Landslide Dynamic Susceptibility Mapping Base on Machine Learning and the PS-InSAR Coupling Model
Abstract
:1. Introduction
2. Study Area and Dataset
2.1. Study Area
2.2. SAR Dataset
2.3. Landslide-Related Factors and Dataset
3. Methodology
3.1. Multicollinearity Analysis
3.2. Landslide Susceptibility Assessment Models
3.2.1. Information Value (IV) Model
3.2.2. Random Forest (RF)
3.2.3. Support Vector Machine (SVM)
3.2.4. Convolutional Neural Network (CNN)
3.3. Model Accuracy Verification Methods
3.4. PS-InSAR
3.5. Dynamic Evaluation of Landslide Susceptibility
4. Results
4.1. The Multicollinearity Analysis of Related Factors
4.2. Landslide Susceptibility Mapping
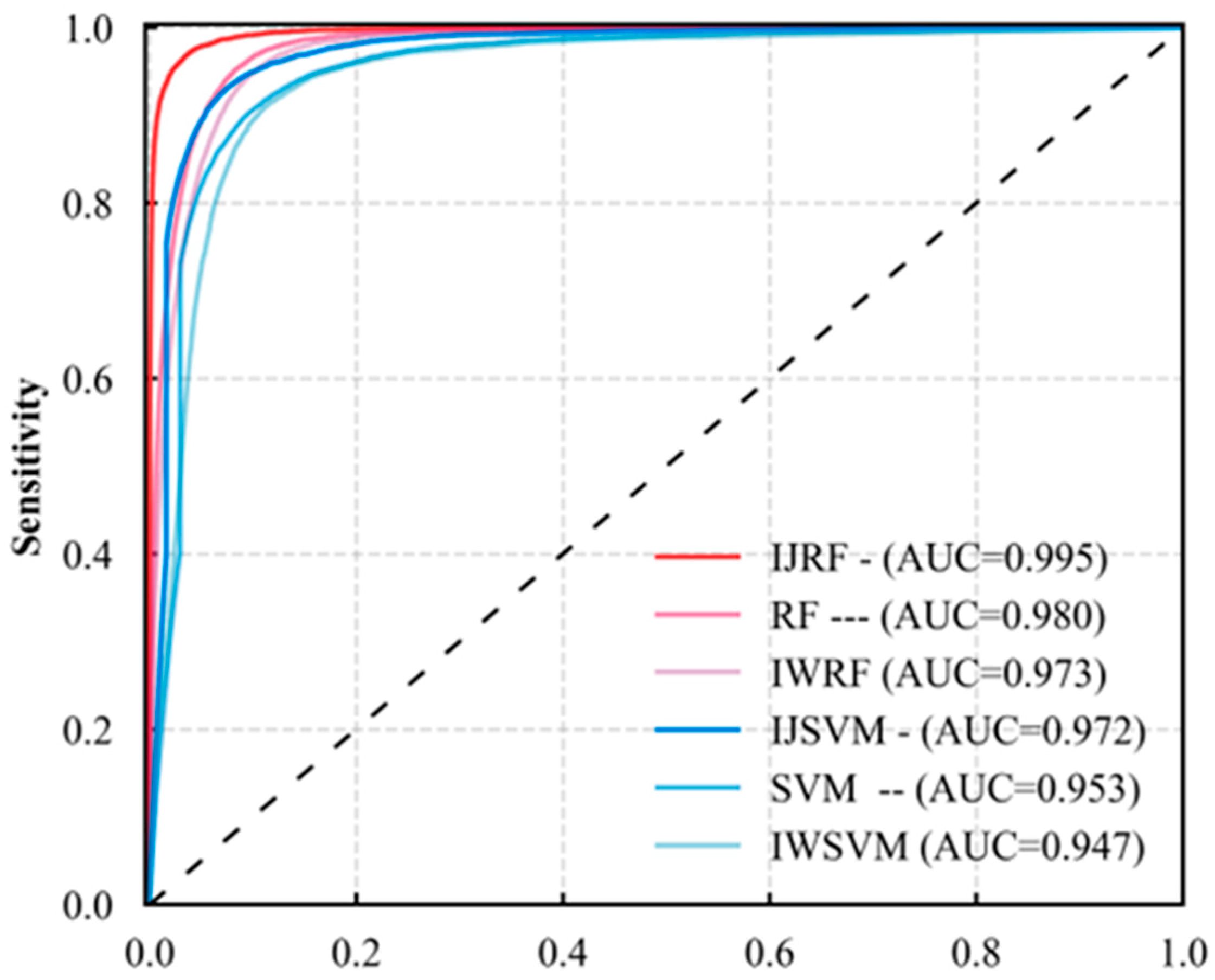
4.3. Model Accuracy Verification
4.4. Result of PS-InSAR
4.5. Landslide Dynamic Susceptibility Mapping
5. Discussion
5.1. Performance Comparison of Landslide Dynamic Susceptibility Models
5.2. Effect Analysis of InSAR Deformation Data
6. Conclusions
Author Contributions
Funding
Institutional Review Board Statement
Informed Consent Statement
Data Availability Statement
Conflicts of Interest
References
- Jari, A.; Khaddari, A.; Hajaj, S.; Bachaoui, E.M.; Mohammedi, S.; Jellouli, A.; Mosaid, H.; El Harti, A.; Barakat, A. Landslide Susceptibility Mapping Using Multi-Criteria Decision-Making (MCDM), Statistical, and Machine Learning Models in the Aube Department, France. Earth 2023, 4, 698–713. [Google Scholar] [CrossRef]
- Chen, C.; Shen, Z.; Weng, Y.; You, S.; Lin, J.; Li, S.; Wang, K. Modeling Landslide Susceptibility in Forest-Covered Areas in Lin’an, China, Using Logistical Regression, a Decision Tree, and Random Forests. Remote Sens. 2023, 15, 4378. [Google Scholar] [CrossRef]
- Macciotta, R.; Hendry, M.T. Remote Sensing Applications for Landslide Monitoring and Investigation in Western Canada. Remote Sens. 2021, 13, 366. [Google Scholar] [CrossRef]
- Michoud, C.; Baumann, V.; Lauknes, T.R.; Penna, I.; Derron, M.-H.; Jaboyedoff, M. Large slope deformations detection and monitoring along shores of the Potrerillos dam reservoir, Argentina, based on a small-baseline InSAR approach. Landslides 2016, 13, 451–465. [Google Scholar] [CrossRef]
- Urgilez Vinueza, A.; Handwerger, A.L.; Bakker, M.; Bogaard, T. A new method to detect changes in displacement rates of slow-moving landslides using InSAR time series. Landslides 2022, 19, 2233–2247. [Google Scholar] [CrossRef]
- Miao, F.; Zhao, F.; Wu, Y.; Li, L.; Török, Á. Landslide susceptibility mapping in Three Gorges Reservoir area based on GIS and boosting decision tree model. Stoch. Environ. Res. Risk Assess. 2023, 37, 2283–2303. [Google Scholar] [CrossRef]
- Guo, L.; Miao, F.; Zhao, F.; Wu, Y. Data mining technology for the identification and threshold of governing factors of landslide in the Three Gorges Reservoir area. Stoch. Environ. Res. Risk Assess. 2022, 36, 3997–4012. [Google Scholar] [CrossRef]
- Ma, J.; Wang, Y.; Niu, X.; Jiang, S.; Liu, Z. A comparative study of mutual information-based input variable selection strategies for the displacement prediction of seepage-driven landslides using optimized support vector regression. Stoch. Environ. Res. Risk Assess. 2022, 36, 3109–3129. [Google Scholar] [CrossRef]
- Tang, H.; Wasowski, J.; Hsein, J.C. Geohazards in the three Gorges Reservoir Area, China—Lessons learned from decades of research. Eng. Geol. 2019, 261, 105267. [Google Scholar] [CrossRef]
- Huang, H.; Yan, J.; Fan, X.; Yao, C.; Huang, J.; Chen, W.; Hong, H. Uncertainty pattern in landslide susceptibility prediction modelling: Effects of different landslide boundaries and spatial shape expressions. Geosci. Front. 2022, 13, 101317. [Google Scholar] [CrossRef]
- Chen, W.; Zhang, S.; Li, R.; Shahabi, H. Performance evaluation of the GIS-based data mining techniques of best-first decision tree, random forest, and naïve Bayes tree for landslide susceptibility modeling. Sci. Total Environ. 2018, 644, 1006–1018. [Google Scholar] [CrossRef] [PubMed]
- Huang, F.; Cao, Z.; Jiang, S.H.; Zhou, C.; Huang, J.; Guo, Z. Landslide susceptibility prediction based on a semi-supervised multiple-layer perceptron model. Landslides 2022, 17, 2919–2930. [Google Scholar] [CrossRef]
- Wubalem, A.; Tesfaw, G.; Dawit, Z.; Getahun, B.; Mekuria, T.; Jothimani, M. Comparison of statistical and analytical hierarchy process methods on flood susceptibility mapping: In a case study of the Lake Tana sub-basin in northwestern Ethiopia. Open Geosci. 2021, 13, 1668–1688. [Google Scholar] [CrossRef]
- Saha, S.; Majumdar, P.; Bera, B. Deep learning and benchmark machine learning based landslide susceptibility investigation, Garhwal Himalaya (India). Quat. Sci. Adv. 2023, 10, 100075. [Google Scholar] [CrossRef]
- Kavzoglu, T.; Sahin, E.K.; Colkesen, I. Landslide susceptibility mapping using GIS-based multi-criteria decision analysis, support vector machines, and logistic regression. Landslides 2014, 11, 425–439. [Google Scholar] [CrossRef]
- Polat, A. An innovative, fast method for landslide susceptibility mapping using GIS-based LSAT toolbox. Environ. Earth Sci. 2021, 80, 217. [Google Scholar] [CrossRef]
- Wang, Z.; Ma, C.; Qiu, Y.; Xiong, H.; Li, M. Refined Zoning of Landslide Susceptibility: A Case Study in Enshi County, Hubei, China. Int. J. Environ. Res. Public Health 2022, 19, 9412. [Google Scholar] [CrossRef] [PubMed]
- Broeckx, J.; Vanmaercke, V.; Duchateau, R.; Poesen, J. A data-based landslide susceptibility map of Africa. Earth-Sci. Rev. 2018, 185, 102–121. [Google Scholar] [CrossRef]
- Yu, C.; Chen, J. Landslide Susceptibility Mapping Using the Slope Unit for Southeastern Helong City, Jilin Province, China: A Comparison of ANN and SVM. Symmetry 2020, 12, 1047. [Google Scholar] [CrossRef]
- Kavzoglu, T.; Colkesen, I.; Sahin, E.K. Machine Learning Techniques in Landslide Susceptibility Mapping: A Survey and a Case Study. In Landslides: Theory, Practice and Modelling; Advances in Natural and Technological Hazards Research; Springer: Cham, Swizerland, 2019; p. 50. [Google Scholar] [CrossRef]
- Saha, S.; Saha, A.; Hembram, T.K.; Mandal, K.; Sarkar, R.; Bhardwaj, D. Prediction of spatial landslide susceptibility applying the novel ensembles of CNN, GLM and random forest in the Indian Himalayan region. Stoch. Environ. Res. Risk Assess. 2022, 36, 3597–3616. [Google Scholar] [CrossRef]
- Nikoobakht, S.; Azarafza, M.; Akgün, H.; Derakhshani, R. Landslide Susceptibility Assessment by Using Convolutional Neural Network. Appl. Sci. 2022, 12, 5992. [Google Scholar] [CrossRef]
- Yao, J.; Yao, X.; Zhao, Z.; Liu, X. Performance comparison of landslide susceptibility mapping under multiple machine-learning based models considering InSAR deformation: A case study of the upper Jinsha River. Nat. Hazards Risk 2023, 14, 1. [Google Scholar] [CrossRef]
- Miao, F.; Wu, Y.; Xie, Y.; Li, Y. Prediction of landslide displacement with step-like behavior based on multialgorithm optimization and a support vector regression model. Landslides 2018, 15, 475–488. [Google Scholar] [CrossRef]
- Reyes-Carmona, C.; Galve, J.P.; Moreno-Sánchez, M.; Riquelme, A.; Ruano, P.; Millares, A.; Teixidó, T.; Sarro, R.; Pérez-Peña, J.V.; Barra, A.; et al. Rapid characterisation of the extremely large landslide threatening the Rules Reservoir (Southern Spain). Landslides 2021, 18, 3781–3798. [Google Scholar] [CrossRef]
- Li, Y.; Wang, X.; Mao, H. Influence of human activity on landslide susceptibility development in the Three Gorges area. Nat. Hazards 2020, 104, 2115–2151. [Google Scholar] [CrossRef]
- Shi, X.; Chen, C.; Dai, K.; Deng, J.; Wen, N.; Yin, Y.; Dong, X. Monitoring and Predicting the Subsidence of Dalian Jinzhou Bay International Airport, China by Integrating InSAR Observation and Terzaghi Consolidation Theory. Remote Sens. 2022, 14, 2332. [Google Scholar] [CrossRef]
- Xie, M.; Zhao, W.; Ju, N.; He, C.; Huang, H.; Cui, Q. Landslide evolution assessment based on InSAR and real-time monitoring of a large reactivated landslide, Wenchuan, China. Eng. Geol. 2020, 277, 105781. [Google Scholar] [CrossRef]
- Dai, K.; Li, Z.; Xu, Q. Entering the Era of Earth Observation-Based Landslide Warning Systems: A Novel and Exciting Framework. Geosci. Remote Sens. 2020, 8, 136–153. [Google Scholar] [CrossRef]
- Dai, K.; Chen, C.; Shi, X.; Wu, M.; Feng, W.; Xu, Q.; Liang, R.; Zhuo, G.; Li, Z. Dynamic landslides susceptibility evaluation in Baihetan Dam area during extensive impoundment by integrating geological model and InSAR observations. Int. J. Appl. Earth Obs. Geoinf. 2023, 116, 103157. [Google Scholar] [CrossRef]
- Zhou, C.; Cao, Y.; Hu, X.; Yin, K.; Wang, Y.; Catani, F. Enhanced dynamic landslide hazard mapping using MT-InSAR method in the Three Gorges Reservoir Area. Landslide 2022, 19, 1585–1597. [Google Scholar] [CrossRef]
- Mishra, V.; Jain, K. Satellite based assessment of artificial reservoir induced landslides in data scarce environment: A case study of Baglihar reservoir in India. J. Appl. Geophys. 2022, 205, 104754. [Google Scholar] [CrossRef]
- Hussain, S.; Pan, B.; Afzal, Z.; Ali, M.; Zhang, X.; Shi, X. Landslide detection and inventory updating using the time-series InSAR approach along the Karakoram Highway, Northern Pakistan. Sci. Rep. 2023, 13, 7485. [Google Scholar] [CrossRef] [PubMed]
- Zhu, Z.; Gan, S.; Yuan, X.; Zhang, J. Landslide Susceptibility Mapping with Integrated SBAS-InSAR Technique: A Case Study of Dongchuan District, Yunnan (China). Sensors 2022, 22, 5587. [Google Scholar] [CrossRef] [PubMed]
- Liu, W.; Zhang, Y.; Liang, Y.; Sun, P.; Li, Y.; Su, X.; Wang, A.; Meng, X. Landslide Risk Assessment Using a Combined Approach Based on InSAR and Random Forest. Remote Sens. 2022, 14, 2131. [Google Scholar] [CrossRef]
- Cao, C.; Zhu, K.; Xu, P.; Shan, B.; Yang, G.; Song, S. Refined landslide susceptibility analysis based on InSAR technology and UAV multi-source data. J. Clean. Prod. 2022, 368, 133146. [Google Scholar] [CrossRef]
- Yu, X.; Wang, Y.; Niu, R.; Hu, Y. A Combination of Geographically Weighted Regression, Particle Swarm Optimization and Support Vector Machine for Landslide Susceptibility Mapping: A Case Study at Wanzhou in the Three Gorges Area, China. Int. J. Environ. Res. Public Health 2016, 13, 487. [Google Scholar] [CrossRef]
- Zhang, H.; Song, Y.; Xu, S.; He, T.; Li, Z.; Yu, X.; Liang, Y.; Wu, W.; Wang, Y. Combining a class-weighted algorithm and machine learning models in landslide susceptibility mapping: A case study of Wanzhou section of the Three Gorges Reservoir, China. Comput. Geosci. 2022, 158, 104966. [Google Scholar] [CrossRef]
- Song, Y.; Niu, R.; Xu, S.; Ye, R.; Peng, L.; Guo, T.; Li, S.; Chen, T. Landslide Susceptibility Mapping Based on Weighted Gradient Boosting Decision Tree in Wanzhou Section of the Three Gorges Reservoir Area (China). ISPRS Int. J. Geo-Inf. 2019, 8, 4. [Google Scholar] [CrossRef]
- Cheng, J.; Dai, X.; Wang, Z.; Li, J.; Qu, G.; Li, W.; She, J.; Wang, Y. Landslide Susceptibility Assessment Model Construction Using Typical Machine Learning for the Three Gorges Reservoir Area in China. Remote Sens. 2022, 14, 2257. [Google Scholar] [CrossRef]
- Pradhan, A.M.S.; Kim, Y.-T. Rainfall-Induced Shallow Landslide Susceptibility Mapping at Two Adjacent Catchments Using Advanced Machine Learning Algorithms. ISPRS Int. J. Geo-Inf. 2020, 9, 569. [Google Scholar] [CrossRef]
- Hua, Y.; Wang, X.; Li, Y.; Xu, P.; Xia, W. Dynamic development of landslide susceptibility based on slope unit and deep neural networks. Landslides 2021, 18, 281–302. [Google Scholar] [CrossRef]
- Glade, T. Landslide occurrence as a response to land use change: A review of evidence from New Zealand. CATENA 2003, 51, 297–314. [Google Scholar] [CrossRef]
- Sun, X.; Chen, J.; Li, Y.; Rene, N.N. Landslide Susceptibility Mapping along a Rapidly Uplifting River Valley of the Upper Jinsha River, Southeastern Tibetan Plateau, China. Remote Sens. 2022, 14, 1730. [Google Scholar] [CrossRef]
- Arabameri, A.; Karimi-Sangchini, E.; Pal, S.C.; Saha, A.; Chowdhuri, I.; Lee, S.; Tien Bui, D. Novel Credal Decision Tree-Based Ensemble Approaches for Predicting the Landslide Susceptibility. Remote Sens. 2020, 12, 3389. [Google Scholar] [CrossRef]
- Roy, P.; Chakrabortty, R.; Chowdhuri, I.; Malik, S.; Das, B.; Pal, S.C. Development of Different Machine Learning Ensemble Classifier for Gully Erosion Susceptibility in Gandheswari Watershed of West Bengal, India. In Machine Learning for Intelligent Decision Science; Algorithms for Intelligent Systems; Springer: Singapore, 2020. [Google Scholar] [CrossRef]
- Miao, F.; Zhao, F.; Wu, Y.; Li, L.; Xue, Y.; Meng, J. A novel seepage device and ring-shear test on slip zone soils of landslide in the Three Gorges Reservoir Area. Eng. Geol. 2022, 307, 106779. [Google Scholar] [CrossRef]
- Rahman, G.; Bacha, A.S.; Ul Moazzam, M.F.; Rahman, A.U.; Mahmood, S.; Almohamad, H.; Al Dughairi, A.A.; Al-Mutiry, M.; Alrasheedi, M.; Abdo, H.G. Assessment of landslide susceptibility, exposure, vulnerability, and risk in shahpur valley, eastern hindu kush. Front. Earth Sci. 2022, 10, 953627. [Google Scholar] [CrossRef]
- Islam, F.; Riaz, S.; Ghaffar, B.; Tariq, A.; Shah, S.U.; Nawaz, M.; Hussain, M.L.; Amin, N.U.; Li, Q.; Lu, L.; et al. Landslide susceptibility mapping (LSM) of Swat District, Hindu Kush Himalayan region of Pakistan, using GIS-based bivariate modeling. Front. Environ. Sci. 2022, 10, 1027423. [Google Scholar] [CrossRef]
- Yu, C.; Chen, J. Application of a GIS-Based Slope Unit Method for Landslide Susceptibility Mapping in Helong City: Comparative Assessment of ICM, AHP, and RF Model. Symmetry 2020, 12, 1848. [Google Scholar] [CrossRef]
- Fu, Z.; Li, C.; Yao, W. Landslide susceptibility assessment through TrAdaBoost transfer learning models using two landslide inventories. CATENA 2023, 222, 106799. [Google Scholar] [CrossRef]
- Dou, J.; Yunus, A.P.; Bui, D.T.; Merghadi, A.; Sahana, M.; Zhu, Z.; Chen, C.-W.; Han, Z.; Pham, B.T. Improved landslide assessment using support vector machine with bagging, boosting, and stacking ensemble machine learning framework in a mountainous watershed, Japan. Landslides 2020, 17, 641–658. [Google Scholar] [CrossRef]
- Xing, Y.; Huang, S.; Yue, J.; Chen, Y.; Xie, W.; Wang, P.; Xiang, Y.; Peng, Y. Patterns of influence of different landslide boundaries and their spatial shapes on the uncertainty of landslide susceptibility prediction. Nat. Hazards 2023, 118, 709–727. [Google Scholar] [CrossRef]
- Vapnik, V. Support-vector networks. Mach. Learn. 1995, 20, 273–297. [Google Scholar]
- Yu, H.; Lu, Z. Review on landslide susceptibility mapping using support vector machines. CATENA 2018, 165, 520–529. [Google Scholar] [CrossRef]
- LeCun, Y.; Bengio, Y. Convolutional networks for images, speech, and time series. In The Handbook of Brain Theory and Neural Networks; MIT Press: Boston, MA, USA, 1995; Volume 3361, pp. 255–258. [Google Scholar]
- Thi Ngo, P.T.; Panahi, M.; Khosravi, K.; Ghorbanzadeh, O.; Kariminejad, N.; Cerda, A.; Lee, S. Evaluation of deep learning algorithms for national scale landslide susceptibility mapping of Iran. Geosci. Front. 2021, 12, 505–519. [Google Scholar] [CrossRef]
- Hakim, W.; Rezaie, F.; Nur, A.; Panahi, M.; Khosravi, K.; Lee, G.; Lee, S. Convolutional neural network (CNN) with metaheuristic optimization algorithms for landslide susceptibility mapping in Icheon, South Korea. J. Environ. Manag. 2022, 305, 114367. [Google Scholar] [CrossRef]
- Saha, S.; Bhattacharjee, S.; Shit, P.K.; Sengupta, N.; Bera, B. Deforestation probability assessment using integrated machine learning algorithms of Eastern Himalayan foothills (India). Resour. Conserv. Recycl. Adv. 2022, 14, 200077. [Google Scholar] [CrossRef]
- Bianchini, S.; Solari, L.; Del Soldato, M.; Raspini, F.; Montalti, R.; Ciampalini, A.; Casagli, N. Ground Subsidence Susceptibility (GSS) Mapping in Grosseto Plain (Tuscany, Italy) Based on Satellite InSAR Data Using Frequency Ratio and Fuzzy Logic. Remote Sens. 2019, 11, 2015. [Google Scholar] [CrossRef]
- Merghadi, A.; Yunus, A.P.; Dou, J.; Whiteley, J.; ThaiPham, B.; Bui, D.; Avtar, R.; Abderrahmane, B. Machine learning methods for landslide susceptibility studies: A comparative overview of algorithm performance. Earth-Sci. Rev. 2020, 207, 103225. [Google Scholar] [CrossRef]
- Guo, Z.; Shi, Y.; Huang, F.; Fan, X.; Huang, J. Landslide susceptibility zonation method based on C5.0 decision tree and K-means cluster algorithms to improve the efficiency of risk management. Geosci. Front. 2021, 12, 101249. [Google Scholar] [CrossRef]
- Shen, C.; Feng, Z.; Xie, C.; Fang, H.; Zhao, B.; Ou, W.; Zhu, Y.; Wang, K.; Li, H.; Bai, H.; et al. Refinement of Landslide Susceptibility Map Using Persistent Scatterer Interferometry in Areas of Intense Mining Activities in the Karst Region of Southwest China. Remote Sens. 2019, 11, 2821. [Google Scholar] [CrossRef]
- Ciampalini, A.; Raspini, F.; Lagomarsino, D.; Catani, F.; Casagli, N. Landslide susceptibility map refinement using PSInSAR data. Remote Sens. Environ. 2016, 184, 302–315. [Google Scholar] [CrossRef]
- Hakim, W.; Fadhillah, M.; Park, S.; Pradhan, B.; Won, J.; Lee, C. InSAR time-series analysis and susceptibility mapping for land subsidence in Semarang, Indonesia using convolutional neural network and support vector regression. Remote Sens. Environ. 2023, 287, 113453. [Google Scholar] [CrossRef]
- Zhang, G.; Wang, S.; Chen, Z.; Liu, Y.; Xu, Z.; Zhao, R. Landslide susceptibility evaluation integrating weight of evidence model and InSAR results, west of Hubei Province, China. Egypt. J. Remote Sens. Space Sci. 2023, 26, 95–106. [Google Scholar] [CrossRef]
- Fobert, M.-A.; Singhroy, V.; Spray, J.G. InSAR Monitoring of Landslide Activity in Dominica. Remote Sens. 2021, 13, 815. [Google Scholar] [CrossRef]
- Zhou, C.; Cao, Y.; Yin, K.; Intrieri, E.; Catani, F.; Wu, L. Characteristic comparison of seepage-driven and buoyancy-driven landslides in Three Gorges Reservoir area, China. Eng. Geol. 2022, 301, 106590. [Google Scholar] [CrossRef]
- Zhou, C.; Cao, Y.; Yin, K.; Wang, Y.; Shi, X.; Catani, F.; Ahmed, B. Landslide Characterization Applying Sentinel-1 Images and InSAR Technique: The Muyubao Landslide in the Three Gorges Reservoir Area, China. Remote Sens. 2020, 12, 3385. [Google Scholar] [CrossRef]

















| No. | Date (yyyy-mm-dd) | No. | Date (yyyy-mm-dd) |
|---|---|---|---|
| 1 | 2019-07-17 | 13 | 2020-07-11 |
| 2 | 2019-08-10 | 14 | 2020-08-16 |
| 3 | 2019-09-15 | 15 | 2020-09-21 |
| 4 | 2019-10-09 | 16 | 2020-10-15 |
| 5 | 2019-11-14 | 17 | 2020-11-08 |
| 6 | 2019-12-08 | 18 | 2020-12-02 |
| 7 | 2020-01-13 | 19 | 2021-01-07 |
| 8 | 2020-02-18 | 20 | 2021-02-12 |
| 9 | 2020-03-13 | 21 | 2021-03-08 |
| 10 | 2020-04-18 | 22 | 2021-04-13 |
| 11 | 2020-05-12 | 23 | 2021-05-07 |
| 12 | 2020-06-17 | 24 | 2021-06-12 |
| Impact Factors | VIF | TOL |
|---|---|---|
| Elevation | 3.011 | 0.332 |
| Slope | 1.755 | 0.570 |
| Slope aspect | 1.084 | 0.923 |
| Plan curvature | 1.210 | 0.827 |
| Profile curvature | 1.113 | 0.898 |
| Lithologic | 1.186 | 0.843 |
| Distance to rivers | 2.064 | 0.484 |
| Distance to roads | 1.080 | 0.926 |
| TWI | 2.126 | 0.470 |
| NDVI | 2.443 | 0.409 |
| Land use type | 1.829 | 0.547 |
| Assessment Factors | Value | Landslide Grids | Total Study Area | Information Value | ||
|---|---|---|---|---|---|---|
| Count | Percentage (%) | Count | Percentage (%) | |||
| Elevation (m) | 149~250 | 5413 | 54.54 | 80,747 | 36.87 | 0.708 |
| 250~450 | 3710 | 37.38 | 129,436 | 43.06 | −0.142 | |
| 450~650 | 802 | 8.08 | 83,535 | 27.79 | −1.235 | |
| 650~825 | 0 | 0.00 | 6846 | 2.28 | −5.421 | |
| Slope (°) | 0~10 | 4077 | 41.08 | 129,857 | 43.20 | −0.505 |
| 10~20 | 3508 | 35.35 | 92,705 | 30.84 | 0.136 | |
| 20~30 | 1988 | 20.03 | 58,592 | 19.49 | 0.027 | |
| 30~40 | 324 | 3.26 | 16,742 | 5.57 | −0.534 | |
| >40 | 28 | 0.28 | 2668 | 0.89 | −1.146 | |
| Slope aspect | Flat | 2 | 0.02 | 20,105 | 6.69 | −5.805 |
| North | 2040 | 20.55 | 52,729 | 17.54 | 1.588 | |
| Northeast | 1664 | 16.77 | 34,763 | 11.75 | 0.371 | |
| East | 1017 | 10.25 | 29,637 | 9.86 | 0.039 | |
| Southeast | 997 | 10.05 | 28,477 | 9.47 | 0.059 | |
| South | 1304 | 13.14 | 32,859 | 10.93 | 0.184 | |
| Southwest | 670 | 6.75 | 33,016 | 10.98 | −0.487 | |
| West | 995 | 10.03 | 32,163 | 10.70 | −0.065 | |
| Northwest | 1236 | 12.45 | 36,815 | 12.25 | 0.017 | |
| Plan curvature | −1< | 4581 | 46.16 | 129,102 | 42.95 | 0.072 |
| −1~1 | 539 | 5.43 | 35,895 | 11.94 | −0.788 | |
| >1 | 4805 | 48.41 | 135,567 | 45.10 | 0.071 | |
| Profile curvature | −1< | 4506 | 45.40 | 129,112 | 42.96 | 0.055 |
| −1~1 | 355 | 3.58 | 30,525 | 10.16 | −1.044 | |
| >1 | 5064 | 51.02 | 140,927 | 46.89 | 0.085 | |
| Lithologic | J3s | 514 | 5.18 | 66,640 | 22.17 | −1.45 |
| J2s | 9411 | 94.82 | 227,522 | 75.7 | 0.225 | |
| J2xs | 0 | 0.00 | 1174 | 0.39 | −3.658 | |
| J3p | 0 | 0.00 | 5083 | 1.69 | −5.123 | |
| J2x | 0 | 0.00 | 145 | 0.05 | −1.566 | |
| Distance to river (m) | 0 | 10 | 0.10 | 30,762 | 10.23 | −4.62 |
| 0~100 | 4527 | 45.61 | 37,441 | 12.46 | 1.298 | |
| 100~200 | 2870 | 28.92 | 42,636 | 14.19 | 0.712 | |
| 200~300 | 1316 | 13.26 | 71,582 | 23.82 | −0.586 | |
| 300~400 | 915 | 9.22 | 57,638 | 19.18 | −0.732 | |
| >400 | 287 | 2.89 | 60,505 | 20.13 | −1.940 | |
| Distance to road (m) | 0~20 | 1036 | 10.44 | 19,987 | 6.65 | 0.451 |
| 20~50 | 1515 | 15.26 | 27,384 | 9.11 | 0.516 | |
| 50~100 | 1740 | 17.53 | 35,841 | 11.92 | 0.385 | |
| 100~200 | 2146 | 21.62 | 46,378 | 15.43 | 0.337 | |
| >200 | 3488 | 35.14 | 170,974 | 56.88 | −0.482 | |
| TWI | 0~5 | 891 | 8.98 | 37,106 | 12.35 | −0.319 |
| 5~7 | 3458 | 34.84 | 118,051 | 39.28 | −0.112 | |
| 7~10 | 4595 | 46.3 | 96,035 | 31.95 | 0.371 | |
| >10 | 981 | 9.88 | 49,372 | 16.43 | −0.508 | |
| NDVI | 0~0.4 | 810 | 8.16 | 46,904 | 15.61 | −0.648 |
| 0.4~0.6 | 1408 | 14.19 | 32,155 | 10.70 | 0.282 | |
| 0.6~0.75 | 1690 | 17.03 | 35,953 | 11.96 | 0.353 | |
| 0.75~0.9 | 3769 | 37.97 | 100,451 | 33.42 | 0.128 | |
| >0.9 | 2248 | 22.65 | 85,101 | 28.31 | −0.223 | |
| Land use type | Agricultural land | 6377 | 64.25 | 171,660 | 57.11 | 0.118 |
| Forest | 198 | 1.99 | 16,952 | 5.64 | −1.039 | |
| Shrubland | 77 | 0.78 | 4783 | 1.59 | −0.718 | |
| River | 171 | 1.72 | 25,521 | 8.49 | −1.59 | |
| Artificial surface | 3102 | 31.25 | 81,648 | 27.16 | 0.140 | |
| Parameter | Value |
|---|---|
| Orbit configuration | Ascending |
| Size of scenes | 40 × 85 km |
| Number of scenes | 24 |
| Look azimuth-angle | 80.45° |
| Max. temporal baseline | 396 days |
| Max. normal baseline | 119.23 m |
| Coherence thresholds | 0.35 |
| Subarea for single reference point | 25 km2 |
| Overlap for subarea | 30% |
Disclaimer/Publisher’s Note: The statements, opinions and data contained in all publications are solely those of the individual author(s) and contributor(s) and not of MDPI and/or the editor(s). MDPI and/or the editor(s) disclaim responsibility for any injury to people or property resulting from any ideas, methods, instructions or products referred to in the content. |
© 2023 by the authors. Licensee MDPI, Basel, Switzerland. This article is an open access article distributed under the terms and conditions of the Creative Commons Attribution (CC BY) license (https://creativecommons.org/licenses/by/4.0/).
Share and Cite
Miao, F.; Ruan, Q.; Wu, Y.; Qian, Z.; Kong, Z.; Qin, Z. Landslide Dynamic Susceptibility Mapping Base on Machine Learning and the PS-InSAR Coupling Model. Remote Sens. 2023, 15, 5427. https://doi.org/10.3390/rs15225427
Miao F, Ruan Q, Wu Y, Qian Z, Kong Z, Qin Z. Landslide Dynamic Susceptibility Mapping Base on Machine Learning and the PS-InSAR Coupling Model. Remote Sensing. 2023; 15(22):5427. https://doi.org/10.3390/rs15225427
Chicago/Turabian StyleMiao, Fasheng, Qiuyu Ruan, Yiping Wu, Zhao Qian, Zimo Kong, and Zhangkui Qin. 2023. "Landslide Dynamic Susceptibility Mapping Base on Machine Learning and the PS-InSAR Coupling Model" Remote Sensing 15, no. 22: 5427. https://doi.org/10.3390/rs15225427
APA StyleMiao, F., Ruan, Q., Wu, Y., Qian, Z., Kong, Z., & Qin, Z. (2023). Landslide Dynamic Susceptibility Mapping Base on Machine Learning and the PS-InSAR Coupling Model. Remote Sensing, 15(22), 5427. https://doi.org/10.3390/rs15225427
