Infrared Data. J. Hydrometeorol. 2022, 23, 597–617. [Google Scholar] [CrossRef]
- Levizzani, V.; Schmetz, J.; Lutz, H.J.; Kerkmann, J.; Alberoni, P.P.; Cervino, M. Precipitation Estimations from Geostationary Orbit and Prospects for METEOSAT Second Generation. Meteorol. Appl. 2001, 8, 23–41. [Google Scholar] [CrossRef]
- Levizzani, V. Satellite Rainfall Estimates: New Perspectives for Meteorology and Climate from the EURAINSAT Project. Ann. Geophys. 2003, 46, 363–372. [Google Scholar] [CrossRef]
- Zhang, Y.; Wu, K.; Zhang, J.; Zhang, F.; Xiao, H.; Wang, F.; Zhou, J.; Song, Y.; Peng, L. Estimating Rainfall with Multi-Resource Data over East Asia Based on Machine Learning. Remote Sens. 2021, 13, 3332. [Google Scholar] [CrossRef]
- Sanò, P.; Panegrossi, G.; Casella, D.; Marra, A.C.; Di Paola, F.; Dietrich, S. The New Passive Microwave Neural Network Precipitation Retrieval (PNPR) Algorithm for the Cross-Track Scanning ATMS Radiometer: Description and Verification Study over Europe and Africa Using GPM and TRMM Spaceborne Radars. Atmos. Meas. Tech. 2016, 9, 5441–5460. [Google Scholar] [CrossRef]
- Sanò, P.; Panegrossi, G.; Casella, D.; Marra, A.; D’Adderio, L.; Rysman, J.; Dietrich, S. The Passive Microwave Neural Network Precipitation Retrieval (PNPR) Algorithm for the CONICAL Scanning Global Microwave Imager (GMI) Radiometer. Remote Sens. 2018, 10, 1122. [Google Scholar] [CrossRef]
- Boukabara, S.-A.; Krasnopolsky, V.; Stewart, J.Q.; Maddy, E.S.; Shahroudi, N.; Hoffman, R.N. Leveraging Modern Artificial Intelligence for Remote Sensing and NWP: Benefits and Challenges. Bull. Am. Meteorol. Soc. 2019, 100, ES473–ES491. [Google Scholar] [CrossRef]
- Boukabara, S.-A.; Krasnopolsky, V.; Penny, S.G.; Stewart, J.Q.; McGovern, A.; Hall, D.; Ten Hoeve, J.E.; Hickey, J.; Allen Huang, H.-L.; Williams, J.K.; et al. Outlook for Exploiting Artificial Intelligence in the Earth and Environmental Sciences. Bull. Am. Meteorol. Soc. 2021, 102, E1016–E1032. [Google Scholar] [CrossRef]
- Ghorbanzadeh, O.; Blaschke, T.; Gholamnia, K.; Meena, S.; Tiede, D.; Aryal, J. Evaluation of Different Machine Learning Methods and Deep-Learning Convolutional Neural Networks for Landslide Detection. Remote Sens. 2019, 11, 196. [Google Scholar] [CrossRef]
- Prakash, N.; Manconi, A.; Loew, S. Mapping Landslides on EO Data: Performance of Deep Learning Models vs. Traditional Machine Learning Models. Remote Sens. 2020, 12, 346. [Google Scholar] [CrossRef]
- Wang, C.; Xu, J.; Tang, G.; Yang, Y.; Hong, Y. Infrared Precipitation Estimation Using Convolutional Neural Network. IEEE Trans. Geosci. Remote Sens. 2020, 58, 8612–8625. [Google Scholar] [CrossRef]
- Sadeghi, M.; Asanjan, A.A.; Faridzad, M.; Nguyen, P.; Hsu, K.; Sorooshian, S.; Braithwaite, D. PERSIANN-CNN: Precipitation Estimation from Remotely Sensed Information Using Artificial Neural Networks–Convolutional Neural Networks. J. Hydrometeorol. 2019, 20, 2273–2289. [Google Scholar] [CrossRef]
- Li, X.; Yang, Y.; Mi, J.; Bi, X.; Zhao, Y.; Huang, Z.; Liu, C.; Zong, L.; Li, W. Leveraging Machine Learning for Quantitative Precipitation Estimation from Fengyun-4 Geostationary Observations and Ground Meteorological Measurements. Atmos. Meas. Tech. 2021, 14, 7007–7023. [Google Scholar] [CrossRef]
- Meyer, H.; Kühnlein, M.; Appelhans, T.; Nauss, T. Comparison of Four Machine Learning Algorithms for Their Applicability in Satellite-Based Optical Rainfall Retrievals. Atmos. Res. 2016, 169, 424–433. [Google Scholar] [CrossRef]
- Kingsley, K.K.; Maathuis, B.H.P.; Hoedjes, J.C.B.; Rwasoka, D.T.; Retsios, B.V.; Su, B.Z. Rain Area Detection in South-Western Kenya by Using Multispectral Satellite Data from Meteosat Second Generation. Sensors 2021, 21, 3547. [Google Scholar] [CrossRef]
- Holmlund, K.; Grandell, J.; Schmetz, J.; Stuhlmann, R.; Bojkov, B.; Munro, R.; Lekouara, M.; Coppens, D.; Viticchie, B.; August, T.; et al. Meteosat Third Generation (MTG): Continuation and Innovation of Observations from Geostationary Orbit. Bull. Am. Meteorol. Soc. 2021, 102, E990–E1015. [Google Scholar] [CrossRef]
- Grecu, M.; Olson, W.S.; Munchak, S.J.; Ringerud, S.; Liao, L.; Haddad, Z.; Kelley, B.L.; McLaughlin, S.F. The GPM Combined Algorithm. J. Atmos. Ocean. Technol. 2016, 33, 2225–2245. [Google Scholar] [CrossRef]
- Li, Z.; Wright, D.B.; Hartke, S.H.; Kirschbaum, D.B.; Khan, S.; Maggioni, V.; Kirstetter, P.-E. Toward a Globally-Applicable Uncertainty Quantification Framework for Satellite Multisensor Precipitation Products Based on GPM DPR. IEEE Trans. Geosci. Remote Sens. 2023, 61, 1–15. [Google Scholar] [CrossRef]
- Schmetz, J.; Pili, P.; Tjemkes, S.; Just, D.; Kerkmann, J.; Rota, S.; Ratier, A. Supplement to An Introduction to Meteosat Second Generation (MSG): SEVIRI CALIBRATION. Bull. Am. Meteorol. Soc. 2002, 83, 992. [Google Scholar] [CrossRef]
- Skofronick-Jackson, G.; Petersen, W.A.; Berg, W.; Kidd, C.; Stocker, E.F.; Kirschbaum, D.B.; Kakar, R.; Braun, S.A.; Huffman, G.J.; Iguchi, T.; et al. The Global Precipitation Measurement (GPM) Mission for Science and Society. Bull. Am. Meteorol. Soc. 2017, 98, 1679–1695. [Google Scholar] [CrossRef] [PubMed]
- Draper, D.W.; Newell, D.A.; Wentz, F.J.; Krimchansky, S.; Skofronick-Jackson, G.M. The Global Precipitation Measurement (GPM) Microwave Imager (GMI): Instrument Overview and Early On-Orbit Performance. IEEE J. Sel. Top. Appl. Earth Obs. Remote Sens. 2015, 8, 3452–3462. [Google Scholar] [CrossRef]
- Hou, A.Y.; Kakar, R.K.; Neeck, S.; Azarbarzin, A.A.; Kummerow, C.D.; Kojima, M.; Oki, R.; Nakamura, K.; Iguchi, T. The Global Precipitation Measurement Mission. Bull. Am. Meteorol. Soc. 2014, 95, 701–722. [Google Scholar] [CrossRef]
- Panegrossi, G.; Rysman, J.-F.; Casella, D.; Marra, A.; Sanò, P.; Kulie, M. CloudSat-Based Assessment of GPM Microwave Imager Snowfall Observation Capabilities. Remote Sens. 2017, 9, 1263. [Google Scholar] [CrossRef]
- Sanò, P.; Casella, D.; Mugnai, A.; Schiavon, G.; Smith, E.A.; Tripoli, G.J. Transitioning From CRD to CDRD in Bayesian Retrieval of Rainfall From Satellite Passive Microwave Measurements: Part 1. Algorithm Description and Testing. IEEE Trans. Geosci. Remote Sens. 2013, 51, 4119–4143. [Google Scholar] [CrossRef]
- Casella, D.; Panegrossi, G.; Sanò, P.; Dietrich, S.; Mugnai, A.; Smith, E.A.; Tripoli, G.J.; Formenton, M.; Di Paola, F.; Leung, W.-Y.H.; et al. Transitioning From CRD to CDRD in Bayesian Retrieval of Rainfall From Satellite Passive Microwave Measurements: Part 2. Overcoming Database Profile Selection Ambiguity by Consideration of Meteorological Control on Microphysics. IEEE Trans. Geosci. Remote Sens. 2013, 51, 4650–4671. [Google Scholar] [CrossRef]
- Sanò, P.; Panegrossi, G.; Casella, D.; Di Paola, F.; Milani, L.; Mugnai, A.; Petracca, M.; Dietrich, S. The Passive Microwave Neural Network Precipitation Retrieval (PNPR) Algorithm for AMSU/MHS Observations: Description and Application to European Case Studies. Atmos. Meas. Tech. 2015, 8, 837–857. [Google Scholar] [CrossRef]
- Turk, F.J.; Rohaly, G.; Hawkins, J.; Smith, E.A.; Marzano, F.S.; Mugnai, A.; Levizzani, V. Meteorological Applications of Precipitation Estimation from Combined SSM/I, TRMM and Geostationary Satellite Data. In Microwave Radiometry and Remote Sensing of the Earth’s Surface and Atmosphere; Pampaloni, P., Paloscia, S., Eds.; CRC Press: Boca Raton, FL, USA, 2000; pp. 353–363. ISBN 978-0-367-44744-1. [Google Scholar]
- De Leonibus, L.; Rosci, P.; Zauli, F. Nefodina: A Tool for Automatic Detection of Severe Convective Phenomena. In Proceedings of the SAF Training Workshop Nowcsting and Very Short Range Forecasting, Madrid, Spain, 9–11 December 1998. [Google Scholar]
- Huffman, G.J.; Bolvin, D.T.; Nelkin, E.J.; Wolff, D.B.; Adler, R.F.; Gu, G.; Hong, Y.; Bowman, K.P.; Stocker, E.F. The TRMM Multisatellite Precipitation Analysis (TMPA): Quasi-Global, Multiyear, Combined-Sensor Precipitation Estimates at Fine Scales. J. Hydrometeor. 2007, 8, 38–55. [Google Scholar] [CrossRef]
- Huffman, G.J.; Bolvin, D.T.; Braithwaite, D.; Hsu, K.-L.; Joyce, R.; Kidd, C.; Nelkin, E.J.; Sorooshian, S.; Tan, J.; Xie, P. NASA Global Precipitation Measurement (GPM) Integrated Multi-satellitE Retrievals for GPM (IMERG) 2020. Available online: https://gpm.nasa.gov/sites/default/files/2020-05/IMERG_ATBD_V06.3.pdf (accessed on 18 November 2023).
- Schneider, U.; Ziese, M.; Meyer-Christoffer, A.; Finger, P. Global Precipitation Analysis Products of the GPCC 2015. Available online: https://opendata.dwd.de/climate_environment/GPCC/PDF/GPCC_intro_products_v2015.pdf (accessed on 18 November 2023).
- Le Gleau, H. Algorithm Theoretical Basis Document for the “Precipitation Product” Processors of the NWC/GEO 2019. Available online: https://www.nwcsaf.org/Downloads/GEO/2018/Documents/Scientific_Docs/NWC-CDOP2-GEO-AEMET-SCI-ATBD-Precipitation_v2.1.pdf (accessed on 18 November 2023).
- Ronnerberger, O.; Fischer, P.; Brox, T. U-Net: Convolutional Networks for Biomedical Image Segmentation. 2015. Available online: https://link.springer.com/chapter/10.1007/978-3-319-24574-4_28 (accessed on 18 November 2023).
- Zhu, X.X.; Tuia, D.; Mou, L.; Xia, G.-S.; Zhang, L.; Xu, F.; Fraundorfer, F. Deep Learning in Remote Sensing: A Comprehensive Review and List of Resources. IEEE Geosci. Remote Sens. Mag. 2017, 5, 8–36. [Google Scholar] [CrossRef]
- Zhu, W.; Ma, Y.; Zhou, Y.; Benton, M.; Romagnoli, J. Deep Learning Based Soft Sensor and Its Application on a Pyrolysis Reactor for Compositions Predictions of Gas Phase Components. In Computer Aided Chemical Engineering; Elsevier: Amsterdam, The Netherlands, 2018; Volume 44, pp. 2245–2250. ISBN 978-0-444-64241-7. [Google Scholar]
- Alkhelaiwi, M.; Boulila, W.; Ahmad, J.; Koubaa, A.; Driss, M. An Efficient Approach Based on Privacy-Preserving Deep Learning for Satellite Image Classification. Remote Sens. 2021, 13, 2221. [Google Scholar] [CrossRef]
- Nurmi, P. Recommendations on the Verification of Local Weather Forecasts. ECMWF Tech. Memo. 430, 19 pp. Available online: https://www.ecmwf.int/en/elibrary/11401-recommendations-verificationlocal-weather-forecasts (accessed on 18 November 2023).
- Kim, Y.; Hong, S. Hypothetical Ground Radar-Like Rain Rate Generation of Geostationary Weather Satellite Using Data-to-Data Translation. IEEE Trans. Geosci. Remote Sens. 2023, 61, 4103414. [Google Scholar] [CrossRef]








| Channel Number | Central Wavelength (μm) | Spectral Domain | Main Gas Absorber or Window |
|---|---|---|---|
| 1 | 0.653 | VIS | Window |
| 2 | 0.81 | VIS | Window |
| 3 | 1.64 | NIR | Window |
| 4 | 3.90 | IR | Window |
| 5 | 6.25 | WV | Water Vapor |
| 6 | 7.35 | WV | Water Vapor |
| 7 | 8.70 | IR | Window |
| 8 | 9.66 | IR | Ozone |
| 9 | 10.80 | IR | Window |
| 10 | 12.0 | IR | Window |
| 11 | 13.4 | IR | Carbon Dioxide |
| 12 | (0.4–1.1) | HRV | Window/WV |
| Percent Mean Error (%) | ||||
|---|---|---|---|---|
| DPR-GMI Threshold (mmh−1) | U-Net | H60B | H03B | IMERG-E |
| 0 | 16.6 | 117.0 | 25.8 | 59.3 |
| 1 | −78.2 | −49.0 | −47.7 | 5.8 |
| 10 | −91.8 | −69.5 | −69.1 | −33.1 |
Disclaimer/Publisher’s Note: The statements, opinions and data contained in all publications are solely those of the individual author(s) and contributor(s) and not of MDPI and/or the editor(s). MDPI and/or the editor(s) disclaim responsibility for any injury to people or property resulting from any ideas, methods, instructions or products referred to in the content. |
© 2023 by the authors. Licensee MDPI, Basel, Switzerland. This article is an open access article distributed under the terms and conditions of the Creative Commons Attribution (CC BY) license (https://creativecommons.org/licenses/by/4.0/).
Share and Cite
D’Adderio, L.P.; Casella, D.; Dietrich, S.; Panegrossi, G.; Sanò, P. A First Step towards Meteosat Third Generation Day-2 Precipitation Rate Product: Deep Learning for Precipitation Rate Retrieval from Geostationary Infrared Measurements. Remote Sens. 2023, 15, 5662. https://doi.org/10.3390/rs15245662
D’Adderio LP, Casella D, Dietrich S, Panegrossi G, Sanò P. A First Step towards Meteosat Third Generation Day-2 Precipitation Rate Product: Deep Learning for Precipitation Rate Retrieval from Geostationary Infrared Measurements. Remote Sensing. 2023; 15(24):5662. https://doi.org/10.3390/rs15245662
Chicago/Turabian StyleD’Adderio, Leo Pio, Daniele Casella, Stefano Dietrich, Giulia Panegrossi, and Paolo Sanò. 2023. "A First Step towards Meteosat Third Generation Day-2 Precipitation Rate Product: Deep Learning for Precipitation Rate Retrieval from Geostationary Infrared Measurements" Remote Sensing 15, no. 24: 5662. https://doi.org/10.3390/rs15245662
APA StyleD’Adderio, L. P., Casella, D., Dietrich, S., Panegrossi, G., & Sanò, P. (2023). A First Step towards Meteosat Third Generation Day-2 Precipitation Rate Product: Deep Learning for Precipitation Rate Retrieval from Geostationary Infrared Measurements. Remote Sensing, 15(24), 5662. https://doi.org/10.3390/rs15245662

