Diffractive Sail-Based Displaced Orbits for High-Latitude Environment Monitoring
Abstract
1. Introduction
2. Simplified Diffractive Sail Thrust Model in Sun-Facing Condition
3. Maintenance of Circular DNKOs
3.1. Earth–Spacecraft Distance
3.2. Orbital Parameters of the Osculating Orbit
3.3. Comparison with the Reflecting Solar Sail Case
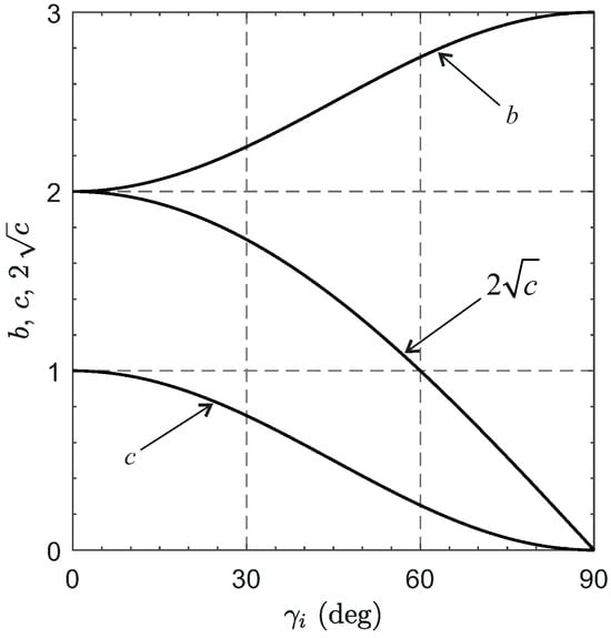
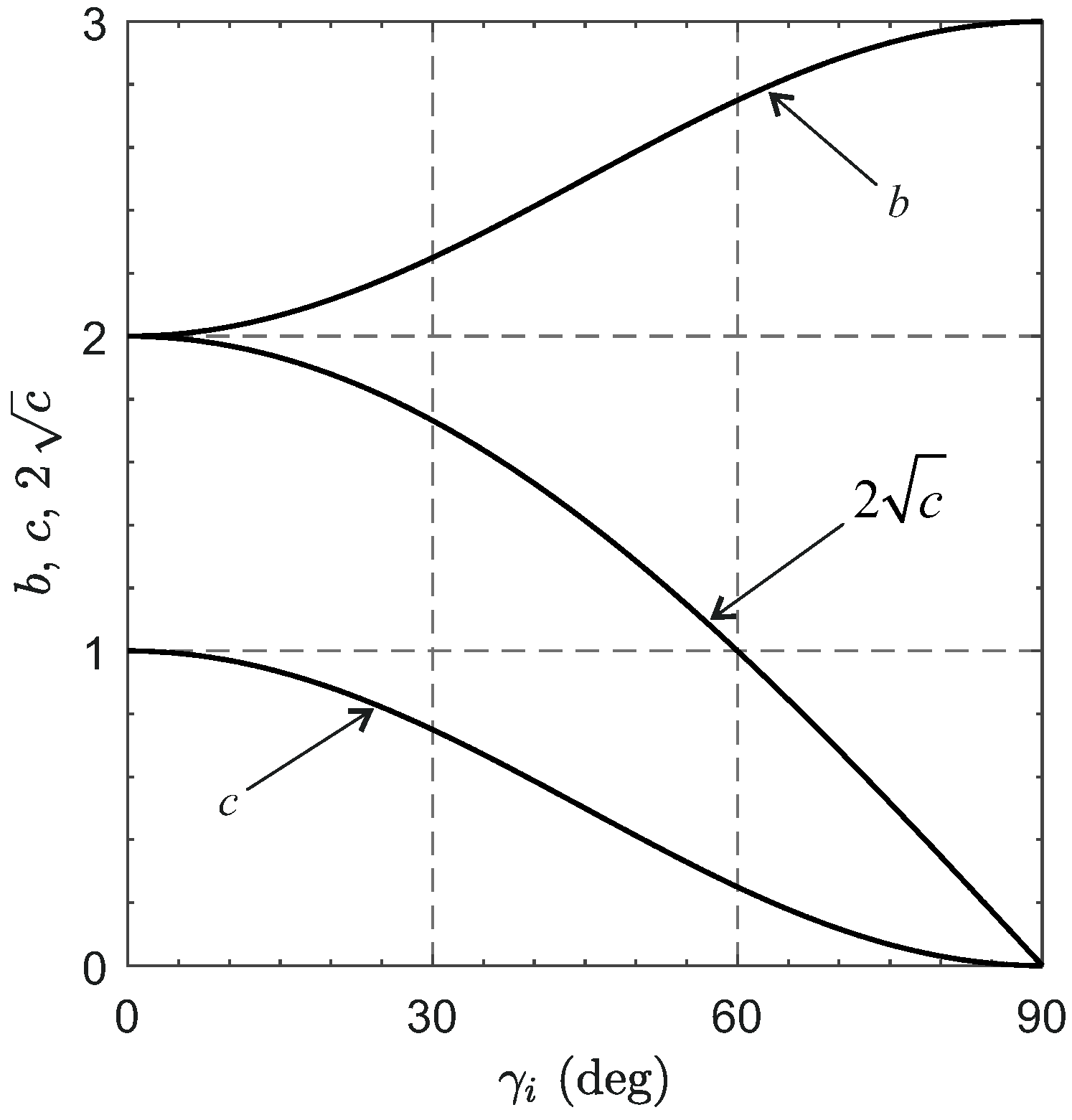
4. Linear Stability Analysis
Potential Mission Application
5. Conclusions
Author Contributions
Funding
Institutional Review Board Statement
Informed Consent Statement
Data Availability Statement
Conflicts of Interest
References
- Zhao, P.; Wu, C.; Li, Y. Design and application of solar sailing: A review on key technologies. Chin. J. Aeronaut. 2023, 36, 125–144. [Google Scholar] [CrossRef]
- Fu, B.; Sperber, E.; Eke, F. Solar sail technology—A state of the art review. Prog. Aerosp. Sci. 2016, 86, 1–19. [Google Scholar] [CrossRef]
- Gong, S.; Macdonald, M. Review on solar sail technology. Astrodynamics 2019, 3, 93–125. [Google Scholar] [CrossRef]
- Vulpetti, G.; Scaglione, S. The Aurora project: Estimation of the optical sail parameters. Acta Astronaut. 1999, 44, 123–132. [Google Scholar] [CrossRef]
- Rozhkov, M.A.; Starinova, O.L.; Chernyakina, I.V. Influence of optical parameters on a solar sail motion. Adv. Space Res. 2021, 67, 2757–2766. [Google Scholar] [CrossRef]
- Davoyan, A.R.; Munday, J.N.; Tabiryan, N.; Swartzlander, G.A.; Johnson, L. Photonic materials for interstellar solar sailing. Optica 2021, 8, 722–734. [Google Scholar] [CrossRef]
- Firuzi, S.; Gong, S. Refractive sail and its applications in solar sailing. Aerosp. Sci. Technol. 2018, 77, 362–372. [Google Scholar] [CrossRef]
- Firuzi, S.; Song, Y.; Gong, S. Gradient-index solar sail and its optimal orbital control. Aerosp. Sci. Technol. 2021, 119, 107103. [Google Scholar] [CrossRef]
- Bassetto, M.; Quarta, A.A.; Mengali, G. Generalized sail trajectory approximation with applications to MagSails. Aerosp. Sci. Technol. 2021, 118, 106991. [Google Scholar] [CrossRef]
- Swartzlander, G.A., Jr. Radiation pressure on a diffractive sailcraft. J. Opt. Soc. Am. B Opt. Phys. 2017, 34, C25–C30. [Google Scholar] [CrossRef]
- Swartzlander, G.A., Jr. Flying on a rainbow: A solar-driven diffractive sailcraft. JBIS-J. Br. Interplanet. Soc. 2018, 71, 130–132. [Google Scholar]
- Dubill, A.L.; Swartzlander, G.A., Jr. Circumnavigating the Sun with diffractive solar sails. Acta Astronaut. 2021, 187, 190–195. [Google Scholar] [CrossRef]
- Quarta, A.A.; Mengali, G.; Bassetto, M.; Niccolai, L. Optimal interplanetary trajectories for Sun-facing ideal diffractive sails. Astrodynamics 2023, 7, 285–299. [Google Scholar] [CrossRef]
- Quarta, A.A.; Mengali, G. Solar sail orbit raising with electro-optically controlled diffractive film. Appl. Sci. 2023, 13, 7078. [Google Scholar] [CrossRef]
- Svetlana, V.S.; Roberts, D.E.; Hwang, J.Y.; Nersisyan, S.R.; Tabiryan, N.V.; Bunning, T.J.; Steeves, D.M.; Kimball, B.R. Diffractive waveplate arrays. J. Opt. Soc. Am. B Opt. Phys. 2017, 34, 56–63. [Google Scholar] [CrossRef]
- Srivastava, P.R.; Lucy Chu, Y.J.; Swartzlander, G.A., Jr. Stable diffractive beam rider. Opt. Lett. 2019, 44, 3082–3085. [Google Scholar] [CrossRef] [PubMed]
- Srivastava, P.R.; Swartzlander, G.A., Jr. Optomechanics of a stable diffractive axicon light sail. Eur. Phys. J. Plus 2020, 135, 570. [Google Scholar] [CrossRef] [PubMed]
- Chu, Y.; Firuzi, S.; Gong, S. Controllable liquid crystal diffractive sail and its potential applications. Acta Astronaut. 2021, 182, 37–45. [Google Scholar] [CrossRef]
- Lucy Chu, Y.L.; Meem, M.; Srivastava, P.R.; Menon, R.; Swartzlander, G.A., Jr. Parametric control of a diffractive axicon beam rider. Opt. Lett. 2021, 46, 5141–5144. [Google Scholar] [CrossRef]
- McInnes, C.R. Dynamics, stability, and control of displaced non-Keplerian orbits. J. Guid. Control Dyn. 1998, 21, 799–805. [Google Scholar] [CrossRef]
- McInnes, C.R. Displaced non-Keplerian orbits using impulsive thrust. Celest. Mech. Dyn. Astron. 2011, 110, 199–215. [Google Scholar] [CrossRef][Green Version]
- Caruso, A.; Quarta, A.A.; Mengali, G. Elliptic displaced orbit approximation with equally spaced impulses. J. Guid. Control Dyn. 2019, 42, 411–415. [Google Scholar] [CrossRef]
- Pan, X.; Xu, M. Overview of non-Keplerian displaced orbits by low-thrust propulsion. Chin. Space Sci. Technol. 2021, 41, 1–15. [Google Scholar] [CrossRef]
- Pan, X.; Xu, M.; Huang, H.; Pei, X.; Dong, Y. Nonlinear dynamics of displaced non-Keplerian orbits with low-thrust propulsion. Commun. Nonlinear Sci. Numer. Simul. 2019, 66, 61–83. [Google Scholar] [CrossRef]
- McKay, R.J.; MacDonald, M.; Biggs, J.; McInnes, C. Survey of highly-non-Keplerian orbits with low-thrust propulsion. J. Guid. Control Dyn. 2011, 34, 645–666. [Google Scholar] [CrossRef]
- Bookless, J.; McInnes, C.R. Dynamics and control of displaced periodic orbits using solar-sail propulsion. J. Guid. Control Dyn. 2006, 29, 527–537. [Google Scholar] [CrossRef]
- Gong, S.; Baoyin, H.; Li, J. Relative orbit design and control of formation around displaced solar orbits. Aerosp. Sci. Technol. 2008, 12, 195–201. [Google Scholar] [CrossRef]
- Gong, S.; Li, J. Spin-stabilized solar sail for displaced solar orbits. Aerosp. Sci. Technol. 2014, 32, 188–199. [Google Scholar] [CrossRef]
- Song, M.; He, X.; He, D. Displaced orbits for solar sail equipped with reflectance control devices in Hill’s restricted three-body problem with oblateness. Astrophys. Space Sci. 2016, 361, 327. [Google Scholar] [CrossRef]
- Bassetto, M.; Quarta, A.A.; Mengali, G. Magnetic sail-based displaced non-Keplerian orbits. Aerosp. Sci. Technol. 2019, 92, 363–372. [Google Scholar] [CrossRef]
- Zubrin, R.M.; Andrews, D.G. Magnetic sails and interplanetary travel. J. Spacecr. Rocket. 1991, 28, 197–203. [Google Scholar] [CrossRef]
- Andrews, D.G.; Zubrin, R.M. Magnetic sails and interstellar travel. J. Br. Interplanet. Soc. 1990, 43, 265–272. [Google Scholar]
- Zubrin, R.M. The use of magnetic sails to escape from low Earth orbit. J. Br. Interplanet. Soc. 1992, 46, 3–10. [Google Scholar] [CrossRef]
- McInnes, C.R. Solar Sailing: Technology, Dynamics and Mission Applications; Springer-Praxis Series in Space Science and Technology; Springer: Berlin, Germany, 1999; Chapter 2; pp. 46–54. [Google Scholar] [CrossRef]
- Wright, J.L. Space Sailing; Gordon and Breach Science Publishers: Amsterdam, The Netherlands, 1992; pp. 223–233. ISBN 978-2881248429. [Google Scholar]
- Pathak, S. Nanoelectronics: Devices, Circuits and Systems. In Nanoelectronics; Kaushik, B.K., Ed.; Advanced Nanomaterials; Elsevier: Amsterdam, The Netherlands, 2019; Chapter 7; pp. 219–270. [Google Scholar] [CrossRef]
- Mengali, G.; Quarta, A.A. Non-Keplerian orbits for electric sails. Celest. Mech. Dyn. Astron. 2009, 105, 179–195. [Google Scholar] [CrossRef]
- Bate, R.R.; Mueller, D.D.; White, J.E. Fundamentals of Astrodynamics; Dover Publications: New York, NY, USA, 1971; Chapter 1; p. 40. [Google Scholar]
- Slotine, J.E.; Li, W. Applied Nonlinear Control; Prentice-Hall: Englewood Cliffs, NJ, USA, 1991; Chapter 3; pp. 53–57. [Google Scholar]
- Ceriotti, M.; Heiligers, J.; McInnes, C.R. Trajectory and spacecraft design for a pole-sitter mission. J. Spacecr. Rocket. 2014, 51, 311–326. [Google Scholar] [CrossRef]














Disclaimer/Publisher’s Note: The statements, opinions and data contained in all publications are solely those of the individual author(s) and contributor(s) and not of MDPI and/or the editor(s). MDPI and/or the editor(s) disclaim responsibility for any injury to people or property resulting from any ideas, methods, instructions or products referred to in the content. |
© 2023 by the authors. Licensee MDPI, Basel, Switzerland. This article is an open access article distributed under the terms and conditions of the Creative Commons Attribution (CC BY) license (https://creativecommons.org/licenses/by/4.0/).
Share and Cite
Bassetto, M.; Mengali, G.; Quarta, A.A. Diffractive Sail-Based Displaced Orbits for High-Latitude Environment Monitoring. Remote Sens. 2023, 15, 5626. https://doi.org/10.3390/rs15245626
Bassetto M, Mengali G, Quarta AA. Diffractive Sail-Based Displaced Orbits for High-Latitude Environment Monitoring. Remote Sensing. 2023; 15(24):5626. https://doi.org/10.3390/rs15245626
Chicago/Turabian StyleBassetto, Marco, Giovanni Mengali, and Alessandro A. Quarta. 2023. "Diffractive Sail-Based Displaced Orbits for High-Latitude Environment Monitoring" Remote Sensing 15, no. 24: 5626. https://doi.org/10.3390/rs15245626
APA StyleBassetto, M., Mengali, G., & Quarta, A. A. (2023). Diffractive Sail-Based Displaced Orbits for High-Latitude Environment Monitoring. Remote Sensing, 15(24), 5626. https://doi.org/10.3390/rs15245626

