Seasonal and Diurnal Changes of Air Temperature and Water Vapor Observed with a Microwave Radiometer in Wuhan, China
Abstract
1. Introduction
2. Instruments, Data and Method
2.1. MWR MP-3000A
2.2. Radiosonde Data
2.3. Method
3. Comparison between MWR and RS Observations
4. Characteristics of Temperature and Water Vapor in MWR Observations
4.1. Precipitation and Non-Precipitation Conditions
4.2. Diurnal Variations
4.3. Relationship between Mean Temperature and Water Vapor
5. Summary and Conclusions
- Based on the MWR and RS measurements at 8:00 and 20:00 LT, the differences between the mean temperature (and dew point temperature) derived from the MWR retrievals, and the mean temperature derived from RS observations in non-precipitation conditions are small below 2 km. Above 2 km, the MWR average temperature is about 1.8–2.8 and 2.5–3.5 K lower than the RS average temperature at 8:00 and 20:00, respectively. The difference of average water vapor densities is within 1.5 gm−3 near the ground and decreases with height. In general, compared with the relative humidity in the RS measurement, the relative humidity is higher in the MWR observation below 6.5 km, with the difference within 20%. In the seasonal averages, the temperature and water vapor content biases are roughly consistent with those in the 21-month averages, except for a larger water vapor bias near the ground in summer. The MWR and RS relative humidity data have correlation coefficients of 0.6–0.9 at different heights, and their bias is generally in the range of −15% to 20% but with different seasonal profiles. The results are roughly consistent with those in different sites from previous studies where the temperature is generally 0–3 K lower in the MWR data than in the RS data but the humidity is about 0–20% higher [31,32,67]. In addition, differences between the MWR and RS observations vary with height and season, which is similar to the differences recorded in in previous studies [64,65,68]. The discrepancy between the two measurements may be related to the sensing methods, retrieval algorithms, two-site distance, and environment around the MWR site.
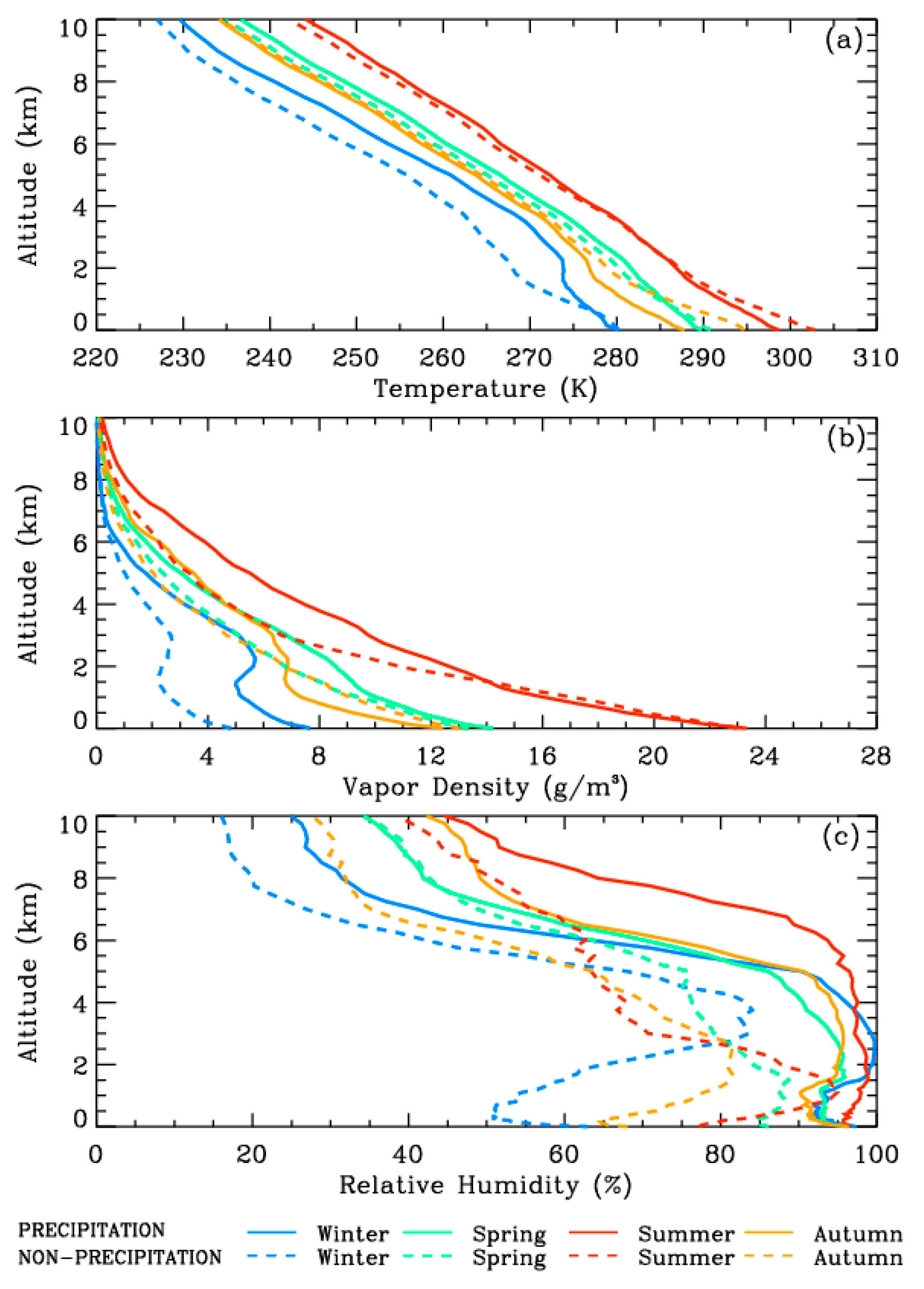
- We averaged the temperature, water vapor, and relative humidity during the precipitation and non-precipitation periods in the four seasons from the MWR observations, respectively. The mean surface temperature during precipitation periods is close to that during non-precipitation periods in winter and spring, but 4.2 and 6.8 K lower than that during non-precipitation periods in summer and autumn, respectively; as the Chinese proverb goes, “one autumn rain, one cold, and after ten autumn rains, you need to put on cotton clothes”. The mean vapor content near the ground is higher in precipitation than in non-precipitation conditions in spring, summer, and winter, whereas it is slightly lower in precipitation conditions in autumn due to the strong cooling that occurs in precipitation conditions. These results indicate that precipitation in Wuhan during autumn is mainly caused by cold air from the north. Under precipitation conditions, the relative humidity exceeds 90% from the ground to 5 km, especially to 6.5 km in summer, which is obviously larger relative to that under non-precipitation conditions. In early studies, the temperature and humidity from the MWR observations also show the different features between precipitation and non-precipitation events [69,70].
- On the seasonal scale, the averaged water vapor density in the height range of 0–1.0 km during non-precipitation events shows an approximately linear increase with the average temperature, with the increment of about 0.78 gm−3 for the temperature rise of 1 K; nevertheless, as the altitude rises, their relationship gradually deviates from the linear form due to the effect of water vapor transport. In each season, the mean temperature at 0–1.0 km clearly displays a diurnal change with the maximum temperature at about 16:40–17:40 and the minimum temperature at 6:30–8:30. Because of the change of the boundary layer height due to radiation heating and cooling, the mean water vapor content has a diurnal variation opposite to the temperature, with the correlation coefficients of −0.69, −0.95, −0.93, and −0.56 in the range of 0–0.5 km from spring to winter. In the height ranges of 4.5–5.5 km and 8.5–9.5 km, the temperature shows a synchronized diurnal evolution, with correlation coefficients of 0.99, 0.97, and 0.97 from spring to autumn, and the maximum value prior to that at 0–1.0 km, for example, about 3 h earlier in summer. This indicates the strong influence of the air–land interaction on the temperature near the ground, but the weak influence on the free atmosphere above 4.5 km. The time when the maximum temperature occurs in summer is different from that in the Tibetan Plateau [47], which indicates that diurnal variations in the temperature differ regionally. In the two height ranges, the diurnal change of temperature is small in winter. In summer, the diurnal variation in the water vapor density at 8.5–9.5 km is opposite to that in the temperature, with a correlation coefficient of −0.85, similar to that at 0–1.0 km, while at 4.5–5.5 km, the water vapor content exhibits a positive correlation with the temperature from about 8:00 to 19:00, but an inverse correlation at other times. A similar scenario can be seen in spring and autumn, but with a weaker correlation.
Author Contributions
Funding
Data Availability Statement
Acknowledgments
Conflicts of Interest
References
- Maher, P.; Gerber, E.P.; Medeiros, B.; Merlis, T.M.; Sherwood, S.; Sheshadri, A.; Sobel, A.H.; Vallis, G.K.; Voigt, A.; Zurita-Gotor, P. Model hierarchies for understanding atmospheric circulation. Rev. Geophys. 2019, 57, 250–280. [Google Scholar] [CrossRef]
- Ma, H.-Y.; Klein, S.A.; Xie, S.; Zhang, C.; Tang, S.; Tang, Q.; Morcrette, C.J.; Van Weverberg, K.; Petch, J.; Ahlgrimm, M.; et al. Causes: On the role of surface energy budget errors to the warm surface air temperature error over the central United States. J. Geophys. Res. Atmos. 2018, 123, 2888–2909. [Google Scholar] [CrossRef]
- Schneider, T.; O’Gorman, P.A.; Levine, X.J. Water vapor and the dynamics of climate changes. Rev. Geophys. 2010, 48, RG3001. [Google Scholar] [CrossRef]
- Sherwood, S.C.; Roca, R.; Weckwerth, T.M.; Andronova, N.G. Tropospheric water vapor, convection, and climate. Rev. Geophys. 2010, 48, RG2001. [Google Scholar] [CrossRef]
- Held, I.M.; Soden, B.J. Water vapor feedback and global warming. Annu. Rev. Energy Environ. 2000, 25, 441–475. [Google Scholar] [CrossRef]
- Rosenlof, K.H.; Reid, G.C. Trends in the temperature and water vapor content of the tropical lower stratosphere: Sea surface connection. J. Geophys. Res. Atmos. 2008, 113, 15. [Google Scholar] [CrossRef]
- Li, Z.H.; Li, Y.P.; Bonsal, B.; Manson, A.H.; Scaff, L. Combined impacts of ENSO and MJO on the 2015 growing season drought on the Canadian Prairies. Hydrol. Earth Syst. Sci. 2018, 22, 5057–5067. [Google Scholar] [CrossRef]
- Vaquero-Martínez, J.; Antón, M.; Sanchez-Lorenzo, A.; Cachorro, V.E. Evaluation of water vapor radiative effects using GPS data series over Southwestern Europe. Remote Sens. 2020, 12, 1307. [Google Scholar] [CrossRef]
- Stein, A.F.; Draxler, R.R.; Rolph, G.D.; Stunder, B.J.B.; Cohen, M.D.; Ngan, F. Noaa’s Hysplit atmospheric transport and dispersion modeling system. Bull. Am. Meteorol. Soc. 2015, 96, 2059–2077. [Google Scholar] [CrossRef]
- Sun, Y.L.; Yang, F.; Liu, M.J.; Li, Z.C.; Gong, X.; Wang, Y.Y. Evaluation of the weighted mean temperature over China using multiple reanalysis data and radiosonde. Atmos. Res. 2023, 285, 106664. [Google Scholar] [CrossRef]
- Pratt, R.W. Review of radiosonde humidity and temperature errors. J. Atmos. Ocean. Technol. 1985, 2, 404–407. [Google Scholar] [CrossRef]
- Wang, J.H.; Zhang, L.Y.; Dai, A.G.; Immler, F.; Sommer, M.; Vomel, H. Radiation dry bias correction of Vaisala RS92 humidity data and its impacts on historical radiosonde data. J. Atmos. Ocean. Technol. 2013, 30, 197–214. [Google Scholar] [CrossRef]
- Comiso, J.C. Arctic warming signals from satellite observations. Weather 2006, 61, 70–76. [Google Scholar] [CrossRef]
- Liang, C.K.; Eldering, A.; Gettelman, A.; Tian, B.; Wong, S.; Fetzer, E.J.; Liou, K.N. Record of tropical interannual variability of temperature and water vapor from a combined AIRS-MLS data set. J. Geophys. Res. Atmos. 2011, 116, 14841. [Google Scholar] [CrossRef][Green Version]
- Garfinkel, C.I.; Waugh, D.W.; Oman, L.D.; Wang, L.; Hurwitz, M.M. Temperature trends in the tropical upper troposphere and lower stratosphere: Connections with sea surface temperatures and implications for water vapor and ozone. J. Geophys. Res. Atmos. 2013, 118, 9658–9672. [Google Scholar] [CrossRef]
- Wang, J.H.; Hock, T.; Cohn, S.A.; Martin, C.; Potts, N.; Reale, T.; Sun, B.M.; Tilley, F. Unprecedented upper-air dropsonde observations over Antarctica from the 2010 Concordiasi Experiment: Validation of satellite-retrieved temperature profiles. Geophys. Res. Lett. 2013, 40, 1231–1236. [Google Scholar] [CrossRef]
- Wong, S.; Fetzer, E.J.; Schreier, M.; Manipon, G.; Fishbein, E.F.; Kahn, B.H.; Yue, Q.; Irion, F.W. Cloud-induced uncertainties in AIRS and ECMWF temperature and specific humidity. J. Geophys. Res. Atmos. 2015, 120, 1880–1901. [Google Scholar] [CrossRef]
- Bedoya-Velásquez, A.E.; Herreras-Giralda, M.; Román, R.; Wiegner, M.; Lefebvre, S.; Toledano, C.; Huet, T.; Ceolato, R. Ceilometer inversion method using water-vapor correction from co-located microwave radiometer for aerosol retrievals. Atmos. Res. 2021, 250, 105379. [Google Scholar] [CrossRef]
- Kim, D.K.; Lee, D.I. Atmospheric thickness and vertical structure properties in wintertime precipitation events from microwave radiometer, radiosonde and wind profiler observations. Meteorol. Appl. 2015, 22, 599–609. [Google Scholar] [CrossRef]
- Harikishan, G.; Padmakumari, B.; Maheskumar, R.S.; Pandithurai, G.; Min, Q.L. Macrophysical and microphysical properties of monsoon clouds over a rain shadow region in India from ground- based radiometric measurements. J. Geophys. Res. Atmos. 2014, 119, 4736–4749. [Google Scholar] [CrossRef]
- Zhao, Y.X.; Yan, H.L.; Wu, P.; Zhou, D. Linear correction method for improved atmospheric vertical profile retrieval based on ground-based microwave radiometer. Atmos. Res. 2020, 232, 104678. [Google Scholar] [CrossRef]
- Rambabu, S.; Pillai, J.S.; Agarwal, A.; Pandithurai, G. Evaluation of brightness temperature from a forward model of ground-based microwave radiometer. J. Earth Syst. Sci. 2014, 123, 641–650. [Google Scholar] [CrossRef][Green Version]
- Del Frate, F.; Schiavon, G. A combined natural orthogonal functions neural network technique for the radiometric estimation of atmospheric profiles. Radio Sci. 1998, 33, 405–410. [Google Scholar] [CrossRef]
- Churnside, J.H.; Stermitz, T.A.; Schroeder, J.A. Temperature profiling with neural network inversion of microwave radiometer data. J. Atmos. Ocean. Technol. 1994, 11, 105–109. [Google Scholar] [CrossRef]
- Del Frate, F.; Schiavon, G. A neural network algorithm for the retrieval of atmospheric profiles from radiometric data. In Proceedings of the 1997 IEEE International Geoscience and Remote Sensing Symposium Proceedings. Remote Sensing—A Scientific Vision for Sustainable Development, Singapore, 3–8 August 1997; pp. 2097–2099. [Google Scholar] [CrossRef]
- Ying, H.J.; Wei, Z.S.; Yu, Z.A. The primary design of advanced ground-based atmospheric microwave sounder and retrieval of physical parameters. J. Quant. Spectrosc. Radiat. Transf. 2011, 112, 236–246. [Google Scholar] [CrossRef]
- Ratnam, M.V.; Santhi, Y.D.; Rajeevan, M.; Rao, S.V.B. Diurnal variability of stability indices observed using radiosonde observations over a tropical station: Comparison with microwave radiometer measurements. Atmos. Res. 2013, 124, 21–33. [Google Scholar] [CrossRef]
- Chan, W.S.; Lee, J.C.W. Vertical profile retrievals with warm-rain microphysics using the ground-based microwave radiometer operated by the Hong Kong Observatory. Atmos. Res. 2015, 161, 125–133. [Google Scholar] [CrossRef]
- Xu, G.R.; Xi, B.K.; Zhang, W.G.; Cui, C.G.; Dong, X.Q.; Liu, Y.Y.; Yan, G.P. Comparison of atmospheric profiles between microwave radiometer retrievals and radiosonde soundings. J. Geophys. Res. Atmos. 2015, 120, 10313–10323. [Google Scholar] [CrossRef]
- Xu, G.R.; Ware, R.; Zhang, W.G.; Feng, G.L.; Liao, K.W.; Liu, Y.B. Effect of off-zenith observations on reducing the impact of precipitation on ground-based microwave radiometer measurement accuracy. Atmos. Res. 2014, 140, 85–94. [Google Scholar] [CrossRef]
- Chan, P.W. Performance and application of a multi-wavelength, ground-based microwave radiometer in intense convective weather. Meteorol. Z. 2009, 18, 253–265. [Google Scholar] [CrossRef]
- Temimi, M.; Fonseca, R.M.; Nelli, N.R.; Valappil, V.K.; Weston, M.J.; Thota, M.S.; Wehbe, Y.; Yousef, L. On the analysis of ground-based microwave radiometer data during fog conditions. Atmos. Res. 2020, 231, 104652. [Google Scholar] [CrossRef]
- Rose, T.; Crewell, S.; Lohnert, U.; Simmer, C. A network suitable microwave radiometer for operational monitoring of the cloudy atmosphere. Atmos. Res. 2005, 75, 183–200. [Google Scholar] [CrossRef]
- Massaro, G.; Stiperski, I.; Pospichal, B.; Rotach, M.W. Accuracy of retrieving temperature and humidity profiles by ground-based microwave radiometry in truly complex terrain. Atmos. Meas. Tech. 2015, 8, 3355–3367. [Google Scholar] [CrossRef]
- Bernet, L.; Navas-Guzman, F.; Kampfer, N. The effect of cloud liquid water on tropospheric temperature retrievals from microwave measurements. Atmos. Meas. Tech. 2017, 10, 4421–4437. [Google Scholar] [CrossRef]
- Zhang, W.G.; Xu, G.R.; Liu, Y.Y.; Yan, G.P.; Li, D.J.; Wang, S.B. Uncertainties of ground-based microwave radiometer retrievals in zenith and off-zenith observations under snow conditions. Atmos. Meas. Tech. 2017, 10, 155–165. [Google Scholar] [CrossRef]
- Knupp, K.R.; Ware, R.; Cimini, D.; Vandenberghe, F.; Vivekanandan, J.; Westwater, E.; Coleman, T.; Phillips, D. Ground-based passive microwave profiling during dynamic weather conditions. J. Atmos. Ocean. Technol. 2009, 26, 1057–1073. [Google Scholar] [CrossRef]
- Marzano, F.S.; Cimini, D.; Ware, R.H. Monitoring of rainfall by ground-based passive microwave systems: Models, measurements and applications. Adv. Geosci. 2005, 2, 259–265. [Google Scholar] [CrossRef][Green Version]
- Coen, M.C.; Praz, C.; Haefele, A.; Ruffieux, D.; Kaufmann, P.; Calpini, B. Determination and climatology of the planetary boundary layer height above the Swiss plateau by in situ and remote sensing measurements as well as by the COSMO-2 model. Atmos. Chem. Phys. 2014, 14, 13205–13221. [Google Scholar] [CrossRef]
- Moreira, G.D.; Guerrero-Rascado, J.L.; Bravo-Aranda, J.A.; Benavent-Oltra, J.A.; Ortiz-Amezcua, P.; Roman, R.; Bedoya-Velasquez, A.E.; Landulfo, E.; Alados-Arboledas, L. Study of the planetary boundary layer by microwave radiometer, elastic lidar and Doppler lidar estimations in Southern Iberian Peninsula. Atmos. Res. 2018, 213, 185–195. [Google Scholar] [CrossRef]
- Jiang, Y.Y.; Xin, J.Y.; Zhao, D.D.; Jia, D.J.; Tang, G.Q.; Quan, J.N.; Wang, M.; Dai, L.D. Analysis of differences between thermodynamic and material boundary layer structure: Comparison of detection by ceilometer and microwave radiometer. Atmos. Res. 2021, 248, 105179. [Google Scholar] [CrossRef]
- Hansen, J.; Sato, M.; Ruedy, R. Perception of climate change. Proc. Natl. Acad. Sci. USA 2012, 109, E2415–E2423. [Google Scholar] [CrossRef] [PubMed]
- Korhonen, K.; Giannakaki, E.; Mielonen, T.; Pfuller, A.; Laakso, L.; Vakkari, V.; Baars, H.; Engelmann, R.; Beukes, P.; Van Zyl, P.G.; et al. Atmospheric boundary layer top height in South Africa: Measurements with lidar and radiosonde compared to three atmospheric models. Atmos. Chem. Phys. 2014, 14, 4263–4278. [Google Scholar] [CrossRef]
- Li, Z.Q.; Lau, W.K.M.; Ramanathan, V.; Wu, G.; Ding, Y.; Manoj, M.G.; Liu, J.; Qian, Y.; Li, J.; Zhou, T.; et al. Aerosol and monsoon climate interactions over Asia. Rev. Geophys. 2016, 54, 866–929. [Google Scholar] [CrossRef]
- Moreira, G.D.; Guerrero-Rascado, J.L.; Bravo-Aranda, J.A.; Foyo-Moreno, I.; Cazorla, A.; Alados, I.; Lyamani, H.; Landulfo, E.; Alados-Arboledas, L. Study of the planetary boundary layer height in an urban environment using a combination of microwave radiometer and ceilometer. Atmos. Res. 2020, 240, 104932. [Google Scholar] [CrossRef]
- Seidel, D.J.; Ao, C.O.; Li, K. Estimating climatological planetary boundary layer heights from radiosonde observations: Comparison of methods and uncertainty analysis. J. Geophys. Res. Atmos. 2010, 115, D16113. [Google Scholar] [CrossRef]
- Sun, N.; Zhong, L.; Zhao, C.; Ma, M.; Fu, Y.F. Temperature, water vapor and tropopause characteristics over the Tibetan Plateau in summer based on the COSMIC, ERA-5 and IGRA datasets. Atmos. Res. 2022, 266, 105955. [Google Scholar] [CrossRef]
- Liu, G.R.; Liu, C.C.; Kuo, T.H. Rainfall intensity estimation by ground-based dual-frequency microwave radiometers. J. Appl. Meteorol. Clim. 2001, 40, 1035–1041. [Google Scholar] [CrossRef]
- Zhang, W.G.; Xu, G.R.; Xi, B.K.; Ren, J.; Wan, X.; Zhou, L.L.; Cui, C.G.; Wu, D.Q. Comparative study of cloud liquid water and rain liquid water obtained from microwave radiometer and micro rain radar observations over central China during the monsoon. J. Geophys. Res. Atmos. 2020, 125, e2020JD032456. [Google Scholar] [CrossRef]
- Chan, P.W.; Hon, K.K. Application of ground-based, multi-channel microwave radiometer in the nowcasting of intense convective weather through instability indices of the atmosphere. Meteorol. Z. 2011, 20, 431–440. [Google Scholar] [CrossRef]
- Cui, C.G.; Wan, R.; Wang, B.; Dong, X.Q.; Li, H.L.; Wang, X.K.; Xu, G.R.; Wang, X.F.; Wang, Y.H.; Xiao, Y.J.; et al. The Mesoscale Heavy Rainfall Observing System (MHROS) over the middle region of the Yangtze River in China. J. Geophys. Res. Atmos. 2015, 120, 10399–10417. [Google Scholar] [CrossRef]
- Ming, H.; Wei, M.; Wang, M.Z.; Gao, L.H.; Chen, L.J.; Wang, X.C. Analysis of fog at Xianyang Airport based on multi-source ground-based detection data. Atmos. Res. 2019, 220, 34–45. [Google Scholar] [CrossRef]
- Tian, M.; Wu, B.G.; Huang, H.; Zhang, H.S.; Zhang, W.Y.; Wang, Z.Y. Impact of water vapor transfer on a Circum-Bohai-Sea heavy fog: Observation and numerical simulation. Atmos. Res. 2019, 229, 1–22. [Google Scholar] [CrossRef]
- Turner, D.D.; Goldsmith, J.E.M. Twenty-four-hour Raman lidar water vapor measurements during the Atmospheric radiation Measurement program’s 1996 and 1997 water vapor intensive observation periods. J. Atmos. Ocean. Technol. 1999, 16, 1062–1076. [Google Scholar] [CrossRef]
- Mattis, I.; Ansmann, A.; Althausen, D.; Jaenisch, V.; Wandinger, U.; Muller, D.; Arshinov, Y.F.; Bobrovnikov, S.M.; Serikov, I.B. Relative-humidity profiling in the troposphere with a Raman lidar. Appl. Opt. 2002, 41, 6451–6462. [Google Scholar] [CrossRef]
- Ware, R.; Carpenter, R.; Guldner, J.; Liljegren, J.; Nehrkorn, T.; Solheim, F.; Vandenberghe, F. A multichannel radiometric profiler of temperature, humidity, and cloud liquid. Radio Sci. 2003, 38, 8079. [Google Scholar] [CrossRef]
- Jin, S.K.; Ma, Y.Y.; Zhang, M.; Gong, W.; Lei, L.F.; Ma, X. Comparation of aerosol optical properties and associated radiative effects of air pollution events between summer and winter: A case study in January and July 2014 over Wuhan, Central China. Atmos. Environ. 2019, 218, 117004. [Google Scholar] [CrossRef]
- Bedoya-Velásquez, A.E.; Navas-Guzmán, F.; Moreira, G.D.; Román, R.; Cazorla, A.; Ortiz-Amezcua, P.; Benavent-Oltra, J.A.; Alados-Arboledas, L.; Olmo-Reyes, F.J.; Foyo-Moreno, I.; et al. Seasonal analysis of the atmosphere during five years by using microwave radiometry over a mid-latitude site. Atmos. Res. 2019, 218, 78–89. [Google Scholar] [CrossRef]
- Madhulatha, A.; Rajeevan, M.; Ratnam, M.V.; Bhate, J.; Naidu, C.V. Nowcasting severe convective activity over southeast India using ground-based microwave radiometer observations. J. Geophys. Res. Atmos. 2013, 118, 1–13. [Google Scholar] [CrossRef]
- Cady-Pereira, K.E.; Shephard, M.W.; Turner, D.D.; Mlawer, E.J.; Clough, S.A.; Wagner, T.J. Improved daytime column-integrated precipitable water vapor from Vaisala radiosonde humidity sensors. J. Atmos. Ocean. Technol. 2008, 25, 873–883. [Google Scholar] [CrossRef]
- Westwater, E.R.; Stankov, B.B.; Cimini, D.; Han, Y.; Shaw, J.A.; Lesht, B.M.; Long, C.N. Radiosonde humidity soundings and microwave radiometers during Nauru99. J. Atmos. Ocean. Technol. 2003, 20, 953–971. [Google Scholar] [CrossRef]
- Turner, D.D.; Lesht, B.M.; Clough, S.A.; Liljegren, J.C.; Revercomb, H.E.; Tobin, D.C. Dry bias and variability in Vaisala RS80-H radiosondes: The ARM experience. J. Atmos. Ocean. Technol. 2003, 20, 117–132. [Google Scholar] [CrossRef]
- Çengel, Y.A.; Boles, M.A. Thermodynamics: An Engineering Approach, 3rd ed.; McGraw-Hill: Boston, MA, USA, 1989; ISBN 0-07-011927-9. [Google Scholar]
- Liu, M.; Liu, Y.A.; Shu, J. Characteristics analysis of the multi-channel ground-based microwave radiometer observations during various weather conditions. Atmosphere 2022, 13, 1556. [Google Scholar] [CrossRef]
- Liu, H.Y. The temperature profile comparison between the ground-based microwave radiometer and the other instrument for the recent three years. Acta Meteorol. Sin. 2011, 4, 719–728. [Google Scholar] [CrossRef]
- Drobinski, P.; Alonzo, B.; Bastin, S.; Silva, N.D.; Muller, C. Scaling of precipitation extremes with temperature in the French Mediterranean region: What explains the hook shape? J. Geophys. Res. Atmos. 2016, 121, 3100–3119. [Google Scholar] [CrossRef]
- Shrestha, B.; Brotzge, J.A.; Wang, J.H. Evaluation of the New York State Mesonet Profiler Network data. Atmos. Meas. Tech. 2022, 15, 6011–6033. [Google Scholar] [CrossRef]
- Renju, R.; Raju, C.S.; Swathi, R.; Milan, V.G. Retrieval of atmospheric temperature and humidity profiles over a tropical coastal station from ground-based Microwave Radiometer using deep learning technique. J. Atmos. Sol. Terr. Phys. 2023, 249, 106094. [Google Scholar] [CrossRef]
- Ma, R.J.; Li, X.F. Sounding data from ground-based microwave radiometers for a hailstorm case: Analyzing spatiotemporal differences and initializing an idealized model for prediction. Atmosphere 2022, 13, 1535. [Google Scholar] [CrossRef]
- Qi, Y.J.; Fan, S.Y.; Li, B.; Mao, J.J.; Lin, D.W. Assimilation of ground-based microwave radiometer on heavy rainfall forecast in Beijing. Atmosphere 2022, 13, 74. [Google Scholar] [CrossRef]












Disclaimer/Publisher’s Note: The statements, opinions and data contained in all publications are solely those of the individual author(s) and contributor(s) and not of MDPI and/or the editor(s). MDPI and/or the editor(s) disclaim responsibility for any injury to people or property resulting from any ideas, methods, instructions or products referred to in the content. |
© 2023 by the authors. Licensee MDPI, Basel, Switzerland. This article is an open access article distributed under the terms and conditions of the Creative Commons Attribution (CC BY) license (https://creativecommons.org/licenses/by/4.0/).
Share and Cite
Guo, X.; Huang, K.; Fang, J.; Zhang, Z.; Cao, R.; Yi, F. Seasonal and Diurnal Changes of Air Temperature and Water Vapor Observed with a Microwave Radiometer in Wuhan, China. Remote Sens. 2023, 15, 5422. https://doi.org/10.3390/rs15225422
Guo X, Huang K, Fang J, Zhang Z, Cao R, Yi F. Seasonal and Diurnal Changes of Air Temperature and Water Vapor Observed with a Microwave Radiometer in Wuhan, China. Remote Sensing. 2023; 15(22):5422. https://doi.org/10.3390/rs15225422
Chicago/Turabian StyleGuo, Xinglin, Kaiming Huang, Junjie Fang, Zirui Zhang, Rang Cao, and Fan Yi. 2023. "Seasonal and Diurnal Changes of Air Temperature and Water Vapor Observed with a Microwave Radiometer in Wuhan, China" Remote Sensing 15, no. 22: 5422. https://doi.org/10.3390/rs15225422
APA StyleGuo, X., Huang, K., Fang, J., Zhang, Z., Cao, R., & Yi, F. (2023). Seasonal and Diurnal Changes of Air Temperature and Water Vapor Observed with a Microwave Radiometer in Wuhan, China. Remote Sensing, 15(22), 5422. https://doi.org/10.3390/rs15225422
